- 1Superintendência do Desenvolvimento da Amazônia (SUDAM), Belém, Pará, Brazil
- 2Núcleo de Ecologia Aquática e Pesca da Amazônia (NEAP), Programa de Pós-Graduação em Ecologia Aquática e Pesca (PPGEAP), Universidade Federal do Pará (UFPA )– NEAP /PPGEAP /UFPA, Belém, Pará, Brazil
- 3Curso de Engenharia de pesca, Centro de Ciências Bilógicas e Agrárias - CCAB da Universidade Estadual Vale do Acaraú – UVA-CE, Camocim, Ceará, Brazil
- 4Departamento de Evaluación de Pesquerías, División de Investigación Pesquera, Instituto de Fomento Pesquero (IFOP), Valparaíso, Chile
- 5Museu Paraense Emílio Goeldi (MPEG), Belém, Pará, Brazil
- 6Interdisciplinary Centre of Marine and Environmental Research, Faculty of Sciences of the University of Porto – CIIMAR/ FCUP, Matosinhos, Porto, Portugal
- 7Grupo de Investigação Biológica Integrada (GIBI), Centro de Estudos Avançados da Biodiversidade (CEABIO), Universidade Federal do Pará – GIBI /CEABIO /UFPA, Belém, Pará, Brazil
Artisanal fishing along the coast of Pará (Eastern Amazon) plays a vital role in generating local income and supplying fish to a broad consumer market. Small-scale fisheries employ diverse strategies, with gillnets being the predominant and most productive gear. Fishers are not homogeneous in their practices and can be classified as specialists, focusing on particular fishing areas, target species, or capture methods, or as generalists, displaying greater flexibility and sometimes engaging in non-fishing activities. This study characterises the strategies of small-scale artisanal fishers in the Eastern Amazon based on distinct fishing profiles. To address the high heterogeneity of the regional artisanal fleet, the analysis focused on a specific fleet segment defined by: (i) vessel size (8–10 m length, storage capacity <5 tonnes), (ii) crew size (≤5 individuals), (iii) fishing gear (gillnets), and (iv) trip duration (≤2 weeks). Data were derived from the Pará State Fishing Landings Monitoring System, collected through questionnaires between 2008 and 2010. Fishing profiles were identified using principal component analysis and hierarchical cluster analysis. Seven consistent profiles were distinguished, targeting acoupa weakfish (pescada amarela), megrim (pratiqueira), mullet (tainha), and multispecies assemblages. Additional profiles were associated with serra Spanish mackerel (serra) and king weakfish (pescada gó), recorded only in 2008 and 2010, and pacora weakfish (pescada curuca), recorded exclusively in 2010. This work represents the first multivariate approach to describe fishing profiles along the Eastern Amazon coast and provides novel insights into the organisation and dynamics of artisanal fisheries in the region.
1 Introduction
The aim of this study is to characterise the strategies of small-scale fishermen on the coast of Pará, Eastern Amazon, considering the fishing profiles identified. We identified the fishing-landing profiles as their composition concerning the fishing. Finally, we identify possible strategies related to the landing points and their relationship with the target species, with applied management purposes.
When done responsibly, fishing can contribute to the World Health Organization’s (WHO) global targets to reduce malnutrition by 2030 to fight hunger, ensure food security, and enhance population nutrition through the Sustainable Development Goals (UN-United Nations, 2025). Global fish consumption has been rising by around 1.5% per year, according to data from the Food and Agriculture Organization of the United Nations from 2020. As of the end of 2019, each person consumed 20.5 kg of fish per year. As a result, fish is now crucial to ensuring global food security (FAO-Food and Agriculture Organization, 2020).
One of the main bases of food culture in the world is the consumption of fish, a worldwide cultural habit, especially in North Brazil. In Pará, consumption has always been above the national average. While Brazilians consume 2.8 kg of fish per inhabitant, Pará consumes 11.1 kg per inhabitant, 3.96 times more than the national average. Moreover, since this is the main form of consumption in the state, the fishing industry is following the trend, featuring prominently on the national and international markets (FAPESPA, 2024).
The production of artisanal/small-scale fisheries in Pará has a strong multispecies characteristic, i.e., a single boat can catch and land many different species, although the direction of production is observed in which a few species account for the majority of the total (Bentes et al., 2012; Lins et al., 2020; Barreto et al., 2023). The artisanal fleet uses a variety of gear, with gillnets being widespread on the Amazon coast and the most productive in Pará fishing, accounting for 63% of the total landed production (Frédou and Asano-Filho, 2006; Oliveira, 2020).
Gillnets, which are employed in small-scale fishing operations (Bentes et al., 2012) using boat hold with a typical stock capacity of less than 5.0 tonnes, and boats that range in length from 8 to 10 m and come in a broad range of designs.
In addition, gillnet has a high degree of selectivity compared with trawling, with reduced discarding in terms of both species and fish size, depending on the mesh size (Deniz et al., 2020). On the coast of Pará, there is a wide variety of gillnets suitable for catching different species. From this differentiation come the nomenclatures used regionally, which are well known in artisanal fishing and refer mainly to the mesh openings and thickness of the twine, such as the ‘serreira’ net, with a mesh opening of 50 to 80 mm, used on the Pará coast to catch sawfish—serra Spanish mackerel (Scomberomorus brasiliensis); ‘tainheira’, with a mesh opening of 30 mm, used to catch mullet (Mugil spp.); and the ‘gozeira’, used to catch king weakfish (Macrodon ancylodon), with an opening of 35 to 40 mm (Soares, 2017). In this way, fish types were categorised using the common names that the fishermen gave as they landed; so, in the case of Mugil, there was no accurate definition and verification for identifying species of this genus.
However, the studies or analyses focus on one species or put all together in a miscellaneous group or multispecific fisheries (Oliveira et al., 2007). The analysis of fishery with a multivariate approach has already been carried out by Isaac et al. (1996) in the region of Santarém-PA in 1993, and by Oliveira et al. (2007) with a univariate and multivariate approach to fishing in the Amazon estuary.
In Marajó Bay (Oliveira and Frédou, 2011) and Salgado Pará (Paz et al., 2011), multivariate analyses of fishing have already been carried out; nonetheless, a new method that uses the information gathered in the daily sale bill is proposed to predict the fishing profiles used in a single fishing trip (Pelletier and Ferraris, 2000).
In general, fishermen do not have homogeneous practices and can differ substantially in the way they operate. They can be defined as specialists when they concentrate on a particular area, target species or method of capture, and generalists, when they are more flexible in the characteristics of the fishery and even carry out activities not related to fishing (Salas and Gaertner, 2004; Boonstra and Hentati-Sundberg, 2016).
Understanding the behaviour of fishermen through the aggregate behaviour of fishing fleets over the long term is a key ingredient for successful fisheries management (Hilborn, 2007).
In this way, this is the first research to use a multivariate technique to describe small-scale fishery profiles along the Eastern Amazon coast.
2 Materials and methods
2.1 Study area and data collection
The Brazilian Amazon coast or North Coast is located between Cape Orange (Amapá, 51° W) and Ponta do Tubarão (Maranhão, 43° W), with an approximate linear extension of 2,250 km, cut out by estuaries, characterised by indentations and coastal islands. This wide estuary is made up of several river channels with varying salinities, small internal estuaries, and islands of different lengths (Cintra and Oliveira, 2014).
In Pará, the coastal zone is between the municipalities of Afuá, on the border with Amapá, and Viseu, on the border with Maranhão (Barthem et al., 2024), and is made up of 40 municipalities according to the classification of Federal Law No. 7.661/88, Decree No. 5.300/2004 (Espírito Santo, 2011).
These estuarine dynamics have a considerable impact on the region’s fishing activity. The entry of nutrients into the system contributes to primary productivity by structuring the food web in these regions (Wolff et al., 2000).
In the coastal region of Pará, the region’s municipalities have a historic vocation for fishing, accounting for a large portion of the state’s fishing production (Furtado, 1990; Paula, 2018).
The fishing areas to be assessed in this study are those exploited by the fishing fleets of the municipalities of São Caetano de Odivelas, Maracanã, Marapanim, Curuçá, São João de Pirabas, and Viseu, whose landings records were made available for this study.
The set of information made available for this study was the database of the Pará State Fishing Landings Monitoring System Project, organised by the Secretariat of Fisheries and Aquaculture (former SEPAq/PA - Secretaria de Estado de Pesca e Aquicultura) and the Brazilian Republic Ministry of Fisheries and Aquaculture, intending to quantify the total amount of fish landed in the state of Pará, taking into account the areas, fishing gear, and types of vessels. The monitoring was carried out on a continuous census basis between February 2008 and December 2010 in coastal harbours in the state of Pará, whose landings came mainly from the small-scale artisanal fleet. The number of interviews in each city corresponds to the number of landings (see Results section below). Of the 11 municipalities monitored by the project, only six had more complete information on the vessels selected for this study: Curuçá (with four ports of landing), São Caetano de Odivelas (three ports), Marapanim (four ports), Maracanã (four ports), São João de Pirabas (three ports), and Viseu (two ports) (Figure 1).
 
  Figure 1. Area of the Amazon coast where the fisheries occur and the harbour where the data were collected during the period 2008–2010 in the Secretariat of Fisheries and Aquaculture (former SEPAq/PA) project in the state of Pará, Brazil.
During the landing control survey (Supplementary Material 1), the owners or masters of the vessels were asked for information on the area fished, production (kg) per species, the vessel’s port of origin, the type and name of the vessel, the number of days fished, the catch location, the fishing gear used, the number of fishermen, expenses, and the first sale price. The information collected was organised per landings and entered into a relational database in Access for Windows.
For this study, we considered small-scale fisheries that used gillnets, defined as fishing carried out by vessels between 8 and 10 m in length, with a wide variety of shapes, and boat hold capable of stocking less than 5 tonnes. To minimise possible typing, data collection, or data reporting errors, and to eliminate situations that differ from a standard fishing trip in this category, we filtered out trips lasting more than 5 days and carrying more than 13 people on board. This filter follows the definitions for small-scale fishing on the Amazon coast assessed by Bentes et al. (2012), in which the groups considered in this category made trips of up to 5 days and occupying 4 to 12 fishermen. The analyses were therefore carried out on 99% of the small boat category.
2.2 Methods and analysis
We used the landed weight data (kg) for each fish type recorded per trip. Fish types were classified according to the common names provided by the fishers at the time of landing, and these classifications are hereafter referred to as ‘types of fish’. Analyses were based on these types of fish rather than the scientific names of the species since common names can include more than one species (Supplementary Material 2).
The input data matrix consists of trips/landings as the individuals and the catch per types of fish as the variables. No zero catches were used.
The groupings were based on fishing-landing profiles, which consist of grouping landings with similar fishing patterns in terms of the composition and quantity of fish caught. In addition, the relative composition of types of fish was verified to determine the fishing profiles of these fisheries, and the most important types were selected using three selection criteria:
i) The first criterion considered the entire database and selected the types of fish that exceeded 95% of the total catch by landed weight, based on the fitted simple exponential model from the Food and Agriculture Organisation (Garcia and Newton, 1995).
ii) The second criterion considered each landing event individually and selected those with exclusive catches, i.e., when 100% of the weight landed on a trip was just one type of fish.
iii) The third criterion applied a hierarchical agglomerative clustering (HAC) analysis to group species based on their catch proportions. First, the average catch proportion for each type of fish was calculated. Types with the lowest average proportions were grouped together, and some not in this low-catch group were retained for further analysis. For each landing, the proportion of each fish type in the catch was then determined. HAC was performed using Euclidean distance to measure dissimilarities and Ward’s agglomeration method to minimise within-group variance. The optimal number of clusters was determined using a first-order scree test, selecting the position of the first value less than zero in the vector obtained from the second derivative of the dendrogram’s node heights. All analyses were conducted in R version 4.0.1 using the amap package (Lucas, 2024) and the SOAR package (Venables and Brahm, 2013) (The R Foundation, 2025).
From the three methods carried out, the main species selected were those that met the criteria in total, by landing event and those selected by the HAC method.
The multivariate approach was used to identify the groups of landing profiles, which consisted of two stages: first principal component analysis (PCA) and then hierarchical agglomerative clustering (HAC) (Cambiè et al., 2017; Parsa et al., 2020).
Principal component analysis (PCA) was applied to the matrix generated with the proportion of catch per landing, considering the types of fish selected according to the methods described above, in order to reduce the dimensionality of the data to a number of axes that represent 70% of the variation in the data. A matrix was then obtained comprising the values of each dimension selected by this criterion as descriptors and the corresponding landings as rows. The analyses were carried out in the R statistical software (version 4.0.1) using the FactoMineR (Husson et al., 2024) and gridExtra packages (The R Foundation, 2025). Once the dimensions of the data had been reduced, agglomerative methods were applied to determine the appropriate number of fishing profiles, which are homogeneous groups in terms of species composition based on the landing data. This clustering method was used to determine landing profiles, with the Euclidean distance criteria and Ward’s agglomerative method mentioned for selecting the main species (Pelletier and Ferraris, 2000). In order to determine the number of retained axes, the cutoff level of the dendrogram was determined by the third-order scree test, which took the position of the third value less than zero obtained from the vector of the second derivative of the height values in the dendrogram generated by HAC.
For each cluster, the average of each dimension, the size of each cluster and the total variance between and within clusters were determined. The size of each cluster was equal to the number of landings that formed it. In this way, each cluster represented a landing profile, understood as the proportion of the average catch of each type of fish. The analyses were carried out in the R statistical software (version 4.0.1) using the lattice and amap packages (Lucas, 2024; The R Foundation, 2025).
3 Results
The principal component analysis considered 12 main axes relevant for analysis, which explain ≈ 70% of the variance of the 47 types of fish landed in the data matrix (Supplementary Material 3). The types of fish selected according to the criteria described in the methodology are listed in Figure 2 (year 2008), Figure 3 (2009), and Figure 4 (2010), which show these categories dispersed on the first four axes.
 
  Figure 2. Results of the principal component analysis (PCA) using the matrix of landings per trip of 28 main types of fish landed in 2008 in the Curuçá, Maracanã, Marapanim, São Caetano de Odivelas, São João de Pirabas, and Viseu municipalities, Pará, Northern Brazil.
 
  Figure 3. Results of the principal component analysis (PCA) using the matrix of landings per trip of 28 main types of fish landed in 2009 in the Curuçá, Maracanã, Marapanim, São Caetano de Odivelas, São João de Pirabas, and Viseu municipalities, Pará, Northern Brazil.
 
  Figure 4. Results of the principal component analysis (PCA) using the matrix of landings per trip of 28 main types of fish landed in 2010 in the Curuçá, Maracanã, Marapanim, São Caetano de Odivelas, São João de Pirabas, and Viseu municipalities, Pará, Northern Brazil.
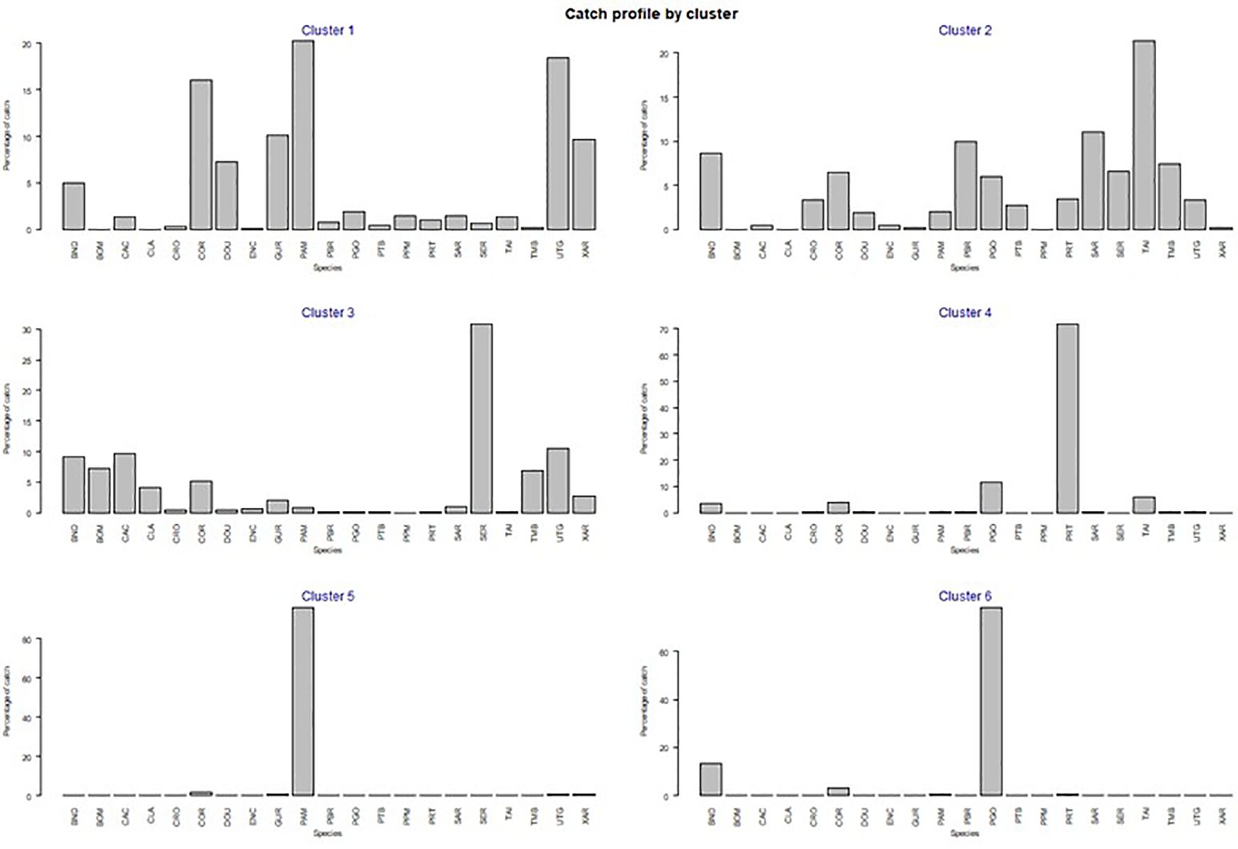
The grouping analyses with the main components made it possible to identify fishing-landing patterns and classify the trips into different fishing profiles for each year analysed, making it possible to identify the target species and name each profile according to the most representative type of fish by weight. The target species are not known directly from the data, as only catch information is available (Table 1). The PRAT (megrim - pratiqueira) and PAMA (acoupa weakfish - pescada amarela) fishing profiles were predominant during the period analysed, with the highest percentage of catches of megrim and acoupa weakfish, respectively. Profiles considered to be multispecies, with a greater richness of fish types and low catch percentages, also occurred every year, with differences in the composition of fish types and the proportion of fish caught [Figure 5 (year 2008), 6 (2009), 7 (2010)].
 
  Table 1. Fishing profiles for the years 2008, 2009, and 2010. The acronyms represent the predominant fish in the landings; n is the number of landings analysed and the types of fish caught.
 
  Figure 5. Results of the landing profiles from the landings assessed in 2008 in the Curuçá, Maracanã, Marapanim, São Caetano de Odivelas, São João de Pirabas, and Viseu municipalities, Pará, Northern Brazil.
Six profiles were found for 2008: PRAT, PGO (king weakfish—pescada gó), PAMA, SER (serra Spanish mackerel—serra), MIST (multispecies), and TAI (mullet—tainha). PRAT and PGO fishing profiles had catches of more than 70% and were therefore considered target species (Figure 5). PGO, with 298 landings, also consists mainly of gafftopsail sea catfish (bandeirado) and green weakfish (corvina/pescada-Amazônica). The 678 landings of the PRAT profile were accompanied in smaller proportions by other pelagic fish such as king weakfish, green weakfish, and mullet. PAMA (n= 621) is a profile with a well-defined target species and specialises in catching acoupa weakfish, with 96% of its catch accompanied by green weakfish. The SER profile (n= 141) shows the occurrence of crucifix sea catfish (uritinga), elasmobranchs (sharks/rays—cação), gafftopsail sea catfish, and skipjack tuna (bonito), with a catch percentage of around 10%. Despite this, it can be inferred that the fishing of serra Spanish mackerel was targeted this year, with 30.8% of the proportion and 89.4% of the landings. The MIST (n= 672) and TAI (n=713) profiles show multispecies characteristics with low catch percentages and the occurrence of various types of fish. Mullet had the highest catch percentage in the TAI profile at 21.3%, with the presence of all the selected types of fish. In the MIST profile, all types of fish occur, except skipjack tuna, with a low percentage of catches, predominantly acoupa weakfish, crucifix sea catfish, green weakfish, gillbacker sea catfish (gurijuba), crevalle jack (xaréu), and goliath catfish (dourada) (Figure 5).
In 2009, the PAMA profile (n=870) was unchanged in terms of the composition of the types of fish, with 95% acoupa weakfish accompanied by green weakfish. PRAT (n=642) occurred again, with 85% of the production being exploited with mullet, green weakfish, king weakfish, and gafftopsail sea catfish. In the TAI profile (n=766), mullet accounted for 90% of production, along with laulao catfish (piramutaba), Atlantic bonito (sarda), and serra Spanish mackerel. The highest number of landings was grouped in the MIST profile (n=3,113), where all types of fish are caught at the same time, with a low percentage of catches (Figure 6) and a change in the proportion of types of fish was observed, with acoupa weakfish, green weakfish, goliath catfish, and king weakfish being the most representative.
 
  Figure 6. Results of the landing profiles from the landings assessed in 2009 based on the identified capture profiles.
Seven fishing profiles were found for 2010, in which the pattern of the PAMA, PRAT and TAI groups was again observed. PAMA (n=1,098) saw a change in the proportion of acoupa weakfish caught to 89%, accompanied by catfish and crevalle jack, as well as green weakfish. PRAT (n=437) became a profile with an almost exclusive catch of megrim with 98% of the landings. TAI (n=268) maintained its relative abundance of 90% of landings, accompanied by king weakfish, megrim, and Atlantic bonito. The profile known as PESC (n=302) was made up of 52% acoupa weakfish, accompanied by crevalle jack, gillbacker sea catfish, and green weakfish. PGO (n=651) mainly targets king weakfish (32%), catfish (16%), mullet (15%), and megrim (13.5%). The SER profile (n=533) is grouped again, with differences in its composition. This profile targets serra Spanish mackerel in 25% of the catch, whereas wingfin anchovy (timbiro), gafftopsail sea catfish, green weakfish, crucifix sea catfish, and mullet are also exploited. The MIST profile (n=693) maintained the pattern of low catch percentages and is made up of all types of fish, except skipjack tuna and pompano (canguira), with greater relevance of megrim, green weakfish, and crucifix sea catfish (Figure 7).
 
  Figure 7. Results of the landing profiles from the landings assessed in 2010 based on the identified capture profiles.
Between 2008 and 2010, in fisheries categorised as small-scale, using gillnets, fishing landings were catalogued—which are directly related to the number of interviews carried out—with 4,819 landings interviewed for the Curuçá municipality, 3,316 in São Caetano de Odivelas, 778 in Maracanã, 1,517 in Marapanim, 662 in São João de Pirabas, and 1,434 landings catalogued in Viseu.
Our findings revealed that considering all six cities studied between 2008 and 2010, the MIST profile predominated (38%), followed by the PAMA profile (19%), and the PRAT profile (16%), whereas the other ones totalled 27% (Figure 8). With regard to the distribution of profiles between municipalities, 49% of fishing profiles in Curuçá were grouped under MIST, followed by 18% under PAMA and 15% under PRAT. In Maracanã, 66% of the fishing profiles were grouped under MIST, 15% under PGO, and 8% under SER. In Marapanim, fishing for the PRAT profile stands out with 30% of the groupings, followed by MIST with 29% and PGO with 17%. In São Caetano de Odivelas, there was a predominance of the PAMA profile, with 46% of the landings registered, followed by the TAI profile, with 29% of landings, and MIST with 17%. In São João de Pirabas, there was a predominance of PRAT with 46% of landings targeting this profile, and MIST and SER with 33% and 16% of landings, respectively. Landings in Viseu were dominated by the MIST profile with 54%; the PRAT profile accounted for 22% of landings and the PGO for 19%.
 
  Figure 8. Percentage of landing profiles analysed between 2008 and 2010 based on the identified capture profiles.
Each group described is made up of the Fishing Profile variable included in the input matrix for identifying tactics. In the absence of specific interviews to typify fisheries, the catch profiles provide information on the target species of the group under study.
4 Discussion
Gillnet fishing is a passive method that is used all over the world for small canoes and also in large-scale fisheries (Lyle and Tracey, 2016). Studies indicate that fisheries using gillnets are multispecies; however, Fernandes et al. (2009) studying fisheries in the central Amazon already indicate two main categories of use of gillnets, one with a mesh smaller than 80 mm for small and medium-sized migratory characiforms (ray-finned fish) and gillnets with a mesh larger than 80 mm for larger species and specimens.
In the estuary, we find two well-defined profiles, focusing on PRAT (megrim) and PAMA (acoupa weakfish) predominant during all the periods analysed. The species of PRAT represent one of the main commercial fishing resources in temperate and tropical regions of the world (Diniz et al., 2020), Pará is no different, with fishermen specialising in catching this group. The PAMA fishery is one of the most important along the Amazon estuary, using small and medium-sized artisanal boats, gillnets up to 4,800 m long and mesh sizes ranging from 180 to 200 mm (between opposite knots) (Haimovici et al., 2014). In Maranhão, for example, gillnets are called ‘pescadeira’ (aimed at acoupa weakfish) (Matos and Lucena, 2006). In this study, the results showed a very distinctive group operating over the 3 years analysed, specialising in catching PAMA.
In addition to the above profiles, PGO (king weakfish), SER (serra), TAI (mullet), and MIST (multispecies) occurred in alternating years and were not frequent over the 3 years analysed. Lelis et al. (2025) studied king weakfish fishing (Macrodon ancylodon) and found it to be the main target species in the municipalities of Maracanã, Bragança, and Marapanim, reaching catches of 11,842 kg in 2019. The profile of the fishermen who serra fish has already been characterised (Haimovici et al., 2014), and notes such as the distribution of the Bragança serra fleet’s fishing trips by fishing ground indicate an evolution in the localisation of fishing grounds from areas close to ports, in 2000, to the state of Maranhão, first, and finally to the state of Amapá. This alternative has only proved viable for larger vessels, since for small ones the operating costs of fishing off the coast of Amapá consume 72% of the revenue from trips, whereas those made to Pará and Maranhão accounted for only 20%–26% (Espírito Santo, 2012). In this case, the profile studied here targets the small vessels that do not need to travel far because of operating costs.
The fisheries analysed showed two types of fishermen’s tactics, the generalists who carry out their fishing in less time and have high flexibility, lack of specialised technologies, and lower costs. In this case, the MIST (multispecies) profile characterises this fisherman who lands small quantities of many species. Specialist fishermen, on the other hand, carry out the fishery over a longer period and have low flexibility, more specialised technology, and higher costs. The profiles PAMA (acoupa weakfish), PRAT (megrim), PGO (king weakfish), SER (serra), and TAI (mullet), in other words, even when using more generalist gear, the catch profile is well-characterised.
This information is important because studies usually investigate fishing focussed on one species and covering various sizes of boats. Often, the management measures triggered by these studies establish management objectives without observing the peculiarities of each type of fishing, especially small-scale fishing.
Because the estuary Amazon fisheries have such varied characteristics, studies aimed at characterising artisanal fishing are of fundamental importance to support more appropriate strategies for monitoring and managing the resource.
Bentes et al. (2012) studied fishing production systems on the Amazon coast grouping vessels into large-scale and small-scale boats and found seven groups linked to small-scale artisanal fishing on the coast of Pará. These groups differ in terms of the target species, the gear used, and the fishing location associated with economic, social, and political factors.
Our results found six catch profiles, analysing an extract of fishing landings that used gillnets and small-scale nets, defined as fishing carried out by vessels large scale (Bentes et al., 2012). The focus of our results was to detect the fishermen’s tactics concerning the species fished, which can be used in the future to related to the fishing areas exploited, the times of year when fishing takes place, and the economic conditions of fishermen.
Studies in this area are important for drawing up policies for the sector, and it is fundamental to understand fishing strategies, which are related to the limitations and aspirations of fishermen, taking into account human and social aspects and the cultural and economic context (Salas and Gaertner, 2004). The more immediate, short-term decisions that can change with each trip, such as deciding where, when, and what to fish, are defined as tactical.
Fishermen develop their tactics as adaptive responses to changes in the abundance of the resource, environmental conditions, and market or regulatory restrictions (legislation). Economic maximisation is the basis for individual fishermen’s decisions, but it does not explain the behaviour of all fishermen and can be applied more appropriately to industrial fleets than to small-scale fishermen. Other stimuli should be considered when assessing fishing dynamics (Salas and Gaertner, 2004).
Fishermen have historically been flexible and adaptable in their tactics, partly because they are constantly subject to changes in climate, fish prices, and access to resources. When these changes are drastic, fishermen seek to increase their fishing efforts, change target species, or look for new locations to maintain their fishing activity (Salas and Gaertner, 2004). This usually occurs over the long term (from year to year) and has been considered a strategy used by fishermen when trying to reduce catch uncertainty (Christensen and Raakjær, 2006). Analyses of changes in fishing tactics and strategies require more data to generate a historical profile of changes in the fleet, but the rare availability of this set of data for artisanal commercial fisheries in Pará fragment analyses, making it difficult to get a holistic view of the fleet’s entry, permanence, or exit from a type of fishery.
The availability of species on the northern coast of Brazil is influenced by hydrological regimes, which directly affect the composition and abundance of marine communities throughout the year, as already evidenced by Oliveira et al. (2007) and Souza et al. (2009). It is important to emphasise that this approach is initial and requires a more in-depth analysis of seasonality, considering that seasonal variations in rainfall, river flows, and coastal currents can have a significant impact on fishing profile patterns throughout the year. Future studies should deepen this spatial-temporal dimension in order to provide a more comprehensive understanding of the factors that regulate the fishing profiles of the small-scale fisheries that occur in the region.
In addition, future research should include the characterisation of fishermen in social and economic terms, as a way of valuing and gaining a deeper understanding of these important actors in the global production chain (Garcia-de-la-Fuente, 2020; Oti et al., 2024; Taiwo O et al., 2025).
5 Conclusion
This represents the first study of a multivariate approach to characterise fishing profiles on the Eastern Amazon coast. In this way, we have identified seven consistent profiles that were used by fishermen, in which the most representative profiles were acoupa weakfish (pescada amarela—P.PAMA), megrim (pratiqueira—P.PRAT), mullet (tainha—P.TAI), and multispecies (P.MIST) profiles. Serra Spanish mackerel (serra—P.SER) and king weakfish (pescada gó—P.PGO) profiles were only listed in 2008 and 2010, and pacora (pescada curuca—P.PESC) only in 2010. The results revealed that in all six cities studied between 2008 and 2010, the MIST profile predominated with 38% of the total. In this way, this multivariate approach therefore proved to be effective and targeted for analysing fishing profiles, which can serve as a parameter for future characterisation studies. In addition, this study may introduce further research, e.g., integrating with taxonomy (including morphoanatomical and molecular account), socioeconomic data, or long-term dynamics, besides public policies addressed at monitoring fishing in the Eastern Amazon, strengthening this methodology, which can also be used in other parts of the world.
Data availability statement
The original contributions presented in the study are included in the article/Supplementary Material. Further inquiries can be directed to the corresponding author.
Ethics statement
This research used data from fishing landings without animal collection or interviews, absence of direct contact with living beings, the research was non-experimental and based on secondary and publicly accessible data, in this case, the research is exempt from approval by research ethics committees (RECs) for humans and animals.
Author contributions
MC: Methodology, Conceptualization, Software, Writing – original draft. LP: Writing – review & editing, Formal analysis, Writing – original draft. BS-A: Data curation, Writing – review & editing, Software, Formal analysis. RB: Conceptualization, Funding acquisition, Writing – review & editing, Supervision. DC: Writing – review & editing, Formal analysis, Writing – original draft, Data curation.
Funding
The author(s) declare financial support was received for the research and/or publication of this article. This research was primarily funded by the Coordination for the Improvement of Higher Education Personnel (CAPES, Brazil), through Programa Institucional de Pós-Doutorado (PIPD) from Programa de Pós-Graduação em Ecologia Aquática e Pesca (PPGEAP), Núcleo de Ecologia Aquática e Pesca da Amazônia (NEAP), Federal University of Pará (UFPA, Brazil), and CAPES reference 88887.015165/2024-00, which supported DAC. In partnership with the Interdisciplinary Centre of Marine and Environmental Research (CIIMAR/UP, Portugal), this research was also supported by the strategic funding UIDB/04423/2020 and UIDP/04423/2020 through national funds provided by FCT – Foundation for Science and Technology (Portugal).
Acknowledgments
The authors acknowledge the Secretariat of Fisheries and Aquaculture (former SEPAq/PA), state of Pará, Northern Brazil, for data set acquisition.
Conflict of interest
The authors declare that the research was conducted in the absence of any commercial or financial relationships that could be construed as a potential conflict of interest.
Generative AI statement
The author(s) declare that no Generative AI was used in the creation of this manuscript.
Any alternative text (alt text) provided alongside figures in this article has been generated by Frontiers with the support of artificial intelligence and reasonable efforts have been made to ensure accuracy, including review by the authors wherever possible. If you identify any issues, please contact us.
Publisher’s note
All claims expressed in this article are solely those of the authors and do not necessarily represent those of their affiliated organizations, or those of the publisher, the editors and the reviewers. Any product that may be evaluated in this article, or claim that may be made by its manufacturer, is not guaranteed or endorsed by the publisher.
Supplementary material
The Supplementary Material for this article can be found online at: https://www.frontiersin.org/articles/10.3389/fmars.2025.1606295/full#supplementary-material
Supplementary Material 1 | Landing fisheries formulary applied to collect the data during the period 2008–2010 in the Secretariat of Fisheries and Aquaculture (former SEPAq/PA) project in the state of Pará, Northern Brazil.
Supplementary Material 2 | List of 74 types of fish, with acronyms used in the analysis and scientific names.
Supplementary Material 3 | The main types of fish selected for analysis by the methods of hierarchical agglomerative clustering (HAC) analysis; are landings with one type of fish and types of fish that exceed 95% of the total catch by landed weight.
References
Barreto W. L., Dias N. W., Gomes L. P., Silva Filho A. C., Perrone A. C., and Rodrigues A. E. (2023). “A pesca artesanal no Estado do Pará – Brasil,” in Ciência ambiental: avanços tecnológicos, perspectivas sociais e os problemas causados pela intervencção humana. Eds. Dias G. N. and Gonçalves R. F. (Atena Editora, São Paulo), 157–177. doi: 10.22533/at.ed.43123020510
Barthem R., Goulding M., and Venticinque E. (2024). Atlas do Estuário Amazônico (Belém: Museu Paraense Emílio Goeldi). Available online at: https://www.gov.br/museugoeldi/pt-br/a-instituicao/difusao-cientifica/livros-digitais-1/atlas-do-estuario-amazonico.pdf (Accessed March 10, 2025).
Bentes B., Isaac V. J., Espírito-Santo R. V., Frédou T., De Almeida M. C., Mourão K. R. M., et al. (2012). Multidisciplinary approach to identification of fishery production systems on the northern coast of Brazil. Biota Neotrop. 12, 81–92. doi: 10.1590/S1676-06032012000100006
Boonstra W. J. and Hentati-Sundberg J. (2016). Classifying fishers’ behaviour. An invitation to fishing styles. Fish Fish. 17, 78–100. doi: 10.1111/faf.12092
Cambiè G., Pantin J. R., Lincoln H., Hiddink J. G., Lambert G. T., and Kaiser M. J. (2017). Diversity of fishing métier use can affect incomes and costs in small-scale fisheries. Can. J. Fish. Aquat. Sci. 74, 2144–2152. doi: 10.1139/cjfas-2016-0367
Christensen A. S. and Raakjær J. (2006). Fishermen’s tactical and strategic decisions. Fish. Res. 81, 258–267. doi: 10.1016/j.fishres.2006.06.018
Cintra J. P. and Oliveira R. H. (2014). Nicolas sanson and his map: the course of the amazon river. Acta Amaz. 44, 353–365. doi: 10.1590/1809-4392201302944
Deniz T., Göktürk D., and Ateş C. (2020). Selectivity parameters of European hake gillnets for target and by-catch species with a perspective on small-scale fisheries management in the Sea of Marmara, Turkey. Reg. Stud. Mar. Sci. 33, 100934. doi: 10.1016/j.rsma.2019.100934
Diniz A. L. C., Carvalho I. F. S., Silva Á.P.C., Almeida D. S., Ferreira L. J. S., Cantanhêde L. G., et al. (2020). Parâmetros da reprodução de Mugil curema (Mugilidae, Telesostei) capturados em uma área da costa amazônica maranhense, Brasil. Braz. J. Dev. 6, 11277–11289. doi: 10.34117/bjdv6n3-119
Espírito Santo C. M. (2011). A gestão dos riscos naturais à erosão e inundação nos planos diretores de municípios da zona costeira (estado do Pará) (Federal University of Pará, Brazil). Available online at: https://www.repositorio.ufpa.br/jspui/handle/2011/9898 (Accessed March 8, 2025).
Espírito Santo R. V. (2012). Produtividade e rentabilidade da frota artesanal que captura serra, (Scomberomorus brasiliensis, Collette, Russo & Zavalla-Camin 1978), na costa norte do Brasil.
FAO-Food and Agriculture Organization (2020). The state of world fisheries and aquaculture 2020: sustainability in action (Rome: FAO). doi: 10.4060/ca9229en
FAPESPA (2024). Consumo de pescado no Pará é quase quatro vezes maior que a média Brasileira. Available online at: https://www.fapespa.pa.gov.br/2024/03/05/consumo-de-pescado-no-para-e-quase-quatro-vezes-maior-que-a-media-brasileira/ (Accessed March 30, 2025).
Fernandes V. L. A., Vicentini R. N., and Batista V. S. (2009). Caracterização do uso de malhadeiras pela frota pesqueira que desembarca em Manaus e Manacapuru, Amazonas. Acta Amaz. 39, 405–413. doi: 10.1590/S0044-59672009000200020
Frédou F. L. and Asano-Filho M. (2006). “Recursos pesqueiros da região Norte,” in Programa REVIZEE: Avaliação do Potencial Sustentável deRecursos Vivos na Zona Econômica Exclusiva - Relatório Executivo. Ed. MMA (Ministério do Meio Ambiente, Secretaria de Qualidade Ambiental nos Assentamentos Humanos, Brasília). Available online at: https://www.researchgate.net/publication/310483239_Recursos_pesqueiros_da_regiao_norte (Accessed March 10, 2025).
Furtado L. G. (1990). Características gerais e problemas da pesca Amazônica no Pará. Bol. do Mus. Para. Emílio Goeldi Série Antropol. 6, 41–93.
Garcia S. M. and Newton C. (1995). “Current situation, trends, and prospects in world capture fisheries,” in Conference on Fisheries Management. Global trends. Eds. Pikitch E. K., Huppert D. D., and Sissenwine M. P. (American Fisheries Society, Seattle), 1–36. Available online at: https://fisheries.org/bookstore/all-titles/afs-symposia/x54020xm/ (Accessed March 10, 2025).
Haimovici M., Andriguetto Filho J. M., and Sunye P. S. (2014). A pesca marinha e estuarina no Brasil: Estudos de caso multidisciplinares (Rio Grande: Editora da FURG). Available online at: https://repositorio.icmbio.gov.br/handle/cecav/2183 (Accessed March 10, 2025).
Hilborn R. (2007). Managing fisheries is managing people: What has been learned? Fish Fish. 8, 285–296. doi: 10.1111/j.1467-2979.2007.00263_2.x
Husson F., Josse J., Le S., and Mazet J. (2024). FactoMineR: multivariate exploratory data analysis and data mining. CRAN Contrib. Packag. doi: 10.32614/CRAN.package.FactoMineR
Isaac V. J., Milstein A., and Ruffino M. L. (1996). Artisanal Fishery in the Lower Amazon: Multivariate Analysis of the Catch by Species [A pesca artesanal no baixo amazonas: análise multivariada da captura por espécie. Acta Amaz. 26, 185–208. doi: 10.1590/1809-43921996263208
Garcia-de-la-Fuente L. (2020). The artisanal fishing fleet in Asturias: characterization and quantitative analysis of its economic and social importance (Universidad de Oviedo). Available online at: https://digibuo.uniovi.es/dspace/handle/10651/57719 (Accessed February 28, 2025).
Lelis E. M., Freitas Y. C. A., Santos W. C. R., Chagas R. A., Cordeiro A. P. B., and Klautau A. G. C. M. (2025). “Características da pesca da pescada-gó Macrodon ancylodon (Bloch & Schneider 1801) no litoral Paraense,” in Anais do IV Conecta UFRA: Amazônia, Ciência & Sociedade (Even3, Belém). Available online at: https://www.even3.com.br/anais/iv-conecta-ufra/1027639-caracteristicas-da-pesca-da-pescada-go-macrodon-ancylodon-(bloch–schneider-1801)-no-litoral-paraense/ (Accessed March 10, 2025).
Lins L. R. R. T., Conceição M., and Espírito Santo R. V. (2020). Characterization of Serra fishing, (Scomberomorus brasiliensis, Collette, Russo & Zavalla-Camin 1978), in the amazon coastline. Int. J. Adv. Eng. Res. Sci. 7, 364–368. doi: 10.22161/ijaers.712.49
Lucas A. (2024). amap: another multidimensional analysis package (Auckland, CRAN Contrib. Packag). doi: 10.32614/CRAN.package.amap
Lyle J. M. and Tracey S. R. (2016). Catch, effort and fishing practices in a recreational gillnet fishery: Assessing the impacts and response to management change. Fish. Res. 177, 50–58. doi: 10.1016/j.fishres.2016.01.021
Matos I. P. and Lucena F. (2006). Description of the fishery of acoupa weakfish, Cynoscion acoupa, off Pará State [Descrição da pesca da Pescada-Amarela, Cynoscion acoupa, da Costa do Pará. Arq. Ciências do 39, 66–73.
Oliveira D. M., Frédou T., and Lucena F. (2007). The fishery in Amazon Estuary: an uni-and multivariate analysis [A pesca no Estuário Amazônico: uma análise uni e multivariada. Bol. do Mus. Para. Emílio Goeldi - Ciências Nat. 2, 11–21. doi: 10.46357/bcnaturais.v2i2.700
Oliveira D. M. and Frédou F. L. (2011). Characterization and space-time dynamics of the fishery activity in Marajó Bay, off the Amazon Estuary. Arq. Ciências do Mar. 44, 29–35.
Oliveira V. S. (2020). Tecnologia de pesca (Olinda: Livro Rápido). Available online at: http://www.faep.eng.br/arquivos/tecnologia_pesca_pdf_com_capa.pdf.
Oti O. G., Nelson G. N., and Idika V. C. (2024). Socioeconomic profiling of artisanal fishing in eastern obolo local government area of akwa ibom state, Nigeria: sex, age and access to credit perspective. Niger. Agric. Policy Res. J. 11, 82–90. doi: 10.22004/ag.econ.343432
Parsa M., Emery T. J., Williams A. J., and Nicol S. (2020). A robust métier-based approach to classifying fishing practices within commercial fisheries. Front. Mar. Sci. 7. doi: 10.3389/fmars.2020.552391
Paula J. D. (2018). Dinâmica da atividade pesqueira na costa norte do brasil: Variação espaço-temporal da captura em relação ao esforço de pesca (Federal University of Pará). Available online at: https://sucupira-legado.capes.gov.br/sucupira/public/consultas/coleta/trabalhoConclusao/viewTrabalhoConclusao.jsf?popup=true&id_trabalho=6649251 (Accessed March 10, 2025).
Paz A. C., Frédou F. L., and Frédou T. (2011). Characterization of the fishing activity in Vila do Conde (Barcarena, State of Pará), Amazon estuary [Caracterização da atividade pesqueira em Vila do Conde (Barcarena, Pará), no estuário Amazônico. Bol. do Mus. Para. Emílio Goeldi. Ciências Humanas 6, 307–318. doi: 10.1590/S1981-81222011000200004
Pelletier D. and Ferraris J. (2000). A multivariate approach for defining fishing tactics from commercial catch and effort data. Can. J. Fish. Aquat. Sci. 57, 51–65. doi: 10.1139/f99-176
Salas S. and Gaertner D. (2004). The behavioural dynamics of fishers: Management implications. Fish Fish. 5, 153–167. doi: 10.1111/j.1467-2979.2004.00146.x
Soares J. L. (2017). Os termos da pesca na vila dos pescadores de Ajuruteua (Bragança-PA): Uma abordagem socioterminológica (Federal University of Pará). Available online at: https://sucupira-legado.capes.gov.br/sucupira/public/consultas/coleta/trabalhoConclusao/viewTrabalhoConclusao.jsf?popup=true&id_trabalho=5446994 (Accessed March 10, 2025).
Souza E. B., Lopes M. N. G., Rocha E. J. P., Souza J. R. S., Cunha A. C., Silva R. R., et al. (2009). Seasonal precipitation in eastern Amazon during rainy season: regional observations and RegCM3 simulations [Precipitação sazonal sobre a Amazônia oriental no período chuvoso: observações e simulações regionais com o RegCM3. Rev. Bras. Meteorol. 24, 111–124. doi: 10.1590/S0102-77862009000200001
Taiwo O A., Preye O., and Oguntade S. T. (2025). Artisanal fishing in coastal communities: socioeconomic profiling and fishing practices in southern ijaw local government area (SILGA), bayelsa state. Int. J. Innov. Sci. Res. Technol. 10, 4503–4508. doi: 10.38124/ijisrt/25may812
Venables B. and Brahm based on original code by D. (2013). SOAR: Memory management in R by delayed assignments (Version 0.99-11). Available online at: https://cran.rproject.org/web/packages/SOAR/index.html.
The R Foundation (2025). The R project for statistical computing. Available online at: https://www.r-project.org/ (Accessed February 18, 2025).
Keywords: Eastern Brazilian Amazon, State of Pará, composition capture, artisanal fishing, gillnets, fishing tactics, landing profile
Citation: Carneiro MdA, Prestes L, Suárez-Ahumada B, Barthem RB and Costa DdA (2025) Characterise to manage: first analysis of small-scale fishery profiles on the Amazon coast. Front. Mar. Sci. 12:1606295. doi: 10.3389/fmars.2025.1606295
Received: 05 April 2025; Accepted: 04 September 2025;
Published: 30 October 2025.
Edited by:
D. K. Meena, Central Inland Fisheries Research Institute (ICAR), IndiaReviewed by:
Davide Agnetta, National Institute of Oceanography and Applied Geophysics (Italy), ItalyEugene Anderson, University of California, Riverside, United States
Marcelo Lino Morales Yokobori, University of Belgrano, Argentina
Copyright © 2025 Carneiro, Prestes, Suárez-Ahumada, Barthem and Costa. This is an open-access article distributed under the terms of the Creative Commons Attribution License (CC BY). The use, distribution or reproduction in other forums is permitted, provided the original author(s) and the copyright owner(s) are credited and that the original publication in this journal is cited, in accordance with accepted academic practice. No use, distribution or reproduction is permitted which does not comply with these terms.
*Correspondence: Manoela de Almeida Carneiro, bWFudWNhbG1laWRhMkBnbWFpbC5jb20=
†These authors have contributed equally to this work
‡ORCID: Manoela de Almeida Carneiro, orcid.org/0009-0005-0467-1957
Luiza Prestes, orcid.org/0000-0002-4942-5777
Benjamín Suárez-Ahumada, orcid.org/0009-0006-9087-9590
Ronaldo Borges Barthem, orcid.org/0000-0002-9919-0478
Dimítri de Araújo Costa, orcid.org/0000-0002-5399-2483
 Benjamín Suárez-Ahumada4‡
Benjamín Suárez-Ahumada4‡