- 1Dipartimento di Ingegneria, Università degli Studi di Palermo, Palermo, Italy
- 2Department of Integrative Marine Ecology (EMI), Stazione Zoologica Anton Dohrn, Sicily Marine Centre, Palermo, Italy
- 3National Biodiversity Future Center (NBFC), Palermo, Italy
- 4Department of Earth and Environmental Sciences (DISAT) University of Milano-Bicocca, Milan, Italy
- 5Laboratorio di Ecologia, Dipartimento di Scienze della Terra e del Mare (DiSTeM), University of Palermo, Palermo, Italy
Marine litter is a globally recognized issue that impacts the environment and has significant negative effects on both human health and socio-economic activities. Mainly composed of plastic items, marine litter can be dispersed in the ocean by surface currents, sink to the seafloor, and/or be deposited on coastal areas. Monitoring, quantifying, and characterizing beach litter can be time-consuming but can be conducted using established monitoring protocols (both European and international) and supported by citizen science. Here, we present and discuss the main outcomes from in situ monitoring campaigns covering sandy beaches in both an urban area and a Marine Protected Area. Both macro- and meso-litter were quantified and identified by material, size, shape, and color. The quantity and heterogeneity of items (classified using the Joint List of Litter Categories for Macrolitter Monitoring) were highest in areas with the greatest user presence (e.g., refreshment areas, shops, and restaurants). Free-access beaches showed the highest density of macro-litter items compared to beaches where entrance was regulated by three levels of subscription. Artificial polymers/plastics, particularly plastic caps and lids, dominated, followed by paper and cardboard fragments. A database has been created allowing to highlight hotspots and patterns of occurrence that can inform local management measures, urging municipalities to improve waste management.
1 Introduction
The high commercial demand from plastic manufacturers has caused a continuous increase in production. In 2023 alone, 413.8 Mt of plastic was produced worldwide, approximately 13 Mt more than in 2022 (Plastics—the Fast Fact, 2024, Plastics—the Fast Fact 2023, https://plasticseurope.org/). All countries, though in varying amounts, contribute to global plastic production: 32% of the world’s production was recorded in China, 18% in North America, and 15% by Europe. Japan and Europe were the only regions to experience a decrease in production compared to 2017, with Europe reducing its share from 19% to 15%). Of the plastic manufactured in Europe, 39.9% is used for packaging, with tourist and recreational activities being major sources (Chen et al., 2021). Although the end-of-life of plastic items is regulated—identifying processes such as recycling, energy recovery, and landfill—a non-negligible portion ends up in both terrestrial and aquatic environments. Given the large quantities of plastic dispersed and the negative impacts observed on marine ecosystems, human health, and socio-economic activities, the European Commission has undertaken several mitigation measures. First, the presence of plastic in the sea was recognized, and the term marine litter was defined as “any persistent, manufactured or processed solid material discarded, disposed of, or abandoned in the marine and coastal environment” (European Commission, Joint Research Centre, 2015). Subsequently, various laws were enacted to reduce the quantity of plastic produced and improve end-of-life management. For example, the production and market placement of single-use plastics was recently regulated by Directive 2019/904/EU.
The growing accumulation of debris in both beach and marine environments (Williams et al., 2013) has raised concern among scientists, citizens, and policymakers. To facilitate monitoring and data comparison across time and space, the scientific community has proposed classifying plastic items into size-based categories: mega (>1 m diameter), macro (<1 m), meso (<2.5 cm), micro (<5 mm), and nano (<1 μm) (GESAMP, 2016). Historically, marine and beach litter have mainly been studied through in situ sampling campaigns that allow researchers to quantify and characterize the debris. Over the years, monitoring protocols have been developed, outlining strategies, materials, and methods to make debris sampling more effective and harmonized across a wide range of coastal habitats (e.g., sandy and rocky beaches).
In this framework, we transferred and applied existing knowledge on scientific monitoring protocols to design and implement sampling campaigns based on active citizen participation (the citizen science protocol is available in the Supplementary Materials section). By allowing people to participate in field data collection—while receiving in situ training—we were able to extensively cover sandy beaches in northwestern Sicily (Italy, Central Mediterranean Sea), focusing on both macro- and meso-litter debris. Marine litter data were collected from beaches that represent the two main management practices along the Italian peninsula (also common in other coastal regions across the Mediterranean basin): beaches with regulated access through beach resorts (entrance permitted via subscription condition or payment) and free-access beaches. This study aims to identify correlation patterns between litter quantities and categories and their respective beach management practices, where applicable (i.e., “subscription/regulated access” vs “free” beaches). Additionally, at free-access beaches, high resolution data collection enabled exploration of key differences in debris between areas within and outside a Marine Protected Area and the neighbouring fishing community. By deploying a citizen science data collection protocol specifically designed to reflect monitoring standards recommended at European and international levels, along with a beach cleaning toolkit, we also aimed to test the feasibility of promoting scientifically informed cleaning activities. Here, we present the initial outcomes of our citizen-driven data collection, which, even with a restricted spatio-temporal frame, ensured the robustness of the compiled database. The resulting database may be used for future comparative studies at both local and global scales, allowing for the assessment of potential mitigation measures once implemented. The identified hotspots and patterns can reliably inform tailored mitigation measures.
2 Materials and methods
2.1 Study area and monitoring strategy
The study areas were selected a priori to achieve these goals, and the citizen science-based sampling campaigns were conducted during the summer of 2021, as part of an awareness campaign supported by the “SenHAR” Project funded by the INTERREG Italy-Malta Operational Program (call n. 02/2019). The macrolitter fraction was quantified and categorized by material, size, and color, with different codes aside to the “Joint List of Litter Categories for Marine Macrolitter Monitoring” released by the European Union (https://mcc.jrc.ec.europa.eu/documents/Joint_List_Litter_Categories/J-CodeList-JointListofLitterCategories-TechnicalGroupMarineLitter24_3_2021.xlsx; Addamo et al., 2018; Fleet et al., 2021). Once the litter was classified, it was possible to evaluate the most frequent types of litter among all materials (e.g., paper, rubber, plastic) and, specifically, to identify the most frequent plastic categories per beach and management option. The mesolitter fraction, an emerging class of environmental pollutants’ that pose a threat to ecosystems, was analyzed with a specific focus on mesoplastics, which form from the breakdown of macroplastics and are larger than microplastics. Abundance, size, shape, and color were recorded.
The monitoring campaign was conducted in two sites along the northwestern Sicilian coast (Italy; Figure 1): Isola delle Femmine (hereinafter referred to as I) and Mondello (hereinafter referred to as M), selected for their predominantly sandy compositions and high tourist presence.

Figure 1. In situ beach litter’s sampling area. Isola delle Femmine (I) location (a) free-access sites (I-1, I-2, I-3); Mondello (M) location (b) managed sites (i.e., beach access regulated by subscription) based on “Seasonal” (M-S1, M-S2, M-S3), “Daily” (M-D1, M-D2, M-D3) and “Low-cost” (M-L1, M-L2) or rather hourly subscription.
The surveying locations (and the corresponding sampling sites, i.e., beaches) were selected according to the “Guidance on Monitoring of Marine Litter in European Seas” protocol proposed by the Joint Research Centre, Institute for Environment and Sustainability (Hanke et al., 2014). The criteria satisfied by the surveyed areas included: a minimum length of 100 m; a low to moderate slope (between 15° and 45°); free accessibility throughout the year; and the absence of other waste collection activities—or, if this was not the case, the timeline and methodologies of any cleaning activities conducted by third person were known, as in our case. Both study areas were also located near urban areas and were subject to terrestrial inputs.
The sampled area at Isola delle Femmine includes three free-access beaches, with unrestricted and unregulated entry for users (reported in Figure 1a, and hereinafter as I-1, I-2, and I-3 sites/beaches). Isola delle Femmine beach (38.20° N, 13.24° E) is located 20 km from Palermo and near the Marine Protected Area (MPA) of “Capo Gallo—Isola delle Femmine.” The MPA extends for 16 km along the coast (from Palermo to Isola delle Femmine) and covers a sea area of 2,173 ha. The MPA is divided into three main zones based on different protection levels. The “C” zone (1,854 ha) is the outermost buffer zone, where human activities such as swimming, diving, and small-scale fishing are permitted. This MPA buffer zone overlaps with the surveyed site I-1. The population of Isola delle Femmine is approximately 7,000 inhabitants (City Facts, 2022; https://www.city-facts.com/search?s=isola+delle+femmine&auto=), with sharp—though not officially recorded—peaks during the summer season due to tourism. The area supports various fishing activities, further encouraged by the presence of a small fishing and tourist port. At all three surveyed beaches, there are no scheduled cleaning activities by the municipality or private companies. Only occasionally, and on a voluntary basis—do citizens remove macro litter that accumulates on the beach surface during summer season.
Mondello Beach (38.20° N, 13.32° E) is located in a small bay near Palermo and is home to approximately 4,200 inhabitants (City Facts, 2020; https://www.city-facts.com/mondello-palermo/population). A private company, “Mondello Italo Belga,” manages most of this coastal area, leaving part of the coastline and all of the shoreline (immediately adjacent to the sea) freely accessible to users (both citizens and tourists). Access to various regulated beach resorts is allowed only upon payment of a fee for the rental of umbrellas, deckchairs, sunbeds, or even wardrobes. Various services are offered to citizens including lifeguards, bar, restaurants, and cleaning activities. The managed beaches are categorized by different types of “subscription” (i.e., beach access—and related services—regulated by subscription): “Seasonal” (S), “Daily” (D), and “Low-cost” or hourly (L). These subscription types differ in how frequently citizens can access the beaches: for the entire summer season (S), daily (D), or for a few hours per day (L). Three sites (Figure 1b) were surveyed under the S subscription (M-S1, M-S2, M-S3), three under D (M-D1, M-D2, M-D3), and two under L (M-L1, M-L2). Interestingly, all the beaches at M were characterized by cleaning activities carried out using rakes (equipped with 0.5 cm–1 cm mesh nets, manually operated daily during summer season) and sand-moving machines (used periodically, mainly at the start of summer, in accordance with regional law). Notably, no routine cleaning was performed by the beach manager during the monitoring surveys.
The geometric features of each site and corresponding beach (length, width, and resulting area) are presented in Table 1, along with the number and dates of surveys conducted at each site.

Table 1. Number of surveys, sampling day (year 2021) and total surface of sampled beaches and frequency of clean-up activities at the two selected locations of Isola delle Femmine (I) and Mondello (M).
The monitoring campaign was carried out at all sites during the summer season of 2021 in the early morning to avoid the presence of bathers. The total areas sampled were approximately 14,662 m2 and 31,567 m2 at Isola delle Femmine and Mondello, respectively.
2.2 Macrolitter and mesolitter collection and data analysis
Monitoring sampling campaigns in both study areas focused on macro- and meso-litter fractions. All surveys were carried out by trained operators without impacting endangered or protected species such as marine turtles, seabirds or coastal birds, marine mammals, or vegetation (researchers actively participated in the activities by driving and guiding citizens). Macrolitter items were collected according to the “Guidelines for the monitoring and assessment of plastic litter in the ocean” (GESAMP, 2019) protocol. To investigate and allow comparisons among patterns, eventually visualizing differences between free-access (I sites) and managed beaches (M sites), item density was evaluated for each site by dividing the total number of items collected by the square meters (length per width) of each site/beach. During the collection activities, each operator wore gloves and used clamps to place the debris in a bag. Once the collection operations were completed, all bags were weighed (Hanke et al., 2014; Lippiatt et al., 2013) and two operators provided categorized the different materials and items according to “The Joint List of Litter Categories for Macrolitter Monitoring” (Fleet et al., 2021). Specifically, one operator identified the marine debris in terms of material, shape, etc.; the other was responsible for assigning it a J-code according to the above-mentioned list. Eight material fractions were identified: artificial polymers/plastic, rubber, clothes/textile, paper/cardboard, processed/worked wood, metal, glass/ceramics, and chemicals. Within each category, the objects were identified by a specific ‘J’ code; for example, within the category “plastic drink bottles” is possible to distinguish the J9 “plastic bottles and containers of cleaning products” and the J7 “plastic drink bottles ≤0.5 l” categories. This specification allowed us to pinpoint the top five most recurring ‘J-code’ elements among all materials and the top five plastic elements at each site. The item density was evaluated for each study area/site by dividing the total number of items collected by the square meter of the corresponding area/site. This methodology allowed for a comparison between the outcomes referred to beaches and sites.
Mesolitter was sampled following the “Marine Debris Monitoring and Assessment: Recommendations for Monitoring Debris Trends in the Marine Environment” (Lippiatt et al., 2013) and “Guidelines for the monitoring and assessment of plastic litter in the ocean” (GESAMP, 2019) protocols, and the items were collected from 1 m2 quadrats along the high tide line (HTL). Six quadrats were realized along the surveyed sectors, imposing a minimum distance between them of 5 m. The sand volume of the first 5 cm was collected by the operators using a steel shovel at each quadrat. The separation of mesolitter was achieved by sifting using metal sieves with a 5 mm mesh size; the sifting procedure was performed using seawater. The mesoplastics collected were positioned in petri dishes above a millimeter paper and photographed (with the camera 10 cm from the samples); images were processed using ImageJ software to measure mesoplastics’ dimensions. According to the main existing protocols (GESAMP, 2019; Hanke et al., 2014; Lippiatt et al., 2013), the maximum length (size) of the samples was measured, and the items between 5 mm and 2.5 cm in size were categorized as mesoplastics. The number of plastic items per square meter was evaluated for each study area and site. In addition, a further categorization was realized based on the different size classes (0.5 cm to 2.5 cm with a range of 0.25 cm) to infer the correlation between item size and their abundance in each study area. The items were classified according to their shape and color. The shapes were categorized according to GESAMP (2019), allowing the identification of fragments, foam, films, filaments/lines, and pellets.
To assess significant differences in macro- and meso-litter quantities between the two study locations, we performed a permutational analyses of variance (PERMANOVA), including sampling site as a grouping factor (two levels: Isola delle Femmine, I, and Mondello, M). Variables were log-transformed and the Euclidean distance measure was used; p-values were calculated using 9,999 permutations of the residuals under a reduced model (Anderson, 2001a; Anderson, 2001b). We conducted a PERMDISP analysis to examine the presence of dispersion homogeneity based on the Euclidean distance matrix of macro- and mesolitter densities (Anderson et al., 2017). Statistical analyses were performed in the R environment (R version 4.4.2, 31-10-2024 ucrt) using the vegan package. Details of the corresponding analysis are provided in the Supplementary Material section.
3 Results
A total of 10,972 macrolitter items (136 kg) were collected from all the sites; 57% (0.021 kg/m2) from Isola delle Femmine (I) and 42% (0.0047 kg/m2) from Mondello (M). The macrolitter item densities (sum of macrolitter items per square meter) characterizing Isola delle Femmine (I) and Mondello (M) are reported in Figure 2A: higher quantities were found at site I than at site M (p <0.05; Figure 2A).

Figure 2. Macrolitter density (macrolitter n. items/m2) in Isola delle Femmine (I) and Mondello (M) sampling locations (A) macrolitter density collected in all sites—free-access beaches—at Isola delle Femmine (I) (I-1, I-2, I-3), (B) and Mondello—managed beaches (“Seasonal” M-S; “Daily” M-D; “Low-cost” M-L) (C).
Details of the macro-litters’ item densities at all the free-access beaches at I (I-1, I-2, I-3) and all beaches of M across the subscription types of “Seasonal” (M-S), “Daily” (M-D), and “Low-cost” (M-L1) are reported in Figures 2B, C.
The analysis revealed statistically significant differences in macrolitter item densities between the two sampling sites (F(1,10) = 3.31, p = 0.029). The PERMDISP analysis results did not reveal the presence of heterogeneity across groups (Supplementary Table S2). The quantities found in the two study locations (M and I) were of different orders of magnitude. Isola delle Femmine (Figure 2B) was characterized by the highest density values of macrolitter items, with a decreasing density trend from the I-1 to I-3 sites. The quantities of macrolitter in I-2 and I-3 were similar, whereas I-1 had higher values than I-2 and I-3. The highest values were found at I-1, the beach over which the MPA buffer zone and the nearby local small-fishing harbor are close (Figure 2B). At the Mondello beaches (Figure 2C), the item density showed comparable values across all beaches. M-D beach had the highest macrolitter density.
The densities of all macrolitter materials on each beach are shown in Figures 3A, B. Although differing in order of magnitude, the “Artificial polymers plastic” category was the most frequent in all the free-access beaches of Isola delle Femmine and the managed beaches of Mondello (with comparable amounts on the M-S and M-D beaches; Figures 3A, B). All other fractions exhibited comparable densities across the surveyed beaches, with “Paper cardboard” as the second most abundant category at all sites, followed by “Metal” (Figures 3A, B).

Figure 3. Macrolitter density (macrolitter n. items/m2) for each litter item category in all the surveyed free-access beaches at Isola delle Femmine (I) [(A) I-1, I-2, I-3] and in all managed beaches at Mondello (M) [(B) M-S; M-D; M-L].
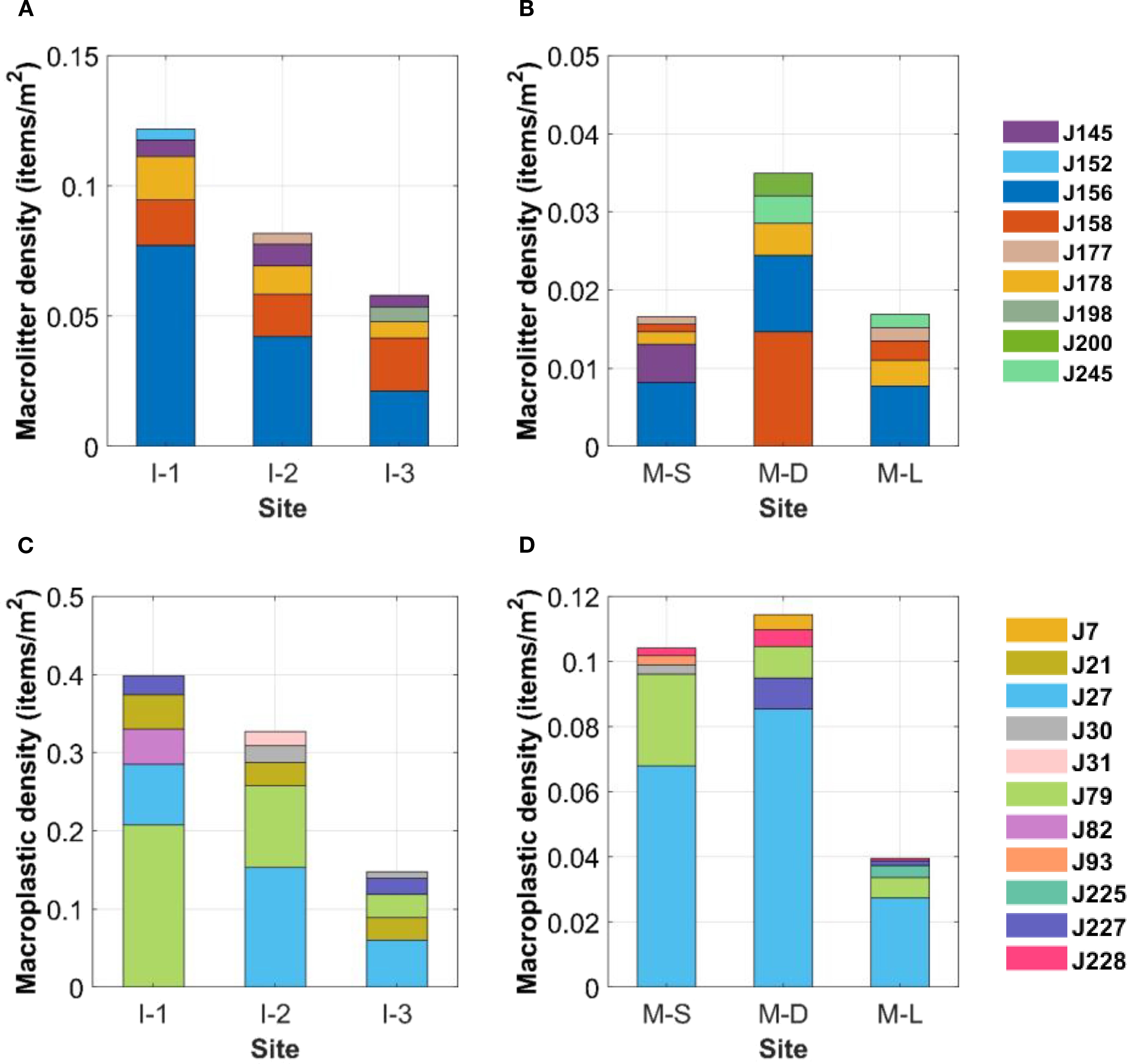
The top five most abundant material categories of the collected items across the surveyed beaches at Isola delle Femmine and Mondello are shown in Figures 4A, B respectively; the J-name corresponding to the J-code are provided in Table 2). Across all I beaches, four of the five categories were dominant, respectively: “Paper fragments” (J156; highest value at I-1, decreasing from I-1 to I-3), “Other paper items” (J158; highest value at I-3), “Metal bottle caps, lids, and pull tabs from cans” (J178; highest value at I-1), “Other textiles” (J145; highest value at I-2). J152 “Paper cigarette packets” was exclusive to I-1; while J177 “Metal foil wrappers, Aluminum foil” to I-2; and J198 “Other metal pieces 2.5 cm≥ ≤50 cm” to I-3. In contrast, Mondello was characterized by the highest item heterogeneity per site. “Paper fragments” (J156), “Other paper items” (J158; highest value at M-D), and “Metal bottle caps, lids, and pull tabs from cans” (J178) were the most common and abundant items at the three surveyed beaches, as well as in inter-location comparisons. J145 “Other textiles” was exclusive to M-S; while J177 “Metal foil wrappers, Aluminum foil” occurred at M-S and M-L; J245 “Paper food trays, food wrappers, drink containers” at M-D and M-L; and J200 “Glass bottles” at M-D. Focusing only on the plastic items at Isola delle Femmine and Mondello (Figures 4C, D), respectively; the J-names corresponding to the J-codes are provided in Table 2), all sites were characterized by higher quantities of “Tobacco Products With Filters—Cigarette Butts With Filters” (J27), followed by “Fragments of Non-Foamed Plastic 2.5 cm≥ ≤50 cm” (J79; the most abundant fraction at I-1).

Figure 4. Macrolitter density (macrolitter n. items/m2) of the top five most common categories (A, B) and of the top five most common of plastic items (C, D). Both results refer to the free-access beaches at Isola delle Femmine (I) [(A, C) I-1, I-2, I-3] and to each of the managed beaches at Mondello (M) [(B, D) M-S, M-D, M-L]. Note: J-codes were reported as from “The Joint List of Litter Categories for Macrolitter Monitoring” (Joint Research Centre—JRC, 2021”) see Table 2 for details.

Table 2. Description (in terms of J-code and J-name—as from The Joint List of Litter Categories for Macrolitter Monitoring” [Joint Research Centre—JRC, 2021]) of macrolitter items reported in Figure 4.
All sites at the Isola delle Femmine location were characterized by the presence of “Plastic caps/lids drinks” (J21), which were absent at Mondello. Additionally, I-1 was the only one site (across both locations) characterized by the presence of both “Fragments of foamed polystyrene 2.5 cm ≥ ≤50 cm” (J82) and “Plastic lolly and ice-cream sticks” (J31). The item “Cups and lids of hard plastic” (J227) was consistently present at I-1, I-3, and M-D sites. “Plastic crisps packets/sweets wrappers” (J30) were found at I-2, I-3, and M-S. Several plastics items were exclusive to the Mondello location: “Plastic cutlery” (J228; sites M-S and M-D), “Plastic cable ties” (J93; M-S) “Plastic food containers made of hard non-foamed plastic” (J225; M-L); “Plastic drink bottles ≤0.5 l” (J7; M-D).
Focusing on mesolitter, a total of 451 items were collected at both sites, with 59% found at Mondello and 41% at Isola delle Femmine. Mesolitter density between the two locations was significantly different (F(1,10) = 11.44, p = 0.005); however, PERMDISP analysis revealed possible bias due to heterogeneity across groups (Supplementary Table S4). Mesolitter densities at the I and M locations are reported in Figure 5A; higher quantities were found at M than at I. The distribution at each sampling site/beach is reported in Figures 5B, C. At Isola delle Femmine, an out-of-scale value was recorded at I-2 beach, while the managed beaches at Mondello showed comparable densities. A detailed analysis of the size distribution of mesoplastics showed that their abundance decreases with item size in both locations, I and M, respectively (Figures 6A, B).

Figure 5. Mesolitter density (mesolitter n. items/m2) in Isola delle Femmine (I) and Mondello (M) sampling locations (A) mesolitter density collected in all sites—free-access beaches—at Isola delle Femmine (I) (I-1, I-2, I-3), (B) and Mondello—managed beaches (“Seasonal” M-S; “Daily” M-D; “Low-cost” M-L) (C).

Figure 6. Mesoplastics (% items) per measured size class (measured interval of 0.5 cm) at both Isola delle Femmine (A) and Mondello (B).
A comparative analysis of the five surveyed shapes (i.e., fragment, foam, film, filament, and pellet; according to GESAMP, 2019) is presented in Figure 7 panel (a) refers to I and panel (b) refers to M). At both sites, the five shapes were found in the following order: fragment (61% I, 56% M), foam (20% I, 25% M), film (14% I, 9% M), and filament (5% I, 7% M). Pellets were found only at M (4%), specifically at M-S (5%) and M-D (5%). M-L was characterized by the absence of both filament and pellet categories and a slightly higher occurrence of film (13%). Plastic pellets—virgin plastics used to produce various plastic objects (e.g., plastic bottles, toys)—were found only at M-S and M-D at Mondello, and in relatively small proportions.

Figure 7. Mesoplastics (% items) grouped based on the main surveyed shapes: fragment, foam, film, filament, pellet (according with GESAMP, 2019) in the two study locations: Isola delle Femmine (I) and each free-access beach (I-1, I-2, I-3) (A) Mondello (M) and each managed beach (M-S, M-D, M-L) (B).
A comparison between the two locations was also performed focusing on the colors of mesoplastics (Figure 8; panel (a) refers to I and panel (b) refers to M).White items were dominant, representing more than half of the items at both sites (54.3% I; 55.1% M), followed by blue (9.2% I; 11.6% M) and transparent items (8.2% I; 9% M). Among colored items, blue was followed by green (7.6% I; 8.6% M), which was the most commonly abundant colored fraction. Other colors (brown, yellow, black, gray, red, pink, and orange) each accounted for less than 5% of the items at both sites. Inter-beach variation in color was considered negligible at each site.

Figure 8. Color distribution of mesoplastics (% items per color) at Isola delle Femmine (A) and Mondello (B).
4 Discussion
Although providing only a short-term snapshot based on data from a single summer season, the comparison between the Mondello and Isola delle Femmine locations highlights the importance of implementing local management measures for disposable materials. The presence of a private company managing the Mondello beaches (i.e., cleaning activities conducted daily during the summer season using rakes, and at the beginning of summer using a sand-moving machine, in accordance with regional law) may partially explain the lower rate of macrolitter compared to the unmanaged beaches. Therefore, the quantity and quality of items—especially in areas characterized by high user permanence and lack of management measures—underline the need for greater efforts to raise awareness about marine litter and to mitigate the presence of items. This includes reinforcing cleanup actions and supporting initiatives that incentivize local retailers and products to promote circular models for single-use plastics and improve waste management collection systems. At Isola delle Femmine, the beach area overlapping with the Marine Protected Area (MPA, buffer zone C) was characterized by the highest amounts of macrolitter, potentially resulting from the presence of services (e.g., bar, shops) and the proximity to a port hosting a small touristic marina and a small-scale fishing fleet. However, all other free-access beaches at Isola delle Femmine were characterized by the presence of fishing-related waste, suggesting an effect from the fishing fleet operating near this site. Beaches near commercial activities (i.e., I-1), such as ice cream shops and cafeterias, showed a significant presence of plastic items related to takeaway services (e.g., “plastic cutlery” and “plastic caps/lids drinks”), confirming the strong connection between the type of users and, in this case, how commercial activity influences the type of litter present.
Focusing on macrolitter patterns at Mondello, it is notable that low-cost beaches, compared to seasonal and daily ones, show a lower presence of glass and ceramic, processed worked wood, rubber, and chemical categories. Daily beaches are the only ones where “glass bottles” appear among the top five items; additionally, only in daily and low-cost beaches is there a presence of “paper food trays, food wrappers, and drink containers.” These trends may be explained by a higher proportion of young people among users of hourly entrance subscriptions, who consume these types of beverages more frequently and prefer daily and/or low-cost access. Interestingly, daily entrance beaches are the only ones showing the presence of “cups and lids of hard plastic” among the identified top five items. This may be explained by users who spend the entire day at these beaches, tending to bring food containers with them, which they may not dispose of properly and instead abandon on the sand.
Among the top five plastic waste items found on the beaches of Mondello and Isola delle Femmine, the predominant category was “tobacco products with filters (cigarette butts with filters),” confirming patterns observed in other sampling campaigns, such as those carried out in the coast of Alicante Province, Spain (Asensio-Montesinos et al., 2019), Egypt, Tunisia, and Morocco (Haseler et al., 2025), and in the Romanian Black Sea coast (Golumbeanu et al., 2017). “Fragments of non-foamed plastic 2.5 cm ≥ ≤50 cm”—present at one site in Isola delle Femmine—and similar items found abundantly all across sites at both Mondello and Isola delle Femmine are highly likely to result from the fragmentation of larger plastic waste (i.e., secondary waste) and may have a significant ecosystem impact due to the difficulty of detection and the ease with which they can become buried in sand, remaining underground for years (Costa et al., 2022). The top 5 categories of macroplastics align with items found in several surveys conducted along the Mediterranean area (Vlachogianni et al., 2020). Lastly, it is notable that across all sites, the majority of plastic waste present was of the “single-use” type. This trend has also been highlighted by other monitoring campaigns conducted along the Mediterranean coast (Maziane et al., 2018). It is expected to decline in the coming years with the entry into force in Italy (adopted in 2021) of Directive 2019/904/EU, which prohibits the production and market placement of single-use plastics, thereby reducing their abandonment in marine environments.
The quantities of mesoplastics found in both study areas were higher than those of macrolitter, confirming their role as a bridge in filling the gap between macroplastics and microplastics—an important component to monitor for improving our understanding of the lifecycle of plastic pollution (Ellos et al., 2025). The quantities found out in the selected Sicilian study area were smaller than those reported in in India (Jeyasanta et al., 2020) and South Korea (Lee et al., 2017), but larger than those found in Germany and Lithuania (Haseler et al., 2018). The inverse relationship between size and abundance of mesoplastics is consistent with findings from other studies (Lee et al., 2013; Ribic et al., 2012; Thornton and Jackson, 1998). Our data on the presence and distribution of mesoplastics—specifically size distribution—add new evidence to this sill underexplored and insufficiently reviewed topic (Ellos et al., 2025). Filaments or lines were not very common at either location. However, many studies have shown that the abundance of filaments increases with decreasing size, and they can therefore constitute a great proportion of microplastic items (Harris, 2020). The color distribution of mesoplastic items was similar at the two studied beaches; most collected items were white, while blue, and green constituted the largest proportion of colored items, as reported in other studies (Haseler et al., 2020). The prevalence of white color may result from degradation, as weathering leads to the whitening of plastics (Andrady, 2015; Kershaw et al., 2019). In that case, the prevalence of white items at both beaches would imply a high level of plastic degradation, confirming the role of mesoplastics in the plastic fragmentation process, with larger macroplastics breaking down into smaller, more persistent particles over time. Differences between the two studied sites may be explained by litter transported by sea and deposited on the beaches (Ryan, 2015; Turner and Holmes, 2011). Future research could include polymer type identification using Fourier-transform infrared spectroscopy (FTIR), as suggested by various protocols.
The collated database, which explores beaches ranging from free-access sites near an MPA buffer zone to those with entrance management based on subscription types and associated services (e.g., bars, restaurants), helps fill knowledge gaps regarding the socio-economic drivers of marine pollution, reflecting a persistent lack of social perception of this issue and a lack of active governance measures in place. Although high-resolution demographic data on beach users was limited in our study, our results suggest that user demographics and the uses beach usage are strongly connected to litter patterns, influencing both the quantity and type of items. This highlights the importance of gathering and maintaining updated records of even basic information, such as the number of visitors per site, frequency of visits, and littering behavior, at the highest possible spatial and temporal resolution. Moreover, this reveals that local policies to address the impact of marine litter are insufficient, highlighting the need to engage local administrations, beach managers, and citizens in awareness-building efforts to develop common and site-specific approaches for mitigation and resolution (Locritani et al., 2019). For example, implementing dedicated bins (currently not mandatory on Italian beaches) for the proper disposal of cigarette butts could be considered. Capacity development is recognized as an approach to improve stakeholder relationships, influencing the attitudes, values, and motivations of the actors involved in the process (Stojic and Salhofer, 2022). Moreover, it has been demonstrated that trustworthy knowledge-in-action is a key driver to achieving eco-sustainable transitions among stakeholders (Grodzińska-Jurczak et al., 2022).
The harmful impacts of plastic debris in the marine environment are a major cause for concern, necessitating ongoing monitoring and the development of effective solutions. The high quantity of debris collected on both free-access and managed beaches confirms the urgency of adopting proper mitigation actions and innovative monitoring programs, which may include proximity sensing surveys (i.e., conducted with unmanned aerial vehicle—UAV) capable of large-scale monitoring with sufficient spatial and temporal resolution (Andriolo et al., 2022). The collated database provides a salient and credible dataset, essential for future evaluations of the impact of marine litter on marine ecosystems, and highlights source and sinks areas that should be monitored and managed moving forward. The rigor underpinning the data collection, harmonized with existing sampling protocols for both macrolitter and mesolitter (specifically mesoplastics), will allow future comparisons with data collected from European seas and at the global scale, as well as with future monitoring of management plans.
Focusing on macrolitter debris, the observed patterns of marine litter across the studied sites, with plastic items recorded in the highest quantities, follow a trend already highlighted by other monitoring campaigns conducted along the coast of Alicante Province, Spain (Asensio-Montesinos et al., 2019). Plastic remains one of the pollutants causing greatest concern due to its high degradation times and negative impacts on the ecosystem. Indeed, enormous quantities are continuously dispersed (Gall and Thompson, 2015; Genovese et al., 2023; Schernewski et al., 2018), and plastics tends to degrade into smaller items under the action of the sun, wind, and waves, making them more difficult to identify and consequently to remove from the environment and dispose of properly, resulting in higher associated environmental risk (Berlino et al., 2021; Salerno et al., 2021). Our time-limited analysis serves as a warning for more consistent, comprehensive, long-term, and large-scale collective monitoring of the phenomenon, always relying on standardized sampling protocols and methods.
Data availability statement
The raw data supporting the conclusions of this article will be made available by the authors, without undue reservation.
Author contributions
LC: Conceptualization, Data curation, Formal analysis, Investigation, Methodology, Software, Validation, Visualization, Writing – original draft, Writing – review & editing. AM: Data curation, Investigation, Writing – original draft. AB: Investigation, Writing – original draft. MB-B: Investigation, Project administration, Writing – original draft. MB: Formal analysis, Visualization, Writing – review & editing, Investigation, Writing – original draft. FC: Writing – review & editing. GC: Writing – review & editing. GS: Conceptualization, Data curation, Formal analysis, Funding acquisition, Methodology, Project administration, Resources, Supervision, Visualization, Writing – review & editing. MM: Conceptualization, Data curation, Formal analysis, Funding acquisition, Investigation, Methodology, Project administration, Resources, Supervision, Validation, Visualization, Writing – original draft, Writing – review & editing.
Funding
The author(s) declare financial support was received for the research and/or publication of this article. The study has been funded by the SenHAR “Campagne di sensibilizzazione per una armonizzazione Italo-Maltese per un buono stato dell’ambiente” C.2-3.1–115 Project granted by the Interreg Italia Malta Operational Program call n. 02/2019, co-funded by the European Regional Development Fund. This work was supported by National Recovery and Resilience Plan (NRRP), Mission 4 Component 2 Investment 1.4—Call for tender N. 3138 of 16 December 2021, rectified by Decree n.3175 of 18 December 2021 of Italian Ministry of University and Research funded by the European Union—NextGenerationEU. Project code CN_00000033, Concession Decree No. 1034 of 17 June 2022 adopted by the Italian Ministry of University and Research, CUP [C63C22000520001] project National Biodiversity Future Center—NBFC.
Acknowledgments
We are grateful to the “Mondello Immobiliare Italo Belga S.A.” for the support offered through the sampling, to have promoted the citizen science activities and to have offered logistical supporting to the marine litter collection and disposal after our beach cleaning actions on managed beaches. DiEsse Group S.R.L. Palermo has partially financed the first version of the beach cleaning kit. We thank the municipalities of Palermo and that Isola delle Femmine to have promoted study activities, by—as in the case of Isola delle Femmine—actively taking part to the cleaning and logistically supporting the marine litter collection and disposal after our beach cleaning actions, a special thanks to the mayor Ing. Orazio Nevoloso and to the councilor Antonino Romeo. We thank the volunteers at LiberAmbiente Volunteer Organization, led by Dr. Giuseppe Chiofalo, who actively took part in the sampling collection at Isola delle Femmine. We thank Dr. Patricia Ventura for having coordinated all the volunteers among scientists at the Laboratory of Ecology at the Dipartimento di Scienze della Terra e del Mare (University of Palermo) who took part in the sampling and citizens training. We deeply thank the citizen scientists who participated in the study. The beach cleaning kits have been funded by the CapSenHAR “Capitalizzazione Campagne di sensibilizzazione per una armonizzazione Italo-Maltese per un buono stato dell’ambiente” C3‐3.1‐4 Project granted by the Interreg Italia Malta Operational Program call n. 03/2021, co-funded by the European Regional Development Fund. The tested protocol, the produced beach cleaning kit have been donated to several Marine Protected Areas around the Island to be promoted and used with citizens.
Conflict of interest
The authors declare that the research was conducted in the absence of any commercial or financial relationships that could be construed as a potential conflict of interest.
The reviewer SG declared a past co-authorship with the author LC to the handling editor.
Generative AI statement
The author(s) declare that no Generative AI was used in the creation of this manuscript.
Any alternative text (alt text) provided alongside figures in this article has been generated by Frontiers with the support of artificial intelligence and reasonable efforts have been made to ensure accuracy, including review by the authors wherever possible. If you identify any issues, please contact us.
Publisher’s note
All claims expressed in this article are solely those of the authors and do not necessarily represent those of their affiliated organizations, or those of the publisher, the editors and the reviewers. Any product that may be evaluated in this article, or claim that may be made by its manufacturer, is not guaranteed or endorsed by the publisher.
Supplementary material
The Supplementary Material for this article can be found online at: https://www.frontiersin.org/articles/10.3389/fmars.2025.1611650/full#supplementary-material
References
Addamo A., Brosich A., Montero M., Giorgetti A., Hanke G., Molina Jack M. E., et al. (2018). Marine litter database. Lessons learned compiling first pan-European beach litter Database. doi: 10.2760/621710
Anderson M. J. (2001a). A new method for non-parametric multivariate analysis of variance. Austral Ecol. 26, 32–46. doi: 10.1111/j.1442-9993.2001.01070.pp.x
Anderson M. J. (2001b). Permutation tests for univariate or multivariate analysis of variance and regression. Can. J. Fish. Aquat. Sci. 58, 626–639. doi: 10.1139/f01-004
Anderson M. J., Walsh D. C. I., Robert Clarke K., Gorley R. N., and Guerra-Castro E. (2017). Some solutions to the multivariate Behrens–Fisher problem for dissimilarity-based analyses. Aust. N. Z. J. Stat. 59, 57–79. doi: 10.1111/anzs.12176
Andrady A. (2015). Persistence of plastic litter in the oceans. Mar. Anthropog. Litter, 29–56. doi: 10.1007/978-3-319-16510-3_3
Andriolo U., Garcia-Garin O., Vighi M., Borrell A., and Gonçalves G. (2022). Beached and floating litter surveys by unmanned aerial vehicles: operational analogies and differences. Remote Sens. 14, 1336. doi: 10.3390/rs14061336
Asensio-Montesinos F., Anfuso G., Randerson P., and Williams A. T. (2019). Seasonal comparison of beach litter on Mediterranean coastal sites (Alicante, SE Spain). Ocean Coast. Manage. 181, 104914. doi: 10.1016/j.ocecoaman.2019.104914
Berlino M., Mangano M. C., De Vittor C., and Sarà G. (2021). Effects of microplastics on the functional traits of aquatic benthic organisms: A global-scale meta-analysis. Environ. pollut. Barking Essex 1987 285, 117174. doi: 10.1016/j.envpol.2021.117174
Chen Y., Awasthi A. K., Wei F., Tan Q., and Li J. (2021). Single-use plastics: Production, usage, disposal, and adverse impacts. Sci. Total Environ. 752, 141772. doi: 10.1016/j.scitotenv.2020.141772
City Facts. (2022). Isola delle Femmine. Available online at: https://www.city-facts.com/search?s=isola+delle+femmine&auto=.
City Facts. (2020). Mondello. Available online at: https://www.city-facts.com/mondello-palermo/population.
Costa L. L., Fanini L., Ben-Haddad M., Pinna M., and Zalmon I. R. (2022). Marine litter impact on sandy beach fauna: A review to obtain an indication of where research should contribute more. Microplastics 1, 554–571. doi: 10.3390/microplastics1030039
Ellos D. M. C., Chien M.-F., Inoue C., Nakano H., Isobe A., Onda D. F. L., et al. (2025). Mesoplastics: A review of contamination status, analytical methods, pollution sources, potential risks, and future perspectives of an emerging global environmental pollutant. Toxics 13, 227. doi: 10.3390/toxics13030227
European Commission, Joint Research Centre (2015). Review of the Commission Decision 2010/477/EU concerning MSFD criteria for assessing good environmental status – Descriptor 10 properties and quantities of marine litter do not cause harm to the coastal and marine environment (Publications Office, LU).
Fleet D., Vlachogianni T. H., and Hanke G. (2021). A Joint List of Litter Categories for Marine Macrolitter Monitoring (Luxembourg: EUR 30348 EN, Publications Office of the European Union). doi: 10.2760/127473,JRC121708
Gall S. C. and Thompson R. C. (2015). The impact of debris on marine life. Mar. pollut. Bull. 92, 170–179. doi: 10.1016/j.marpolbul.2014.12.041
Genovese M., Mangano M. C., Papa F., Romeo T., and Greco S. (2023). Local businesses’ consumption and perception of Single-Use Plastics: A preliminary assessment for conservation and mitigation plans in the Egadi Islands Marine Protected Area. Mar. pollut. Bull. 194, 115252. doi: 10.1016/j.marpolbul.2023.115252
GESAMP (2016). Sources, fate and effects of microplastics in the marine environment: part two of a global assessment. Eds. Kershaw P. J. and Rochman C. M. (IMO/FAO/UNESCO-IOC/UNIDO/WMO/IAEA/UN/ UNEP/UNDP Joint Group of Experts on the Scientific Aspects of Marine Environmental Protection), 220.
GESAMP (2019). Guidelines for the monitoring and assessment of plastic litter and microplastics in the ocean. (Report) (GESAMP Joint Group of Experts on the Scientific Aspects of Marine Environmental Protection). doi: 10.25607/OBP-435
Golumbeanu M., Nenciu M., Galatchi M., Nita V., Anton E., Oros A., et al. (2017). Marine litter watch app as A tool for ecological education and awareness raising along the Romanian black sea coast. Journal of Environmental Protection and Ecology 18 (1), 348–362.
Grodzińska-Jurczak M., Krawczyk A., Akhshik A., Dedyk Z., and Strzelecka M. (2022). Contradictory or complementary? Stakeholders’ perceptions of a circular economy for single-use plastics. Waste Manage. 142, 1–8. doi: 10.1016/j.wasman.2022.01.036
Hanke G., Galgani F., Werner S., Oosterbaan L., Nilsson P., Fleet D., et al. (2014). Guidance on monitoring of marine litter in european seas. JRC Publ. Repos. doi: 10.2788/99816
Harris P. T. (2020). The fate of microplastic in marine sedimentary environments: A review and synthesis. Mar. pollut. Bull. 158, 111398. doi: 10.1016/j.marpolbul.2020.111398
Haseler M., Balciunas A., Hauk R., Sabaliauskaite V., Chubarenko I., Ershova A., et al. (2020). Marine litter pollution in baltic sea beaches – application of the sand rake method. Front. Environ. Sci. 8. doi: 10.3389/fenvs.2020.599978
Haseler M., Ben Abdallah L., El Fels L., El Hayany B., Hassan G., Escobar-Sánchez G., et al. (2025). Assessment of beach litter pollution in Egypt, Tunisia, and Morocco: a study of macro and meso-litter on Mediterranean beaches. Environ. Monit. Assess. 197, 123. doi: 10.1007/s10661-024-13517-x
Haseler M., Schernewski G., Balciunas A., and Sabaliauskaite V. (2018). Monitoring methods for large micro- and meso-litter and applications at Baltic beaches. J. Coast. Conserv. 22, 27–50. doi: 10.1007/s11852-017-0497-5
Jeyasanta K. I., Sathish N., Patterson J., and Edward J. K. P. (2020). Macro-, meso- and microplastic debris in the beaches of Tuticorin district, Southeast coast of India. Mar. pollut. Bull. 154, 111055. doi: 10.1016/j.marpolbul.2020.111055
Kershaw P. J., Turra A., and Galgani F. (2019). Guidelines for the monitoring and assessment of plastic litter and microplastics in the ocean.
Lee J., Hong S., Song Y. K., Hong S. H., Jang Y. C., Jang M., et al. (2013). Relationships among the abundances of plastic debris in different size classes on beaches in South Korea. Mar. pollut. Bull. 77, 349–354. doi: 10.1016/j.marpolbul.2013.08.013
Lee J., Lee J., Hong S., Hong S. H., Shim W. J., and Eo S. (2017). Characteristics of meso-sized plastic marine debris on 20 beaches in Korea. Mar. pollut. Bull. 123, 92–96. doi: 10.1016/j.marpolbul.2017.09.020
Lippiatt S., Opfer S., and Arthur C. (2013). Marine debris monitoring and assessment: recommendations for monitoring debris trends in the marine environment. NOAA Mar. Debris Division. doi: 10.25607/OBP-727
Locritani M., Merlino S., and Abbate M. (2019). Assessing the citizen science approach as tool to increase awareness on the marine litter problem. Mar. pollut. Bull. 140, 320–329. doi: 10.1016/j.marpolbul.2019.01.023
Maziane F., Nachite D., and Anfuso G. (2018). Artificial polymer materials debris characteristics along the Moroccan Mediterranean coast. Mar. pollut. Bull. 128, 1–7. doi: 10.1016/j.marpolbul.2017.12.067
Ribic C. A., Sheavly S. B., and Klavitter J. (2012). Baseline for beached marine debris on Sand Island, Midway Atoll. Mar. pollut. Bull. 64, 1726–1729. doi: 10.1016/j.marpolbul.2012.04.001
Ryan P. G. (2015). Does size and buoyancy affect the long-distance transport of floating debris?. Environmental Research Letters 10 (8), 084019.
Salerno M., Berlino M., Mangano M. C., and Sarà G. (2021). Microplastics and the functional traits of fishes: A global meta-analysis. Glob. Change Biol. 27, 2645–2655. doi: 10.1111/gcb.15570
Schernewski G., Balciunas A., Gräwe D., Gräwe U., Klesse K., Schulz M., et al. (2018). Beach macro-litter monitoring on southern Baltic beaches: results, experiences and recommendations. J. Coast. Conserv. 22, 5–25. doi: 10.1007/s11852-016-0489-x
Stojic S. and Salhofer S. (2022). Capacity development for plastic waste management—A critical evaluation of training materials. Sustainability 14, 2118. doi: 10.3390/su14042118
Thornton L. and Jackson N. L. (1998). Spatial and temporal variations in debris accumulation and composition on an estuarine shoreline, Cliffwood Beach, New Jersey, USA. Mar. pollut. Bull. 36, 705–711. doi: 10.1016/S0025-326X(98)00041-1
Turner A. and Holmes L. (2011). Occurrence, distribution and characteristics of beached plastic production pellets onthe island of Malta (central Mediterranean). Mar. pollut. Bull. 62 (2), 377–381.
Vlachogianni T., Skocir M., Constantin P., Labbe C., Orthodoxou D., Pesmatzoglou I., et al. (2020). Plastic pollution on the Mediterranean coastline: Generating fit-for-purpose data to support decision-making via a participatory-science initiative. Sci. Total Environ. 711, 135058. doi: 10.1016/j.scitotenv.2019.135058
Keywords: beach litter, macroplastics, mesoplastics, central Mediterranean sea, beach cleaning
Citation: Corbari L, Berlino M, Milivojevic A, Botero Angel AM, Bosch-Belmar M, Capodici F, Ciraolo G, Sarà G and Mangano MC (2025) Spatial patterns and characterization of marine litter from sandy beaches facing an urban area and a Marine Protected Area. Front. Mar. Sci. 12:1611650. doi: 10.3389/fmars.2025.1611650
Received: 14 April 2025; Accepted: 28 July 2025;
Published: 29 September 2025.
Edited by:
Mustapha Aksissou, Abdelmalek Essaadi University, MoroccoCopyright © 2025 Corbari, Berlino, Milivojevic, Botero Angel, Bosch-Belmar, Capodici, Ciraolo, Sarà and Mangano. This is an open-access article distributed under the terms of the Creative Commons Attribution License (CC BY). The use, distribution or reproduction in other forums is permitted, provided the original author(s) and the copyright owner(s) are credited and that the original publication in this journal is cited, in accordance with accepted academic practice. No use, distribution or reproduction is permitted which does not comply with these terms.
*Correspondence: Laura Corbari, bGF1cmEuY29yYmFyaUB1bmlwYS5pdA==
†These authors have contributed equally to this work and share first authorship