Abstract
In the era of heightened focus on sustainable marine fisheries development, the Shipborne Low-Temperature Freezing Technology is crucial for enhancing the preservation effect of seafood, improving transportation efficiency, and reducing energy consumption. It plays a key role in the sustainable development of the fishery industry. This paper constructs a tripartite evolutionary game model involving fishermen, consumers, and the government by using evolutionary game theory, and analyzes the interaction mechanism of the behaviors of the three parties. Based on field survey data, through model derivation and simulation, with results as follows: (1) Government subsidies positively influence choices at both the production and consumption ends. They incentivize fishermen to adopt Shipborne Low-Temperature Freezing Technology for storing wild-caught shrimp products, while also encouraging consumers to purchase shrimp products preserved through this technology. (2) Government subsidy structures have complex effects on the strategic choices of both fishermen and consumers. Expanding subsidies to fishermen positively impacts the adoption of Shipborne Low-Temperature Freezing Technology. (3) An appropriate online sales ratio can generate positive cross-channel effects, enabling the game system to reach an optimal equilibrium. In this state: Fishermen spontaneously adopt Shipborne Low-Temperature Freezing Technology; Consumers voluntarily purchase wild-caught shrimp preserved with Shipborne Low-Temperature Freezing Technology; The government withdraws subsidies for both fishermen and consumers.
1 Introduction
In 2022, the total output of aquatic products across China reached 68.6591 million tonnes. More in detail, the output of marine products was as high as 34.5953 million tonnes, while the volume of marine fisheries was nearly 10 million tonnes, with the volume of sea-caught shrimps approaching 1.2 million tonnes. As such, sea-caught shrimps hold a highly significant position in the category of aquatic products (Wang and Gao, 2024). Typically, sea-caught shrimps (mainly referring to Solenocera-crassicornis) are sold either fresh, or are processed into canned products and snacks (Usui et al., 2015). It is deeply favored by both domestic and overseas markets (Hua-long et al., 2007), thanks to its high nutrient content, better taste and easier digestibility (Kim et al., 2020). It has a high protein content and low fat, as well as a variety of amino acids, trace elements, and vitamins that are essential for the human body. In fact, sea-caught shrimps an important aquatic product with both economic and nutritional value (Yubin et al., 2021). Due to its rich protein content, sea-caught shrimps are prone to erosion by bacteria and, consequently, is subject to spoilage and deterioration (Wenya et al., 2022), Moreover, it contains a large number of enzymes, such as tyrosinase, which are prone to oxidation and produce melanin (Pierce and Rast, 1995), causing sea-caught shrimps to turn black and deteriorate, thereby seriously affecting its quality and commercial value. The storage and transportation through preservation techniques, such as chilled storage or freezing, can guarantee the quality and commercial value of sea-caught shrimps to a great extent. The preservation of sea-caught shrimps can be ensured through various methods, such as low-temperature preservation, biological preservation, and combined preservation. Among them, low-temperature preservation is the most common and effective means for the preservation of aquatic products. Therefore, on-board frozen storage is a commonly used method in the preservation of aquatic products (Shengjun et al., 2020; Chengren and Shuai, 2024).
Shipborne Low-Temperature Freezing Technology(SLTFT) is a preservation method that uses low-temperature technology on ships to quickly freeze aquatic products (Truonghuynh et al., 2020). With the continuous increase in global trade and people’s demand for high-quality marine products, SLTFT enjoys broad market prospects. In fact, SLTFT can promptly decrease the temperature of seafood immediately after capture, which effectively inhibits the growth and reproduction of microorganisms at the source, thereby extending the freshness retention period of seafood. In 2022, Zhejiang Province (China) issued a standard titled “Technical Regulations for On board Freezing, Refrigeration Operations and Equipment Upgrades of Sea-caught Shrimp” (Zhejiang Provincial Administration for Market Regulation, 2022a), which requires fishing vessels to be equipped with low-temperature freezing equipment to ensure the quality of fish catches. In addition, the low-temperature state can also maximize the retention of the nutritional components and flavor substances of marine products (Zhejiang Provincial Administration for Market Regulation, 2022b). The continuous growth of the fishing capacity and intensity has led to the depletion of marine resources, especially inshore resources, Consequently, fishermen usually have to move far away from the coast and in the high seas to fish; moreover, the time for offshore operations has also been extended, often ranging from 15 to 45 days. These changes made SLTFT particularly crucial (Ye, 2012; Worm et al., 2006). In recent years, the Chinese government has required the comprehensive promotion of on-board freezing and preservation technology, and has provided subsidies to relevant fishing vessels according to standards, striving to achieve a 100% equipping rate by 2025 (Province G o t P s G o Z, 2022).
Evolutionary game theory has been well applied to solve problems related to aspects such as new-energy vehicles, climate change, and cold chain. It can identify the optimal development paths and solutions by simulating the strategic choices and dynamic evolutionary processes of participants, effectively coordinate the interest conflicts among various parties, and promote the rational allocation and efficient utilization of resources (Liu et al., 2024; Johansson and Jonzén, 2012; Wu et al., 2024). On this basis, in this study we applied the evolutionary game theory to the SLTFT of sea-caught shrimps, with the aim to effectively promote this technology and facilitate the sustainable development of this industry. To this purpose, a three-party evolutionary game model was constructed, composed of fishermen, consumers, and the government. On this basis, we analyzed the impact of the probability of adoption by fishermen of the SLTFT, the probability that consumers would purchase shipborne low-temperature frozen products, and the probability that the government would subsidize the SLTFT based on the strategies of the other agents and on the stability of the game system. Furthermore, based on the survey data, the impact of the amount of government subsidies, the proportion of government subsidies, the cost of fishermen’s shipborne low-temperature freezing equipment, and the market price of sea-caught shrimps stored using SLTFT equipment on the evolutionary outcome of the game system was simulated and analyzed. The research results can provide references for the establishment of a multi-level SLTFT promotion system among the government, fishermen, and consumers, and provide a theoretical basis for the optimization of government subsidy policies.
This paper is structured as follows. Section 2 presents a review of the literature on sea-caught shrimps, low-temperature freezing technology, government subsidies for fisheries, and the application of evolutionary game methods. Section 3 establishes the game model and the numerical simulation model. Section 4 presents the results and their discussion. Finally, Section 5 illustrates the research conclusions and provides policy suggestions.
2 Literature review
The improvement of people’s living standards has been accompanied by an increase in the demand for quality food. Among aquatic products, sea-caught shrimps are widely popular due to their tender meat, delicate taste, and rich elasticity. Therefore, the quality of sea-caught shrimps has attracted extensive research attention. In particular, the protection of their quality and their preservation have become important objectives; accordingly, the SLTFT has also become the focus of academic circles. The existing literature on this topic can be divided into four streams.
2.1 Sea-caught shrimps
China has a long coastline, abundant marine biological resources, and a developed aquatic products and fishing industry. In this context, sea-caught shrimps occupy a very important position. With the improvement of living standards, people are paying increasing attention to the diversification of diet (Shaw, 2005), and shrimps and shrimp products have gradually become very important aquatic products in people’s diets. Therefore, the demand for wild-caught shrimps is continuously increasing. S. crassicornis belongs to Decapoda, Solenoceraidae, and Solenocera. Commonly known as red shrimp or red-headed bow shrimp, it is distributed in India, Malaysia, as well as the southern Yellow Sea, the East China Sea, and the South China Sea of China, and is the most common wild-caught shrimp (Cai et al., 2017; Ding et al., 2019; Xu et al., 2019; HuiYu et al., 2023). Wang Xiao and others (Wang et al., 2014) determined the protein, fat, and amino acids content of S. crassicornis using the semi-micro Kjeldahl method, the Soxhlet extraction method, and a high-speed amino acid analyzer, respectively. They concluded that S. crassicornis has a high protein content and low fat, and is a relatively high-quality source of protein for the human body, with relatively high nutritional value. However, due to its high water content, enzyme activity, and microbial metabolism, it is prone to spoilage, along with the deterioration of texture, color, and flavor. Litao W and others (Litao et al., 2022) investigated eight common economically valuable wild-caught shrimp species, and found that different species of shrimps showed certain differences in nutritional components, each having its own advantages and disadvantages. Generally speaking, however, their fatty acids, proteins, and mineral content were relatively good, and their amino acid content was also high. Precisely because wild-caught shrimps are rich in amino acids, substances such as tyrosine on their surface undergo a series of biochemical reactions under the action of polyphenoloxidase (PPO), eventually producing melanin, which leads to their blackening (Wu et al., 2021; Nirmal et al., 2015; Yufang et al., 2019). In addition, Gonçalves and Oliveira (Gonçalves and Oliveira, 2016) also found that after death, monovalent copper ions (Cu1+) are oxidized into divalent copper ions (Cu2+); this can activate tyrosinase to produce a large quantity of melanin, prompting the blackening of shrimp bodies and making the metabolism of the resident microbiota more active, thus causing serious food safety issues.
2.2 Low-temperature freezing technology
Low-temperature freezing is a widely used preservation method for aquatic products, which can effectively slow down biochemical reactions and reduce the growth rate of microorganisms (Guo et al., 2013). Ultra-low-temperature freezing technology falls within the scope of low-temperature freezing technology. In particular, ultra-low-temperature quick-freezing technology is a technique that rapidly freezes food in an extremely low-temperature environment (usually below -40°C). Through ultra-low-temperature freezing, perishable foods, such as seafood, can be preserved for an extended period (Rodríguez-Jara et al., 2022). However, due to factors such as the significant equipment costs, high maintenance expenses, and substantial energy consumption of ultra-low-temperature freezing technology, fishermen often opt for low-temperature freezing technology for food preservation. In 2022, Zhejiang Province issued a series of standards to regulate the retrofit of SLTFT equipment for sea-caught shrimps, and promoted it across the province. The requirements state that the storage temperature of the refrigerated hold should be below -18 °C, and that of the freezer hold should be below -28 °C (Zhejiang Provincial Administration for Market Regulation, 2022c, 2022d); Guo Xueqian and others (Guo et al., 2023) stored Eriocheir sinensis under different refrigeration temperatures (i.e, static air freezing, air blast freezing, and a combined method). The results showed that the lower the temperature, the longer the shelf life of E. sinensis. Luis A. Espinoza Rodezno and others (A. et al., 2024) explored the inactivation time and rate of Vibrio vulnificus and V. parahaemolyticus in oyster meat under low-temperature freezing and air blast freezing, as well as their impacts on the quality and microstructure of oyster meat. They found that the extent of reduction in the number of V. vulnificus in oyster meat by low-temperature freezing was greater than that for air blast freezing. This shows that through low-temperature freezing technology, the temperature of food can be rapidly lowered to a range where microorganisms cannot survive, which can effectively inhibit and kill various bacteria, and ensure the safety and hygiene of food, thus significantly extending their shelf life.
In synthesis, low-temperature quick-freezing technology has the advantages of inhibiting the growth of microorganisms, suppressing the activity of enzymes, maintaining nutritional components, achieving good freshness preservation effects, being cost-efficient, possessing sterilization capabilities and prolonging the shelf life. These advantages make it increasingly important in the storage, transportation and preservation of aquatic products, and is favored by an increasing number of enterprises.
2.3 Government subsidy policies
Fisheries subsidies are currently regarded as a common tool for fisheries management, and China’s fisheries policies and practices are no exception to this respect. The fisheries sector entails diverse benefits to society. For example, the development of the SLTFT, can enhance fishermen’s market participation, total sales volume and degree of commercialization. In this context, the use of fisheries subsidies usually serves multiple policy purposes (He, 2015; Zheng et al., 2021). Fishermen would not take the initiative to apply new technologies to their fishing boats. Therefore, the promotion and dissemination of new technologies requires the guidance of government policies (Guzmán et al., 2021). A González Galán and others (Galán et al., 2021) found in their research that, driven by the incentives stipulated in Law No. 147/1961, within merely a decade, more than 60% of the tonnage of the Spanish fishing fleet was renovated. Innovations were made to fishing gear and to the, detection and communication equipment. Moreover, in the early 1970s, over 90% of Spanish fishing boats were equipped with freezing systems and trawls. Under the incentive effect of policies, the popularization of SLTFT and the development of Spain’s marine fisheries were significantly promoted. J Hentati-Sundberg and others (Hentati-Sundberg et al., 2019) evaluated the impacts of subsidies on fishery and fishery sustainability through the official statistical yearbooks (1914-1995) and the Swedish government’s fishing fleet database (1996-2014). They reached the conclusion that a large fishing fleet requires high subsidies to maintain profitability, and that fleet subsidies can also improve onboard facilities and promote the development of technologies (such as freezing technology).
Due to the diversity of the fisheries sector, government subsidies do not always generate positive impacts (Brynhildur et al., 2023)Subsidies for fuel or other energy sources often lead to the problem of overcapacity in fishing fleets, and tend to result in issues such as the overexploitation and depletion of marine fisheries resources (Soeparna and Taofiqurohman, 2024). Victor Owusu and others (Victor and Moses, 2021) conducted 20 in-depth interviews in the Western Region of Ghana, and found that the asymmetric power relations among fishermen could lead to unequal distribution of benefits among stakeholders, resulting in problems such as a decrease in fishing frequency, reduction in fish catches, and an increase in illegal fishing behaviors. Fábio Luiz Vargas Machado and others (MaChado et al., 2021) established an annual data panel in 14 developed countries to evaluate the impact of fisheries subsidies on fisheries carbon dioxide emissions. The results showed that perverse subsidies usually led to an increase in carbon dioxide emissions. Rainer Froese and others (Froese et al., 2018) evaluated the fishing pressure and biomass based on existing data of 10 European ecoregions and 2 extensive regions. They found that some subsidies directly or indirectly enhanced the fishing capacity of European fleets and even led to the overfishing of some fish stocks.
After reviewing relevant literature, it is evident that government subsidy policies for marine fisheries are a double-edged sword. However, the question is still open as to whether the impact of government subsidies on the promotion of the SLTFT is also a double-edged sword. In addition, the majority of studies on government subsidies ignored the interactions between the government and other subjects in decision-making, which are expected to influence the effectiveness of government subsidies.
2.4 The application of evolutionary game theory in technology
Evolutionary game theory is different from traditional game theory, as it involves decisions made by agents under bounded rationality. It abandons the assumption in traditional game theory that agents are perfectly rational, enabling researchers to provide more scientific explanations and analyses of social and economic phenomena (Friedman, 1998). Shangrong Chen and others (Chen et al., 2023)evaluated the adoption and dissemination of different hydrogen technologies in the air transportation system, by using the evolutionary game theory approach. They found that government interventions (such as subsidies or taxes) can make hydrogen technologies more likely to be adopted and disseminated. He Yixiong and Fengxuan Zhang (Yixiong and Fengxuan, 2023)employed the evolutionary game theory approach to construct a mathematical model involving fishermen, research institutions, and the government. They found that under the guidance of government incentive and punishment mechanisms, high-quality scientific research outcomes can effectively assist fishermen in developing marine carbon sink fisheries more efficiently. Wang Haoyang and others (Wang et al., 2022) constructed an evolutionary game model among the government, the energy industry and the third-party clean energy supervision and audit institutions. They found that the government’s supervision can effectively restrain the rent-seeking behaviors between the energy industry and the third-party clean energy supervision and audit institutions. In parallel, the introduction of appropriate incentive measures can reduce the probability of rent-seeking behaviors by the third-party clean energy supervision and audit institutions, thus supporting the promotion of clean energy technologies. Yang Y and others (Yang et al., 2024) established an evolutionary game model and investigated how local governments should choose strategies for the cross-regional dissemination of clean technologies. They found that the choice of strategies by developed regions to encourage the dissemination of clean technologies largely depends on the incentive measures of the central government. Shi Y and others (Shi et al., 2020) pointed out that the subsidies and penalties implemented by the government for certain types of enterprises are shared equally by all interconnected enterprises, which weakens the effectiveness of these policy interventions, undermines the incentive effect of subsidies and has a negative impact on the dissemination of technologies. Overall, the government’s subsidy policies are of great significance for the dissemination of technologies.
This study contributes to existing research with the following innovations. Firstly, this study incorporated both fishermen and consumers into an evolutionary game model, which was employed to investigate government subsidy strategies from both the supply side and the demand side, thus providing a reference for the construction of systematic SLTFT subsidy policies. Secondly, the analysis of the government’s subsidies for the SLTFT considered both “whether to subsidize” and “how much to subsidize”. Based on the analysis of how the provision of subsidies affects the development of SLTFT, we explored the impact of the amount of government subsidies on the strategies of fishermen and consumers, and proposed an optimal subsidy structure. Moreover, we analyzed the costs of on-board low-temperature freezing equipment and the expenditures of consumers.
3 Construction of the evolutionary game model
Evolutionary game theory can be used to predict the strategy choices of participants and the evolution of behaviors in different scenarios. Promoting the diffusion of SLTFT is a systematic activity requiring the joint efforts of multiple parties. This study constructed an evolutionary game model containing three stakeholders: government, fishermen, and consumers.
3.1 Major stakeholders
This paper is based on the current research, field investigations, and the development status of SLTFT, aiming to ensure the feasibility and rigor of the study. To achieve this goal, the following preconditions and assumptions are made for the game stakeholders:
-
1. The promotion of SLTFT requires the joint efforts of the government, consumers, and fishermen.
-
2. Fishermen sell sea-caught shrimp to consumers through online and offline channels, in addition, fishermen sell part of the sea-caught shrimp to factories. The government provides subsidies to fishermen and consumers and regulates sea-caught shrimp products.
Based on these premises, the game system among fishermen, consumers and the government is shown in Figure 1.
Figure 1

The tripartite game diagram for the popularization of SLTFT.
3.2 Hypothesis
Based on the feasibility of the research, we made the following hypothesis:
Hypothesis 1.
This study constructed an evolutionary game model containing three stakeholders: the government, fishermen, and consumers. The behaviors of the three parties are boundedly rational, with the ability to choose actions and learn. The strategies of fishermen, consumers and the government are as follows: The strategy of fishermen adopting SLTFT is defined as , and the strategy of not adopting it is defined as , the strategy set is , the probability of strategy is (x) and that of is (); the strategy for consumers to purchase sea-caught shrimp products stored by SLTFT is defined as , and the strategy for consumers not to purchase sea-caught shrimp products stored by SLTFT is defined as , the strategy set is , the probability of strategy is (y) and that of is (); the strategy of the government providing subsidies is defined as , and the strategy of not providing subsidies is defined as , the strategy set is , the probability of strategy is (z) and that of is (). x,y,z∈[0,1].
Hypothesis 2.
When fishermen adopt SLTFT, there are three sales channels, (i) They are sold to consumers through offline market channels, and their price is ; (ii) They are sold to consumers through online live streaming and other digital platforms, and their price is ; (iii) Sell the sea-caught shrimp using SLTFT to sea-caught shrimp processing factories, and their price is . The quantity of sea-caught shrimp stored by fishermen using SLTFT is defined as . Among them, the proportion willing to be sold to the market is , and the proportion sold to processing factories is , is defined as the proportion of fishermen willing to sell sea-caught shrimp through offline channels. m∈[0,1], the cost for fishermen to adopt the SLTFT equipment is . When fishermen do not adopt SLTFT, they directly distribute sea-caught shrimp to local markets, the quantity of sea-caught shrimp stored without SLTFT is denoted as , where . The cost of not adopting SLTFT equipment is defined as , where .
Hypothesis 3.
The online demand for sea-caught shrimp products stored by SLTFT from consumers is , with the price denoted as , To facilitate parsimonious calculations, this study investigates the tripartite evolutionary game between the market paradigm and resale paradigm under conditions of non-disrupted demand, while considering the channel effect in market mode , ∈[0,1]. According to the studies conducted by Jiajia Nie et al (Nie et al., 2019), it is found that the demand for offline channels consists of the basic demand and the influence of online channel sales, Thus, the demand for sea-caught shrimp products stored by SLTFT from consumers in offline channels is expressed as , and their price is , and the related utility obtained by consumers is . The quantity of sea-caught shrimp not stored through the SLTFT purchased by consumers is and their price is . The related utility obtained by consumers is .
Hypothesis 4.
The amount of subsidies provided by the government for SLTFT equipment is , The proportion of these subsidies for fishermen is , and that for consumers is . When the government offers subsidies, it would dispatch an expert team to supervise the SLTFT equipment; the cost of such supervision is . and denote the comprehensive benefits (including tax revenue, environmental benefits, and social benefits) obtained by the government when subsidies are provided and when subsidies are not provided, respectively.
Hypothesis 5.
Consumers have a high demand for high-quality shrimps. However, fishermen are reluctant to adopt the SLTFT and the government incurs a loss of .
Based on the above analysis, the parameters used in this paper are shown in Table 1.
Table 1
| Parameter | Definition | Value range |
|---|---|---|
| The costs for fishermen to adopt SLTFT equipment | ||
| The quantity of sea -caught shrimp stored by fishermen using SLTFT equipment | ||
| The landing price of the sea -caught shrimp stored by fishermen using the SLTFT equipment | ||
| The cost for fishermen not to adopt the SLTFT equipment | ||
| The quantity of sea -caught shrimp stored by fishermen without using the SLTFT equipment | ||
| The landing price of the sea -caught shrimp stored by fishermen without using the SLTFT equipment | ||
| The proportion of fishermen willing to sell sea-caught shrimp stored by SLTFT to the market | ||
| The price at which fishermen sell sea-caught shrimp stored by SLTFT to factories | ||
| The price of sea-caught shrimp stored by SLTFT sold online by fishermen | ||
| The price of sea -caught shrimp products stored by SLTFT equipment on the market | ||
| The proportion of fishermen willing to sell sea-caught shrimp through offline channels | ||
| The quantity of sea -caught shrimp products not stored by SLTFT equipment purchased by consumers | ||
| The price of sea -caught shrimp products not stored by SLTFT equipment on the market | ||
| The utility that consumers obtain from purchasing sea -caught shrimp products stored by SLTFT equipment | ||
| The utility for consumers of not purchasing sea -caught shrimp products stored by SLTFT equipment | ||
| Cross-channel effect of online promoti ns on offline sales | ||
| The government’s benefit loss when consumers have a high demand for high-quality shrimp but fishermen are unwilling to adopt SLTFT | ||
| The subsidy amount provided by the government for SLTFT equipment | ||
| The probability that fishermen adopt SLTFT | ||
| The probability that consumers purchase sea -caught shrimp products stored by SLTFT | ||
| The probability that the government provides subsidies | ||
| The cost of government supervision | ||
| The effectiveness of government subsidies | ||
| The effectiveness of the government’s non-subsidy | ||
| The subsidy proportional coefficient of the government for fishermen | ||
| The subsidy proportional coefficient of the government for consumers | , |
Decision variables and model parameters.
3.3 Model formulations
Based on the above assumptions and parameters, Tables 2, 3 are obtained, which illustrate the payoff matrices of participants under the conditions of government providing subsidies and not providing subsidies.
Table 2
| The government provides subsidies | |||||||
|---|---|---|---|---|---|---|---|
| Consumers’ strategy | |||||||
| B1 | B2 | ||||||
| Fishermen’s payoff | Consumers’ payoff | Government’s payoff | Fishermen’s payoff | Consumers’ payoff | Government’s payoff | ||
| Fishermen’s Strategy | A1 | ||||||
| A2 | |||||||
When the government conducts subsidies.
A1: Fishermen adopt SLTFT; A2: Fishermen do not adopt SLTFT; B1: Consumers choose to purchase sea-caught shrimp stored by SLTFT; B2: Consumers choose not to purchase sea-caught shrimp stored by SLTFT.
Table 3
| The government does not provide subsidies. | |||||||
|---|---|---|---|---|---|---|---|
| Consumers’ strategy | |||||||
| B1 | B2 | ||||||
| Fishermen’s payoff | Consumers’ payoff | Government’s payoff | Fishermen’s payoff | Consumers’ payoff | Government’s payoff | ||
| Fishermen’s Strategy | A1 | ||||||
| A2 | |||||||
When the government does not conducts subsidies.
A1: Fishermen adopt SLTFT; A2: Fishermen do not adopt SLTFT; B1: Consumers choose to purchase sea-caught shrimp stored by SLTFT; B2: Consumers choose not to purchase sea-caught shrimp stored by SLTFT.
3.4 Evolutionary stable strategy by applying replicator dynamic equation
Parameters x y, and z are used to represent the probabilities of fishermen, consumers, and the government choosing different decisions, respectively. Replication dynamics can better describe the trend of change of game stakeholders over time, and explain that when the strategic fitness of a single player is higher than that of other stakeholders, the latter would follow the strategy with a higher degree of fitness. We use to denote the expected payoff when different agents choose different strategies, and for the average expected benefit of different agents.
Based on Table 2, we can obtain the revenues of different agents under different strategies.
The expected benefit for fishermen who choose to adopt SLTFT is shown in Equation 1, the expected benefit for those who do not adopt SLTFT is shown in Equation 2, and the average expected benefit is shown in Equation 3:
The replicator dynamic equation for fishermen is shown in Equation 4:
The expected benefit for consumers who choose to purchase sea-caught shrimp stored by SLTFT is shown in Equation 5, the expected benefit for those who do not purchase sea-caught shrimp stored by SLTFT is shown in Equation 6, and the average expected benefit is shown in Equation 7
The replicator dynamic equation for consumers is shown in Equation 8:
The expected benefit for the government when choosing to subsidize is shown in Equation 9, the expected benefit when not subsidizing is shown in Equation 10, and the average expected benefit is shown in Equation 11
The replicator dynamic equation for the government is shown in Equation 12:
4 Stability analysis
Stability analysis serves as a tool in evolutionary game theory to analyze the final choices made by various agents. Through the stable equilibria in evolutionary games, we can better understand the motivations behind the relevant decisions of each agent, as well as their potential motivations for making choices under specific circumstances.
4.1 Jacobi matrix of the dynamical system
The stable solution of the multi-group evolutionary game is a pure strategy Nash equilibrium. In this study, we conducted a stability analysis of nine pure-strategy equilibria in the evolutionary game system. The replicator dynamic system of the game among fishermen, consumers, and the government is shown in Equation 13.
In the replicated dynamic system of the game between fishermen, consumers, and the government, the stability of the strategy combinations of the three game stakeholders can be evaluated according to Lyapunov’s first law. Based on the replication dynamic equations of each player presented in the previous Section, the Jacobi matrix of the replication dynamic system was obtained, as shown in Equation 14:
4.2 Equilibrium point stability analysis
The equilibrium points of the system could be obtained from , and : , , , , , , , . According to the evolutionary game theory, when all the eigenvalues are negative, the point can enable the replicator dynamic system to reach the evolutionary stable strategy (ESS). By substituting each equilibrium point into the matrix, the Jacobian matrix corresponding to each equilibrium point could be obtained. The eigenvalues of each matrix are shown in Table 4.
Table 4
| Point | Eigenvalues of Jacobian matrix J |
|---|---|
| + | |
The determinant and the trace of Jacobi matrix for each equilibrium point.
Based on the eigenvalues of the equilibrium points of the replication dynamic system, the asymptotic stability of the equilibrium points is further determined. When all eigenvalues of an equilibrium point are negative, the equilibrium point is stable; otherwise, it is unstable. Table 4 shows that the eight equilibrium points represent eight different conditions, and the details are provided in Supplementary Appendix A1. Through a comparative analysis of the practical meanings of the above eight equilibrium points, it is found that when the equilibrium point is , the strategy combination {fishermen are willing to adopt SLTFT; consumers are willing to purchase sea-caught shrimp stored by SLTFT; the government does not provide subsidies} represents the optimal state. SLTFT can be spontaneously promoted, however, it is very difficult to achieve in reality. This is because the imperfection of the market mechanism will directly impede the spontaneous formation of “fishermen’s voluntary adoption” and “consumers’ voluntary purchase”. Due to market failure, it may lead to a decline in consumers’ utility evaluation , resulting in the actual being less than the expected . Thus, the condition > becomes invalid, causing a deviation in consumers’ decision - making. Consumers will still choose sea-caught shrimp stored without SLTFT. And fishermen may experience a delay in the convergence of their strategies due to insufficient short-term benefits. The realization of the optimal equilibrium requires the premise of “learning - adaptation - maturation”, and it is difficult to reach the state of “spontaneous maintenance” in the short term. Instead, it may present a transitional state of “government subsidy → market cultivation → gradual withdrawal” rather than an idealized spontaneous equilibrium. As shown in the inequality system (15), when:
That is, after the market mechanism is improved, when fishermen can still obtain long - term net benefits without subsidies, and the utility for consumers to purchase sea - caught shrimp stored with SLTFT without subsidies is greater than that of sea - caught shrimp stored without SLTFT, fishermen’s voluntary adoption and consumers’ voluntary purchase will be spontaneously maintained, and the government subsidies will be gradually withdrawn.
And is more in line with reality, that is, {fishermen are willing to adopt SLTFT; consumers are willing to purchase sea-caught shrimp stored by SLTFT; the government provides subsidies}. In this case, all participants choose to engage in cooperation. When evolves into a stable point, as shown in the inequality system (16). When the benefit of the government not providing subsidies is less than that of providing subsidies, the government will choose to provide subsidies. If the net income from not adopting SLTFT is lower than that from adopting it, consumers and fishermen will prefer to adopt SLTFT and its products.
The above formulas show that both consumers and fishermen receive subsidies from the government. In this case, the benefits obtained by the government through providing subsidies are greater than those when the government does not provide subsidies. Additionally, when the profit obtained by fishermen after subtracting the equipment cost from the income when not adopting the SLTFT to store sea-caught shrimps is lower than the profit obtained after subtracting the equipment cost from the income when adopting the SLTFT to store sea-caught shrimp plus the government subsidy; Meanwhile, when consumers’ net benefit (benefit minus expenditure) from purchasing non-SLTFT-stored shrimp is lower than that from SLTFT-stored shrimp (including government subsidies), therefore, SLTFT and its products become the common choice for both fishermen and consumers.
5 Simulation analysis
To verify the validity of the evolutionary game stability analysis, this study set 2024 as the base time(t=0) and set the duration t=50. Parameter values were assigned to the model based on the actual situation and by conducting site investigations. Then, these parameter values were substituted into the replication dynamic equations , and , and the simulation results of the game strategies of fishermen, consumers, and the government were obtained. The ode45 function for solving differential equations in MATLAB 2016b software was used to conduct numerical simulations, and the PLOT function was employed to graphically present the results for comparative analysis.
5.1 Parameter settings
To better study the above models, Matlab 2016b software is used to analyze the evolutionary trajectories of the stable strategies of the government, consumers and fishermen. This study employs field investigations to determine the data of equipment cost : samples from regions with different economic levels (including Zhejiang Province and Guangdong Province) are first included, and then the calculation is carried out by taking the mean value. This study adopts the parameter-setting methods for the government, consumers and fishermen proposed by Zheng et al (Zheng and Yu, 2022), and references the supply-chain-related parameter-setting approaches by Guo et al. (2024) to determine the values of relevant parameters. The values of relevant parameters were formulated. A total of 23 relevant parameter values were included in this study, as shown in Table 5.
Table 5
| Parameters | Parameters values | Parameters | Parameters values | Parameters | Parameters values |
|---|---|---|---|---|---|
| 3.6 | 11.8 | 5.5 | |||
| 5.5 | 0.5 | 23.5 | |||
| 6 | 3.3 | 0.07 | |||
| 1 | 7 | 8.1 | |||
| 1.5 | 3.1 | 2.1 | |||
| 5.5 | 1.8 | 0.7 | |||
| 0.5 | 0.5 | 0.3 | |||
| 5.5 | 0.21 |
Basic parameters of the tripartite participants.
5.2 Key variables’ simulations on evolutionary game results
5.2.1 Analysis of the impact of the amount of government subsidies on the game system
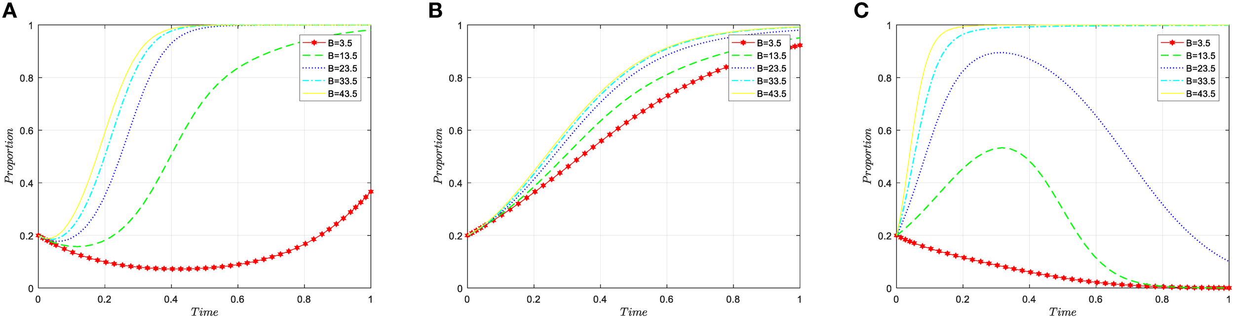
It was assumed that the amount of government subsidies B was 3.5, 13.5, 23.5, 33.5, 43.5. The evolutionary process of the game strategies among fishermen, consumers and the government is shown in Figure 2. The numerical simulation results are presented only in two-dimensional graphs. As shown in Figures 2A, B, with the increase in subsidy amount, the evolutionary trajectories of fishermen and consumers tend to 1 more rapidly. This indicates that government subsidies can have a positive impact on the choices of fishermen and consumers. As shown in Figure 2C, when the government subsidy amount is 3.5, the government is unwilling to provide subsidies. This is likely because the low subsidy amount fails to significantly incentivize fishermen to adopt the new technology, resulting in limited social benefits from promoting the SLTFT. When the government subsidy amounts are 13.5 and 23.5, the government initially tends to provide subsidies, but over time, it becomes reluctant to continue subsidizing. This may be because when the government implements the subsidy policy, initially, fishermen would respond actively and adopt the SLTFT; however, as the number of fishermen and consumers involved increases, the burden on the government would rise. In the medium term, although subsidy policies can drive the willingness of fishermen to adopt SLTFT and consumers’ purchasing willingness to show an upward trend, the growth rate of government expenditure exceeds that of social benefits. As a result, the government becomes unable to afford high subsidy amounts, leading to a decrease in its willingness to implement subsidy policies until the policies are eventually canceled. This finding is consistent with the research conducted by Fang Li et al (Li et al., 2024). When the government subsidy amounts are 33.5 and 43.5, the government is willing to provide subsidies. This might be because high subsidy policies prompt fishermen and consumers to actively respond to the policies, promoting the popularization of the technology and effectively activating market vitality. The expansion of product supply scale and quality optimization form a consumption stimulation mechanism, enabling the government to obtain sustained growth in comprehensive benefits, thereby strengthening the internal motivation for policy maintenance.
Figure 2

The impact of government subsidies on fishermen’s adoption, consumers’ purchase and government subsidies. (A) Fishermen’s Response (B) Consumers’ Response (C) Government’s Response.
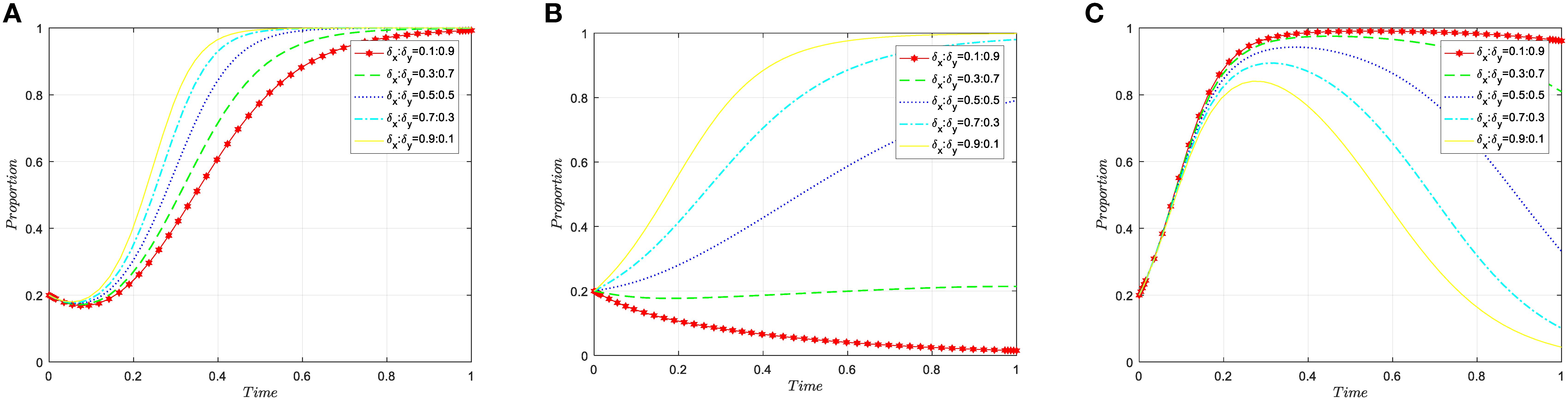
5.2.2 Analysis of the impact of the proportion of government subsidies on the game system
To analyze the impact of changes in government subsidy proportions on the evolutionary game process and outcomes, it is assumed that : are 0.1:0.9, 0.3:0.7, 0.5:0.5, 0.7:0.3, 0.9:0.1, respectively. The evolutionary process of the game strategies among fishermen, consumers and the government is shown in Figure 3. The numerical simulation results are displayed in two-dimensional graphs. As shown in Figure 3A, when the proportion of subsidies to fishermen increases, the evolutionary trajectory of fishermen tends to 1 more rapidly. This indicates that a high proportion of subsidies to fishermen is conducive to the adoption of SLTFT by fishermen; as shown in Figure 3B, when the proportion of government subsidies to consumers increases, the probability of consumer purchase decreases instead. When the proportion is 0.1:0.9 (fishermen:consumers), consumers tend to refuse to buy sea -caught shrimp stored by SLTFT. This may be because the slower convergence of fishermen’s willingness to adopt SLTFT leads to a shortage of sea -caught shrimp stored by SLTFT in the market and poor product quality, thereby decreasing the probability of consumer purchase. As shown in Figure 3C, with the increase in the proportion of subsidies to fishermen, the government’s willingness to subsidize shifts from willingness to reluctance. This may share the same mechanism as the curves for government subsidy amounts B = 13.5 and 23.5 in Section 5.2.1.
Figure 3

The impact of the proportion of government subsidies on fishermen’s adoption, consumers’ purchase and government subsidies. (A) Fishermen’s Response (B) Consumers’ Response (C) Government’s Response.
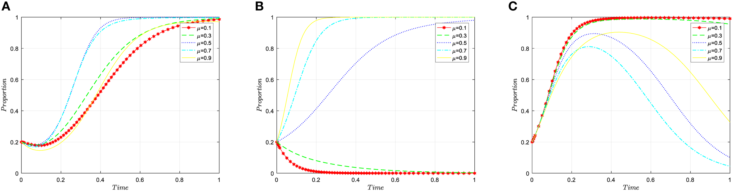
5.2.3 Analysis of the impact of online platforms on the game system
The operation of online platforms can have positive or negative cross-channel effects on offline platform sales. To analyze the impact of online platforms on the evolutionary game process and outcomes, it is assumed that μ takes the values of 0.1, 0.3, 0.5, 0.7, 0.9, respectively. The evolutionary process of the game strategies among fishermen, consumers and the government is shown in Figure 4. The numerical simulation results are displayed in two-dimensional graphs. As shown in Figure 4A, when μ takes the values of 0.1, 0.3, and 0.9, the evolutionary trajectory of fishermen tends to 1 more slowly than when μ is 0.5 or 0.7. This can be attributed to the fact that fishermen’s excessive sales of sea -caught shrimp through online platforms, combined with consumers’ concerns about the quality of sea -caught shrimp from online channels, constitute inhibitory factors for their purchasing decisions. This ultimately leads to a low actual transaction rate and high logistics costs for sea -caught shrimp, causing an imbalance in fishermen’s income structure. As a result, the willingness to adopt SLTFT tends to converge to 1 at a slower pace. Additionally, when fishermen sell a small quantity of sea -caught shrimp through online platforms, it may lead to a backlog of a large quantity of shrimp caught with new technologies in local markets, which in turn causes an imbalance in fishermen’s income structure. Thus, an appropriate online sales proportion, due to the positive cross-channel effect, can enable fishermen to sell more sea -caught shrimp, which in turn facilitates fishermen’s adoption of SLTFT. As shown in Figure 4B, when μ is 0.1 or 0.3, consumers tend to refuse to purchase sea -caught shrimp stored by SLTFT. However, when μ is 0.5 or 0.7, the cross-channel effect achieves the optimal online-offline synergy. Combined with the sufficient supply of sea -caught shrimp, the improved purchase convenience and quality trustworthiness of products lead consumers to tend to purchase sea -caught shrimp stored by SLTFT. When μ=0.9, consumers still tend to purchase sea -caught shrimp stored by SLTFT. This may be because nearly 90% of sea -caught shrimp flow into offline markets, leading to a decline in offline shrimp prices and making local consumers willing to buy.
Figure 4

The impact of online platforms on fishermen’s adoption, consumers’ purchase and government subsidies. (A) Fishermen’s Response (B) Consumers’ Response (C) Government’s Response.
As shown in Figure 4C, when μ is 0.1 or 0.3, the government’s evolutionary trajectory rapidly converges to 1, as for μ = 0.5 and 0.7, the government’s evolutionary trajectory shows initial willingness to subsidize, but it eventually tends to be unwilling to subsidize over time. Moreover, the higher the μ value is, the faster such evolutionary trajectory evolves. When μ = 0.9, this evolutionary trajectory slows down again. This may be because when μ is low, the downturn in the sea -caught shrimp market and fishermen’s demand for adopting new technologies lead the government to implement subsidies for macroeconomic regulation. When the value of μ increases, the market recovers its vitality, but the government’s burden also intensifies. As a result, the government tends to provide subsidies in the early stage but gradually withdraws from subsidizing in the later stage. When μ = 0.9, as the willingness of fishermen to adopt SLTFT converges to 1 at a slower pace while consumer demand for sea -caught shrimp increases, market shortages may emerge. Consequently, the government will implement macroeconomic regulation again, stimulating fishermen to adopt SLTFT through subsidies.
5.2.4 Analysis of the impact of fishermen’s equipment costs on the game system
In order to analyze the impact of the change in SLTFT cost on the process and results of the evolutionary game, it was assumed that was 3.6, 13.6, 23.6, 33.6, 43.6. The evolutionary processes of the game strategies among fishermen, consumers and the government are shown in Figure 5. The results of the numerical simulation are displayed in two-dimensional graphs. As shown in Figure 5A, as increases, fishermen would adopt more expensive equipment, such as ultra-low-temperature freezing equipment. Although the quality of sea-caught shrimps is improved after adopting more advanced technology, the increase in costs may make it uneconomical for fishermen in terms of profit calculation. Therefore, fishermen’s willingness to use this technology would decrease significantly. As shown in Figure 5B, the increase in costs leads to the price rise of sea -caught shrimp, thus slowing down the convergence rate of consumers’ evolutionary curve to 1. However, due to the guaranteed quality of sea -caught shrimp stored by this technology, consumers still choose to purchase the shrimp stored by SLTFT. As shown in Figure 5C, when is 3.6, fishermen are willing to adopt SLTFT with high participation, so the government is willing to provide subsidies in the early stage. However, as costs increase in the later stage, the government is reluctant to subsidize. When becomes larger, due to the low participation of fishermen, the goal of promoting SLTFT cannot be achieved, so the convergence rate of its evolutionary curve to 0 accelerates.
Figure 5

The impact of fishermen’s equipment costs on fishermen’s adoption, consumers’ purchase and government subsidies. (A) Fishermen’s Response (B) Consumers’ Response (C) Government’s Response.
6 Discussion
This study investigated the impacts of the government, consumers, and fishermen on the promotion of the SLTFT. The above results indicate that changes in four key factors—the amount and structure of government subsidies, online channels, and equipment costs—will influence different stakeholders to make distinct decisions. First, the amount of subsidies provided by the government is like a “double-edged sword”. Scholars explored the positive (Wang et al., 2025) and negative (Ji et al., 2019) impacts of subsidies on the promotion of the SLTFT; however, little attention was paid to the amount and structure of subsidies in promoting the popularization of technology. Different from existing research, this study explored the feasibility and the amount of subsidies provided by the government for the SLTFT, as well as the subsidy structure, and focused on the role of the government and its interaction with the decision-making of other entities. Government subsidies, as an external incentive, can to some extent motivate both the supply and demand sides. However, an irrational structure will lead to negative effects, which has been proved by the simulation results of this study (Wang et al., 2023).
Second, apart from government subsidies, a complex relationship exists between the promotion of new technologies and both the supply side and the demand side (Guo et al., 2024). In this study, fishermen and consumers are incorporated into an evolutionary game model to explore their impacts on technology promotion from the perspectives of supply and demand sides. On the supply side, products are often sold through multiple channels to reduce the risk of unsalable inventory. On the demand side, consumers also complete purchasing behaviors through multiple channels. The breakthrough of online platforms in traditional sales models has promoted the widespread application of online-offline channel strategies. However, when considering cross-channel effects, it is found that online channels have different impacts on the offline sales of different industries (Smith and Telang, 2010; Brynjolfsson et al., 2009). Therefore, this study examines the influence of online platforms on both the supply and demand sides, and finds that an appropriate proportion of online platform sales is conducive to the dissemination of SLTFT.
Finally, the willingness of the supply side to adopt the SLTFT often takes into account the influence of costs and benefits. In relation to costs, this study found that when fishermen decide whether to adopt the SLTFT equipment, they would take into account the factor of initial investment costs. A too high price of the SLTFT equipment would require fishermen to invest a considerable amount of money to purchase and install it. This may be an obstacle for some small-scale fishermen. Therefore, the government can, through subsidies, share the risks of adopting this new technology with fishermen, and reduce their daily operation costs, enabling them to be more financially capable of adopting this technology, thus promoting the popularization of the SLTFT. To sum up, this study provides certain guidance for the promotion of SLTFT. Meanwhile, it offers references for government intervention schemes, and is of great significance for optimizing the efficiency of fresh-keeping links in the supply chain, reducing product loss, and improving resource utilization.
This study also has its limitations. First, for the sake of model simplification and local policy integrity, the field survey was confined to select regions in Zhejiang Province. The parameter selection, while highly demonstrative, employs fixed values that overlook the spatial heterogeneity across China’s vast territory—where resource endowments and economic development vary significantly among regions. Secondly, online platforms involve more complex scenarios, such as platform subsidies and logistics distance. This study only considers the online sales proportion and its cross-channel effects. Finally, government subsidies are a systematic policy, influenced by a series of factors, such as whether to subsidize, and the subsidy amount, methods, subsidy structure and standards. This study only considers whether to subsidize, subsidy structure and the amount of subsidies to provide. In the future, other aspects should be further investigated.
7 Conclusions and policy recommendations
7.1 Conclusions
In this study, we constructed a three-party evolutionary game model among fishermen, consumers, and the government, and analyzed the impact of the probability that fishermen would adopt the SLTFT, the probability that consumers would purchase sea-caught shrimps stored using the SLTFT, and the probability that the government would provide subsidies on the strategies of other stakeholders and for the stability of the game system. On this basis, based on the field survey data, the impacts of government subsidy amount and structure, online platform, and equipment costs on the evolutionary results of the game system were simulated and analyzed. The conclusions are as follows:
-
1. It was found that government subsidies can produce dual incentive effects from both the production side and the consumption side. The subsidy structure of the government positively influences fishermen’ decision to store sea-caught shrimps using the SLTFT and consumers’ decision to purchase sea-caught shrimps stored with this technology. However, It is found that when the government subsidy is 23.5, with 80% of fishermen adopting SLTFT, their revenue from adoption () significantly exceeds that without adoption (). Concurrently, when 60% of consumers purchase SLTFT-preserved sea-caught shrimps, with stable online-offline premium capacity (cross-channel effect =0.5-0.7), their utility from such purchases () is significantly higher than that from non-SLTFT sea-caught shrimps (). At this stage, fishermen’s motivation to adopt SLTFT can be sustained without government subsidies, enabling gradual subsidy withdrawal. Then, the optimal structure of the amount of government subsidies was further investigated. It was found that the structure of the amount of government subsidies has a complex impact on the behavior of fishermen and consumers. In fact, a proper proportion structure can create a favorable cycle in the market, thereby promoting the popularization of SLTFT.
-
2. Cross-channel effects exhibit both positive and negative impacts. An optimal online sales proportion can exert positive influences, leading to the evolutionary stable strategy (ESS) . In this case, fishermen adopt the SLTFT, consumers purchase the sea-caught shrimps stored by the SLTFT, and the government provides subsidies.
-
3. The cost of fishermen’s SLTFT equipment has a significant impact on the tripartite game strategies. Lower equipment costs are conducive to promoting fishermen’s adoption of the SLTFT, consumers’ purchase intention, and government subsidies. Moreover, higher equipment costs will inhibit fishermen’s willingness to SLTFT, and the government will be reluctant to provide subsidies. However, consumers’ purchasing intention is still influenced by the quality guarantee of sea -caught shrimp and they will choose to purchase.
7.2 Policy suggestions
Based on the above conclusions, we make the following suggestions:
-
1. In the early stage of promotion of the SLTFT, the government should incentivize the adoption of this technology. By providing special subsidies for the SLTFT, the enthusiasm of fishermen to use this technology can be fully stimulated. However, the principle of moderation should also be considered at the same time. The amount of subsidies should be designed scientifically and rationally. In fact, a too low level of subsidies would not adequately incentivize fishermen to adopt this technology, while a too high level would disrupt the stability of the market price system, lead to unfair social distribution, and also impose an excessive burden on the government. Hence, the government should observe the market of frozen sea-caught shrimps and adjust the amount of subsidies, to ensure that they continue to play an incentive role.
-
2. After the implementation of reasonable subsidies, government subsidies will be gradually phased out once the market reaches a spontaneous equilibrium. At this stage, the government should regulate through rational setting of subsidy proportions and amounts. When the conditions for subsidy withdrawal are not met, the government should maintain the original subsidy structure (: =0.7:0.3) to promote the popularization of SLTFT. Once the subsidy withdrawal conditions are triggered, the government should halve the total subsidy amount and adjust the proportion to : =0.5:0.5, with a focus on tilting towards small-scale fishermen and low-income consumers. This measure aims to prevent vulnerable groups from withdrawing from the market due to subsidy reductions. After the complete withdrawal of subsidies, the government can enhance the market premium of products through industry association certification (such as SLTFT quality labels), thereby replacing the incentive role of subsidies.
-
3. The government should optimize the structure of the subsidy proportion. It is necessary to comprehensively consider the interests of fishermen and consumers, and reasonably allocate the subsidy proportion. In the initial stage of promotion, the subsidy proportion for fishermen can be appropriately increased to lower the cost threshold for them to adopt new technologies and enhance the technology penetration rate. With the increase in the proportion of fishermen adopting this technology, the subsidy direction can be adjusted appropriately, tilting towards consumers. By stimulating consumption, market demand can be boosted, forming a virtuous cycle.
-
4. The government can leverage subsidy policies to implement macroeconomic regulation on the selling prices of sea -caught shrimp on online platforms, guiding fishermen to maintain an optimal online sales proportion that activates positive cross-channel effects and prevents them from falling into the ‘Prisoner’s Dilemma’.
-
5. In order to avoid a situation where excessively high market prices affect consumers’ purchase intention, the government should strengthen the monitoring and regulation of market prices, guide merchants to set reasonable prices, safeguard the interests of consumers and, at the same time, stimulate market demand.
Statements
Data availability statement
The original contributions presented in the study are included in the article/Supplementary Material. Further inquiries can be directed to the corresponding author.
Author contributions
LX: Conceptualization, Investigation, Writing – original draft, Writing – review & editing. XZ: Conceptualization, Funding acquisition, Investigation, Supervision, Writing – original draft, Writing – review & editing. HY: Supervision, Writing – review & editing. PZ: Investigation, Writing – review & editing. DX: Writing – review & editing. PL: Writing – review & editing. XC: Writing – review & editing.
Funding
The author(s) declare that financial support was received for the research and/or publication of this article. This research is funded by the Funds for Science and Technology Program of Zhejiang Marine Fisheries Research Institute under project number HYS-CZ-202503.
Conflict of interest
The authors declare that the research was conducted in the absence of any commercial or financial relationships that could be construed as a potential conflict of interest.
Generative AI statement
The author(s) declare that no Generative AI was used in the creation of this manuscript.
Any alternative text (alt text) provided alongside figures in this article has been generated by Frontiers with the support of artificial intelligence and reasonable efforts have been made to ensure accuracy, including review by the authors wherever possible. If you identify any issues, please contact us.
Publisher’s note
All claims expressed in this article are solely those of the authors and do not necessarily represent those of their affiliated organizations, or those of the publisher, the editors and the reviewers. Any product that may be evaluated in this article, or claim that may be made by its manufacturer, is not guaranteed or endorsed by the publisher.
Supplementary material
The Supplementary Material for this article can be found online at: https://www.frontiersin.org/articles/10.3389/fmars.2025.1675470/full#supplementary-material
References
1
Espinoza Rodezno L. A. Bonilla F. Reyes V. Janes M. Sathivel S. (2024). Decimal reduction time and inactivation rate of Vibrio vulnificus and Vibrio parahaemolyticus in oyster meat by cryogenic freezing (CF) and air-blast freezing (AB) and their impact on oyster meat quality and microstructure. J. Food Eng.361, 111726. doi: 10.1016/j.jfoodeng.2023.111726
2
Brynhildur B. Gunnar H. Helga K. Ögmundur K. (2023). Assessing fisheries subsidies. Mar. Policy157, 105835. doi: 10.1016/J.MARPOL.2023.105835
3
Brynjolfsson E. Hu Y. J. Rahman M. S. (2009). Battle of the retail channels: how product selection and geography drive cross-channel competition. Manage. Sci.55, 1755–1765. doi: 10.1287/mnsc.1090.1062
4
Cai J. Xu C. Ma C. Liu Y. Shen C. (2017). Aggregations of the Solenocera crassicornis in the sea area northeast of Fujian. Acta Ecol. Sin.37, 1844–1850. doi: 10.5846/stxb201511032220
5
Chen S. Bravo-Melgarejo S. Mongeau R. Malavolti E. (2023). Adopting and diffusing hydrogen technology in air transport: An evolutionary game theory approach. Energy Econ.125, 106864. doi: 10.1016/j.eneco.2023.106864
6
Chengren M. Shuai O. (2024). Research progress on factors affecting the quality of aquatic products and their preservation technology. Chin. Farm. Prod. Process.04), 97–102+108. doi: 10.16693/j.cnki.1671-9646(X).2024.04.021
7
Ding P. P. Gao C. X. Peng X. Tian S. Q. Gou X. (2019). Niches and interspecific association of dominant shrimp species in the offshore waters of southern Zhejiang Province, China. Chin. J. Appl. Ecol.30, 3942–3950. doi: 10.13287/j.1001-9332.201911.035
8
Friedman D. (1998). On economic applications of evolutionary game theory. J. Evol. Econ.8, 15–43. doi: 10.1007/s001910050054
9
Froese R. Winker H. Coro G. Demirel N. Tsikliras A. C. Dimarchopoulou D. et al . (2018). Status and rebuilding of European fisheries. Mar. Policy93, 159–170. doi: 10.1016/j.marpol.2018.04.018
10
Galán A. G. Hoyo J.J.G.d. Ordaz F. G. (2021). Investment and decapitalization in the fishing industry: the case of the spanish crustacean freezer trawler fleet. Sustainability13, 8760. doi: 10.3390/su13168760
11
Gonçalves A. A. Oliveira A.R.M.d. (2016). Melanosis in crustaceans: A review. Lwt. Food Sci. Technol.65, 791–799. doi: 10.1016/j.lwt.2015.09.011
12
Guo L. Zhang Q. Wu J. Gonzalez E. D. R. S. (2024). An evolutionary game model of manufacturers and consumers’ behavior strategies for green technology and government subsidy in supply chain platform. Comput. Ind. Eng.189, 109918–. doi: 10.1016/j.cie.2024.109918
13
Guo M. Jin T. Z. Yang R. Antenucci R. Mills B. Cassidy C. et al . (2013). Inactivation of natural microflora and inoculated Listeria innocua on whole raw shrimp by ozonated water, antimicrobial coatings, and cryogenic freezing. Food Control.34, 24–30. doi: 10.1016/j.foodcont.2013.04.009
14
Guo X. Yu L. Lu Q. Ding W. Zhong J. Zhang L. et al . (2023). Quality evaluation and shelf-life prediction model establishment of frozen Chinese mitten crab (Eriocheir sinensis). LWT173, 114250. doi: 10.1016/j.lwt.2022.114250
15
Guzmán J. J. M. Braga S. L. Beltrán H.J.d C. Coa M. E. D. (2021). Application of a solar photovoltaic system to artisanal fishing products freezing in Peru. E3S. Web Conf.294, 4. doi: 10.1051/E3SCONF/202129401005
16
He J. (2015). Chinese public policy on fisheries subsidies: Reconciling trade, environmental and food security stakes. Mar. Policy. 56, 106–116. doi: 10.1016/j.marpol.2014.12.021
17
Hentati-Sundberg J. Hellquist K. F. Duit A. (2019). Iron triangles and subsidies: understanding the long-term role of the government on Swedish commercial fisheries. Ecol. AND. Soc.24, 18. doi: 10.5751/ES-11259-240418
18
Hua-long Z. Hai L. kang S. J. hua Z. L. Su-ping S. (2007). Comparison of effect of freshness-preserving agents and methods of application on preservation of sea prawn. Chin. J. Food Hyg.19, 228–233. doi: 10.13590/j.cjfh.2007.03.011
19
HuiYu L. Yan J. JianZhong L. ZunLei L. JiaHua C. (2023). Shrimp community structure and influence of environmental variables in the East China Sea and Yellow Sea in spring. Chin. J. Appl. Ecol.34, 1659–1668. doi: 10.13287/J.1001-9332.202306.032
20
Ji S. F. Zhao D. Luo R. J. (2019). Evolutionary game analysis on local governments and manufacturers’ behavioral strategies: Impact of phasing out subsidies for new energy vehicles. Energy189, 116064. doi: 10.1016/j.energy.2019.116064
21
Johansson J. Jonzén N. (2012). Game theory sheds new light on ecological responses to current climate change when phenology is historically mismatched. Ecol. Lett.15, 881–888. doi: 10.1111/j.1461-0248.2012.01812.x
22
Kim S. H. Jung E. J. Hong D. L. Lee S. E. Lee Y. B. Cho S. et al . (2020). Quality assessment and acceptability of whiteleg shrimp (Litopenaeus vannamei) using biochemical parameters. Fish. Aquat. Sci.23, 21. doi: 10.1186/S41240-020-00167-6
23
Li F. Guo Y. Liu B. (2024). Impact of government subsidies and carbon inclusion mechanism on carbon emission reduction and consumption willingness in low-carbon supply chain. J. Cleaner. Prod.449, 141783–. doi: 10.1016/J.JCLEPRO.2024.141783
24
Litao W. Yingying P. Huaihua Y. Wenjun X. Jie H. (2022). Comparing the muscle nutritional quality of eight common wild-caught economic shrimp species from the east China sea. J. Aquat. Food Prod. Technol.31, 549–564. doi: 10.1080/10498850.2022.2081062
25
Liu C. Liu Z. Li W. Xu M. (2024). A time-delayed evolutionary game analysis of new energy vehicles development considering subsidy and carbon tax. Heliyon10, e25667–. doi: 10.1016/j.heliyon.2024.e25667
26
MaChado F. L. V. Halmenschlager V. Abdallah P. R. Teixeira G d S. Sumaila U. R. (2021). The relation between fishing subsidies and CO2 emissions in the fisheries sector. Ecol. Econ.185, 107057. doi: 10.1016/j.ecolecon.2021.107057
27
Nie J. Zhong L. Yan H. Yang W. (2019). Retailers’ distribution channel strategies with cross-channel effect in a competitive market. Int. J. Prod. Econ.213, 32–45. doi: 10.1016/j.ijpe.2018.12.019
28
Nirmal N. P. Benjakul S. Ahmad M. Arfat Y. A. Panichayupakaranant P. (2015). Undesirable enzymatic browning in crustaceans: causative effects and its inhibition by phenolic compounds. Crit. Rev. Food Sci. Nutr.55, 1992–2003. doi: 10.1080/10408398.2012.755148
29
Pierce J. A. Rast D. M. (1995). A comparison of native and synthetic mushroom melanins by fourier-transform infrared spectroscopy. Phytochemistry39, 49–55. doi: 10.1016/0031-9422(94)00837-J
30
Province G o t P s G o Z (2022). Notice of the general office of the people’s government of zhejiang province on issuing the action plan for strengthening the systematic governance of work safety in marine and fishery-related fields and promoting the high-quality development of marine fisheries in Zhejiang Province, (2022—2024). Gazette of the People's Government of Zhejiang Province.12, 8–14.
31
Rodríguez-Jara E.-n. Sánchez-de-la-Flor F. J. Expósito-Carrillo J. A. Salmerón-Lissén J. M. (2022). Thermodynamic analysis of auto-cascade refrigeration cycles, with and without ejector, for ultra low temperature freezing using a mixture of refrigerants R600a and R1150. Appl. Thermal. Eng.200, 117598. doi: 10.1016/j.applthermaleng.2021.117598
32
Shaw I. (2005). Is it Safe to Eat? (Heidelberg, Germany: Springer Berlin), ISBN: 978-3-540-27003-4.
33
Shengjun C. Feiyan T. Chuang P. Haixia M. Shaoling Y. Chunsheng L. et al . (2020). Research progress on low temperature storage and preservation technology of shrimp products. Chin. Fish. Qual. Standards.10, 68–75. doi: 10.3969/j.issn.2095-1833.2020.01.008
34
Shi Y. Han B. Zeng Y. (2020). Simulating policy interventions in the interfirm diffusion of low-carbon technologies: An agent-based evolutionary game model. J. Cleaner. Prod.250, 119449. doi: 10.1016/j.jclepro.2019.119449
35
Smith M. D. Telang R. (2010). Piracy or promotion? The impact of broadband Internet penetration on DVD sales. Inf. Econ. Policy22, 289–298. doi: 10.1016/j.infoecopol.2010.02.001
36
Soeparna I. I. Taofiqurohman A. (2024). Transversal policy between the protection of marine fishery resources and fisheries subsidies to address overfishing in Indonesia. Mar. Policy163, 106112. doi: 10.1016/j.marpol.2024.106112
37
Truonghuynh H. T. Li B. G. Zhu H. Guo Q. Li S. (2020). Freezing methods affect the characteristics of large yellow croaker (Pseudosciaena crocea): use of cryogenic freezing for long-term storage. Food Sci. Technol.40, 429–435. doi: 10.1590/fst.27719
38
Usui M. Harada A. Yasumoto S. Sugiura Y. Nishidai A. Ikarashi M. et al . (2015). Relationship between the risk for a shrimp allergy and freshness or cooking. Biosci. Biotechnol. Biochem.79, 1698–1701. doi: 10.1080/09168451.2015.1045830
39
Victor O. Moses A. (2021). Politics, power and unequal access to fisheries subsidies among small-scale coastal fisherfolk in Ghana. Ocean. Coast. Manage.214, 105920. doi: 10.1016/j.ocecoaman.2021.105920
40
Wang Y. Fan R. Lin J. Chen F. Qian R. (2023). The effective subsidy policies for new energy vehicles considering both supply and demand sides and their influence mechanisms: An analytical perspective from the network-based evolutionary game. J. Environ. Manage.325, 116483. doi: 10.1016/j.jenvman.2022.116483
41
Wang D. Gao H. Q. (2024). China Fishery Statistical Yearbook (BeiJing, China: China Agriculture Press), ISBN: 978-7-109-32126-7.
42
Wang H. Gao L. Ying J. (2022). The predicament of clean energy technology promotion in China in the carbon neutrality context: lessons from China’s environmental regulation policies from the perspective of the evolutionary game theory. Energy Rep.8, 4706–4723. doi: 10.1016/j.egyr.2022.03.142
43
Wang J. Xu H. Wang M. (2025). Technology diffusion considering technological progress and multiple policy combinations based on evolutionary game theory. Technol. Soc.81, 102799. doi: 10.1016/j.techsoc.2024.102799
44
Wang X. ZHang J.-g. Xu K.-h. Tong L. Wang H.-h. Dai Z.-y. (2014). Analysis and quality evaluation of nutrition in the muscle of three kinds of marine shrimps. Chin. Food Ferment. Industries.40, 209–214. doi: 10.13995/j.cnki.11-1802/ts.2014.08.039
45
Wenya X. Qianyun M. Jianfeng S. Yanlei L. Jie W. Yiwei T. et al . (2022). Changes in quality characteristics of shrimp (Penaeus chinensis) during refrigerated storage and their correlation with protein degradation. J. Food Composition. Anal.114, 104773. doi: 10.1016/j.jfca.2022.104773
46
Worm B. Barbier E. B. Beaumont N. Duffy J. E. Folke C. Halpern B. S. et al . (2006). Impacts of biodiversity loss on ocean ecosystem services. Science314, 787–790. doi: 10.1126/science.1132294
47
Wu S. Zhao M. Gao S. Xu Y. Zhao X. Liu M. et al . (2021). Change Regularity of Taste and the Performance of Endogenous Proteases in Shrimp (Penaens vannamei) Head during Autolysis. Foods10, 1020. doi: 10.3390/foods10051020
48
Wu R. Zhu L. Jiang M. (2024). Research on the evolution game of low-carbon operations in cold chain logistics considering environmental regulations and green credit. Heliyon10, e30559. doi: 10.1016/j.heliyon.2024.e30559
49
Xu Y. Sui J. Ma L. Dong D. Kou Q. Gan Z. et al . (2019). Spatial pattern of benthic macroinvertebrate communities and their relationship with environmental variables on the East China Sea shelf. Deep. Sea. Res. Part II.: Topical. Stud. Oceanogr.169–170, 104633. doi: 10.1016/j.dsr2.2019.07.021
50
Yang Y. Liu H. Liu L. (2024). An evolutionary game for analysis of implementation strategies in inter-regional diffusion of clean technology. Socio-Econ. Plann. Sci.95, 102009. doi: 10.1016/j.seps.2024.102009
51
Ye X. (2012). Study on formation, Operation, and Protection Mechanism of Fishery Mutual - Cooperative Insurance (HangZhou, China: Zhejiang Gongshang University Press), ISBN: 978-7-5178-1094-0.
52
Yixiong H. Fengxuan Z. (2023). A game study on the implementation of marine carbon sink fisheries in the context of carbon neutrality – Analysis of the tripartite behavior of fishery practitioners, research institutions, and the government. Mar. Policy147, 105365. doi: 10.1016/J.MARPOL.2022.105365
53
Yubin Y. Yingchun X. Jialin L. Xin C. Lingping H. Yujin L. et al . (2021). Optimization of ultrasonic-assisted freezing of Penaeus chinensis by response surface methodology. Food Qual. Saf.5, 1–9. doi: 10.1093/fqsafe/fyaa034
54
Yufang Z. Jiankun H. U. Yunbin H. Xingwei X. Huicheng Y. Bin Z. et al . (2019). Kinetic analysis of the inhibitory effect of 4-hexylresorcinol and ascorbic acid on polyphenoloxidase from solenocera crassicornis. Chin. Food Sci.40, 69–74. doi: 10.7506/spkx1002-6630-20171205-060
55
Zhejiang Provincial Administration for Market Regulation (2022a). DB33/T 2446—2022 Code of practice for freeze and refrigeration operation and equipment modification on marine shrimp boat. (Hangzhou, Zhejiang, China: Zhejiang Provincial Administration for Market Regulation).
56
Zhejiang Provincial Administration for Market Regulation (2022b). DB33/T 2445—2022 Code of practice for freshness keeping of marine shrimp. (Hangzhou, Zhejiang, China: Zhejiang Provincial Administration for Market Regulation).
57
Zhejiang Provincial Administration for Market Regulation (2022c). DB33T 2537—2022 Technical specification for cleaner production of seagoing fishing vessel. (Hangzhou, Zhejiang, China: Zhejiang Provincial Administration for Market Regulation).
58
Zhejiang Provincial Administration for Market Regulation (2022d). DB33/T 2447—2022 Traceability procedure for capture, storage and transportation of marine shrimp. (Hangzhou, Zhejiang, China: Zhejiang Provincial Administration for Market Regulation).
59
Zheng H. Li J. Zhao X. (2021). How does financial policy support the development of China’s fishery? Characteristics, experience and prospects. Mar. Policy132, 104678. doi: 10.1016/j.marpol.2021.104678
60
Zheng S. Yu L. (2022). The government’s subsidy strategy of carbon-sink fishery based on evolutionary game. Energy254, 124282. doi: 10.1016/j.energy.2022.124282
Summary
Keywords
government subsidy, shipborne low-temperature freezing technology, subsidy strategy, evolutionary game, numerical simulation
Citation
Xu L, Zhang X, Yu H, Zhou P, Xu D, Li P and Chen X (2025) An evolutionary game analysis of the promotion of shipborne low-temperature freezing technology for sea-caught shrimps among the government, fishermen, and consumers. Front. Mar. Sci. 12:1675470. doi: 10.3389/fmars.2025.1675470
Received
29 July 2025
Accepted
29 August 2025
Published
23 September 2025
Volume
12 - 2025
Edited by
Lau Yui Yip, Hong Kong Polytechnic University, Hong Kong SAR, China
Reviewed by
Min Xu, Chinese Academy of Fishery Sciences, China
Lin Yang, Shandong University, China
Updates
Copyright
© 2025 Xu, Zhang, Yu, Zhou, Xu, Li and Chen.
This is an open-access article distributed under the terms of the Creative Commons Attribution License (CC BY). The use, distribution or reproduction in other forums is permitted, provided the original author(s) and the copyright owner(s) are credited and that the original publication in this journal is cited, in accordance with accepted academic practice. No use, distribution or reproduction is permitted which does not comply with these terms.
*Correspondence: Xiaojun Zhang, zhangxj@zjou.edu.cn
†ORCID: Xiaojun Zhang, orcid.org/0000-0001-8807-5450
Disclaimer
All claims expressed in this article are solely those of the authors and do not necessarily represent those of their affiliated organizations, or those of the publisher, the editors and the reviewers. Any product that may be evaluated in this article or claim that may be made by its manufacturer is not guaranteed or endorsed by the publisher.