Abstract
Xiaohai Lagoon has faced significant natural and anthropogenic pressures, necessitating a heavy metal contamination assessment. Sediment and water samples were collected in 2024 during dry and wet seasons to assess heavy metal pollution and ecological risk based on individual and synergistic indices. Heavy metal content was detected using an inductively coupled plasma mass spectrometer. The Cr, Zn, Pb, Cd, Cu, Ni, As, and Hg in water ranged from 0.90 to 9.08, 4.52 to 49.48, 0.01 to 7.26, 0.00 to 1.33, 0.87 to 61.90, 0.03 to 13.23, 1.16 to 3.04, and 0.01 to 2.00 µg L-1, respectively. The average heavy metal concentration in water was within acceptable limits. For sediments, Cr, Zn, Pb, Cd, Cu, Ni, As, and Hg contents ranged from 1.98 to 40.60, 8.50 to 90.31, 3.12 to 61.62, 0.00 to 0.25, 0.50 to 76.38, 1.31 to 17.23, 1.27 to 9.41, and 0.00 to 0.06 mg kg-1, respectively. Sediment metals, except Cd, met China’s primary standards and varied seasonally, with peaks in the dry season. The average geoaccumulation index (Igeo) values for all the metals, except As, were below 0, while the pollution load index (PLI) suggested moderate pollution. Additionally, the contamination factor (CF) reflected moderate pollution for Cd and Hg, while As reflected a considerable pollution level. Further, Pearson’s and PCA analyses revealed that Cr, Zn, Pb, Cd, Ni, As, and Hg correlated positively, possibly from aquaculture and agricultural inputs, while Cu derived from urban sources. The study provides critical data for informed management of the Xiaohai Lagoon.
1 Introduction
Aquatic ecosystems, encompassing rivers, lakes, oceans, wetlands, and lagoons, help preserve biodiversity, sustain human livelihoods, and influence global climate patterns. However, due to the rapid global population growth, industrialization, urbanization, and agricultural expansion, these ecosystems face severe contamination from toxic pollutants (Dudgeon et al., 2006; Sun et al., 2019). Coastal lagoons are among the most productive and ecologically important ecosystems on earth, offering vital services like nutrient cycling, shoreline stabilization, and habitats for a variety of aquatic life (Newton et al., 2018). Coastal lagoons are also characterized by harboring a large part of the human population that may depend directly on these ecosystems (Willaert, 2014). However, these are the most threatened ecosystems in the world. Their location at the land-sea interface also makes them vulnerable to anthropogenic pollution, serving as ultimate sinks for contaminants carried from land and river sources (Newton et al., 2018). Among these contaminants, heavy metals are of particular concern due to their persistence, bioaccumulation potential, and toxicity to living organisms. Heavy metal contamination primarily results from improper industrial and domestic waste management, inadequate sewage treatment, traffic pollution, aerosol emissions, smelting, and sewage discharge (Srivastava et al., 2017). Industrial processes, such as electroplating, battery coating, pigmentation, and metal coating, also contribute to heavy metal pollution (Saini and Dhania, 2020). Moreover, inorganic fertilizers, pesticides, herbicides, fungicides, and various agricultural inputs contribute to aquatic ecosystems' heavy metal pollution via runoff (Ke et al., 2017). Heavy metals are typically transferred to aquatic ecosystems through the interfaces among water, atmosphere, and soil (Varol, 2017). They become diluted within these ecosystems and then accumulate in sediments, which act as a repository for metals (Williams & Antoine, 2020). Under changing environmental conditions, such as acidification or hypoxia, metals stored in sediments are discharged, resuspended, and then incorporated into the water (Varol, 2017). As a result, sediments can significantly influence the buildup of various metal pollutants (Yang et al., 2018). Unlike organic pollutants, heavy metals do not decompose naturally and can accumulate over time, leading to chronic contamination and long-term ecological effects, which make aquatic ecosystems more vulnerable (Hou et al., 2024). The buildup of these metals in aquatic systems poses serious threats to biodiversity and human health because they are toxic, persistent, and bioaccumulate through the food chain (Ouyang et al., 2018). Consequently, metals can cause the death of aquatic organisms (Thanigaivel et al., 2023). Due to their ability to bioaccumulate in aquatic organisms, they can also impact other consumers, including humans (Maurya et al., 2019). Heavy metals can severely disrupt human health since they do not break down in the body and have a high affinity for various physiological systems (Balali-Mood et al., 2025). Recent studies reveal that heavy metals disturb aquatic food webs by impairing physiological functions in fish, invertebrates, and phytoplankton, leading to reduced growth, reproductive failure, and behavioral abnormalities (Ali et al., 2024). Additionally, heavy metals change microbial communities, hindering essential biogeochemical processes such as nitrogen cycling and organic matter decomposition (Zhang et al., 2024). Their bioaccumulation and biomagnification at higher trophic levels, including piscivorous birds and humans, pose serious ecological and public health risks (Panda et al., 2025). Thus, aquatic ecosystems' heavy metal pollution is a serious environmental issue that demands urgent attention. Therefore, a comprehensive investigation of heavy metal pollution in aquatic ecosystems is crucial to understand the extent of metal buildup and to develop strategies to reduce pollution.
Heavy metal contamination in China has received substantial attention, necessitated by increased industrialization, urbanization, and agricultural expansion. According to previous studies, forty per cent of the ten key aquatic systems studied in China are impacted negatively by anthropogenic activities (Xu et al., 2016). Consequently, the environmental protection plan in China has listed some metals as subjects of total load control, e.g., Pb and Cd (Li et al., 2018). Xiaohai, located east of Wanning City, is the largest lagoon on Hainan Island. A narrow inlet of 150 meters connects the lagoon to the South China Sea (Zhang et al., 2023). Due to natural processes and anthropogenic activities, it has suffered historic morphological and hydrodynamic changes for decades. Recently, the lagoon has been reported to have suffered severe impacts from anthropogenic pressures resulting from the intense human settlement and economic activities around the lagoon. The release of wastewater from aquaculture, agricultural runoff, and household sewage has caused a decline in the water quality of Xiaohai, leading to its classification as a Category 4 water body with extremely poor status (Gong et al., 2008; Zhang et al., 2023). Several studies exist on Xiaohai Lagoon’s hydrodynamics, sediment transportation, morphological changes, and water quality (Gong et al., 2008; Li et al., 2024; Liu and Ge, 2012; Zhang et al., 2023). However, very few studies focused on heavy metal contamination (Li et al., 2024). Hence, investigating the possible accumulation of toxic elements for sustainability and management purposes is vital. Accordingly, this study, for the first time, assessed heavy metal content in the water and sediment samples from Xiaohai Lagoon in Hainan Island, China. Additionally, the study determined the contamination level and potential ecological risk of the heavy metals using individual and synergistic indices. Thus, the study findings are valuable for managing the Xiaohai Lagoon.
2 Materials and methods
2.1 Study area
Xiaohai Lagoon (Figure 1), situated on the eastern coast of Hainan Island within Wanning City (18°30′–18°40′N ′ N, 110°10′–110°20′E ′ E), is the largest lagoon, spanning 43.78 km2 with an average depth of 1.5 m (max. 4 m). It connects to the South China Sea via a narrow tidal inlet (150 m long), facilitating brackish water exchange (Zhang et al., 2023). The lagoon’s elongated basin extends 10 km north to south and 7.5 km east to west, forming a shallow, semi-enclosed coastal ecosystem. The lagoon is also a confluence of rivers in the surrounding area, including the Taiyang, Longtou, Longwei, Dongshan, Longshou, Xigou, Beipo, and Baishi rivers (Compiling Committee of Records of China Bays, 1999). Notably, Taiyang is the longest river, approximately 78.7 km long, recording average annual runoff of 1.4×108m3 (Liu and Ge, 2012). The Taiyang River watershed spans 593 km² and primarily comprises agricultural areas. The Longtou River is about 33.2 kilometers long, and its watershed spans an area of 136 km². The Longwei and Dongshan rivers measure 38.2 km and 26.6 km in length, with their respective watersheds covering 158 km² and 97 km². Being in the tropical region, Xiaohai lagoon experiences an average yearly rainfall of 2,159 mm with distinct wet (May-October) and dry (November-April) seasons. The typical temperatures are approximately 28°C during the summer and 18°C in winter. The daily tide in the lagoon is irregular, up to 0.71 m at the entrance, reducing further inwards. The average salinity varies from 4 to 5 ppt within the lagoon, while it ranges from 8.1 to 31 ppt at the entrance (Liu and Ge, 2012). To capture spatial changes in heavy metal distribution and anthropogenic influences, 15 sampling sites were strategically distributed across Xiaohai Lagoon’s distinct hydrological zones (Figure 1). The sites were categorized into three zones: the lagoon inlet, inner lagoon, and intertidal areas to represent the heavy metal distribution effectively.
Figure 1

The Xiaohai lagoon map representing the sampling stations (Supplementary Table S1).
2.2 Sample collection and analysis
Triplicate water samples of the overlying water column (0.5 m) were collected from the 15 sampling stations in Xiaohai lagoon during wet and dry seasons in 2024 (Figure 1). The samples were collected in 500 ml polyethylene bottles, pre-treated in nitric acid, and then rinsed thoroughly with Milli-Q water. Then, the water samples were fixed with 5 ml of concentrated nitric acid. Triplicate sediment samples were collected (top 0–5 cm layer) using a Van Veen grab sampler and stored in zip polyethylene bags. Finally, the collected samples were transported to the Hainan University laboratory in insulated coolers (4 °C) for analysis. At the laboratory, the water samples were filtered through a 0.45 μm cellulose nitrate membrane filter (Whatman®). Notably, the first 20 ml of filtered water was discarded during filtration to avoid contamination. Then, the filtered water (10 ml) was directly analyzed for the content (µg L-1) of Cr, Zn, Pb, Cd, Cu, Ni, As, and Hg using an Inductively Coupled Plasma Mass Spectrometer (ICP-MS, PerkinElmer NexION 5000G). The sediment samples were oven-dried at 70 °C for about 72 hours to achieve a constant weight. The dried samples were ground into powder using a mortar and pestle, then sieved through a 0.15 mm stainless steel sieve. Roughly 0.1 g of the powdered samples was mixed with nitric, hydrochloric, and hydrofluoric acid at 2 ml, 2 ml, and 1 ml, respectively. The mixture was digested using a Multiwave 7000 Microwave for 40 minutes at 190 °C, then cooled. After cooling, the samples were diluted to 25 ml using Milli-Q water. Finally, the sediment's metal concentration (mg kg-1) was determined using Inductively Coupled Plasma-Atomic Emission Spectrometry (ICP-AES, NCS Plasma 3000).
2.3 Quality control and quality assurance
For effective QC and QA implementation, the sampling bottles were thoroughly cleaned, soaked in 20% HNO3, and rinsed with deionized water as a safety measure to avoid any potential contamination. Certified reference standards, including 0.2 ppb and 1 ppb of mercury and 10 ppb and 25 ppb of multielement, were used to calibrate the instruments before the analyses and at the end of each measurement for accuracy. At the same time, a blank method was employed after every 15 samples to avoid contamination. Three replicates for each sample were run from the same digestion solution, and their relative standard deviation (RSD) was determined. The sample blank concentrations were < 1%, while the RSDS were <10%. The recovery rate was 97.4% to 105.7%, which conforms with the verified values.
2.4 Heavy metal contamination assessment
Contamination factor (CF) and geo-accumulation index (Igeo) are individual indices widely employed for sediment heavy metal contamination assessment. They relate the sediment heavy metals to their background values, giving insight into anthropogenic input. To determine Igeo and CF, sediment metal contents are compared to their geochemical background reference values (Muller, 1969). This study adopted the heavy metal background values in Hainan Island from Fu et al. (2014). The Igeo and CF values were established following the equations.
.
Csi is the sediment heavy metal content, and Cbi is the background reference value (Fu, 2014). The Igeo values were classified as Class 0 (Igeo < 0 unpolluted), Class 1 (0 ≤ Igeo < 1 unpolluted to moderate), Class 2 (1 ≤ Igeo < 2 moderate polluted), Class 3 (2 ≤ Igeo < 3 moderate to high polluted), Class 4 (3 ≤ Igeo < 4 highly polluted), Class 5 (4 ≤ Igeo < 5 highly to extremely polluted), and Class 6 (Igeo ≥ 5 extremely polluted). Meanwhile, CF was categorized as CF < 1 low pollution, 1 ≤ CF < 3 moderate pollution, 3 ≤ CF < 6 considerable pollution, and CF ≥ 6 very high pollution. Additionally, the pollution load index (PLI) is a valuable environmental assessment and management tool. The PLI estimates the pollution level of the metals. It comprehensively evaluates the overall contamination status by integrating pollution levels from all metals. The PLI was established following the equations.
Where PLI < 1 is unpolluted, and PLI > 1 is polluted.
2.5 Potential ecological risk index
The RI helps to determine heavy metal risks in aquatic environments. By identifying heavy metals with high ecological risk, RI provides valuable information for management decisions. The RI was established following the equations.
.
Where: is the potential ecological risk factor of element i, is the toxic response factor of element i. The for Cd (30), Cr (2), Ni (5), Cu (5), Zn (1), As (10), Pb (5), and Hg (40) were obtained from Zhang et al. (2018)RI category: RI < 150 low risks, 150 ≤ RI < 300 moderate risks, 300 ≤ RI < 600 considerable risks, and RI ≥ 600 very high risks.
2.6 Statistical analysis
Spatial variability in heavy metal concentrations in water and sediments was analyzed using one-way analysis of variance (ANOVA). Moreover, seasonal differences (dry and wet) were assessed using two-sample t-tests. Spatial distribution maps for heavy metals were interpolated using ArcGIS 10.8 (ESRI, USA) to visualize contamination hotspots. Multivariate statistical techniques, Pearson correlation analysis, principal component analysis (PCA), and factor analysis (FA) were employed to elucidate intermetal relationships and synergistic enrichment mechanisms.
3 Results and discussion
3.1 Spatial and seasonal variation of water heavy metals content
The water heavy metal content is summarized in Supplementary Table S2. The Cr, Zn, Pb, Cd, Cu, Ni, As, and Hg concentrations ranged from 0.90 to 9.08, 4.52 to 49.48, 0.01 to 7.26, 0.00 to 1.33, 0.87 to 61.90, 0.03 to 13.23, 1.16 to 3.04, and 0.01 to 2.00 µg L-1, respectively. Notably, the concentration of Cr, Zn, Pb, and As varied significantly across the sampling stations in the Xiaohai Lagoon (Supplementary Table S1). This study's average concentrations of all the tested metals complied with China’s drinking water standard (GB5749-2006), WHO guidelines, and USEPA aquatic life criteria, indicating adherence to global regulatory thresholds for human and ecological safety. As reflected in the spatial distributions (Figure 2), the lagoon mouth (Y1) experienced higher average levels of Cr (6.38 µg L-1) and Cd (0.45 µgL-1). Notably, Cr concentration at the lagoon mouth exceeded China's class I seawater standards (5 µg L-1 for Cr (VI)); however, its concentration was comparable to the polluted estuaries like the Pearl River, which recorded a Cr concentration of 6.1µg L-1 (Zhang et al., 2023). Cd concentration, on the other hand, surpassed the USEPA chronic criterion (0.25 µg L-1) for marine life but was comparable to Xin et al. (2023) in Haikou Bay, China. Considering the hydrodynamics, the lagoon mouth may experience stronger currents and tides that may resuspend the sediments (Li et al., 2023), releasing pollutants into the water. Further, water mixing at the lagoon mouth can influence the water salinity and pH, which may affect the heavy metal solubility and desorption from the sediments. Notably, Cd readily desorbs from minerals under increasing salinity due to competition with cations like Ca²+ and Mg²+ (Li et al., 2024), while Cr remains soluble in oxygenated, saline waters, explaining its persistence at the dynamic lagoon mouth. Additionally, the lagoon mouth is located near a densely populated area with several industries. Therefore, its proximity to these possible pollutant sources could partly explain this finding.
Figure 2

The spatial distribution of water heavy metal content in Xiaohai lagoon.
The intertidal stations, including Y9, Y10, Y11, and Y13 had high concentrations of As (2.21 µg L-1), Zn (36.81 µg L-1), Pb (2.93 µg L-1), and Cu (30.40 µg L-1), respectively (Figure 2, Supplementary Table S1) indicating obvious anthropogenic impacts in these intertidal zones (Luo et al., 2023). Intertidal areas are often hotspots for heavy metal accumulation due to tidal activities, acting as sinks for pollutants through sediment trapping during tidal cycles. El-Sharkawy et al. (2025) demonstrated that fine-grained, organic-rich sediments in intertidal zones efficiently sequester metals. Similarly, Förstner et al. (1981) noted that fine particles and organic matter enhance metal adsorption, explaining these metals’ high concentration. Tidal flushing may also redistribute pollutants, but redox fluctuations can remobilize metals, complicating their retention (Nichols, 2012). Similarly, the high metal content in the intertidal areas has been observed in other coastal ecosystems globally (Liao et al., 2023). Being the immediate recipients of runoff water, these sites are at risk of receiving agricultural runoff, which may contain high arsenic concentrations from various agricultural chemicals such as pesticides and phosphate fertilizers, containing a substantial amount of Arsenic (Liao et al., 2023; Yongo et al., 2023). Rivers draining into the lagoon could also act as a pathway through which urban and agricultural runoff pollutants find their way into the lagoon.
The sampling sites inside the bay, such as Y1, Y2, and Y3, recorded high levels of Cd (0.45 µg L-1), Ni (8.06 µg L-1), and Hg (0.37 µg L-1), respectively (Figure 2, Supplementary Table S1). This could be attributed to rampant aquaculture inside the lagoon, as Cd is abundant not only in inorganic fertilizers but also in feed additives frequently used in aquaculture (Zi et al., 2021). Moreover, the settlement of pollutants in the lagoon could emanate from various sources, including agricultural, industrial runoff, and the dense human population near the lagoon, leading to aquaculture tailwater discharge, industrial waste discharge, agricultural residue, and domestic sewage disposal. Heavy metals such as Cd mainly originate from phosphate fertilizers, mining, and battery manufacturing. Industrial wastewater discharges and smelting activities on the coasts of China are primary Cd sources (Zhao et al., 2020). Moreover, the elevated metal content in the lagoon could result from the resuspension of heavy metals from the sediment, which is a repository for heavy metals (Geng et al., 2024). Additionally, the intensive aquaculture activities in the lagoon could result in heavy metal contamination since some aquaculture feeds and additives contain heavy metal traces; thus, their overabundance may necessitate water metal content (Hossain et al., 2022). Furthermore, frequently applying metal-containing substances to prevent fouling and medications (such as antibiotics) to feed and treat fish needed to halt disease spread can increase heavy metal pollution (Burridge et al., 2010).
As demonstrated in Figure 3, the seasonal changes of water heavy content revealed distinct dry-wet season trends. The Cr, Zn, Cd, Cu, Ni, and Hg exhibited elevated concentrations during the dry season (p < 0.05), likely driven by reduced hydrological dilution and enhanced evapoconcentration under low-flow conditions. In contrast, arsenic (As) peaked significantly during the wet season (p < 0.01), attributable to fluvial mobilization from agricultural runoff and redox-driven desorption from sediments under anoxic conditions (Bhuyan et al., 2023). This dichotomy underscores the dual influence of seasonal hydrodynamics: dry-season metal retention via evaporative enrichment versus wet-season As flux linked to terrestrial inputs and sediment-water exchange. Such patterns align with prior studies linking As mobility to monsoonal groundwater discharge (Li et al., 2020), highlighting arid-phase ecosystems' vulnerability to metal accumulation. The results emphasize seasonally adaptive water quality management to address phase-specific contamination risks. Conversely, the Pb concentration was insignificant in both seasons. These findings could be attributed to differences in hydrological changes, runoff, redox conditions, salinity, and anthropogenic activities, which affect the transport and transformation of heavy metals during these two seasons (Ma et al., 2023). Another key factor for this observation could be the effect of the rising sea levels. While the increased inflow of freshwater from rainfall and terrestrial runoff is a primary diluting factor, the potential for seawater intrusion into the lagoon during storm surges relatively dilutes the lagoon water, resulting in a significant additional diluting mechanism (Nashath et al., 2024). On the contrary, dry seasons have lower levels and reduced water inflow, which might affect the salinity levels. Salinity changes can cause the resuspension of sediment heavy metals, hence increasing their accumulation in surface water (Li et al., 2023). Dry seasons are also associated with hypoxic conditions, which have been reported to favor the resuspension of heavy metals (Chen et al., 2024). Thus, the high concentrations of Cr, Zn, Cd, Cu, Ni, and Hg could partially result from reduced flushing, which allows for heavy metal accumulation in sediments and porewater. This, in turn, increases evaporative concentration as lower water levels concentrate dissolved residual water, thereby elevating heavy metal concentrations. Additionally, wet seasons coincide with fertilizers and pesticide application, thus elevating Cd and As concentrations. The results agree with Tang et al. (2023), who linked a monsoon-driven runoff to elevated As levels in the Pearl River delta.
Figure 3

Seasonal variation of water heavy metal content. Significance level * (p < 0.05), ** (p < 0.01), and *** (p < 0.001) t-test.
3.2 Spatial and seasonal variation of sediment heavy metal content
The sediment heavy metal content revealed significant variation across sampling sites, as detailed in Supplementary Table S3. The Cr levels ranged from 1.98 to 40.60 mg kg-1, followed by Zn at 8.50 to 90.31 mg kg-1, Pb at 3.12 to 61.62 mg/kg, and Cd at 0.00 to 0.25 mg kg-1. Cu, Ni, As, and Hg displayed respective ranges of 0.50 to 76.38 mg kg-1, 1.31 to 17.23 mg kg-1, 1.27 to 9.41 mg kg-1, and 0.00 to 0.06 mg kg-1. Compared to other studies elsewhere, Xiaohai Lagoon's sediment metal concentrations are generally lower than those documented in heavily impacted lagoons globally. While As levels in Xiaohai are comparable to those in agriculturally influenced systems like Spain's Mar Menor (García-Onsurbe et al., 2024), they were lower than those in mining-affected lagoons such as Thailand's Songkhla (Pradit et al., 2024). Similarly, Cd levels in Xiaohai were lower than in India's Chilika Lagoon (Mishra et al., 2024), which experiences combined aquaculture and industrial pressures. Additionally, this study's heavy metal concentrations were slightly comparable to those of (Döndü et al., 2023) in Güllük Lagoon, Türkiye, but lower compared to those reported in Akyatan Lagoon, Türkiye (Özbay et al., 2025), and Nador Lagoon, Morocco (Maanan et al., 2015). This positions Xiaohai as moderately polluted compared to global studies, with primary contamination sources related to local aquaculture and agriculture rather than point-source industrial or mining activities. While mean concentrations for most metals aligned with China’s primary sediment quality standards (GB 15618-2018), Cd marginally exceeded permissible limits, suggesting localized contamination potentially linked to anthropogenic sources, including industrial discharge and agricultural runoff near the lagoon. However, compared to the international guidelines, all metals fell within China’s Marine Sediment Quality Standards (GB 18668-2002) and below UNEP/FAO (2023) sediment quality guidelines.
Spatial variability was significantly evident at station Y5 (located in the inner bay), showing elevated levels of all metals except Cu (Figure 4). This anomaly may reflect site-specific sediment properties as sediment characteristics are also considerable factors that influence heavy metal concentration distributions. The inner lagoon exhibited fine-grained, organic-rich sediments that may enhance metal retention through cation exchange and complexation mechanisms (Li et al., 2023). Sediment grain size can strongly influence the distribution of heavy metals in the lagoon, as fine-grained sediments tend to accumulate more heavy metal concentrations and different chemical forms than coarse-grained sediments (Zhou et al., 2020). Moreover, the sediment organic characteristics evident during sampling could enhance the retention of most heavy metals, but not Cu, which is more mobile with different binding affinities and may form soluble complexes with dissolved organic carbon (DOC), reducing its adsorption (Zhang et al., 2022). Further, the settlement of these metals inside the lagoon could be explained by the limited flushing, as the inner lagoon zones experience weaker currents, allowing the metals to accumulate. The lower salinity gradients could also explain this observation, as lower salinity inside the lagoon reduces the competition for binding sites, favoring retention of heavy metals (Jia et al., 2021) from various sources, including urban wastewater, industrial, and agricultural runoff. The findings agree with those in the inner Bohai Bay, which recorded elevated As and Cd in sheltered sediments linked to weaker currents and industrial runoff.
Figure 4

The spatial distribution of sediment heavy metal content in Xiaohai lagoon.
Similarly, stations Y4 (inside the lagoon) and Y15 (intertidal) recorded high concentrations of all the studied metals except Hg (Figure 4). High concentrations of most metals in site Y4, located inside the lagoon, could be explained similarly to site Y5, since both had similar sediment characteristics and both are located inside the lagoon. However, the weak currents and limited mixing inside the lagoon could induce low levels of dissolved oxygen (anoxic conditions), promoting sulfide formation, hence immobilizing other metals except Hg, which may form volatile compounds (Chen et al., 2024). In contrast, station Y12 (near Dongshan River) recorded low concentrations of Ni, As, and Hg, while site Y9 (near Xugou River) recorded a low Pb concentration (5.79 mg kg-1 ), partially attributable to the dilution effect. Freshwater inflow reduces salinity, hence limiting ion exchange processes that typically mobilize metals like Ni and As from sediments (Li et al., 2023). Additionally, river-dominated zones often deposit coarser and sandy sediments with lower organic matter and clay contents, hence reducing their capacity to absorb metals. For instance, Liu et al. (2022) observed lower As and Ni in sandy sediments of the Yangtze River mouth, citing poor heavy metal retention. Similarly, low Zn, Cu, Cd, and Hg levels were detected at site Y13, while site Y14 recorded a high Cu concentration (28.50 mg kg-1 ). Generally, this study recorded low levels of Cd and Hg in sediments.
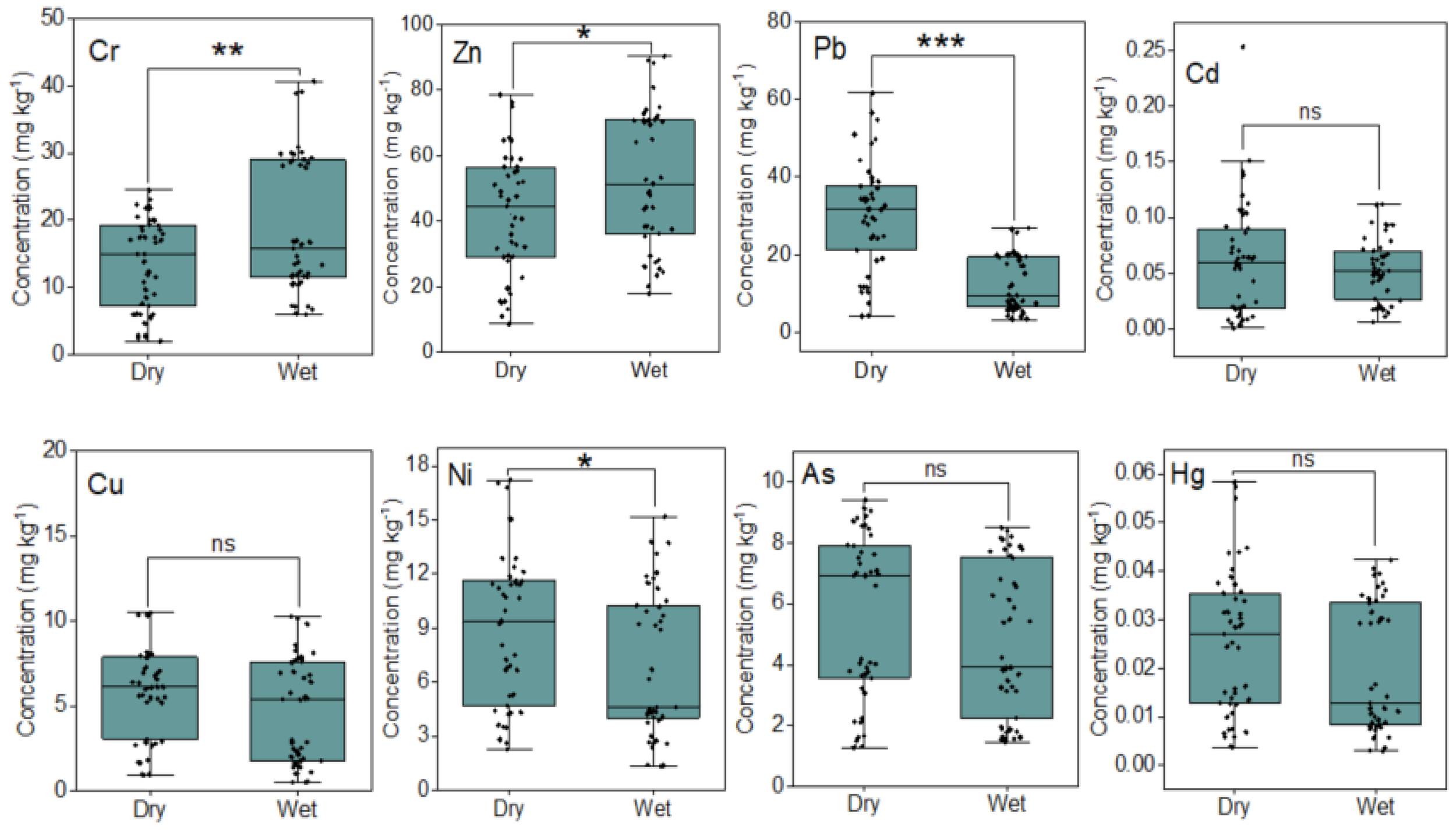
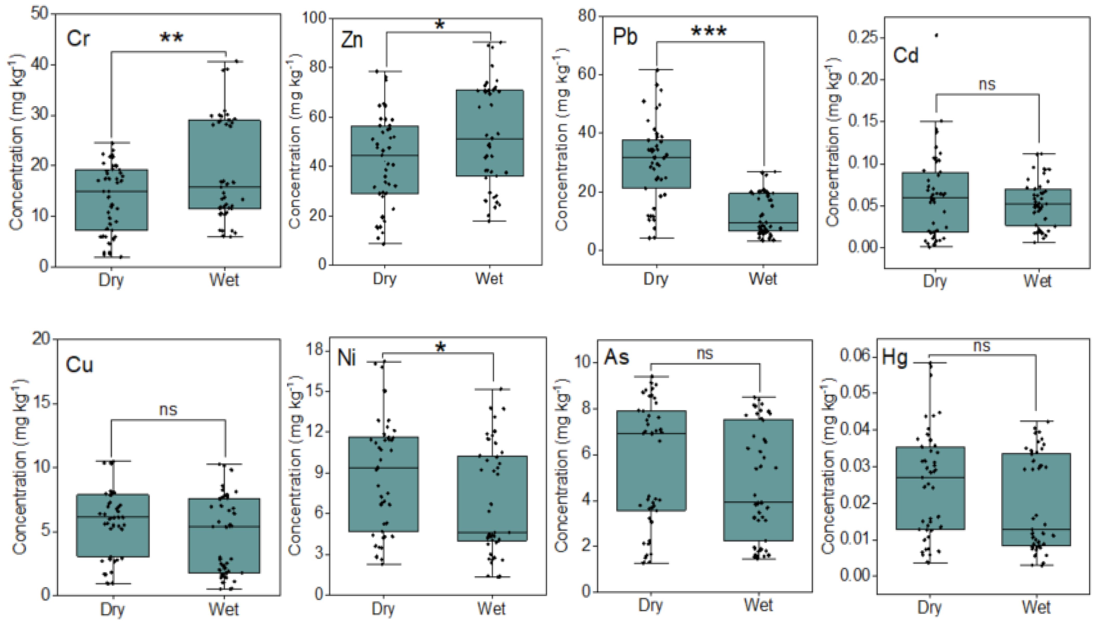
Figure 5 illustrates seasonal fluctuations in sediment heavy metal content, demonstrating distinct patterns between dry and wet periods. Cr and Zn exhibited notably higher mean concentrations during the wet season, a trend potentially driven by their enhanced solubility and hydrological mobility (Nguyen et al., 2020). Increased surface runoff during wet months likely facilitates the transport of these metals from upstream agricultural and industrial zones into Xiaohai lagoon’s sediments. This aligns with prior studies linking seasonal metal influxes to fertilizer leaching and wastewater discharges amplified by precipitation (Zheng et al., 2021). Conversely, metals with lower solubility profiles, such as Pb and Cd, showed less pronounced seasonal variation, suggesting their accumulation reflects chronic anthropogenic inputs rather than episodic hydrological forcing. The observed patterns suggest targeted wet-season monitoring programs for mitigating Cr and Zn mobilization, particularly given their affinity for cation exchange in fine-grained sediments (as observed at Station Y5 and described in Li et al., 2023). Conversely, Pb and Ni exhibited significant concentrations during the dry season, attributable to salinity-driven ion exchange as increased salinity displaces Pb²+ and Ni²+ from sediment binding sites. Similarly, Buschmann et al. (2008) reported high Ni levels during the dry season in the Mekong Delta due to seawater intrusion. Generally, the content of all the metals was elevated during the dry season compared to the wet season, as observed in the water samples, possibly highlighting the dominance of season-specific mechanisms that elevate heavy metal bioavailability despite some metals lacking strong seasonal trends. This could also be explained by key mechanisms such as evaporation, reduced dilution, sediment resuspension, and salinity-driven exchange, as discussed earlier (Li et al., 2023).
Figure 5

Seasonal variation of sediment heavy metal content in Xiaohai lagoon. Significance level * (p < 0.05), ** (p < 0.01), and *** (p < 0.001) t-test.
3.3 Assessment of heavy metal contamination
3.3.1 Geoaccumulation index (Igeo)
Positive Igeo values indicate heavy metal pollution in an environment, while negative values imply that environmental components are uncontaminated or safe from pollution (Karim et al., 2024). The geoaccumulation index (Igeo) values for Xiaohai lagoon sediments, detailed in Figure 6A, highlight arsenic (As) as the predominant contaminant. While most metals, including Cr (−2.75 to −0.57; average −1.59), Pb (−2.74 to −0.08; average −1.17), and Cu (−3.18 to 1.01; average −1.06) exhibited Igeo averages below 0 (indicating minimal to no pollution), As stood out with values ranging from −0.41 to 2.04 (average 1.12). This positions As within class 2 (moderately polluted) at 53.33% of sampling sites and class 3 (moderate to highly polluted) at 6.67% of sites, reflecting localized enrichment likely attributable to anthropogenic sources such as pesticide use or mining residues. In contrast, metals like Zn (−1.72 to −0.06; average −0.66), Cd (−2.08 to 0.71; average −0.53), Ni (−2.00 to 0.27; average −0.72), and Hg (−2.37 to 0.60; average −0.79) showed sporadic low-level contamination, with Cd occasionally nearing the threshold for class 1 (Igeo > 0). The overall contamination gradient (As > Cd > Zn > Ni > Hg > Cu > Pb > Cr) underscores As’s disproportionate environmental risk, necessitating targeted remediation in high-risk zones (Figure 6b). However, the Igeo values of As were lower compared to those reported in the coastal areas of Xiaoqing estuary, which indicated extreme As pollution (Zhang et al., 2025). In addition, Cd and Hg showed class 1 (unpolluted to moderately) contaminated sites, constituting 33.3% and 20.00%, respectively (Figure 6b). However, the As and Igeo values of Hg were lower compared to those reported in the coastal areas of Xiaoqing estuary, which reported extreme As pollution (Zhang et al., 2025). Similarly, Zn, Ni, and Cu demonstrated unpolluted to moderately contaminated sites, constituting 13.33%, 13.33%, and 6.67%, respectively (Figure 6b). However, all the sampling sites showed unpolluted levels (class 0) for Cr and Pb. Generally, As, Cd, and Hg were the dominant sediment pollutants in Xiaohai lagoon.
Figure 6

Box plots of (a)Igeo values and (b) proportions of Igeo classifications of the metals.
3.3.2 Contamination factor and pollution load index
The CF revealed distinct contamination patterns and ecological risks, emphasizing the critical interplay between metal concentrations and their inherent toxicity (Figure 7a). The calculated CF values were 0.07 to 1.48 for Cr (average 0.60), 0.19 to 2.03 for Zn (average 1.07), 0.13 to 2.53 for Pb (average 0.87), 0.02 to 6.34 for Cd (average 1.44), 0.08 to 12.52 for Cu (average 1.08), 0.18 to 2.38 for Ni (average 1.09), 0.95 to 7.02 for As (average 3.84), and 0.15 to 2.92 for Hg (average 1.12). As shown in Figure 7a, the average CF values decreased in the same order as Igeo, as follows: As > Cd > Hg > Ni > Cu > Zn > Pb >Cr. Notably, the CF values of As (average 3.84), Cd (average 1.44), and Hg (average 1.12) reflected a moderate pollution level (1 ≤ CF < 3) (Hakanson, 1980). Meanwhile, the average CF values of the remaining metals demonstrated low pollution. Notably, As (average CF>3), indicated considerable contamination despite its moderate concentration; it could be a major threat to Xiaohai Lagoon due to its high toxicity. Interestingly, the CF findings are consistent with the Igeo results discussed earlier. In general, the present study PLI values range from 0.24 to 2.24, averaging 1.21, suggesting moderate heavy metal pollution (PLI >1) across the Xiaohai lagoon.
Figure 7

(a) Contamination factor (CF) and (b) Pollution load index (PLI) of the metals.
The CF analysis highlighted divergent ecological risk profiles across Xiaohai lagoon, with arsenic (As) emerging as the most critical threat despite its moderate average CF value (3.84) (Figure 7a). Following the Håkanson classification (Hakanson, 1980), As, cadmium (Cd; average CF 1.44), and mercury (Hg; average CF 1.12) fell within the moderate pollution tier (1 ≤ CF < 3), while chromium (Cr; average 0.60), zinc (Zn; average 1.07), lead (Pb; average 0.87), copper (Cu; average 1.08), and nickel (Ni; average 1.09) exhibited low contamination (CF < 1). Notably, As’s ecological impact is amplified by its acute toxicity, as even trace amounts can disrupt aquatic ecosystems through bioaccumulation in benthic organisms, a risk underestimated by CF thresholds alone. This aligns with its earlier Igeo classification (Figure 6), reinforcing arsenic’s dual threat from concentration and toxicological potency. The pollution load index (PLI) further corroborated these findings, with site-specific values ranging from 0.24 to 2.24 (mean 1.21). The PLI > 1 confirms moderate heavy metal pollution, driven primarily by As hotspots. For instance, maximum CF values for As (7.02) and Cd (6.34) at selected stations suggest localized inputs, potentially linked to legacy pesticides or untreated industrial effluents in upstream feeder rivers. These outliers suggest spatially targeted interventions, as uniform measures may not address acute contamination zones. Spatially, a slightly high pollution load was detected in sampling site Y5, followed by Y6 and Y4 (Figure 7b); thus, they could be significant pollution hotspots, possibly from anthropogenic sources. Meanwhile, low pollution load was observed in several stations, including Y13, Y12, and Y9. Generally, this study's PLI is comparable to moderately polluted estuaries globally, with As, Cd, and Hg driving risks more than other metals (Zhang et al., 2025).
3.4 Potential ecological risks
The RI comprehensively evaluated the potential ecological risks of heavy metals in the Xiaohai lagoon. The results are illustrated in Figure 8. The RI values varied considerably, ranging from 46.19 at Y13 to 249.95 at Y6. Thus, according to the RI classification, 7 sampling stations (Y1, Y3, Y4, Y5, Y6, Y7, and Y10) experienced moderate risks (RI < 300), In contrast, the remaining stations exhibited low risks (RI < 150) Figure 8a. Compared to other metals, As, Cd, and Hg exhibited the highest risk index at all sampling stations, despite their low concentrations they amplify their ecological impact. These findings conform to those of Rajasekar et al. (2024) in the Chuhe River, a study found that Cd, As, and Hg pose significant ecological risks, particularly Cd. Similarly, Zhang et al. (2018) who reported that Cd posed significant ecological risks in the Zijiang River. In addition, Chai et al. (2017) found that cadmium (Cd) caused a severe ecological risk in the Xiangjiang River. At the same time, Zn posed a negligible risk, despite having the highest concentration, due to its lower toxic response factor. Analysis of ecological risk factors ranked the metal risks in the order of Hg > Cd > As > Ni > Cu > Pb > Cr > Zn (Figure 8b).
Figure 8

(a) Potential ecological risk index (RI) and (b) risk factors for sediment heavy metals in Xiaohai lagoon.
3.5 Heavy metal potential sources
Strong intermetal correlations (Cr, Zn, Pb, Cd, Ni, As, Hg; p < 0.01) in Xiaohai Lagoon sediments (Figure 9) imply shared anthropogenic origins, likely attributable to the region’s mixed land-use practices. Shipyard operations along the lagoon’s shores probably contribute to Cr and Zn via antifouling paints and welding residues. At the same time, Pb and Cd correlations align with agricultural runoff from phosphorus-rich fertilizers and pesticides used in nearby agricultural fields. Moreover, they could result from the dense aquaculture activities in the lagoon, as the aquaculture feed contains significant amounts of Cd. It is worth mentioning that China’s mariculture largely relies on high stocking densities, which require high input practices. Mariculture feed conversion ratios typically range around 59%; therefore, approximately 40% of the feeds end up settling in the rearing system (Zi et al., 2021). Domestic sewage discharges, particularly in densely populated settlements, may explain Hg and As linkages, as untreated wastewater often carries pharmaceutical and cosmetic byproducts (Araújo et al., 2022). Arsenic accumulation has been reported as a direct consequence of prolonged, intensive agricultural practices, as established fertilizers, herbicides, and pesticides are known to contain significant concentrations of the element (Fan, 2018; Li et al., 2020). Compounds such as calcium and sodium arsenate, commonly employed in these agrochemicals, contribute to this contamination (Huang et al., 2022). Subsequently, hydrological processes, including surface runoff and subsurface flow, transport arsenic from polluted soils to adjacent aquatic ecosystems. These findings mirror patterns observed in similarly industrialized areas, where overlapping metal signatures arise from multifactorial anthropogenic practices (Araújo et al., 2022; Shree et al., 2019). Nevertheless, Xiaohai’s unique Cd-As correlation diverges from global baselines, suggesting localized practices such as unregulated battery recycling or pesticide use may exacerbate contamination synergies (Kahal et al., 2020; Lu et al., 2021; Luo et al., 2022; Lv et al., 2021). For instance, activities such as electroplating release significant amounts of Cr, Ni, and Zn, battery manufacturing releases Cd and Pb, and coal combustion releases Hg and As. Generally, industrial activities release multiple metals simultaneously, thus the positive correlation (Luo et al., 2022). also linked Cr, Ni, and Cd correlations in China’s Bohai Bay to nearby electroplating and smelting industries.
Figure 9

Pearson correlation analysis of sediment heavy metals.
The complex origins of Xiaohai Lagoon’s heavy metals reflect synergistic inputs from both human activities and natural processes. Urban runoff and untreated domestic sewage, common in densely populated watersheds, are primary vectors for Zn, Pb, and Cu, as these metals leach from corroding pipes, roofing materials, and vehicular residues (Kodat and Tepe, 2023). Conversely, Cd and As correlate strongly with agricultural practices as discussed earlier, likely originating from phosphate fertilizers and legacy pesticides that accumulate in fine-grained sediments during monsoon-driven runoff (Bhuyan et al., 2023; Fuentes-Gandara et al., 2021). However, emerging research highlights the interplay of natural and anthropogenic sources for metals like Cu, Cr, Pb, and Zn. For instance, Cu and Zn in Xiaohai may derive from both shipyard discharges (e.g., antifouling paints) and natural weathering of bedrock minerals in the lagoon (Dinis et al., 2021; Jahromi et al., 2021). The significant Pb-Cu correlation (r = 0.7, p < 0.01) further underscores multifaceted contamination pathways. While Pb is related to fossil fuel combustion and battery waste, its linkage to Cu, a metal abundant in electrical wiring and marine coatings, suggests overlapping urban-industrial sources, such as dismantling fishing vessels or informal e-waste recycling along the shoreline. This duality complicates remediation efforts, as disentangling natural geogenic contributions (e.g., Cu from regional sulfide deposits) from anthropogenic inputs requires isotopic fingerprinting or spatial sediment profiling. Notably, the weak positive correlation was possibly due to complex interactions among multiple variables. However, the shared source indicates that they might have originated from overlapping anthropogenic activities or geochemical processes.
PCA/FA further examined the relationship between heavy metals. The PCA validity was established by the KMO (0.827) and Bartlett's test (p < 0.001; χ2 = 671.983). Table 1 summarizes the results derived from the rotated PCA. The two components (eigenvalue >1.0) generated accounted for 77.69% of the observed variation. Component 1, which accounted for 62.04 % of the overall variation, contained Cr, Zn, Pb, Cd, Ni, As, and Hg with positive loadings. This suggests a common source or process affecting all these metals, strongly implicating mariculture as a unified anthropogenic source. The intensive mariculture in the lagoon could significantly contribute to heavy metal pollution through wastes and feed additives, as it is a prominent human activity in Xiaohai Lagoon. The aquaculture/mariculture wastes, excess feeds, and feed additives might elevate the heavy metal contamination (Li et al., 2020; Luo et al., 2022, Zi et al.,2021). Moreover, Hao et al. (2024) found that fish feeds contained a significant amount of Cu, Pb, Zn, Cd, and Cr; thus, these could elevate heavy metals in aquatic environments. Furthermore, anti-fouling paints and untreated sewage from fishing vessels may amplify these inputs, mirroring contamination patterns observed in Hainan’s lagoons (Zhu et al., 2025). Similar conclusions have been reported in a typical lagoon in Hainan, China (Hao et al., 2024). Meanwhile, Component 2, which accounted for 15.65% of the overall variation, contained strong positive loadings for Cu, indicating a separate source, possibly linking urban-industrial sources originating from transportation, as evident in the nearby local fishing ports (Zhu et al., 2025).
Table 1
| Heavy metal | Component 1 | Component 2 | Communalities |
|---|---|---|---|
| Cr | 0.890 | -0.126 | 0.808 |
| Zn | 0.859 | 0.065 | 0.741 |
| Pb | 0.642 | 0.536 | 0.700 |
| Cd | 0.729 | 0.081 | 0.538 |
| Cu | -0.015 | 0.924 | 0.854 |
| Ni | 0.913 | 0.182 | 0.867 |
| As | 0.924 | 0.132 | 0.870 |
| Hg | 0.896 | 0.183 | 0.837 |
| Eigenvalues | 4.963 | 1.252 | |
| %Variance | 62.044 | 15.651 | |
| Cumulative variance | 62.044 | 77.694 |
Rotated component matrix of sediment heavy metals.
Extraction Method: Principal Component Analysis. Rotation Method: Varimax with Kaiser Normalization. Rotation converged in 3 iterations. PCA loadings > 6 are in bold.
3.6 Conservation implications and recommendations
This study suggests that effective conservation strategies for Xiaohai Lagoon necessitate a multifaceted approach to mitigate heavy metal contamination and preserve the lagoon's ecological integrity. This includes regulating mariculture and agricultural practices, which are significant sources of As, Zn, Pb, Cd, Ni, and Hg. Adopting sustainable agricultural methods, such as reduced agrochemical use, precision farming, and riparian buffers, is vital to minimizing Cr, Zn, and organic matter runoff during the wet season. Additionally, integrated urban wastewater management, incorporating green infrastructure such as constructed wetlands, is crucial for treating runoff before it reaches the lagoon. Further, adopting seasonal dynamics that require adaptive management could enhance contaminant monitoring and source control during the wet season to address surges in Cr and Zn from runoff. Given significant ecological risks, especially from As (CF >3) and moderate Cd and Hg contamination, detailed ecological risk assessments with sediment quality guidelines are necessary to identify priority areas for intervention. Research is also needed on the long-term stability of metals in the lagoon's organic-rich substrates under environmental stressors like hypoxia. Long-term success depends on robust monitoring and adaptive governance. A sustained monitoring program for water and sediments to track key contaminants (As, Cd, Hg, Cr, Zn) and employing indices (Igeo, PLI, CF) for trend evaluation is crucial. An adaptive management framework ensures conservation strategies are evaluated and refined based on monitoring data and updated risk assessments. This integrated approach, balancing source control, spatial interventions, seasonal adaptations, risk management, and adaptive monitoring, is key to safeguarding the ecological health of Xiaohai Lagoon.
4 Conclusions
This study delineates the spatial and seasonal heavy metal contamination in water and sediments in Xiaohai Lagoon, China. Spatial concentration differences were pronounced, with elevated Cr and Cd concentrations at the lagoon mouth (Y1), likely driven by industrial effluents and port activities, while intertidal zones (Y9, Y10, Y11, Y13) exhibited enrichment of As, Zn, Pb, and Cu, indicative of anthropogenic accumulation from mariculture and urban runoff. Although mean metal concentrations in water adhered to China’s GB5749-2006, WHO, and USEPA guidelines, sediment analysis revealed localized ecological risks. Sediment hotspots at Y5 (excluding Cu) and Y4/Y15 (excluding Hg) underscored the role of organic-rich substrates and anthropogenic inputs (e.g., aquaculture waste, agricultural runoff) in metal retention. Seasonal hydrodynamics significantly influenced metal mobility, with wet-season surges in Cr and Zn linked to fluvial transport of agrochemicals and mariculture-derived organic matter. Sediment quality indices further clarified contamination severity: Igeo identified As as the predominant contaminant (class 2-3), while PLI >1 confirmed the lagoon’s moderate pollution. The CF analysis highlighted considerable As enrichment (CF >3) due to its high toxicity, alongside moderate Cd and Hg contamination (1 ≤ CF < 3), emphasizing the need for toxicity-weighted risk assessments. Multivariate analyses attributed Cr, Zn, Pb, Cd, Ni, As, and Hg to synergistic anthropogenic sources, notably aquaculture (feed additives, antifouling paints) and agricultural runoff. At the same time, Cu’s isolation implicated urban-port activities. These findings underscore Xiaohai’s vulnerability to multifactorial contamination, necessitating targeted mitigation strategies.
Statements
Data availability statement
The raw data supporting the conclusions of this article will be made available by the authors, without undue reservation.
Author contributions
EM: Investigation, Methodology, Writing – original draft, Writing – review & editing, Formal analysis. QL: Investigation, Methodology, Writing – original draft, Writing – review & editing. EY: Investigation, Writing – original draft, Writing – review & editing, Data curation, Formal analysis. ZG: Formal analysis, Investigation, Writing – original draft, Writing – review & editing, Conceptualization. HY: Formal analysis, Writing – original draft, Writing – review & editing, Methodology. YZ: Formal analysis, Methodology, Writing – original draft, Writing – review & editing. ZL: Investigation, Resources, Writing – original draft, Writing – review & editing, Funding acquisition, Methodology. CY: Writing – original draft, Writing – review & editing, Conceptualization, Investigation, Resources.
Funding
The author(s) declare financial support was received for the research and/or publication of this article. The study was supported by Hainan Provincial Natural Science Foundation of China (325RC653), the Hainan University Technical Service Project Fund (RH2400009234), and the Hainan University Research Start-up Fund (KYQD(ZR)23175).
Conflict of interest
Authors YZ was employed by Zhonglian Zhike high-tech Co., Ltd.
The remaining authors declare that the research was conducted in the absence of any commercial or financial relationships that could be construed as a potential conflict of interest.
Generative AI statement
The author(s) declare that no Generative AI was used in the creation of this manuscript.
Any alternative text (alt text) provided alongside figures in this article has been generated by Frontiers with the support of artificial intelligence and reasonable efforts have been made to ensure accuracy, including review by the authors wherever possible. If you identify any issues, please contact us.
Publisher’s note
All claims expressed in this article are solely those of the authors and do not necessarily represent those of their affiliated organizations, or those of the publisher, the editors and the reviewers. Any product that may be evaluated in this article, or claim that may be made by its manufacturer, is not guaranteed or endorsed by the publisher.
Supplementary material
The Supplementary Material for this article can be found online at: https://www.frontiersin.org/articles/10.3389/fmars.2025.1675540/full#supplementary-material
References
1
Ali M. M. Kubra K. Alam E. Mondol A. H. Akhtar S. Islam M. S. et al . (2024). Bioaccumulation and sources of metal (loid) s in fish species from a subtropical river in Bangladesh: a public health concern. Environ. Sci. pollut. Res.31, 2343–2359.
2
Araújo P. R. M. Biondi C. M. do Nascimento C. W. A. da Silva F. B. V. Ferreira T. O. de Alcântara S. F. (2022). Geospatial modeling and ecological and human health risk assessments of heavy metals in contaminated mangrove soils. Mar. pollut. Bull.177, 113489. doi: 10.1016/j.marpolbul.2022.113489
3
Balali-Mood M. Eizadi-Mood N. Moghaddam H. H. Etemad L. Moshiri M. Vahabzadeh M. et al . (2025). Recent advances in the clinical management of intoxication by five heavy metals: Mercury, Lead, Chromium, Cadmium and Arsenic. Heliyon.
4
Bhuyan M. S. Haider S. M. B. Meraj G. Bakar M. A. Islam M. T. Kunda M. et al . (2023). Assessment of heavy metal contamination in beach sediments of Eastern St. Martin’s Island, Bangladesh: Implications for environmental and human health risks. Water15, 2494.
5
Burridge L. Weis J. S. Cabello F. Pizarro J. Bostick K. (2010). Chemical use in salmon aquaculture: a review of current practices and possible environmental effects. Aquaculture306, 7–23. doi: 10.1016/j.aquaculture.2010.05.020
6
Buschmann J. Berg M. Stengel C. Winkel L. Sampson M. L. Trang P. T. K. et al . (2008). Contamination of drinking water resources in the Mekong delta floodplains: Arsenic and other trace metals pose serious health risks to population. Environ. Int.34, 756–764. doi: 10.1016/j.envint.2007.12.025
7
Chai L. Li H. Yang Z. Min X. Liao Q. Liu Y. et al . (2017). Heavy metals and metalloids in the surface sediments of the Xiangjiang River, Hunan, China: distribution, contamination, and ecological risk assessment. Environ. Sci. pollut. Res.24, 874–885. doi: 10.1007/s11356-016-7872-x
8
Chen J. Liu M. Wang F. Ding Y. Fan D. Wang H. (2024). Accumulation and migration of particulate trace metals by artificial flood event of the Yellow River: From Xiaolangdi reservoir to estuary. Sci. Total Environ.912, 168614. doi: 10.1016/j.scitotenv.2023.168614
9
Dinis F. Liu H. Liu Q. Wang X. Xu M. (2021). Ecological risk assessment of cadmium in karst lake sediments based on Daphnia pulex ecotoxicology. Minerals11, 650. doi: 10.3390/min11060650
10
Döndü M. Özdemir N. Demirak A. Keskin F. Zeynalova N. (2023). Bioaccumulation and human health risk assessment of some heavy metals in sediments, Sparus aurata and Salicornia europaea in Güllük Lagoon, the south of Aegean Sea. Environ. Sci. pollut. Res.30, 18227–18243.
11
Dudgeon D. Arthington A. H. Gessner M. O. Kawabata Z.-I. Knowler D. J. Lévêque C. et al . (2006). Freshwater biodiversity: importance, threats, status and conservation challenges. Biol. Rev.81, 163–182. doi: 10.1017/S1464793105006950
12
El-Sharkawy M. Alotaibi M. O. Li J. Du D. Mahmoud E. (2025). Heavy metal pollution in coastal environments: ecological implications and management strategies: A review. Sustainability17, 701. doi: 10.3390/su17020701
13
Fan C. X. (2018). Specification for lake sediment survey. J. Lake Sci.1, 129.
14
Förstner U. Wittmann G. T. W. Förstner U. (1981). Metal pollution assessment from sediment analysis. Metal pollut. Aquat. Environ., 110–196. doi: 10.1007/978-3-642-69385-4_4
15
Fu Y. R. (2014). Studies on soil geochemistry and high-quality agriculture in Hainan Island. China Univ. Geosciences Wuhan, 1–129.
16
Fu J. Wang H. Billah S. M. R. Yu H. Zhang X. (2014). Heavy metals in seawater, sediments, and biota from the coastal area of Yancheng City, China. Environ. Toxicol. Chem.33, 1697–1704. doi: 10.1002/etc.2575
17
Fuentes-Gandara F. Pinedo-Hernández J. Gutiérrez E. Marrugo-Negrete J. Díez S. (2021). Heavy metal pollution and toxicity assessment in Mallorquin swamp: A natural protected heritage in the Caribbean Sea, Colombia. Mar. pollut. Bull.167, 112271. doi: 10.1016/j.marpolbul.2021.112271
18
García-Onsurbe M. C. Caravaca M. Soto-Meca A. Vicente-Martínez Y. (2024). Quantification of major inorganic contaminants in a Mediterranean coastal lagoon with a large dystrophic crisis. Bull. Environ. Contamination Toxicol.112, 55. doi: 10.1007/s00128-024-03886-x
19
Geng N. Xia Y. Li D. Bai F. Xu C. (2024). Migration and transformation of heavy metal and its fate in intertidal sediments: a review. Processes12, 311. doi: 10.3390/pr12020311
20
Gong W. Shen J. Jia J. (2008). The impact of human activities on the flushing properties of a semi-enclosed lagoon: Xiaohai, Hainan, China. Mar. Environ. Res.65, 62–76. doi: 10.1016/j.marenvres.2007.08.001
21
Hakanson L. (1980). An ecological risk index for aquatic pollution control. A sedimentological approach. Water Res.14, 975–1001. doi: 10.1016/0043-1354(80)90143-8
22
Hao Z. Qian J. Zheng F. Lin B. Xu M. Feng W. et al . (2024). Human-influenced changes in pollution status and potential risk of sediment heavy metals in Xincun Bay, a typical lagoon of Hainan, China. Mar. pollut. Bull.199, 115949. doi: 10.1016/j.marpolbul.2023.115949
23
Hossain M. B. Miazie M. R. Nur A.-A. U. Paul S. K. Bakar M. A. Paray B. A. et al . (2022). Assessment of metal contamination in water of freshwater aquaculture farms from a South asian tropical coastal area. Toxics10, 536. doi: 10.3390/toxics10090536
24
Hou Y. Ding W. Xie T. Chen W. (2024). Prediction of soil heavy metal contents in urban residential areas and the strength of deep learning: A case study of Beijing. Sci. Total Environ.950, 175133.
25
Jahromi F. A. Keshavarzi B. Moore F. Abbasi S. Busquets R. Hooda P. S. et al . (2021). Source and risk assessment of heavy metals and microplastics in bivalves and coastal sediments of the Northern Persian Gulf, Hormogzan Province. Environ. Res.196, 110963. doi: 10.1016/j.envres.2021.110963
26
Jia Z. Li S. Liu Q. Jiang F. Hu J. (2021). Distribution and partitioning of heavy metals in water and sediments of a typical estuary (Modaomen, South China): the effect of water density stratification associated with salinity. Environ. pollut.287, 117277. doi: 10.1016/j.envpol.2021.117277
27
Kahal A. El-Sorogy A. S. Qaysi S. Almadani S. Kassem O. M. Al-Dossari A. (2020). Contamination and ecological risk assessment of the Red Sea coastal sediments, southwest Saudi Arabia. Mar. pollut. Bull.154, 111125. doi: 10.1016/j.marpolbul.2020.111125
28
Karim A. Nath R. K. Roy A. K. Rabi S. (2024). Impact and environmental risk assessment of hazardous metal pollution in the sediment at shipbreaking yard chattogram. J. Water Chem. Technol.46, 216–225. doi: 10.3103/S1063455X24020085
29
Ke X. Gui S. Huang H. Zhang H. Wang C. Guo W. (2017). Ecological risk assessment and source identification for heavy metals in surface sediment from the Liaohe River protected area, China. Chemosphere175, 473–481. doi: 10.1016/j.chemosphere.2017.02.029
30
Kodat M. Tepe Y. (2023). A holistic approach to the assessment of heavy metal levels and associated risks in the coastal sediment of Giresun, southeast Black Sea. Heliyon9. doi: 10.1016/j.heliyon.2023.e16424
31
Li F. Cai Y. Zhang J. (2018). Spatial characteristics, health risk assessment and sustainable management of heavy metals and metalloids in soils from central China. Sustainability10, 91. doi: 10.3390/su10010091
32
Li Y. Gao B. Xu D. Peng W. Liu X. Qu X. et al . (2020). Hydrodynamic impact on trace metals in sediments in the cascade reservoirs, North China. Sci. Total Environ.716, 136914. doi: 10.1016/j.scitotenv.2020.136914
33
Li P. Liu J. Wang T. Wang J. (2023). Estimates of the age, growth, and mortality of Triplophysa scleroptera (Herzenstein 1888) in the upper reaches of the Yellow River, ChinaFishes8, 457. doi: 10.3390/fishes8090457
34
Li Y. Xue J. Chen J. Huo J. Chen M. (2024). Natural and anthropogenic impacts on mercury accumulation in Xiaohai Lagoon, South China over the last 1200 years. Sci. Total Environ.916, 170309. doi: 10.1016/j.scitotenv.2024.170309
35
Liao J. Feng H. Yan S. Cui X. Tang S. Liu X. (2023). Comprehensive distribution characteristics and risks of heavy metals in typical intertidal zones and their relationship with urban economic indicators. Ecol. Indic.148, 110112. doi: 10.1016/j.ecolind.2023.110112
36
Liu X. Ge C. (2012). Spatial and temporal variations of sedimented organic matter in Xiaohai Lagoon, Hainan Island. Acta Oceanologica Sin.31, 74–86. doi: 10.1007/s13131-012-0208-x
37
Liu P. Wu Q. Wang X. Hu W. Liu X. Tian K. et al . (2022). Spatiotemporal variation and sources of soil heavy metals along the lower reaches of Yangtze River, China. Chemosphere291, 132768. doi: 10.1016/j.chemosphere.2021.132768
38
Lu J. Lin Y. Wu J. Zhang C. (2021). Continental-scale spatial distribution, sources, and health risks of heavy metals in seafood: challenge for the water-food-energy nexus sustainability in coastal regions? Environ. Sci. pollut. Res., 1–14. doi: 10.1007/s11356-020-11904-8
39
Luo Z. Yang C. Wang L. Liu Y. Shan B. Liu M. et al . (2023). Relationships between fish community structure and environmental factors in the nearshore waters of Hainan Island, South China. Diversity15, 901. doi: 10.3390/d15080901
40
Luo M. Zhang Y. Li H. Hu W. Xiao K. Yu S. et al . (2022). Pollution assessment and sources of dissolved heavy metals in coastal water of a highly urbanized coastal area: The role of groundwater discharge. Sci. Total Environ.807, 151070. doi: 10.1016/j.scitotenv.2021.151070
41
Lv J. Hu R. Wang N. Zhu L. Zhang X. Yuan X. et al . (2021). Distribution and movement of heavy metals in sediments around the coastal areas under the influence of multiple factors: A case study from the junction of the Bohai Sea and the Yellow Sea. Chemosphere278, 130352. doi: 10.1016/j.chemosphere.2021.130352
42
Ma T.-F. Wu J. Yu Y.-C. Chen T.-T. Yao Y. Liao W.-L. et al . (2023). An assessment of the heavy metal contamination, risk, and source identification in the sediments from the Liangtan River, China. Sustainability15, 16228. doi: 10.3390/su152316228
43
Maanan M. Saddik M. Maanan M. Chaibi M. Assobhei O. Zourarah B. (2015). Environmental and ecological risk assessment of heavy metals in sediments of Nador lagoon, Morocco. Ecol. Indic.48, 616–626. doi: 10.1016/j.ecolind.2014.09.034
44
Maurya P. K. Malik D. S. Yadav K. K. Kumar A. Kumar S. Kamyab H. (2019). Bioaccumulation and potential sources of heavy metal contamination in fish species in River Ganga basin: Possible human health risks evaluation. Toxicol. Rep.6, 472–481.
45
Mishra A. K. Mishra A. Mohakud S. K. Acharya P. Muduli P. R. Farooq S. H. (2024). COVID-19 induced lockdown reduced metal concentration in the surface water and bottom sediment of Asia’s largest lagoon. Mar. pollut. Bull.209, 117127. doi: 10.1016/j.marpolbul.2024.117127
46
Muller G. (1969). Index of geoaccumulation in sediments of the Rhine River. Geojournal2, 108–118.
47
Nashath M. Asmath A. Harris J. Nijamir K. Majeed U. (2024). Impacts of anthropogenic pressures in the surface water quality of major lagoons in Sri Lanka. YSF Thematic Publ.212.
48
Newton A. Brito A. C. Icely J. D. Derolez V. Clara I. Angus S. et al . (2018). Assessing, quantifying and valuing the ecosystem services of coastal lagoons. In J. Nat. Conserv.44, 50–65. doi: 10.1016/j.jnc.2018.02.009
49
Nguyen T. H. Hoang H. N. T. Bien N. Q. Tuyen L. H. Kim K.-W. (2020). Contamination of heavy metals in paddy soil in the vicinity of Nui Phao multi-metal mine, North Vietnam. Environ. Geochemistry Health42, 4141–4158. doi: 10.1007/s10653-020-00611-5
50
Nichols C. P. (2012). Temporal and spatial variability of metal distributions in Staten Island marsh-creek systems: Does connectivity to the Arthur Kill impact anthropogenic enrichment, sediment quality and toxicity potential in NY/NJ he marsh habitats? (New York: City University of New York).
51
Ouyang W. Wang Y. Lin C. He M. Hao F. Liu H. et al . (2018). Heavy metal loss from agricultural watershed to aquatic system: A scientometrics review. Sci. Total Environ.637, 208–220.
52
Özbay Ö. Akçay İ. Alp M. T. Börekçi N. S. (2025). Distribution of heavy metals in surface sediments of a Coastal Lagoon (Akyatan Lagoon, Northeastern Mediterranean Sea): Ecological and potential health risk assessment. Regional Stud. Mar. Sci.82, 104058. doi: 10.1016/j.rsma.2025.104058
53
Panda B. P. Parida S. P. Pradhan A. Mohanta Y. K. Parthipan P. Narayan M. et al . (2025). Identifying ecological risk zones using spatial prioritization of heavy metal pollution and bioaccumulation in birds. Environ. Sci. pollut. Res., 1–22.
54
Pradit S. Noppradit P. Sornplang K. Jitkaew P. Kobketthawin T. Nitirutsuwan T. et al . (2024). Microplastics and heavy metals in the sediment of Songkhla Lagoon: distribution and risk assessment. Front. Mar. Sci.10, 1292361. doi: 10.3389/fmars.2023.1292361
55
Rajasekar A. Murava R. T. Norgbey E. Zhu X. (2024). Spatial distribution, risk index, and correlation of heavy metals in the Chuhe River (Yangtze tributary): Preliminary research analysis of surface water and sediment contamination. Appl. Sci.14, 904. doi: 10.3390/app14020904
56
Saini S. Dhania G. (2020). “ Cadmium as an environmental pollutant: ecotoxicological effects, health hazards, and bioremediation approaches for its detoxification from contaminated sites,” in Bioremediation of industrial waste for environmental safety: volume II: biological agents and methods for industrial waste management, (Singapore: Springer), 357–387.
57
Shree B. V. Ramteke K. Nishikant G. (2019). Examining the heavy metal contents of an estuarine ecosystem: case study from Maharashtra, India. J. Coast. Conserv.23, 977–984. doi: 10.1007/s11852-019-00702-1
58
Srivastava V. Sarkar A. Singh S. Singh P. De Araujo A. S. F. Singh R. P. (2017). Agroecological responses of heavy metal pollution with special emphasis on soil health and plant performances. Front. Environ. Sci.5, 64. doi: 10.3389/fenvs.2017.00064
59
Sun C. Zhang Z. Cao H. Xu M. Xu L. (2019). Concentrations, speciation, and ecological risk of heavy metals in the sediment of the Songhua River in an urban area with petrochemical industries. Chemosphere219, 538–545. doi: 10.1016/j.chemosphere.2018.12.040
60
Tang Z. Liu X. Niu X. Yin H. Liu M. Zhang D. et al . (2023). Ecological risk assessment of aquatic organisms induced by heavy metals in the estuarine waters of the Pearl River. Sci. Rep.13, 9145. doi: 10.1038/s41598-023-35798-x
61
Thanigaivel S. Vickram S. Dey N. Jeyanthi P. Subbaiya R. Kim W. et al . (2023). Ecological disturbances and abundance of anthropogenic pollutants in the aquatic ecosystem: Critical review of impact assessment on the aquatic animals. Chemosphere313, 137475.
62
Varol M. Kaya G. K. Alp A. (2017). Heavy metal and arsenic concentrations in rainbow trout (Oncorhynchus mykiss) farmed in a dam reservoir on the Firat (Euphrates) River: Risk-based consumption advisories. Sci. Total Environ.599, 1288–1296.
63
Willaert T. O. M. (2014). Valuation of marine and coastal ecosystems: the role of ecological-economic modeling1 (Portugal: Universidade NOVA de Lisboa).
64
Williams J. A. Antoine J. (2020). Evaluation of the elemental pollution status of Jamaican surface sediments using enrichment factor, geoaccumulation index, ecological risk and potential ecological risk index. Mar. pollut. Bull.157, 111288.
65
Xin X. U. Yucan C. A. I. Huaming S. H. I. Jiyu C. Xiang W. Yu M. A. (2023). Spatial distribution and ecological risk assessment on heavy metals in surface sediments in Haikou Bay. Chin. J. Of Mar. Environ. Sci.42, 493–501.
66
Xu D. Wang Y. Zhang R. Guo J. Zhang W. Yu K. (2016). Distribution, speciation, environmental risk, and source identification of heavy metals in surface sediments from the karst aquatic environment of the Lijiang River, Southwest China. Environ. Sci. pollut. Res.23, 9122–9133. doi: 10.1007/s11356-016-6147-x
67
Yang Q. Li Z. Lu X. Duan Q. Huang L. Bi J. (2018). A review of soil heavy metal pollution from industrial and agricultural regions in China: Pollution and risk assessment. Sci. Total Environ.642, 690–700.
68
Yongo E. Jin F. Mutethya E. Wu D. Zhang P. Guo Z. (2023). Sediment heavy metal pollution assessment in changwang and wuyuan rivers in hainan island, China. Water15, 1580. doi: 10.3390/w15081580
69
Zhang S. Fu K. Gao S. Liang B. Lu J. Fu G. (2023). Bioaccumulation of heavy metals in the water, sediment, and organisms from the sea ranching areas of haizhou bay in China. Water15, 2218. doi: 10.3390/w15122218
70
Zhang Z. Lu Y. Li H. Tu Y. Liu B. Yang Z. (2018). Assessment of heavy metal contamination, distribution and source identification in the sediments from the Zijiang River, China. Sci. Total Environ.645, 235–243. doi: 10.1016/j.scitotenv.2018.07.026
71
Zhang H. Yao B. Wang S. Huang Y. (2022). Understanding the changes of optically active substances (OACs) in Hulun Lake in the past 35 years and its indication to the degradation of aquatic ecology. J. Cleaner Production377, 134286. doi: 10.1016/j.jclepro.2022.134286
72
Zhang H. Liu W. Xiong Y. Li G. Cui J. Zhao C. et al . (2024). Effects of dissolved organic matter on distribution characteristics of heavy metals and their interactions with microorganisms in soil under long-term exogenous effects. Sci. Total Environ.947, 174565.
73
Zhang F. Zhang D. Li X. Lou H. Fu H. Sun X. et al . (2025). Distribution characteristics of Hg and As in the water-SPM system in the Xiaoqing river estuary and coastal. Mar. Environ. Res.204, 106932. doi: 10.1016/j.marenvres.2024.106932
74
Zhao Y. Wu R. Cui J. Gan S. Pan J. Guo P. (2020). Improvement of water quality in the Pearl River Estuary, China: A long-term, (2008–2017) case study of temporal-spatial variation, source identification and ecological risk of heavy metals in surface water of Guangzhou. Environ. Sci. pollut. Res.27, 21084–21097. doi: 10.1007/s11356-020-08378-z
75
Zheng T. Dang C. Zhong S. Sun W. Chen Q. (2021). Spatiotemporal distribution, risk assessment and source appointment of metal (loid) s in water and sediments of Danjiangkou Reservoir, China. Environ. Geochemistry Health43, 139–152. doi: 10.1007/s10653-020-00684-2
76
Zhou Q. Liu Y. Li T. Zhao H. Alessi D. S. Liu W. et al . (2020). Cadmium adsorption to clay-microbe aggregates: implications for marine heavy metals cycling. Geochimica Cosmochimica Acta290, 124–136. doi: 10.1016/j.gca.2020.09.002
77
Zhu W. Cai J. Ma W. Li B. Feng W. (2025). Distribution, sources and risk assessment of heavy metals in Yangshan port and its adjacent sea areas. Front. Mar. Sci.11, 1512115. doi: 10.3389/fmars.2024.1512115
78
Zi X.-Y. Zhang M. Gu X.-H. Kan K.-C. Mao Z.-G. Chen H.-H. et al . (2021). Impact of enclosure culture on heavy metal content in surface sediments of Hongze Lake and ecological risk assessment. Huan Jing Ke Xue= Huanjing Kexue42, 5355–5363.
Summary
Keywords
heavy metal, contamination, water, sediments, Xiaohai Lagoon
Citation
Mutethya E, Liu Q, Yongo E, Guo Z, Yu H, Zhang Y, Lu Z and Ye C (2025) Ecological risk assessment of heavy metal contamination in Xiaohai Lagoon, Hainan island, China. Front. Mar. Sci. 12:1675540. doi: 10.3389/fmars.2025.1675540
Received
29 July 2025
Accepted
27 October 2025
Published
10 November 2025
Volume
12 - 2025
Edited by
Ram Kumar, Central University of South Bihar, India
Reviewed by
Şafak Ulusoy, Istanbul University, Türkiye
Mingjie Yu, South China Normal University, China
Wenqin Jiang, China University of Geosciences, China
Updates
Copyright
© 2025 Mutethya, Liu, Yongo, Guo, Yu, Zhang, Lu and Ye.
This is an open-access article distributed under the terms of the Creative Commons Attribution License (CC BY). The use, distribution or reproduction in other forums is permitted, provided the original author(s) and the copyright owner(s) are credited and that the original publication in this journal is cited, in accordance with accepted academic practice. No use, distribution or reproduction is permitted which does not comply with these terms.
*Correspondence: Zhiyuan Lu, luzy@hainanu.edu.cn; Changqing Ye, yechangqing2001@hotmail.com
Disclaimer
All claims expressed in this article are solely those of the authors and do not necessarily represent those of their affiliated organizations, or those of the publisher, the editors and the reviewers. Any product that may be evaluated in this article or claim that may be made by its manufacturer is not guaranteed or endorsed by the publisher.