- Ningbo Marine Center, Ministry of Natural Resources, Ningbo, Zhejiang, China
Understanding the distribution and sources of heavy metals in marine sediments is critical for assessing environmental quality and sedimentary processes. The East China Sea (ECS) shelf, influenced by multiple terrestrial and oceanic inputs, provides an important setting to evaluate heavy metal behavior in sandy sediments. In August 2023, surface and core sediment samples were collected from the ECS shelf. Grain size composition, organic matter content, and heavy metal concentrations (Cr, Cu, Zn, Pb, Hg, As, Cd) were analyzed to determine their spatial distribution, controlling factors, and environmental implications. The average concentrations of Cr, Cu, Zn, Pb, Hg, As, and Cd in surface sediments were 51.85, 16.95, 66.93, 21.32, 0.025, 5.58, and 0.083 mg/kg, respectively. Higher concentrations were recorded in the western nearshore and northeastern shelf, while lower and more uniform values occurred across the central and southern regions. Core sediments showed similar concentration ranges to surface samples. Sediment grain size and organic matter were the primary controls on metal distribution. Statistical analyses and enrichment coefficients indicated that most heavy metals derived from terrestrial detrital sources were transported with fine-grained components. However, Hg, Cd, Pb, and As showed signs of anthropogenic influence. Vertically, Cr, Cu, Zn, Pb, and Cd exhibited no significant trends, Hg displayed notable variability, and As was elevated in northern sediments compared to southern counterparts. The ECS sandy sediments remain relatively clean with low levels of heavy metal contamination. Nevertheless, sediment reworking and modern depositional processes have redistributed metals, particularly those influenced by human activities. The findings highlight the combined role of natural grain size control and anthropogenic inputs in shaping heavy metal patterns, contributing to understanding regional sedimentary processes and environmental quality.
1 Introduction
Offshore sediments along the continental margins act both as “sinks” and “sources” of heavy metals. These heavy metal elements, derived from the natural weathering of rocks and from anthropogenic activities over different periods, are deposited into the sediments primarily through river transport into the sea and atmospheric deposition. In addition to natural sedimentary processes, human activities significantly reshape depositional environments along the coast. In this regard, a study analyzed four decades of coastline evolution in the Zhoushan Archipelago and found that reclamation and harbor construction altered the balance between sand and mud fractions, ultimately modifying pathways of sediment–metal interaction (Liu et al., 2024). Offshore sediments along continental margins are particularly sensitive to hydrodynamic forcing, which dictates the redistribution of fine-grained material where heavy metals accumulate. Sand–mud transitions along embayed beaches in eastern China are strongly modulated by storm events, leading to enhanced offshore transport of mud-rich sediments (Guo et al., 2021). This highlights how natural sedimentary dynamics play a pivotal role in controlling the spatial variability of heavy-metal deposition.
Once deposited, they may be released into the water body again under changing environmental conditions or, alternatively, become absorbed and accumulated by marine organisms and, as a result, enter the food chain and pose potential ecological risks (Hakanson, 1980; Lin et al., 2002; Xu et al., 2018a). Therefore, exploring the concentrations and spatial distribution of heavy metal elements in marine sediments, understanding their sources and controlling factors, as well as the impacts of human activities is crucial for characterizing the depositional processes of heavy metals within the biogeochemical cycling. Such insights are also essential for assessing marine environmental quality, evaluating ecological risks, and informing the development of effective management and pollution-control strategies (Wang J. et al., 2003; Chen et al., 2014).
The depositional pattern of the broad shelf of the East China Sea (ECS) reflects two distinct periods and origins, that is, sandy deposits formed during the earlier low sea-level period, later modified during subsequent transgressions, and overlain by modern muddy sediments (Figure 1). The sandy deposits are mainly exposed on the outer shelf at water depths of 50–200 m. These are dominated by fine sands containing abundant shell debris and were called residual deposits in earlier studies, although their role in present-day sedimentation remains debated. In contrast, the muddy deposits are concentrated in the inner shelf muddy zone and the southwestern Cheju Island muddy zone, with a transitional area characterized by mixed sand and mud facies distributed at the boundaries of the sandy and muddy depositional zones (Niino and Emery, 1961; Li J., 2008; Chen et al., 2014). Previous studies on heavy metals in the sediments of the ECS have largely focused on the estuarine and submarine deltas of the modern Yangtze River, the nearshore zone, and the inner shelf muddy deposits zones (Zhang et al., 2005; Liu et al., 2011; Mi et al., 2013; Lu et al., 2017; Liang et al., 2019), or else have discussed the Eastern China Sea area as an integrated system (Zhao, 1983; Lin et al., 2002; Xu et al., 2018a; Guo et al., 2021; Liu et al., 2024). Collectively, these studies indicated that the heavy metals in the sediments of the ECS mainly come from the huge amount of land-based debris, otherwise called terrestrial detritus, brought by the Yangtze River and discharged and supplemented by the inputs from heavily industrialized and urbanized coastal areas. Reported concentrations generally approximate the elemental background values of the Chinese mainland, with most heavy metal elements distributed in nearshore zones, basically obeying the “grain-size-control law.” Specifically, heavy metals are mainly deposited in the fine-grained sediments of the estuaries and near-shore sediments, whereas their concentration decreases rapidly within offshore sandy deposits (Zhao, 1983; Zhang et al., 2005; Liu et al., 2011; Mi et al., 2013; Lu et al., 2017; Liang et al., 2019). Since modern times, human activities have significantly affected the near-shore distribution of elements such as Hg, Pb, Cd, and As (Lin et al., 2002; Chen et al., 2014; Xu et al., 2018a).
 
  Figure 1. Investigated area and sampling sites on the East China Sea shelf (modified from references (Chen et al., 2014; Liu et al., 2024)). (CDW: Changjiang Dilute Water; YSWC: Yellow Sea Warm Current; ECSCC: East China Sea Coastal Current; TWC: Taiwan Warm Current).
Recent studies have demonstrated that the distribution and mobility of heavy metals in coastal sediments are strongly influenced by hydrodynamic processes and extreme weather events. For instance, the impact of Typhoon Matmo on Quanzhou Bay highlighted how storm-induced re-suspension alters both sedimentary dynamics and the geochemical behavior of trace metals such as Cu, Zn, and Pb, reshaping their spatial patterns across estuarine–shelf environments (Lin et al., 2019). Such episodic disturbances emphasize the complexity of metal-sediment interactions. Further, it suggests that the natural forcing mechanisms often operate in tandem with anthropogenic inputs to regulate heavy metal accumulation. This context is particularly relevant for the ECS shelf, where hydrodynamic energy and sediment reworking play decisive roles in controlling the geochemical signatures preserved in sandy and mixed sediments.
Beyond episodic events, coastal engineering and shoreline modifications also exert measurable impacts on sediment properties and contaminant dynamics. The scholars have documented the morphodynamics of an artificial cobble beach in Xiamen, demonstrating how grain-size sorting and transport mechanisms govern the depositional environment (Shu et al., 2019). These findings reinforce the “grain-size control” hypothesis, which posits that finer-grained sediments tend to adsorb higher concentrations of heavy metals due to their larger specific surface area and higher organic matter affinity. At the same time, broader ecosystem responses to coastal development and human activities, including land reclamation, port construction, and industrial discharge, have been conceptualized as coupled human–natural system interactions that may lead to long-term cumulative consequences (Jiang et al., 2020). Heavy metals bound to sediments can be remobilized during extreme weather events. Research studies report that the typhoon-driven waves and storm surges substantially intensified erosion and sediment redistribution along the Zhejiang coast (Jiang et al., 2020). This storm-induced mobility facilitates the offshore dispersal of fine particles enriched with contaminants, emphasizing the role of episodic high-energy events in shaping geochemical risk on continental shelves.
Recent geochemical investigations in Chinese marginal seas further reveal the ecological risks posed by heavy metal enrichment. In Daya Bay, the scholars showed that metals such as Cd, Pb, and Hg occur in distinct chemical fractions, with potential bioavailability varying by depositional environment. Their work emphasizes the necessity of combining contamination indices, risk assessments, and source analysis when interpreting sediment records (Xiao et al., 2022). Together, these studies provide a strong empirical foundation for evaluating the distribution, sources, and environmental significance of heavy metals in shelf sediments, informing the current investigation of the ECS.
However, the findings of heavy metals in muddy sediments can only represent conditions in the nearshore zone and cannot be generalized to offshore sediments of the ECS as a whole. It is therefore not meaningful to characterize the regional distribution of heavy metal elements solely based on the average concentrations across sandy and muddy areas or by considering content values alone. Sandy and muddy sediments differ substantially in terms of sediment characteristics, age of formation, hydrodynamic regimes, and physicochemical environments. Consequently, the sources, distribution patterns, enrichment levels, driving mechanisms, and associated environmental risks of heavy metals also vary considerably between the two sediment types. In addition, in recent studies, some scholars have further pointed out that fine-grained, land-derived sediments enriched in heavy metals, originating from watershed weathering and anthropogenic discharges, can be transported across the shelf and deposited in sandy sedimentary zones of the outer shelf through cross-shelf transport and atmospheric deposition (Qin et al., 2011; Y et al., 2013; Liu et al., 2018; Zhang et al., 2019; Wang et al., 2023). With the rapid socioeconomic development in China in recent decades, the heavy metal pollution in coastal harbors and nearshore waters has become increasingly evident (Chen et al., 2014; Wang et al., 2023). Yet, compared with the nearshore muddy sediments, relatively few studies have addressed the characteristics of heavy metals in the widespread sandy sediments of the ECS shelf or assessed the spatial extent and intensity of modern human activities in these environments (Lin et al., 2002).
In August 2023, the Basic Investigation Program collected surface and core samples from the ECS shelf. Based on the analyses of sediment grain size, heavy metal concentrations, and other geochemical indicators, this study examines the content and spatial distribution of key heavy metals such as Cr (chromium), Cu (copper), Zn (zinc), Pb (lead), Hg (mercury), As (arsenic), and Cd (cadmium) in sandy sediments, as well as in a limited number of mixed sand and mud deposits. Furthermore, it investigates the factors influencing these distributions and evaluates the geological and environmental significance of their sources, pathways, and human impacts, along with their implications for sedimentary processes.
Recent advances in coastal hydrodynamics show that long-period wave processes and interactions between incident waves and seabed topography can strongly modify low-frequency energy at harbor and shelf scales, with direct implications for bed shear and sediment reworking. Numerical and theoretical studies demonstrate that focused transient wave groups are capable of exciting harbor resonance (thereby amplifying low-frequency motions) and that Bragg resonant reflection produced by periodic seabed features can substantially alter wave energy entering semi-enclosed basins (Gao et al., 2020; Gao et al., 2021). More detailed mechanistic work further shows that appropriately configured undulating seabed topography can mitigate harbor resonance by scattering and reflecting incident energy, changing the spatial pattern of energy transfer to the seabed (Gao et al., 2023). While these studies focus on hydrodynamic response and resonance, their results imply that modulation of low-frequency wave energy and near-bed shear by wave–topography coupling is an important control on the timing, location, and magnitude of sediment resuspension and cross-shelf redistribution.
Sediment resuspension and redistribution driven by the hydrodynamic processes above can mobilize particulate-bound trace metals and change their environmental availability. Erosion experiments and field studies have shown that recurrent resuspension events can release substantial fractions of particulate metals into the water column and that low-energy, frequent resuspension may account for a large share of annual metal fluxes to the water (Kalnejais et al., 2007). Reviews and field syntheses further emphasize that resuspension events are a recurring pathway by which contaminated sediments affect ecology and water quality (Roberts, 2012). Recent in situ work demonstrates that oscillatory coastal processes such as seiches can lift and redistribute suspended sediments (producing SSC anomalies and repeated vertical pumping), thereby enhancing the opportunity for pollutant redistribution even when seiches alone do not directly erode consolidated bed sediments (Seo et al., 2024). Taken together, these hydrodynamic mechanisms provide a plausible process-level link between the wave/topography dynamics documented in the coastal engineering literature and the patterns of heavy-metal distribution and reworking observed on the ECS shelf.
This study makes a significant contribution by addressing a critical gap in the geochemical understanding of the sandy outer shelf sediments of the ECS, which have received considerably less attention compared to muddy estuarine and inner-shelf environments. (1) By focusing on these widespread sandy deposits, the research provides insight into a sedimentary domain that has largely been overlooked in previous heavy-metal investigations. (2) High-resolution spatial analyses reveal distinct distribution patterns, with higher concentrations nearshore and more uniform, lower levels across offshore areas, patterns that are closely linked to sediment grain size and organic matter content. (3) Furthermore, the integration of statistical methods and enrichment indices (e.g., EF, Igeo) enables a clear distinction between natural terrigenous inputs and modern anthropogenic contributions, demonstrating that while most metals are derived from terrestrial detritus associated with fine particles, elements such as Hg, Cd, Pb, and As are strongly influenced by recent human activities which, is an aspect seldom clarified for sandy offshore sediments.
The novelty of this study is further enhanced by its emphasis on vertical sediment cores in sandy environments, which are rarely examined in the ECS. (4) These profiles provide valuable evidence of stratified geochemical trends, including pronounced variability in Hg and a north-to-south gradient in As concentrations extending to 40 cm depth, underscoring the influence of both natural and modern processes on subsurface records. (5) In addition, the grain-size characteristics and heavy-metal distributions collectively indicate modern reworking and redistribution processes in sandy outer-shelf deposits, highlighting their dynamic nature and ongoing environmental modification. Collectively, these contributions advance our understanding of heavy-metal behavior in coarse-grained sediments and provide an essential framework for evaluating contamination risks and environmental management strategies on continental shelves.
Figure 1 shows the investigated region of the ECS shelf, highlighting the locations of surface and core sediment sampling stations. The map covers the area influenced by the Changjiang (Yangtze) River and extends eastward toward the Kuroshio Current. Major hydrographic features, including the Changjiang Dilute Water (CDW), Yellow Sea Warm Current (YSWC), East China Sea Coastal Current (ECSCC), and Taiwan Warm Current (TWC), are indicated by arrows, showing their directions of flow. Geomorphic boundaries such as the 20, 50, 100, and 500 m isobaths are marked, delineating the shallow nearshore zone, the shelf, and the deeper slope areas. Two distinct mud regions are identified: one near the mouth of the Changjiang River and another to the north off the Yangtze Shoal, reflecting areas of fine-grained sediment accumulation. Surface sampling stations are shown as circles, and core sampling stations as diamonds, distributed across sandy, muddy, and mixed sedimentary environments of the ECS shelf.
2 Materials and methods
A total of 35 surface sampling stations were established in the sandy sedimentary zone of the ECS shelf, with two additional core sampling sites located at stations J4 (124°E, 32°10’N, water depth 45 m) and J53 (123°E, 27°N, water depth 120 m) (Figure 1). The surface sediment samples (0–1 cm) were collected using a box corer, immediately sealed in polyethylene bags, and stored in insulated coolers for transportation to the laboratory. Core sediment samples (0–40 cm) were obtained using the gravity corer, which accurately describes the coring technique used in this study. Each core was sectioned into 2 cm intervals, yielding 20 subsamples per column. Both ends of the core samples were wax-sealed to minimize contamination and oxidation before cold storage and transport. All procedures for sampling, storage, and pretreatment followed national and international sediment sampling standards (GB/T 12763-2007, 2007; GB 17378-2007, 2007).
In the laboratory, sediment samples designated for grain size analysis were first treated with H2O2 solution to remove organic matter and with dilute HCl solution to eliminate carbonate cement and biogenic shells. The residues were rinsed with deionized water, ultrasonically dispersed, and analyzed using a Microtrac S3500 laser diffraction particle size analyzer (range: 0.01–2800 μm; relative error <3%). Sediment classification was carried out according to Shepard’s ternary diagram method (GB 18668-2002, 2002). For geochemical analysis, aliquots of homogenized sediments were digested using a mixed acid system (HNO3+HClO4).
For the digestion of sediment samples, a mixture of concentrated HNO₃ and HClO₄ in a ratio of 4:1 (v/v) was used. Approximately 0.2 g of finely powdered and homogenized sediment was placed in a Teflon digestion vessel, to which 10 ml of the acid mixture was added. The samples were pre-digested at room temperature for 12h to minimize vigorous reactions, followed by heating on a temperature-controlled hot plate. The temperature was gradually raised to 160°C and maintained until the solution became clear and a residual volume of about 1–2 ml remained (typically 3–4h). After cooling, the digest was diluted to 50 ml with ultrapure water and filtered prior to analysis. This protocol follows widely accepted geochemical digestion procedures, including those recommended in the Chinese national standard GB/T 17141-1997 for marine sediment analysis, ensuring both accuracy and comparability with previous studies.
The concentrations of heavy metals such as Cu, Zn, Pb, Cd, and Cr were quantified by inductively coupled plasma-mass spectrometry (ICP-MS, X series II, Thermo Scientific, Waltham, MA, USA). Arsenic (As) and mercury (Hg) were determined using an AFS-930 Atomic Fluorescence Spectrometer (Beijing Titan Instruments Co., Ltd., Beijing, China). While aluminum (Al), used as a geochemical normalization reference, was analyzed with an iCAP 7000 ICP-OES System (Thermo Fisher Scientific, Waltham, MA, USA). Aluminum (Al) was selected as the normalizing element because it is a major constituent of aluminosilicate minerals that represent the fine-grained detrital fraction, with which many trace metals are closely associated. Unlike Fe, which can be influenced by redox processes and authigenic enrichment, Al remains relatively immobile under the oxic to mildly reducing shelf conditions of the ECS. In addition, Al showed stable correlations with sediment texture in our dataset, confirming its suitability as the reference element. In our dataset, aluminum (Al) exhibited a consistent and stable correlation with sediment texture, particularly with the fine-grained fraction. This relationship indicates that Al reliably tracks detrital input and granulometric variability across the study area. The strength and uniformity of this correlation further confirm its suitability as the reference element for geochemical normalization in the ECS sediments.
Total organic carbon (TOC) content was measured by the potassium dichromate oxidation-reduction volumetric method. The quality assurance and quality control (QA/QC) were ensured through the use of certified reference materials (CRMs). For accuracy verification, CRMs were analyzed alongside samples. Specifically, the study used the National Research Council of Canada marine sediment reference material MESS-4 and the Chinese national reference material GBW07314 (marine sediment). The measured concentrations of all target metals were within ±5% of the certified values, with recovery rates ranging from 92% to 106%, confirming the accuracy of our digestion and analytical procedures. Method detection limits for each metal, determined as three times the standard deviation of procedural blanks, were as follows: Cd (0.01 mg/kg), Pb (0.05 mg/kg), Cu (0.02 mg/kg), Zn (0.1 mg/kg), As (0.02 mg/kg), and Hg (0.005 mg/kg). Precision was evaluated through triplicate analyses of randomly selected samples, with relative standard deviations (RSDs) consistently below 5%. These QA/QC measures demonstrate that the reported heavy metal concentrations are robust and reliable. Instrument calibration was performed using multi-element standard solutions with a five-point calibration curve (R² > 0.999), ensuring linearity and accuracy across the concentration range. Procedural blanks and replicate analyses. Approximately 15% of total samples were analyzed in parallel, and the analytical precision and recovery rates met the requirements of standard geochemical testing protocols.
To ensure reproducibility, all sediment samples were analyzed in duplicate, and selected samples (approximately 10% of the total) were randomly re-analyzed as procedural replicates. The RSD for replicate measurements was consistently below 5% for major and trace metals, demonstrating stable repeatability of the digestion and analytical procedures. In addition, precision was further evaluated using certified reference materials, which confirmed that replicate results fell within the certified ranges. These replicability checks confirm the robustness of our dataset and the reliability of the reported heavy metal concentrations. For data analysis, Surfer 15.0 and Origin 2018 software were used to generate spatial distribution maps and graphs. Statistical analyses, including correlation and factor analysis, were conducted with SPSS 19.0 software. Long-term variation trends in the core sediments were evaluated using the Mann-Kendall (M-K) non-parametric test, implemented in Makesens 2.0 software.
3 Results and discussion
3.1 Heavy metal content of sediments in the study area
The average contents of Cr, Cu, Zn, Pb, Hg, As, and Cd in the surface sediments of the study area were 51.85, 16.95, 66.93, 21.32, 0.025, 5.58, and 0.083 × mg/kg, respectively (as shown in Table 1). The maximum concentrations of these metals at the individual station were all below the threshold values of the current marine sediment quality standard, class I, in China. Furthermore, the mean concentrations were generally lower than those reported for the background values of mainland China sediments, the Yangtze River estuary, and the nearshore of the ECS. In contrast, the maximum concentrations observed in this study were broadly comparable to those reference values. When compared with other depositional environments, the concentrations in the study area were significantly lower than those typically in the mud-rich sediments of the inner ECS shelf. The spatial pattern aligns with existing literature, which consistently reports a decreasing gradient of heavy metal concentrations from nearshore zones to offshore areas (Zhao, 1983; Wang J. et al., 2003; Xu et al., 2018a). The two sediment cores (J4 and J53) that were analyzed also revealed concentrations comparable in magnitude to those of the surface samples, suggesting relatively stable depositional and post-depositional geochemical conditions across the shelf.
 
  Table 1. Heavy metals concentration characteristics in the sediments of the study area (mg/kg) and comparisons to other areas.
The coefficients of variation (CV) of the heavy metal concentrations ranged between 10% and 22%, except for the Pb, which showed a higher variability (33%). This indicates that apart from Pb, the spatial variability of heavy metals across stations was relatively low, affecting a homogeneous distribution pattern within the study area. Overall, these results demonstrate that the sandy deposits of the ECS shelf are relatively clean, showing only a low degree of heavy metal enrichment compared with the regional sedimentary environments. This finding highlights the dilution effect of sandy sediments, where lower organic matter and fine-grained fractions limit the adsorption and retention of heavy metals.
3.2 Distribution characteristics of heavy metals and influencing factors
Overall, the concentrations of Cr, Cu, Zn, Pb, Hg, and Cd were higher in the western nearshore, slightly elevated in the northeastern part of the study area, and lower and relatively uniform across the remaining offshore zones. This spatial pattern closely mirrors the distribution of the median grain size (Md, Φ) and total organic carbon (TOC, %) in the sediments (Figure 2), which indicates that the sediment grain size and organic matter content are the primary factors controlling the distribution of these heavy metals. These observations are consistent with previous studies in estuarine and nearshore sediments, where fine-grained sediments and organic matter similarly influence heavy metal accumulation (Zhao, 1983; Zhang et al., 2005; Liu et al., 2011; Liang et al., 2019). In contrast, As displayed the north-south gradient, with higher concentrations in the north and lower in the south, suggesting that its distribution may be primarily influenced by regional background levels rather than local sediment properties.
 
  Figure 2. Spatial variations of heavy-metal concentrations (Cr, Cu, Zn, Pb, Hg, As, and Cd; mg/kg), median grain size (Md, Φ), and total organic carbon (TOC, %) in surface sediments across the East China Sea shelf. Higher concentrations of Cr, Cu, Zn, Pb, Hg, and Cd are observed in the western nearshore and northeastern areas, corresponding to finer sediment fractions and elevated TOC, whereas As shows a north-to-south gradient, suggesting that sediment grain size and organic matter are primary factors controlling heavy-metal distribution.
The Q-clustering analysis further explained the spatial patterns of heavy metals. Stations J18, J33, J41, and J16, which are located at the junction of muddy and sandy deposits, formed a distinct cluster, characterized by a higher proportion of fine particles such as silt and clay, elevated TOC, and greater heavy-metal concentrations. Conversely, the station J56, situated at the outermost southeastern edge of the study area, formed a separate cluster, indicating that the heavy metals at this station are influenced by other offshore factors possibly hydrodynamic sorting or long-range transport. The remaining 30 stations were clustered together, showing similar sediment texture, organic matter content, and moderate heavy-metal concentrations.
Pearson correlation analysis confirmed the close relationship between heavy-metal concentrations and sediment characteristics. All seven metals exhibited positive correlations with Md and TOC, with Cr, Cu, Zn, and Pb showing particularly strong correlations with Md (the correlation coefficients of 0.488–0.655; Table 2, n = 35). In contrast, the correlation between Cr, Cu, Zn, and Hg showed strong correlations with TOC, most notably Hg (r = 0.725), highlighting the influence of organic matter in controlling metal accumulation. Cd and As displayed weaker correlations with both Md and TOC, suggesting that their distribution may be governed by additional factors such as anthropogenic inputs, geochemical background, or localized hydrodynamic processes.
 
  Table 2. Pearson correlation coefficients between heavy-metals concentrations (Cr, Cu, Zn, Pb, Hg, As, Cd; mg/kg), median grain size (Md, Φ) and total organic carbon (TOC, %) in surface sediments of East China Sea shelf.
3.3 Sources of heavy metals and effects of modern human activities
The results of correlation analysis show that the concentrations of seven heavy metals in the surface sediments are generally positively correlated. In particular, the correlation among Cr, Cu, Zn, Pb, and Cd is stronger, with most correlation coefficients ranging between 0.300 and 0.700. For example, Zn exhibits significant correlations with Cr (r = 0.721) and Cu (r = 0.767). These five heavy metals show positive correlations with median grain size (Md) and TOC (Table 2), indicating a common origin and their tendency to co-occur with fine-grained particles and organic matters in sediments. Hg also shows positive correlations with other metals and grain size, though to some extent. Notably, Hg and Cd are significantly correlated with TOC (r = 0.725 and r = 0.605, respectively), indicating that organic pollutants may be one of the important sources of Hg and Cd, in addition to natural inputs. As exhibits weak correlations with other metals, grain size, and TOC, suggesting distinct source contributions.
To further identify potential sources, factor analysis was applied. To determine the suitability of the dataset for factor analysis or principal component analysis (PCA), Kaiser-Meyer-Olkin (KMO) has been used. The KMO statistic ranges from 0 to 1, with higher values indicating stronger sampling adequacy for factor analysis. According to Kaiser (1974), values greater than 0.90 are considered marvelous, reflecting excellent suitability of the data. Scores between 0.80 and 0.89 are regarded as meritorious, which indicates very good suitability. While values in the range of 0.70 to 0.79 are described as middling, suggesting that the data are acceptable for factor analysis. KMO values between 0.60 and 0.69 are considered mediocre, implying only moderate suitability. However, those values in the range of 0.50 to 0.59 are deemed miserable and reflect weak adequacy. Finally, KMO values below 0.50 are considered unacceptable, suggesting that the data are not appropriate for factor analysis. In the current study, the KMO is 0.742, which falls into the middling category, rendering our data adequately suitable for factor analysis. The Kaiser-Meyer-Olkin (KMO) value of 0.742 obtained in our dataset indeed falls within the “middling” range according to Kaiser’s (1974) classification, where values above 0.8 are generally considered meritorious for robust factor analysis. The author acknowledges that this indicates moderate rather than strong sampling adequacy, and a statement has been added in the revised manuscript to clarify this limitation. However, a KMO value above 0.7 is still widely accepted as the minimum threshold for proceeding with factor analysis in environmental geochemistry and sedimentological studies. Given that the value exceeds this benchmark, it was determined that factor analysis remained appropriate for exploring the relationships among heavy metal variables. To mitigate potential limitations, this study also cross-validated the factor loadings with correlation analysis and enrichment factor patterns, which showed consistent trends. This strengthens the study’s confidence in the factor-analytic results while recognizing that they should be interpreted with some caution.
Bartlett’s Test of Sphericity was conducted to examine whether the correlation matrix of the variables significantly differs from an identity matrix, where variables would otherwise be completely uncorrelated. The null hypothesis (H₀) assumes that the correlation matrix is an identity matrix, whereas the alternative hypothesis (H₁) posits that the matrix is not an identity matrix, indicating the presence of sufficient correlations to justify factor analysis. When the p-value is less than 0.05, the null hypothesis is rejected, confirming that correlations are statistically significant and that factor analysis is appropriate (Bartlett, 1950). In this study, Bartlett’s test yielded a p-value of 0.004, which is well below the 0.05 threshold, thereby validating the suitability of the data for factor analysis.
The KMO metric was 0.742, and the Bartlett’s test of sphericity was 0.004, which was less than the significance level of 0.05. Two principal components were extracted using varimax rotation (Figure 3). Varimax rotation is one of the most widely used orthogonal rotation methods in factor analysis and principal components analysis (PCA). Its purpose is to make the output of factor analysis easier to interpret. Cr, Cu, Zn, Pb, Cd, and Md load strongly on the first principal component, combined with the results of correlation analysis, indicating that these metals share a common origin and are primarily derived from the land-sourced detritus that was mainly transported and deposited with the fine-grained components during the formation of the sediments. Hg, As, TOC, and Cd load strongly on the second principal component. These elements are associated with anthropogenic sources, such as industrial and agricultural wastes and domestic sewage and organic matter degradation (Krzysztof and Danna, 2003; Li et al., 2008; Zhang et al., 2009; Duan et al., 2013; Kim et al., 2018; Liu et al., 2019). In nearshore areas, the pollution of Hg and Cd poses a major ecological risk (Lin et al., 2002; Liang et al., 2019). Previous studies have shown that Hg input to the global marginal seas increased by 40%–400% after the industrial revolution, especially in the offshore regions of China and India. Approximately 4% of the Hg released from mainland China ended up in the Yellow and ECS sediments through suspended transport or atmospheric deposition (Kim et al., 2018). Thus, the second principal component suggests modern human contributions of Hg, Cd, and As to the sediments.
 
  Figure 3. Principal components analysis (PCA) biplot showing the distribution of heavy metals (Hg, As, Cr, Cu, Zn, Cd, Pb), grain size (Md), and total organic carbon (TOC) in surface sediments. The clustering of metals indicates possible common sources, while separation of As and Hg suggests distinct geochemical behaviors.
Recent studies of the Yangtze River estuary and adjacent ECS shelf provide quantitative evidence of substantial anthropogenic heavy metal inputs that complement our findings. For example, Liu et al (Liu et al., 2019). reported that surface sediments from the Yangtze River Estuary to the ECS shelf show elevated contents of Cu, Pb, Cd, Zn, and Cr in estuarine and nearshore muddy areas, with metal concentrations sharply decreasing offshore. In another study, Zhang et al (Zhang et al., 2009). found that atmospheric deposition accounted for a significant fraction of Cd input, while urban and industrial discharges were major contributors of Cu and Pb, reinforcing the role of non-lithogenic anthropogenic sources. These regional datasets enhance the argument in our manuscript by providing independent, measured evidence of pollutant discharge and atmospheric deposition patterns. Thus, when elevated enrichment factors for Hg, Cd, Pb, and As are observed in nearshore stations, these regional data support interpreting them as signatures of anthropogenic influence rather than purely natural variation.
To evaluate the extent of anthropogenic influence on heavy metal concentrations, the enrichment factor (EF) was calculated. EF is a widely used geochemical index that compares the concentration of a target element with that of a stable reference element such as Fe or Al relative to background levels. The EF of heavy metal elements in marine indicates the proportion of anthropogenic emission sources relative to natural weathering sources, that is, the degree of anthropogenic influence (Mi et al., 2013; Xu et al., 2018a; Wang et al., 2023). Its calculation formula is the ratio of the proportion of heavy metal elements relative to the content of stable elements (e.g., Al) in the sample to the proportion of both in the background value (Xu et al., 2018a; Wang et al., 2023).
Where M = concentration of the metal of interest, Al = concentration of aluminum (reference element), s = sample and r = reference (background)
In this study, EFs were recalculated using marine sediment background values rather than terrestrial soils. The background concentrations were analyzed elemental abundances in sediments from China’s shallow seas. These values provide a marine-specific geochemical baseline that better reflects the depositional environment of the ECS and are therefore more appropriate for EF assessment. For example, the background levels of Al, Fe, Zn, Cu, Pb, and Cd in shallow-sea sediments differ systematically from those in continental soils, capturing the influence of marine lithology, diagenesis, and organic matter input (Zhao and Yan, 1993). In addition, the findings of Wang et al (Wang X. et al., 2003), who documented heavy metal concentrations in Bohai Sea sediments, were referenced to place our results in a broader regional marine context. Together, these revisions ensure that the EF calculations are based on a robust marine background and are more relevant for evaluating natural and anthropogenic contributions to heavy metal distributions in ECS sediments.
Numerous prior studies from the ECS and adjacent coastal regions have shown that EF values can be used to distinguish natural lithogenic inputs from anthropogenic influences. In general, low EF values indicate that heavy metal concentrations are predominantly derived from crustal sources, while elevated EF values suggest additional contributions from anthropogenic activities such as industry, agriculture, or shipping (Liu et al., 2011; Xu et al., 2016). Although the threshold of EF = 1.5 is not a strict universal rule, it has been widely applied as a practical guideline in marine sediment studies to identify the onset of anthropogenic input (Xu et al., 2018b). Other scholars have proposed complementary classification schemes—for instance, EF< 1 as no enrichment, EF = 1–3 as slight enrichment (Xu et al., 2018b), and EF = 2–5 as moderately polluted (Guo et al., 2017).
In the present study, EF = 1.5 was adopted as a cutoff to distinguish predominantly natural from anthropogenic sources, following this well-established framework. While it is recognized that the ECS is a dynamic basin with strong coastal currents and grain size variations that may influence metal distributions, the application of Al normalization minimizes sedimentological bias. Therefore, the EF = 1.5 threshold remains appropriate for this study, while more detailed enrichment categories are also discussed to provide a nuanced interpretation of heavy metal inputs.
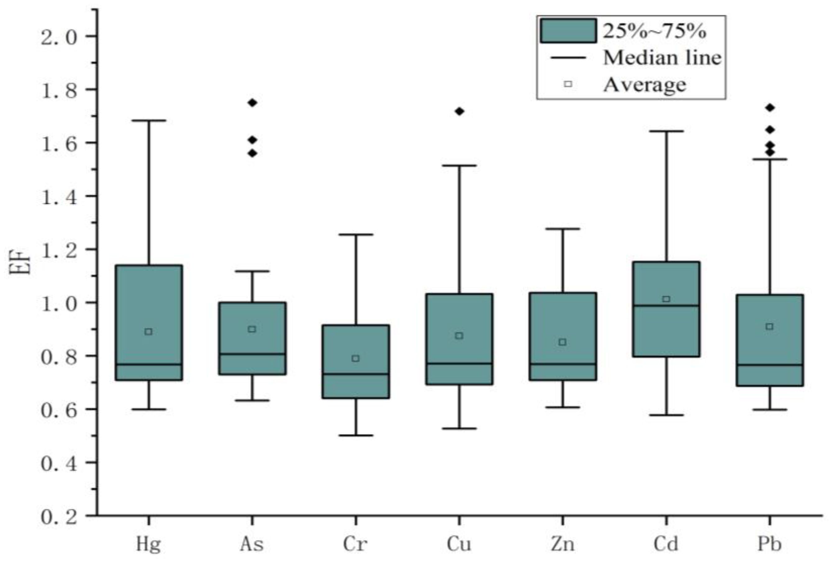
The EFs of the seven heavy metal elements in the surface sediments of the study area are all relatively low, with average values less than 1.5 (Figure 4), indicating that the heavy metal elements in the surface sediments of the study area are still dominated by natural sources (Xu et al., 2018a; Wang et al., 2023). However, the EFs of Hg, Cd, and Pb, as well as As, exhibit Fes >1.5 at some stations, reflecting that they are affected by anthropogenic activities, with the incorporation of modern sources of pollution discharge. Overall, the impact of human activities on the ECS shelf is relatively limited, which is mainly modulated by sedimentation patterns. Due to the blocking effect of the Taiwan Warm Current (TWC) at the Yangtze River inlet sediment, the land-sourced detritus enriched in organic carbon and heavy metals tends to accumulate in large quantities in the estuaries and nearshore muddy sedimentary areas. Consequently, only a small amount of them are transported to the central part of the shelf, restricting the influence of human activities mainly to the estuary and inner shelf (Niino and Emery, 1961; Deng et al., 2006; Li J., 2008).
 
  Figure 4. Boxplot of enrichment factors (EFs) for heavy metals in surface sediments of the study area. The boxes represent the interquartile range (25th–75th percentile), horizontal lines indicate the median, dots represent outliers, and circles show the mean values.
The factor loadings of heavy metals, TOC, and sediment texture (Md) for the two extracted components are presented in Table 3.
The factor loading matrix (Table 3) reveals the contributions of each variable to the two principal components. Component 1 shows high positive loadings for Cr (0.776), Cd (0.755), Zn (0.760), and Md (0.803), indicating that this factor primarily reflects the influence of sediment texture and associated detrital inputs. Cu (0.627) and Pb (0.491) also load moderately on this component, suggesting a mixed association with both natural and anthropogenic sources. In contrast, Component 2 is dominated by strong positive loadings for As (0.896), TOC (0.692), and Hg (0.512), highlighting a separate geochemical process likely linked to organic matter interactions and potential anthropogenic inputs. The clear separation of variables between the two components supports the interpretation shown in Figure 3, where heavy metals display distinct clustering patterns governed by both grain-size control and organic/anthropogenic influences.
In this study, EFs were calculated using background values from Chinese soils, which reflect the dominant terrestrial inputs to the ECS delivered primarily through large river systems such as the Yangtze. This choice is widely applied in regional geochemical studies, as soils provide a consistent and representative baseline for assessing anthropogenic contributions. Nonetheless, this study acknowledges that the use of soil values in a marine environment represents a limitation, as it may not fully capture the natural variability of marine depositional settings. Marine-specific backgrounds, such as average shale or regionally derived marine baselines, could yield slightly different EF magnitudes. Therefore, the EF results in this study should be interpreted with caution, particularly when distinguishing natural lithogenic inputs from purely marine background levels.
3.4 Heavy metal profile changes
Station J4 is located between Yangzi Shoal in the northern part of the East Sea and the muddy area in the southwest part of Cheju Island (Figure 1). The sediments throughout the core are composed of gray silty sand. While station J53, located on the outer shelf in the southern part of the East Sea, consists primarily of greenish-gray fine sand, with silty sand occurring in the lower layer. Both cores exhibit a slight coarsening trend from the bottom to the surface, which is more pronounced at station J53, where sand content increases while silt and clay decrease (Figure 5).
 
  Figure 5. Vertical profiles of grain-size composition (%), concentrations of heavy metals (Cu, Zn, Pb, Hg, As, Cd; ×10-6), Ca (×10-²), and TOC (%) in surface sediments from cores (A) J14 and (B) J53 in the study area. The profiles illustrate depth-dependent variations in sediment texture, heavy metal enrichment, carbonate content, and organic matter accumulation.
Vertical variations in heavy metals reveal no clear trends for Cr, Cu, Zn, Pb, and Cd at either station, while Hg exhibits greater variability. At J4, the As content decreased upward, and TOC shows a slight but significant increase. The two core samples of 0–40 cm sediment type did not have a big change; with the sampling depth from the bottom to the top, the particle size, heavy metals, and TOC of the two samples performed, the M-K nonparametric test to determine whether there is a significant trend of change in the time series (Hamed and Ramachandra, 1998; Liang et al., 2019). The results of the M-K test confirm these trends: at J4, As decreases and TOC increases upward (P< 0.01). At J53, As increases upward significantly (P< 0.01), and particle size changes (sand increasing, silt and clay decreasing) are also significant (P< 0.05). Other heavy metals show no significant trends.
Comparative analysis demonstrates that As at station J4 decreases significantly upward, yet the surface sediments in the northern part of the ECS shelf still show higher As concentrations (Figure 5). In contrast, As at J53 station increased significantly upward, but the surface sediments in the southern part of the ECS shelf displayed relatively lower As levels. This pattern suggests spatial differences in As distribution: higher in the north and lower in the south. Possible reasons for this include distinct sediment source assemblages, different depositional environments shaped by varying water depths and depositional periods, and a north-to-south sediment transport pattern.
Combined with the distribution characteristics of heavy metals in surface sediments (Figure 2) and the relatively low sedimentation rates in sandy depositional regions (Niino and Emery, 1961; Li G., 2008), variations in heavy metal concentrations within the core profiles appear to be largely influenced by background lithogenic inputs. For example, the upward decrease in As at J4 may be linked to post-depositional remobilization under changing redox conditions, which can enhance As release from sediments. In contrast, the upward increase in As at J53 likely reflects either enhanced preservation of more recent anthropogenic inputs under slightly higher sedimentation rates or redistribution by biological mixing. Similarly, fluctuations in other elements may be driven by a combination of sediment texture, diagenetic processes, and localized depositional dynamics. Nonetheless, a more comprehensive mechanistic interpretation requires additional sampling stations with precise chronological data, direct measurements of redox conditions, and assessments of biological activity, which is acknowledged as a limitation of the present study.
3.5 Significance of heavy metal characteristics for sedimentation in the study area
The 2-3Φ (0.25–0.125 mm) particles are the dominant component in the two sediment cores. The fine-grained fraction (silt and clay, >4Φ) shows little variation among the grain sizes (Figure 6), which indicates that although the sediments are primarily coarse-grained (sand), they also contain significant fine-grained constituents, displaying multi-source or multi-phase depositional processes. The cumulative frequency curves of the sediments are dominated by the saltation and suspension groups. Saltation describes the movement of sediment particles in short, intermittent hops along the seabed, driven by hydrodynamic forces, and represents a transport mode between rolling traction and full suspension. The saltation group can be further divided into two segments, the first one is more significant and the second one weaker, with a cutoff point near 2.5Φ. This pattern comparable to the Late Pleistocene deltaic residual sandy sediments in the outer underwater delta of the Yangtze River (Zhuang et al., 2005). The main body was deposited during a low sea-level stage (Niino and Emery, 1961; Wang et al., 2020), but subsequently experienced re-suspension and re-sedimentation under the action of tidal currents and waves during sea-level rise (Li et al., 2014; Wang et al., 2020). As a result, the sediments become coarser upward in the cores by amalgamation, with sand content increasing and silt and clay content decreasing (Figure 5).
 
  Figure 6. Grain-size distribution of core sediments in the study area: (A) frequency curves (%) showing dominant fine sand fractions and (B) cumulative frequency curves (%) highlighting overall fine-grained composition and sorting characteristics.
The results of correlation analysis showed that the seven heavy metal elements in two cores are positively correlated with median grain size (Md) and TOC, though the correlation coefficients are small. Stronger positive correlations were observed among Cr, Cu, Zn, Pb, and Cd, as well as between Hg and As, while correlations with other elements were weaker. The two cores collected from the northern and southern parts of the ECS shelf sandy sedimentary zones still show the influence of fine-grained sediments and organic matter on the heavy metals. This is similar to the modern ECS nearshore muddy sediments in which the heavy metal elements are controlled by the sediment grain size and the content of organic carbon (Hakanson, 1980; Zhao, 1983; Lin et al., 2002; Zhang et al., 2005; Liu et al., 2011), though the influence here is weaker.
The weaker influence is likely due to the remobilization of the sediments. Outer shelf sandy sediments underwent modification, during which some of the organic matter and fine-grained materials were transported away to other places, and heavy metals were re-migrated and redistributed. Consequently, the correlation between the heavy metal distribution, fine-grained material, and organic matter is reduced. It can be inferred that the heavy metals in the existing upper 40 cm of sediments mainly represent the residual parts of remodeled sandy deposits, explaining the generally stable elemental profile.
The Eastern outer shelf sandy zone is characterized by the Yangtze Shoal and its eastern sand mats in the north, and the most prominent feature in the south-central part of the area is its linear sand ridges (Liu, 1997; Wu et al., 2010). However, debates persist about the activity and sedimentation status of these areas since the last high sea level (ca. 7 ka B.P.) (Wang et al., 2020). Station J4, located in the north, has a water depth of about 45 m, and there are littoral currents and runoff from the Yangtze River into the sea in the vicinity suggests the possibility of modern land-based debris and heavy metal inputs. It has been suggested by some researchers that the Yangtze Shoal and the nearshore sand body of the Yellow Sea are modern tidal sand mat deposits, which are still active (Liu, 1997; Li J., 2008). This implies that the near-surface sediments are still being reworked. In contrast, the south-central shelf experiences weaker hydrodynamics. Here, terrestrial-sourced detritus with natural and anthropogenic heavy metals is largely confined to estuarine and inner-shelf muddy zones. Only limited amounts reach the outer shelf due to the blocking effect of the Taiwan Warm Current (TWC) (Deng et al., 2006; Zhang et al., 2019).
Our results indicate a notable difference between statistical patterns of surface sediments and those of deeper cores. Heavy metals, fine-grained sediments, and organic matter derived from modern terrestrial input and anthropogenic discharge have been transported to sandy shelf zones by littoral currents, cross-shelf suspension, and atmospheric deposition (Qin et al., 2011; Kim et al., 2018; Zhang et al., 2019). However, such inputs are confined mainly to near-surface sediments. As shown in (Figure 5), there is a distinct change in heavy metal concentrations in the top 4 cm compared with deeper layers, confirming recent depositional influence.
Sediment dating is essential for reliably interpreting the vertical variations of heavy metals in core samples, as it allows separation of natural background signals from more recent anthropogenic inputs. In marine and coastal environments, radionuclide dating techniques such as 210Pb and 137Cs are widely applied to reconstruct sedimentation rates and pollution histories over the past century. These methods provide chronological control by establishing sediment accumulation rates and identifying fallout signatures from historical nuclear events as time markers. Applying such techniques in future work on our study area would allow us to better constrain the timing of the observed vertical changes, such as the contrasting arsenic profiles at stations J4 and J53, and to more confidently link them to either natural diagenetic processes or anthropogenic activities.
4 Conclusions
(1) The concentrations of Cr, Cu, Zn, Pb, Hg, As, and Cd in the sandy sedimentary zone of the ECS shelf were averaged at 51.85, 16.95, 66.93, 21.32, 0.025, 5.58, and 0.083 (10−6), respectively. Spatially, heavy metal contents were elevated in the western nearshore region and slightly higher in the northeastern part of the area, while the central and southern sectors of the shelf exhibited relatively uniform and lower values. The similarity between surface and core samples suggests a broadly stable heavy metal regime across sedimentary layers. Overall, the sandy sediments of the ECS shelf remain relatively clean, with limited signs of acute contamination. Importantly, sediment grain size and organic matter content emerged as the primary factors influencing the distribution of heavy metal elements, underscoring the critical role of sedimentological control in geochemical cycling.
(2) Statistical analyses and enrichment factor assessments indicate that the majority of heavy metals are derived from terrestrial detritus transported with fine-grained particles during sedimentation. This natural supply dominates the geochemical background of the shelf. However, the distribution patterns of Hg, Cd, Pb, and As reveal additional influences from human activities, likely reflecting inputs from industrial discharge and riverine fluxes in recent decades. This dual signature of natural detrital input and anthropogenic disturbance highlights the ECS as a dynamic depositional system shaped by both long-term sedimentary processes and modern environmental pressures.
(3) Vertical profiles of the two cores revealed no consistent trends for Cr, Cu, Zn, Pb, and Cd, whereas Hg displayed notable variability and As exhibited a pronounced north-south gradient, with higher concentrations in the northern ECS shelf. These heterogeneous patterns suggest selective remobilization and redistribution of certain metals during post-depositional processes. The findings point to the necessity of integrating both spatial and stratigraphic perspectives in assessing shelf sediment quality and environmental risk.
(4) The combined evidence of sediment grain size, organic matter association, and heavy metal distribution indicates that the sandy outer shelf of the ECS has undergone post-depositional modification. Heavy metals have been re-migrated and redistributed, reflecting the influence of modern hydrodynamic activity and sedimentary reworking. These processes, together with continued anthropogenic inputs, are altering the geochemical characteristics of surface sediments. The study therefore provides new insights into the geochemical behavior of heavy metals in sandy shelf environments, an area less investigated compared to muddy depositional settings. This highlights the importance of considering sandy sedimentary zones when evaluating ecological risk, sediment transport pathways, and long-term environmental change in continental shelf systems.
Data availability statement
The original contributions presented in the study are included in the article/supplementary material, further inquiries can be directed to the corresponding author/s.
Author contributions
JL: Conceptualization, Data curation, Formal Analysis, Funding acquisition, Investigation, Methodology, Project administration, Resources, Software, Supervision, Validation, Visualization, Writing – original draft, Writing – review & editing.
Funding
The author(s) declare financial support was received for the research and/or publication of this article. This work was supported by Ningbo Marine Center Project Fund (Grant No.2337Y).
Acknowledgments
Jinduo Li: Thanks, are also extended to the crews of the RV Haijian 52 for their help and motivation.
Conflict of interest
The author declares that the research was conducted in the absence of any commercial or financial relationships that could be construed as a potential conflict of interest.
Generative AI statement
The author(s) declare that no Generative AI was used in the creation of this manuscript.
Any alternative text (alt text) provided alongside figures in this article has been generated by Frontiers with the support of artificial intelligence and reasonable efforts have been made to ensure accuracy, including review by the authors wherever possible. If you identify any issues, please contact us.
Publisher’s note
All claims expressed in this article are solely those of the authors and do not necessarily represent those of their affiliated organizations, or those of the publisher, the editors and the reviewers. Any product that may be evaluated in this article, or claim that may be made by its manufacturer, is not guaranteed or endorsed by the publisher.
References
Bartlett M. S. (1950). Tests of significance in factor analysis. Br. J. Stat. Psychol. 3, 77–85. doi: 10.1111/j.2044-8317.1950.tb00285.x
Chen B., Fang D., Li W., Wang L., Zhang X., Liu M., et al. (2014). Enrichment of heavy metals in the inner shelf mud of the East China Sea and its indication to human activity. Continental Shelf Res. 90, 163–169. doi: 10.1016/j.csr.2014.04.016
Deng B., Zhang J., and Wu Y. (2006). Recent sediment accumulation and carbon burial in the East China Sea. Global Biogeochemical Cycles 20, GB3014. doi: 10.1029/2005GB2559
Duan L., Song J., Yuan H., Li X., and Li N. (2013). Spatio-temporal distribution and environmental risk of arsenic in sediments of the East China Sea. Chem. Geology 340, 21–31. doi: 10.1016/chemgeo.2012.12.009
Gao J., Ma X., Dong G., Chen H., Liu Q., and Zang J. (2021). Investigation on the effects of Bragg reflection on harbor oscillations. Coast. Eng. 170, 103977. doi: 10.1016/j.coastaleng.2021.103977
Gao J., Ma X., Zang J., Dong G., Ma X., Zhu Y., et al. (2020). Numerical investigation of harbor oscillations induced by focused transient wave groups. Coast. Eng. 158, 103670. doi: 10.1016/j.coastaleng.2020.103670
Gao J., Shi H., Zang J., and Liu Y. (2023). Mechanism analysis on the mitigation of harbor resonance by periodic undulating topography. Ocean Eng. 281, 114923. doi: 10.1016/j.oceaneng.2023.114923
GB/T 12763-2007 (2007). The specifications for oceanographic survey (Beijing: China: Standard Press).
Guo J., Shi L., Chen S., Castelle B., Chang Y., and Cheng W. (2021). Sand–mud transition dynamics at embayed beaches during a typhoon season in eastern China. Mar. Geol. 441, 106633. doi: 10.1016/j.margeo.2021.106633
Guo H., Zhang S., Zhang S., and Lu X. (2017). Distribution and controls of heavy metals and organic matter in the surface sediments of the Southern Yellow Sea, China. Environ. Sci. pollut. Res. 24, 23069–23079. doi: 10.1007/s11356-017-9940-2
Hakanson L. (1980). An ecological risk index for aquatic pollution control: A sediment ecological approach. Water Res. 14, 975–1001. doi: 10.1016/0043-1354(80)90143-8
Hamed K. and Ramachandra R. (1998). A modified Mann-Kendall trend test for autocorrelated data. J. Hydrology 204, 182–196. doi: 10.1016/S0022-1694(97)00125-X
Jiang Z., Shi L., Guo J., and Zhang M. (2020). Storm response and recovery process after nourishment of Dongsha Beach, Zhujiajian Island, Zhejiang Province. J. Coast. Res. 95, 231–236. doi: 10.2112/SI95-045.1
Kaiser H. F. (1974). An index of factorial simplicity. Psychometrika 39, 31–36. doi: 10.1007/BF02291575
Kalnejais L. H., Martin W. R., Signell R. P., and Bothner M. H. (2007). Role of sediment resuspension in the remobilization of particulate-phase metals from coastal sediments. Environ. Sci. Technol. 41, 2282–2288. doi: 10.1021/es061770z
Kim J., Lim D., Jung D., Kang J., Jung H., Woo H., et al. (2018). Sedimentary mercury (Hg) in the marginal seas adjacent to Chinese high Hg emissions: Source-to-sink, mass inventory and accumulation history. Mar. pollut. Bull. 128, 428–437. doi: 10.1016/j.marpolbul.2018.01.058
Krzysztof L. and Danna W. (2003). Application of principal component analysis for the estimation of sources of heavy metal contamination in marine sediments from the Rybnik Reservoir. Chemosphere 51, 723–733. doi: 10.1016/S0045-6535(03)00187-5
Li G., Li P., Liu Y., Qiao L., Ma Y., Xu J., et al. (2014). Sedimentary system response to the global sea level change in the East China Seas since the last glacial maximum. Earth-Science Rev. 139, 390–405. doi: 10.1016/j.earscirev.2014.09.007
Li Y., Luo X., Fan Y., Pan J., and Cheng F. (2008). Bioavailability of cadmium in different fraction of sediment by Ruditapes Philippinarum. Ecol. Enviroment 17, 909–913. doi: 10.16258/j.cnki.1674-5906.2008.03.005
Liang J., Liu J., Xu G., and Chen B. (2019). Distribution and transportation of heavy metals in surface sediments of the Zhejiang nearshore area, East China Sea: Sedimentary environmental effects. Mar. pollut. Bull. 146, 542–551. doi: 10.1016/j.marpolbul.2019.07.001
Lin S., Hsieh I., Huang K., and Wang X. (2002). Influence of Yangtze River and grain size on the spatial variation of heavy metals and organic carbon in the East China Sea continental shelf sediments. Chem. Geology 182, 377–394. doi: 10.1016/s0009-2541(01)00331-x
Lin Y., Li Y., Zheng B., Yin X, Wang L, He J, et al. (2019). Impact of Typhoon Matmo (2014) on the distribution of heavy metals in Quanzhou Bay, China. Anthropocene Coasts 2, 209–228. doi: 10.1139/anc-2018-0006
Liu Z. (1997). Yangtze Shoal—a modern tidal sand sheet in the northwestern part of the East China Sea. Mar. Geology 137, 321–330. doi: 10.1016/S0025-3227(96)00026-6
Liu Z., Shi L., Guo J., Cai T., Wang X., and Xia X. (2024). Spatiotemporal changes and utilization intensity of the zhoushan archipelago coastline over four decades. J. Mar. Sci. Eng. 12, 2013. doi: 10.3390/jmse12112013
Liu S., Shi X., Liu Y., Zhu Z., Yang G., Zhu A., et al. (2011). Concentration distribution and assessment of heavy metals in sediments of mud area from inner continental shelf of the East China Sea. Environ. Earth Sci. 61, 567–579. doi: 10.1007/s12665-011-0941-z
Liu C., Xu J., Liu Y., Wang C., and Liu W. (2018). Contamination level, chemical fraction and ecological risk of heavy metals in sediments from Daya Bay (DYB), South China Sea. Mar. pollut. Bull. 135, 518–525. doi: 10.1016/j.marpolbul.2018.01
Liu J., Yin P., Chen B., and Zhang Y. (2019). Spatial distribution and ecological risk assessment of heavy metals in surface sediments of the Yangtze River Estuary and East China Sea shelf. Environ. pollut. 245, 111–121. doi: 10.1016/j.envpol.2018.10.103
Lu J., Li A., and Huang P. (2017). Distribution, sources and contamination assessment of heavy metals in surface sediments of the South Yellow Sea and northern part of the East China Sea. Mar. pollut. Bull. 124, 470–479. doi: 10.1016/j.marpolbul.2017.07.007
Mi B., Lan X., Zhang Z., and Liu S. (2013). Distribution of heavy metals in surface sediments off Yangtze River Estuary and environmental quality assessment. Mar. Geology&Quaternary Geology 33, 47–53. doi: 10.3724/SP.J.1140.2013.06047
Niino H. and Emery K. O. (1961). Sediments of shallow portions of East China Sea and South China Sea. Geological Soc. Am. Bull. 72, 731–762. doi: 10.1130/0016-7606(1961)72[731:SOSPOE]2.0.CO;2
Qin X., Cheng X., and Liu F. (2011). Source and air-sea fluxes of heavy metals in the atmospheric particles of East China Sea. Environ. Sci. 32, 2193–2196.
Roberts D. A. (2012). Causes and ecological effects of resuspended contaminated sediments (RCS) in marine environments. Environ. Int. 40, 230–243. doi: 10.1016/j.envint.2011.11.013
Seo J. Y., Choi B.-J., Choi S. M., Ryu J., and Ha H. K. (2024). Contribution of coastal seiches to sediment transport in a microtidal semi-enclosed bay. Front. Mar. Sci. 11. doi: 10.3389/fmars.2024.1392435
Shu F., Cai F., Qi H., Liu J., Lei G., and Zheng J. (2019). Morphodynamics of an artificial cobble beach in Tianquan Bay, Xiamen, China. J. Ocean Univ. China 18, 868–882. doi: 10.1007/s11802-019-3860-3
Wang Q., Huang X., and Zhang Y. (2023). Heavy metals and their ecological risk assessment in surface sediments of the Changjiang River Estuary and contiguous East China Sea. Sustainability 15, 4323. doi: 10.3390/su15054323
Wang Z., Lu K., Wen Z., Zhang Z., Li R., Mei X., et al. (2020). Grain size compositions and their influencing factors of the surface sediments in Eastern China Seas. Earth Sci. 45, 2709–2721. doi: 10.3799/qdkx.2020.028
Wang J., Ma D., Bao Y., Liu G., and Liu J. (2003). Evaluation on sediment quality in Yellow Sea and East China Sea. Mar. Environ. Sci. 22, 21–24.
Wang X., Yang Z., Chen Z., and Sun Q. (2003). Environmental assessment of heavy metal pollution in surface sediments of the Bohai Sea. Mar. Environ. Sci. 22, 1–5.
Wu Z., Jin X., Cao Z., Li J., Zheng Y., and Shang J. (2010). Distribution, formation and evolution of sand ridges on the East China Sea shelf. Sci. China: Earth Sci. 53, 101–112. doi: 10.1007/s11430-009-0190-0
Xiao X., Li Y., Shu F., Wang L., He J., Zou X., et al. (2022). Coupling relationship of human activity and geographical environment in stage-specific development of urban coastal zone: A case study of quanzhou bay, China (1954–2020). Front. Mar. Sci. 8. doi: 10.3389/fmars.2021.781910
Xu F., Hu B., Yuan S., Zhao Y., Dou Y., Jiang Z., et al. (2018a). Heavy metals in surface sedim0065nts of the continental shelf of the South Yellow Sea and East China Sea: Sources, distribution and contamination. Catena 160, 194–200. doi: 10.1016/j.catena.2017.09.022
Xu F., Hu B., Yuan S., Zhao Y., Dou Y., Jiang Z., et al. (2018b). Heavy metals in surface sediments of the continental shelf of the South Yellow Sea and East China Sea: Sources, distribution and contamination. Catena 160, 194–200. doi: 10.1016/j.catena.2017.09.022
Xu F., Tian X., Yin F., Zhao Y, and Yin X. (2016). Heavy metals in the surface sediments of the northern portion of the South China Sea shelf: distribution, contamination, and sources. Environ. Sci. pollut. Res. 23, 8940–8950. doi: 10.1007/s11356-016-6151-1
Y Y., Song J., Li X., Yuan H., and Li N. (2013). Fractionation, sources and budgets of potential harmful elements in surface sediments of the East China Sea. Mar. pollut. Bull. 68, 157–167. doi: 10.1016/j.marpolbul.2012.11.043
Zhang W., Feng H., Chang J., Qu J., Xie H., and Yu L. (2009). Heavy metal contamination in surface sediments of the Yangtze Estuary: an assessment from different indexes. Mar. pollut. Bull. 58, 624–631. doi: 10.1016/j.marpolbul.2008.11.003
Zhang Z., Li S., Dong Y., Wang Q., Xiao F., and Lu J. (2005). Deposition rate and chemical characters of sediments in Zhejiang offshore. Mar. Geology &Quaternary Geology 25, 15–24. doi: 10.16562/j.cnki.0256-1492.2005.03.003
Zhang K., Li A., Huang P., Lu J., Liu X., and Zhang J. (2019). Sedimentary responses to the cross-shelf transport of terrigenous material on the East China Sea continental shelf. Sedimentary Geology 384, 50–59. doi: 10.1016/j.sedgeo.2019.03.006
Zhao Y. (1983). Some geochemical patterns of shelf sediments of the China seas. Scientia Geologica Sin. 4, 307–314.
Zhao Y. and Yan M. (1993). Chemical element abundances of sediments in China’s shallow seas. Sci. China (Series B) 23, 1084–1090. doi: 10.1360/yb1993-23-10-1084
Keywords: heavy metals, sandy sediments, geochemical characteristics, grain size distribution, anthropogenic impact, East China Sea shelf
Citation: Li J (2025) Natural and anthropogenic controls on heavy metal distribution in East China Sea sediments. Front. Mar. Sci. 12:1689901. doi: 10.3389/fmars.2025.1689901
Received: 21 August 2025; Accepted: 09 October 2025;
Published: 23 October 2025.
Edited by:
Nicolò Colombani, Marche Polytechnic University, ItalyReviewed by:
Junliang Gao, Jiangsu University of Science and Technology, ChinaLuigi Alessandrino, University of Campania Luigi Vanvitelli, Italy
Copyright © 2025 Li. This is an open-access article distributed under the terms of the Creative Commons Attribution License (CC BY). The use, distribution or reproduction in other forums is permitted, provided the original author(s) and the copyright owner(s) are credited and that the original publication in this journal is cited, in accordance with accepted academic practice. No use, distribution or reproduction is permitted which does not comply with these terms.
*Correspondence: Jinduo Li, bmJjaHMyMDExQDE2My5jb20=
