ORIGINAL RESEARCH article
Front. Mar. Sci.
Sec. Ocean Observation
This article is part of the Research TopicAdvanced Monitoring, Modelling, and Analysis of Coastal Environments and EcosystemsView all 37 articles
Sediment dynamics in shallow water under wave-current interaction: a case study of Haiyang Beach
Provisionally accepted- 1Ningde Marine Center, Ministry of Natural Resources, Ningde, China
- 2Ocean University of China College of Marine Geosciences, Qingdao, China
- 3Shandong Academy for Environmental Planning, Jinan, China
- 4First Institute of Oceanography Ministry of Natural Resources, Qingdao, China
Select one of your emails
You have multiple emails registered with Frontiers:
Notify me on publication
Please enter your email address:
If you already have an account, please login
You don't have a Frontiers account ? You can register here
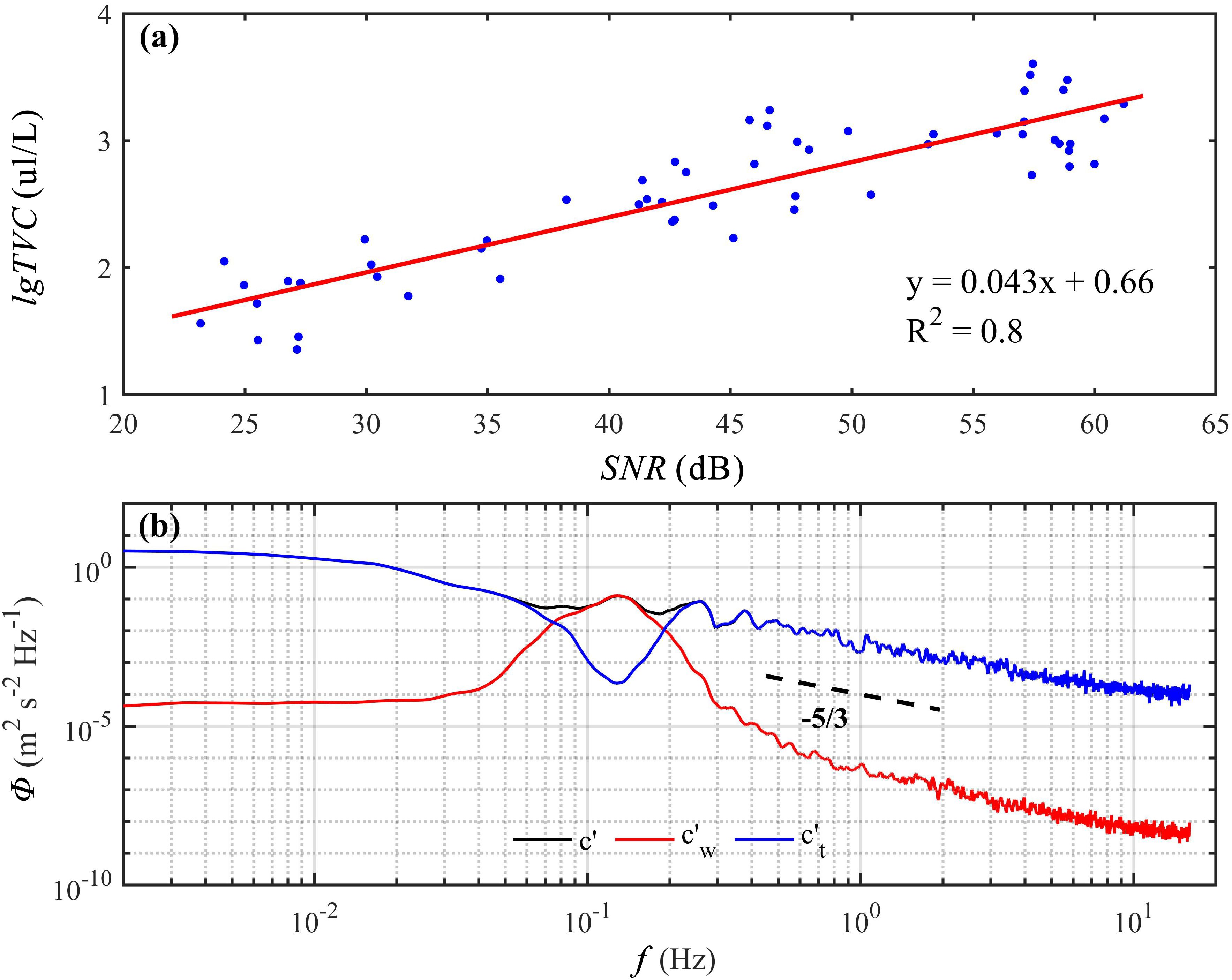
As a critical interface in coastal systems, the intertidal zone presents complex sediment dynamics, yet the precise mechanisms governing resuspension and transport under combined wave-current interactions are not fully resolved. Utilize a comprehensive observation system that incorporates both acoustic and optical equipment, we captured concurrent hydrodynamic and sediment data across a full tidal cycle. By applying wave-turbulence decomposition, we successfully isolated the distinct contributions of various forcing mechanisms. Our results unequivocally demonstrate that turbulence is the primary driver of sediment resuspension, superseding the effects of direct wave orbital motion and mean current shear, as confirmed through both regression and wavelet analyses. Moreover, we distinguish between local and net processes: while resuspension is a locally forced phenomenon, net sediment transport is governed by the mean flow. During our observations, the net cross-shore transport was persistently offshore, driven by the combination of ebb tidal currents and wave-induced undertow. Ultimately, these findings challenge the paradigm of wave-dominated sediment processes on tidal flats, underscoring the pivotal role of turbulence in modulating sediment dynamics and offering a more refined perspective on the local sediment budget.
Keywords: Intertidal zone, Wave-current interaction, Wave orbital motion, Sediment dynamics, sediment resuspension
Received: 09 Sep 2025; Accepted: 05 Nov 2025.
Copyright: © 2025 Yu, Sun, Liu, QIAO and Yongzhi. This is an open-access article distributed under the terms of the Creative Commons Attribution License (CC BY). The use, distribution or reproduction in other forums is permitted, provided the original author(s) or licensor are credited and that the original publication in this journal is cited, in accordance with accepted academic practice. No use, distribution or reproduction is permitted which does not comply with these terms.
* Correspondence: Wang Yongzhi, wangyongzhi@fio.org.cn
Disclaimer: All claims expressed in this article are solely those of the authors and do not necessarily represent those of their affiliated organizations, or those of the publisher, the editors and the reviewers. Any product that may be evaluated in this article or claim that may be made by its manufacturer is not guaranteed or endorsed by the publisher.
