Abstract
Ship emission supervision is an important component of the development of green shipping. During the implementation of policies in the pollutant emission control areas of ships, in response to the bottlenecks in regulatory manpower, technology, and cost, a tripartite evolutionary game model was constructed between maritime authorities, shipping companies, and third-party technical service agencies. The evolutionary stability of each participant’s strategy selection was analyzed, and the impact of each factor on the choice of the tripartite strategy was explored. Furthermore, the stability of the equilibrium point in the tripartite game system was analyzed. The research results indicate that the strategic choices of three parties in the ship emission monitoring system show a high degree of correlation and dynamic evolution. Enhancing the level of rewards and punishments by maritime authorities can help promote the introduction of emission reduction technologies by shipping companies and the standardized behavior of third-party technical service agencies refusing rent-seeking; however, increasing the intensity of rewards will not be conducive to the maritime authorities fulfilling their regulatory responsibilities. The maritime authorities must establish a reasonable reward and punishment mechanism that meets the condition that the sum of rewards and punishments for all parties is greater than their speculative gains in order to ensure the supply of “active emission reduction” projects in an evolving and stable market environment. The possibility of third-party technical service agencies providing fair services is constrained by various factors. The administrative accountability of maritime authorities for the dereliction of duty by higher-level governments is of great significance in enhancing the robustness of shipping companies’ proactive emission reduction efforts. Improving the operational revenue of shipping companies’ proactive emission reduction and increasing the cost of their willingness to flexibly seek cooperation are also effective ways to avoid their passive coping. Therefore, it is suggested that the local government should promote the monitoring and supervision of ship emissions from four aspects: strengthening resource investment in marine monitoring and supervision, upgrading monitoring and supervision technology in ship air pollutant emission control areas, establishing a long-term incentive mechanism for the green development of shipping companies, and actively establishing a dynamic performance evaluation mechanism involving multiple stakeholders.
1 Introduction
As one of the most important modes of transportation in international trade, the shipping industry accounts for over 80% of global trade volume. According to the International Maritime Organization (IMO), the global shipping industry emits approximately 1 billion tons of carbon dioxide annually, accounting for 3% of the total global carbon emissions (Zhao et al., 2025). Against the backdrop of the global economic development model shifting from a “high carbon economy” to a “low-carbon economy”, research on energy conservation and emission reduction in the field of waterway transportation has received increasing attention (Jia and Wang, 2023). The IMO has proposed emission reduction targets in the “Strategy for Reducing Greenhouse Gas Emissions from Ships” (revised 2023); by 2030, the global shipping industry’s greenhouse gas emissions will be reduced by at least 20% compared to that in 2008, and efforts will be made to achieve a 30% reduction target; by 2040, it will reduce emissions by at least 70%, strive to achieve the 80% reduction target, and achieve zero net emissions by around 2025 ultimately (Bilgil and Ölçer, 2024). In order to achieve the goals of the IMO, countries and regions have formulated localized management requirements for ships docked at their ports; for example, on January 1, 2025, the “FuelEU Maritime (EU)” officially came into effect, forming a dual supervision with the Emissions Trading System (EU ETS) that was implemented in January 2024 and setting a clear red line for carbon emissions in the global shipping industry (Xue, 2025). According to Article 14 of Annex VI and the amendments to Appendix VII of the MARPOL Convention, starting on May 1, 2025, ships must use fuel with a sulfur content of 0.10% m/m or an Exhaust Gas Cleaning System (EGCS) when passing through the Mediterranean emission control area. Starting in 2020, the Chinese Ministry of Transport authorized local maritime authorities to establish emission control areas for ships, covering all 12 nautical miles of the baseline of the territorial sea and key sea areas such as the Bohai Sea, Yangtze River Delta, and Pearl River Delta (partially extended to 100 nautical miles), as well as inland waterways such as the Yangtze River and Xijiang River. The maritime regulatory authorities of various governments strictly manage using methods such as fuel sampling and testing, remote sensing monitoring of exhaust emissions, and verification of fuel records, aiming to reduce the emissions of sulfur oxides, nitrogen oxides, and particulate matter from ships. The policy implementation process involves multiple stakeholders.
At present, in the emission control areas, the regulation of ship emissions mainly relies on a linear game of “regulatory party (maritime department)-regulated party (ship operating entity)”, and its effectiveness is subject to multiple constraints. From the perspective of regulatory authorities, the maritime authorities have always faced a triple bottleneck of manpower, technology, and cost (Li, 2021). In terms of manpower bottlenecks, maritime authorities generally face a serious imbalance between the number of law enforcement personnel and the workload. At the same time, law enforcement personnel tend to focus on ship safety inspections, have insufficient mastery of on-site detection technology for pollutant emissions, and lack cross-regional coordination mechanisms, further weakening the efficiency of regulatory coverage. In terms of technological bottlenecks, the coverage of traditional manual sampling and laboratory analysis is limited, the sampling ratio is seriously insufficient, the testing cost is high, and the cycle is long, which can easily cause resistance from enterprises. Although intelligent technologies such as satellite monitoring and drones have potential, their practical application effects are limited due to insufficient signal coverage, high equipment costs, and the risk of data misjudgment (Kose and Sekban, 2022). In terms of cost bottlenecks, continuous investment in manpower and material resources is needed for ship emission regulation, but financial support is limited, which can easily lead to high enforcement costs and resource allocation conflicts. At the same time, there is an imbalance between long-term benefits and short-term investment, and some port pollution receiving facilities are “built but not used”, making it difficult to achieve regulatory goals. It is necessary to promote the transformation of regulatory models by introducing third-party technology supply, optimizing cost-sharing mechanisms, and introducing market incentives. In addition, from the perspective of the regulated party, there is a common deviation in the implementation of the “polluter pays principle” among ship operators; that is, due to their small scale and weak management, they are more inclined to reduce operating costs through illegal discharge, leading to the widespread phenomenon of “rational illegality”. In short, the limitation of this “bilateral game” is that the strategic choices of regulators and regulated parties exhibit asymmetry. Regulatory authorities need to balance law enforcement costs and pollution control effectiveness, while regulated parties form stable strategies based on cost–benefit analysis. In addition, the externalities of ship emissions further weaken regulatory effectiveness, with private costs of pollution being borne by enterprises, while social costs such as health damage and ecological restoration are borne by the public, creating a dual dilemma of market failure and government failure.
The purpose of this study was to involve more entities in the game analysis of ship emission regulation in order to break through the simplified assumptions of traditional dual subject models, achieve more accurate evaluation of dynamic interactions and non-linear relationships between parties in complex systems, and enhance theoretical explanatory power to provide scientific basis for government departments to promote the transformation of ship emission governance toward diversified joint governance, optimize regulatory strategies, and improve governance efficiency. The subsequent content of this article is arranged as follows: Section 2 conducts a literature review. Section 3 constructs a tripartite evolutionary game model covering maritime authorities, shipping companies, and third-party technical service agencies to analyze the stability of each party’s strategy selection, the stability of the equilibrium strategy combination in the game system, and the influence relationship of each element. Section 5 verifies the effectiveness of the analysis conclusions through simulation analysis. Section 6 presents the conclusions and proposes relevant suggestions for ship emission supervision based on the influence relationship and stable conditions of various factors.
2 Literature review
2.1 Inducing factors for energy-saving technology innovation in enterprises
The innovation of energy-saving technology in enterprises, as the core driving force for promoting green transformation and sustainable development, has become a hot research topic in academia due to its triggering mechanism. Existing research mainly focuses on three dimensions, including energy prices, policy regulations, and technological path dependence, revealing the innovation-driven logic under the interweaving of external pressures and internal driving forces. First, the fluctuation of energy prices is regarded as a direct incentive for enterprises to improve their energy-saving technologies. When energy costs rise, companies will actively seek technological upgrades to improve energy utilization efficiency in order to reduce operating costs (Sun et al., 2018; Zhang and Ding, 2018). The higher the market share of enterprises adopting existing energy-saving technologies, the greater the probability of improving energy-saving technologies. This cost-driven innovation behavior has significant market orientation, and its technological path often focuses on short-term, feasible, energy-saving solutions rather than disruptive technological breakthroughs (Zheng et al., 2019). Second, by increasing the intensity of environmental regulations, the government can help enterprises improve and innovate their energy-saving technologies. For example, by setting mandatory energy efficiency standards, companies are forced to eliminate outdated production capacity and adopt advanced energy-saving technologies (Kroes et al., 2012). By implementing a carbon emission pricing mechanism, enterprises can be incentivized to develop low-carbon technologies, allocate carbon emission rights to sectors with the minimum marginal cost of emission reduction, and achieve maximum economic benefits of emission reduction. Subsidies and tax incentives can be combined to reduce innovation risks for enterprises and promote the research and commercialization of energy-saving technologies (Cao et al., 2013; Chen and Zhang, 2019). Third, the progress of energy-saving technology may still have path dependence. Aghion et al. found through their research on innovation in “clean” and “pollution” technologies that enterprise technology accumulation has a historical inertia. For example, enterprises that have long relied on fossil energy technologies tend to optimize existing technologies rather than shift to clean energy in their innovation activities. However, the rise in energy prices will break this inertia. When the cost of traditional energy exceeds the cost of clean technology conversion, enterprises will actively adjust their research and development direction and promote technological trajectory leaps (Aghion et al., 2016).
2.2 The correlation between carbon reduction issues of shipping companies and government actions
Some studies have incorporated government regulatory actions into the carbon reduction analysis framework of shipping companies, aiming to scientifically design policy tool combinations, optimize their implementation mechanisms, and promote the low-carbon transformation of shipping companies. For decision-makers, carbon pricing is widely regarded as one of the core tools for the shipping industry to achieve carbon reduction targets. However, a single carbon pricing tool may face implementation resistance due to the international nature of the shipping industry and the sensitivity of fuel costs. Therefore, it is necessary to establish a policy system that coordinates incentives and constraints, such as combining ship speed optimization incentive plans, research and development subsidies for cutting-edge green energy technologies, low-carbon extension of sulfur emission regulations, and other incentive policies (Zhuge et al., 2021). At the same time, supporting punishment mechanisms, such as imposing fines on non-compliant enterprises, restricting high-emission ships from entering emission control zones, or setting industry emission limits through carbon quota trading mechanisms, can significantly enhance the emission reduction effect of policy combinations (Zhao et al., 2019). At the same time, when formulating emission reduction policies, government departments need to aim to minimize fiscal expenditures and dynamically adjust the combination of policy tools. Some scholars have proposed a joint optimization model based on taxation and subsidies to levy carbon taxes on high-carbon fuels or emission behaviors and to use tax revenue to subsidize low-carbon technologies or vulnerable groups. Using technologies such as Automatic Identification System (AIS) and fuel consumption monitoring, the carbon dioxide emissions of a single ship can be accurately estimated. Subsidies can be allocated differentially based on the emission reduction potential of shipping companies to avoid resource mismatch (Chen et al., 2020; Tanaka and Okada, 2019; Zhou et al., 2022). Some scholars have explored the market failure of incentive constraint policy combinations. For example, Liu Yi believed that when government incentive measures reach a certain level, increasing incentive measures will not directly affect the carbon reduction enthusiasm of shipping companies (Liu and Bu, 2023). Xinli Qi et al. believed that government reward and punishment mechanisms and differentiated port charging policies play a decisive role in emission control, but high technological costs can weaken the enthusiasm of shipping companies and may lead the government to shift to passive regulation due to regulatory costs and slow market response (Qi et al., 2025).
2.3 The emission reduction game and strategic interaction between the government and port enterprises
Regarding the emission reduction of port enterprises, scholars have constructed interactive models between the government, shipping companies, ports, and shippers from multiple dimensions through game theory methods, revealing the impact mechanism of different regulatory strategies on emission reduction decisions.
From the perspective of policy-making, the design of government regulatory strategies can be based on a dual logic: 1) the mandatory emission reduction path, which directly intervenes through administrative measures such as setting carbon emission limits or quota constraints; 2) the path of value co-creation, emphasizing that the government and shipping companies achieve emission reduction goals through mechanisms such as technological cooperation and revenue sharing. Based on this, many researchers have attempted to construct evolutionary game models that include policy variables and corporate strategies to dynamically simulate the long-term impact of regulatory policies on shipping companies’ emission reduction decisions (Xu and Meng, 2019; Gao and Gao, 2022).
Targeting the shipping companies, Lang Xu et al. studied the interaction mechanism of tripartite behavioral strategy selection among the upstream and downstream governments and shipping companies in neighboring provinces, and they analyzed the impact of government regulatory policies on carbon reduction measures of shipping companies (Xu et al., 2021). Dan Zhuge et al. innovatively designed a sequential game model with a dual-layer subsidy structure and verified the significant effect of speed optimization measures on carbon emission reduction by analyzing the interaction between government ship deceleration incentive policies and enterprise response strategies (Zhuge et al., 2020). Haiying Zhou et al. constructed a multi-party game framework covering ports, shipping companies, and shippers from the perspective of supply chain integration, revealing the optimization effect of vertical collaboration on emission reduction cost sharing and benefit improvement (Zhou et al., 2022). In addition, Lingpeng Meng et al. applied differential game theory to analyze the dynamic interaction between the government and shipping companies. By constructing a continuous-time decision model, they clarified the impact mechanism of regulatory policy adjustment frequency on the timing of corporate emission reduction investment (Meng et al., 2022).
As an analytical tool, game theory has demonstrated unique value in the field of carbon reduction in shipping. By depicting the strategic interactions and equilibrium evolution of multiple parties, it provides not only a theoretical basis for policy design but also methodological support for understanding emission reduction decision-making mechanisms in complex systems.
The above research results provide a reference for a deeper understanding and effective management of carbon emissions from shipping companies’ ships, but there are still some areas that need to be improved. First, in the study of the evolutionary game between shipping companies and governments, there are relatively few cases where third-party technical service agencies as an important player in the game are included in the research. As the supplier of carbon emission technology services for waterways, the participation behavior and decision-making preferences of third-party technical service agencies have an undeniable impact on the management strategies of shipping companies and maritime authorities. Ignoring this perspective may lead to deviations between research results and actual situations. Second, most studies focus on the impact of government behavior strategies on carbon emissions of shipping companies, with relatively insufficient attention paid to the market’s self-regulation role. The market mechanism has a subtle yet profound and lasting impact on the behavior of shipping companies through factors such as price signals and supply and demand relationships. The strategy choices of multiple participants involved in ship carbon emission activities are not isolated, but interact and influence each other, and will constantly change over time.
In summary, compared with previous scholars’ research, the main contributions of this paper are as follows: first, this paper considered the flexible collusion behavior between shipping companies and third-party technical service agencies and constructed a tripartite evolutionary game model between shipping companies, third-party technical service agencies, and maritime authorities. Second, it conducted stability analysis on the equilibrium points of pure strategies for replicating dynamic systems using the Lyapunov method and obtained evolutionary stable strategy combinations under different conditions. Finally, it conducted simulation analysis using MATLAB to verify the effectiveness of the model analysis under different initial conditions.
3 Model assumptions and construction
The logical relationship among the three parties involved in the evolutionary game constructed in this article is shown in Figure 1. Among them, the maritime authorities establish game rules through policy setting and reward and punishment measures, supervise and verify to ensure implementation, and collaborate to expand influence. Shipping companies need to dynamically adjust their strategies in balancing technological transformation, carbon reduction, and cost while responding to regulatory and customer demands through carbon disclosure and market response. As the technical support provider, third-party technical service organizations ensure fairness in the game through carbon testing certification and data platform, empower technical consulting, and promote industry innovation through standard research and development.
Figure 1

Logical relationship diagram of the tripartite evolutionary game model.
3.1 Model assumptions
3.1.1 Assumption 1
Shipping companies are participant 1, third-party technical service agencies are participant 2, and maritime authorities are participant 3. All three parties are bounded rational participants, and the strategy selection gradually evolves and stabilizes at the optimal strategy over time.
3.1.2 Assumption 2
The strategic space of shipping companies is (proactive emission reduction, passive coping). “Active emission reduction” refers to shipping companies actively investing in energy-saving technologies, optimizing routes, training crew members in energy-saving operations, and actively meeting regulatory requirements in order to obtain policy incentives such as subsidies, priority passage rights, or market premiums such as green shipping certification; however, they need to bear the initial technical costs. “Passive coping” refers to their minimal modifications that are only carried out under regulatory pressure from maritime authorities, such as installing simple monitoring equipment, temporarily purchasing carbon quotas, or tampering with data. The probability of choosing for shipping companies is , and the probability of choosing is , .
The strategic space of third-party technical service agencies is (fair service, flexible collusion). “Fair service” refers to third-party technical service agencies strictly conducting carbon emission accounting and equipment calibration according to standards, rejecting data tampering requests, and promoting industry technical standardization. “Flexible collusion” refers to providing “compliance optimization” advice to shipping companies, such as using policy loopholes to reduce reported emissions, assisting in data falsification, or monopolizing key technologies. It expands market share by meeting the short-term needs of shipping companies, but it damages data authenticity and triggers regulatory risks. The probability of choosing for third-party technical service agencies is , and the probability of choosing is , .
The strategic space of maritime authorities is (strict supervision, relaxed supervision). “Strict supervision” refers to maritime management departments’ high-intensity law enforcement; cooperation with subsidies, tax reductions, or carbon trading markets; forcing enterprises to reduce emissions; frequently verifying carbon emission data; and severely punishing excessive emission behaviors, such as high fines, navigation restrictions, and mandatory elimination of high emission ships, which may increase the compliance costs of shipping companies. “Relaxed supervision” refers to maritime management departments reducing the frequency of inspections, lowering the severity of penalties, and relying on voluntary emission reduction by enterprises. It reduces the short-term economic pressure on shipping companies to reduce emissions, but overly relying on the willingness of enterprises themselves may affect the progress of emission reduction. The probability of choosing for maritime management departments is , and the probability of choosing is , .
3.1.3 Assumption 3
The operational revenue generated by shipping companies is defined as . The management cost for energy-saving equipment renovation and crew training is defined as . The management cost generated by passive coping is defined as ; at the same time, the additional reverse procurement of technical service projects from third-party technical service agencies with rent-seeking intentions is required to obtain testing approval. The cost of reverse support is . Among them, , , , and then passive coping by shipping companies will also generate speculative costs, such as emergency technical renovation costs incurred from passive remediation and management resource waste caused by frequent policy adaptation, which are recorded as .
3.1.4 Assumption 4
Under the overall management framework, shipping companies can only continue to operate after passing the inspection of third-party technical service agencies. The third-party technical service agencies will provide fair services with a profit of . If they intend to rent and reach a psychological understanding with shipping companies to help them pass the inspection and obtain operational qualifications, they will need to bear a certain speculative cost of , such as the expenses incurred by forging or exaggerating most indicators and issuing false reports when promoting project inspections.
3.1.5 Assumption 5
When the maritime authorities strictly supervise, if the testing projects of shipping companies fail to achieve the expected goals, corresponding punishments will be given to shipping companies and third-party technical service agencies that intend to rent. The punishment levels are defined as and , such as administrative penalties, economic sanctions, credit penalties, and qualification restrictions. If the expected goals are achieved, necessary rewards and subsidies will be given to both parties, with the levels determined as and , such as providing necessary policy incentives, subsidy support, honor recognition, and industry empowerment. When the maritime authorities relaxed supervision, it was unable to accurately obtain the strategic choice information of the other two entities, so no rewards or punishments were given. The cost of strict supervision by the maritime authorities is .
3.1.6 Assumption 6
The social benefits obtained by shipping companies choosing proactive emission reduction are set as , including environmental protection, technological innovation and industrial upgrading, and brand image and competitiveness enhancement. On the contrary, when passively coping and reaching rent-seeking agreements with third-party technical service agencies, a vicious cycle of “data falsification–regulatory failure–environmental degradation” will be formed, including companies bribing testing agencies to falsify emission data, avoiding environmental investment and technological upgrades, which results in in real pollution emissions far exceeding regulatory standards, exacerbating air pollution and climate change, etc. Third-party technology service agencies have lost their independence, become tools for transferring benefits, disrupted the fair competition environment in the market, and hindered green technology innovation and industrial upgrading. In order to compensate for the loss of credibility caused by the damage to government regulatory authority, maritime authorities must curb it by strengthening full chain supervision, severely punishing data fraud, establishing transparent detection mechanisms, and other means to maintain the sustainable development and social equity of ship carbon emission work. The cost incurred during this period is defined as ; at the same time, it will be held accountable by the superior supervisory department, and the penalty level is defined as , .
The specific game parameters are shown in Table 1.
Table 1
| Parameter | Meaning |
|---|---|
| The operational revenue generated by shipping companies | |
| The management cost for energy-saving equipment renovation and crew training | |
| The management cost generated by passive coping | |
| The cost of reverse support | |
| The speculative cost generated by the passive coping of shipping companies | |
| Profit obtained from third-party technical service agencies providing fair services | |
| The speculative cost of third-party technical service agencies | |
| The level of penalties imposed by maritime authorities on shipping companies | |
| The level of penalties imposed by maritime authorities on third-party technical service agencies | |
| The level of rewards and subsidies imposed by maritime authorities on shipping companies | |
| The level of rewards and subsidies imposed by maritime authorities on third-party technical service agencies | |
| The cost of strict supervision by the maritime authorities | |
| The social benefits obtained by shipping companies choosing proactive emission reduction | |
| The cost of compensating for the loss of credibility caused by the damage to government regulatory authority | |
| The penalty level set by the superior supervisory department for accountability |
Parameters and meanings related to the tripartite evolutionary game of the ship emission supervision system.
3.2 Model construction
Based on the above assumptions and parameter settings, a mixed-strategy game matrix is shown in Table 2 (Xu et al., 2024).
Table 2
| Shipping company’s strategy | Third-party technical service agency’s strategy | Maritime authority’s strategy | Shipping company’s benefit | Third-party technical service agency’s benefit | Maritime authority’s benefit |
|---|---|---|---|---|---|
| Proactive emission reduction | Fair service | Strict supervision | |||
| Relaxed supervision | |||||
| Flexible collusion | Strict supervision | ||||
| Relaxed supervision | |||||
| Passive coping | Fair service | Strict supervision | |||
| Relaxed supervision | |||||
| Flexible collusion | Strict supervision | ||||
| Relaxed supervision |
Mixed-strategy game matrix of three parties.
Assuming that the benefits and costs of each entity are all positive.
4 Model analysis
4.1 Analysis of strategic stability in shipping companies
According to the mixed-strategy game matrix, the expected benefits of proactive emission reduction by shipping companies can be expressed as Equation 1
The expected benefits of passive coping by shipping companies can be expressed as Equation 2
The average expected return of shipping companies can be expressed as Equation 3
The replication dynamic equation for shipping companies’ strategy selection can be expressed as Equation 4
The first derivative of and the set can be expressed as Equation 5
Among them, because , therefore .
If the probability of shipping companies choosing proactive emission reduction is in a stable state, it must meet and . When , the following situations can be obtained:
-
When , there is , and shipping companies cannot determine a stable strategy.
-
When , there is , , and the shipping companies determine an evolutionarily stable strategy (ESS).
-
When , there is , , and the shipping companies determine an ESS.
The phase diagram of strategy evolution in shipping companies is shown in Figure 2A. Among them, the x-, y-, and z-axis intervals are all [0, 1], with a total probability of 1. The shadow plane is a function of . When , is an ESS, and the arrow is pointing in the opposite direction of the x-axis.
Figure 2

(A) Phase diagram of strategic evolution for shipping companies. (B) Phase diagram of strategic evolution for third-party technical service agencies. (C) Phase diagram of strategic evolution for maritime authorities.
represents the passive coping by shipping companies, so the three-dimensional graphic area displayed by represents the probability of shipping companies choosing passive coping, and () represents the probability of shipping companies choosing proactive emission reduction, . can be expressed as Equation 6
4.1.1 Inference 1
In the process of evolution, the probability of shipping companies choosing proactive emission reduction increases with the increase in the probability of third-party fair services and strict supervision by maritime authorities. Increasing the probability of third-party fair services is beneficial for shipping companies to adopt proactive emission reduction as a stable strategy. Maritime authorities can not only improve the effectiveness of carbon emission work through strict supervision but also develop the fairness of third-party technical service agencies, such as enhancing their credibility and social responsibility, to fully leverage the regulatory effectiveness of social forces on ship carbon emission work and build a multi-party governance regulatory system.
Evidence: From the analysis of the stability of shipping companies strategies, when and , , is evolutionary equilibrium strategies, is evolutionary equilibrium strategies conversely. Therefore, as and gradually increase, the stability strategy of shipping companies increases from to .
4.1.2 Inference 2
The probability of shipping companies choosing proactive emission reduction is positively correlated with the operating income generated after proactive emission reduction; reverse support costs, the reward and punishment levels of maritime authorities, and speculative costs generated by passive coping; and is negatively correlated with the management costs saved by shipping companies through passive coping. When shipping companies decide whether to develop low-carbon technologies, they not only consider the research and development costs but also take into account the economic incentives and burdens brought by government policies, such as the difference between obtaining government subsidies and paying carbon taxes after technological iteration. The maritime authorities can not only reduce the passive coping behavior of shipping companies by enhancing rewards and punishments but also increase the speculative costs of shipping companies through indirect means such as transparent supervision, public opinion supervision, and market pressure, prompting companies to choose proactive emission reduction.
Evidence: According to the expression of , we can obtain Equation 7.
Both an increase in , , , and and a decrease in can increase the probability of shipping companies choosing proactive emission reduction.
4.2 Analysis of strategic stability in third-party technical service agencies
Referring to the previous ideas, the expected benefits of the fair service intended by the third-party technical service agencies can be expressed as Equation 8
The expected return of the fair service intended by third-party technical service agencies can be expressed as Equation 9
The average expected return
of third-party technical service agencies can be expressed as Equation 10:
The replication dynamic equation for the third-party technical service agencies’ strategy selection can be expressed as Equation 11
The first derivative of and the set can be expressed as Equation 12
Among them, because , therefore .
If the probability of third-party technical service agencies choosing fair service is in a stable state, it must meet and . When , the following three situations can be obtained:
-
When , there is , and the third-party technical service agencies cannot determine a stable strategy.
-
When , there is , , and the third-party technical service agencies determine an ESS.
-
When , there is , , the third-party technical service agencies determine an ESS.
The phase diagram of strategy evolution in third-party technical service agencies is shown in Figure 2B. The shadow plane is a function of . When , is an ESS, and the arrow is pointing in the opposite direction of the y-axis.
represents the flexible collusion intended by the third-party technical service agencies, so the three-dimensional graphic area displayed by represents the probability of choosing fair service as a stable intention, and () represents the probability of choosing the flexible collusion as a stable intention, . can be expressed as Equation 13
4.2.1 Inference 3
In the process of evolution, the strategic choices of shipping companies and maritime authorities will affect the stable strategic choices of third-party technical service agencies. Both the strict supervision of maritime authorities and the increased probability of proactive emission reduction by shipping companies can encourage third-party technical service agencies to choose to refuse flexible collusion as a stable strategy.
Evidence: When , , is evolutionary equilibrium strategies, and is evolutionary equilibrium strategies conversely. Therefore, as and gradually increase, the stability strategy of third-party technical service agencies increases from to .
4.2.2 Inference 4
The probability of its intention to provide fair services is negatively correlated with the benefits of reverse support projects and positively correlated with the reward amount for fair service behavior by maritime authorities, the punishment level for the flexible collusion of intentions, and the speculative costs of third-party technical service agencies themselves. It can be seen that when third-party technical service agencies choose flexible collusion strategies, the cooperation mode is often dominated by shipping companies choosing active emission reduction, and the overall benefits are long-term and public. The short-term and internal economic benefits reflected by third-party technical service agencies are relatively small, leading them to be more inclined to quickly share cooperation costs through short-term reverse project support and achieve maximum benefits. During this period, the maritime authorities should strengthen the strict supervision of third-party technical service providers by enhancing their cooperation awareness, expanding media disclosure, and increasing the punishment and speculative costs for their flexible collusion behavior in order to reduce their speculative behavior. At the same time, compensating and rewarding third-party technology service agencies based on emission reduction policies can also promote their active choice of fair services.
Evidence: According to the expression of , we can obtain Equation 14.
Both an increase in , , and and a decrease in can increase the probability of third-party technical service agencies intending to provide fair services.
4.3 Analysis of strategic stability in maritime authorities
The expected benefits of the strict supervision intended by the maritime authorities can be expressed as Equation 15
The expected benefits of the relaxed supervision intended by the maritime authorities can be expressed as Equation 16
The average expected return of maritime authorities can be expressed as Equation 17
The replication dynamic equation for maritime authorities’ strategy selection can be expressed as Equation 18
The first derivative of and the set can be expressed as Equation 19
Among them, because , therefore .
If the probability of maritime authorities choosing strict supervision is in a stable state, it must meet and . When , the following three situations can be obtained:
1. When Equation 20 holds,
there is , and maritime authorities cannot determine a stable strategy.
2. When , there is , , and the maritime authorities determine an ESS.
3. When , there is , , and the maritime authorities determine an ESS.
The phase diagram of strategy evolution in maritime authorities is shown in Figure 2C. The shadow plane is a function of . When , is an ESS, and the arrow is pointing in the opposite direction of the z-axis. represents the relaxed supervision intended by the maritime authorities; () and () respectively represent the probability of strict and relaxed supervision in the stable intention of maritime authorities; can be expressed as Equation 21
4.3.1 Inference 5
In the process of evolution, the probability of strict supervision by maritime authorities decreases as the probability of shipping companies actively reducing emissions or the willingness of third-party technical service agencies to provide fair services increases.
Evidence: According to the stability analysis of maritime authorities strategy, when , , and is evolutionary equilibrium strategies. As and gradually increase, the stability strategy of maritime authorities reduces from to .
4.3.2 Inference 6
The probability of strict supervision by maritime authorities is positively correlated with the corresponding punishment level given to shipping companies and third-party technical service agencies when the carbon emission management of ships fails to achieve the expected goals, as well as the level of administrative penalties for inadequate supervision by maritime authorities. It is negatively correlated with the reward level given to the other two entities by maritime authorities. It can be seen that regulatory administrative costs are still the foundation for maritime authorities to carry out their work, and sufficient financial support is necessary to ensure the implementation of relevant policies. However, excessive investment in supervision costs should be prevented from causing unnecessary resource waste. The higher the punishment level set by the maritime authority, the more it can promote strict supervision; the higher the reward level set, the less likely it is to strictly regulate. At the same time, due to the passive coping of shipping companies and the flexible collusion with third-party technical service agencies, which may lead to the loss of government credibility, the heavier administrative accountability of the higher-level government toward the maritime authorities can encourage it to strictly fulfill its regulatory responsibilities. In addition, the higher the probability of strict supervision by maritime authorities, the greater the probability of third-party technical service agencies intending to provide fair services, which helps to prevent the vicious cycle mentioned above.
Evidence: According to the expression of , we can obtain Equations 22 and 23.
When , both an increase in , , and and a decrease in and can increase the probability of maritime authorities choosing strict supervision.
4.4 Stability analysis of equilibrium points in a tripartite evolutionary game system
This article adopts the Lyapunov method to determine the stability of the equilibrium point of the system by analyzing the eigenvalues of a Jacobian matrix. Assuming that the replication dynamic equation , and , eight equilibrium points for pure strategy games can be obtained. Table 3 provides a detailed list of the stability analysis results for each equilibrium point. The Jacobian matrix of a tripartite evolutionary game system is shown in Equation 24.
Table 3
| Equilibrium points | Jacobian matrix eigenvalues | Stability conclusion | Condition | |
|---|---|---|---|---|
| The real part symbol | ||||
| (−, −, +) | Instability point | / | ||
| (+, *, +) | Instability point | / | ||
| (+, *, +) | Instability point | / | ||
| (−, −, −) | ESS | ② | ||
| (+, *, +) | Instability point | / | ||
| (−, −, −) | ESS | ③ | ||
| (*, +, +) | Instability point | / | ||
| (+, −, −) | Instability point | / | ||
Stability analysis of equilibrium points.
Note. ① * represents the uncertainty of positive and negative. ② Condition: , . ③ Shipping companies always pursue maximizing the benefits of proactive emission reduction projects, so the defined should be large enough.
Based on the Lyapunov method, the real part symbols of the eigenvalues of the Jacobian matrix can determine the stability of the equilibrium point: if all eigenvalues have negative real parts, the equilibrium point is asymptotically stable. If there is at least one eigenvalue with a positive real part, then the equilibrium point is unstable. If there are only zero real part eigenvalues and the real parts of the remaining eigenvalues are negative, the equilibrium point is in a critical state, and its stability cannot be determined by the sign of the eigenvalues. The real part symbols of all eigenvalues of the Jacobian matrix are shown in column 3 of Table 3.
4.4.1 Inference 7
When conditions ② and ③ are met, there are two asymptotic stability points, including and , in the dynamic system. The stability analysis results of each equilibrium point are detailed in column 4 of Table 3.
Evidence: When the reverse support cost () and the management cost for energy-saving equipment renovation and crew training () are sufficiently high, , , and can be obtained. Assuming that the benefits and costs of each entity are all positive, , , and can be obtained. Based on the conditions set in the six assumptions mentioned earlier, can be obtained. Based on the pursuit of “maximizing interests” by shipping companies, as a participant of bounded rationality, the operational revenue generated by shipping companies () is sufficiently high, and and can be obtained. There are still two Jacobian matrix eigenvalues, including and , whose positive and negative values cannot be determined. In summary, and are the asymptotic stable points of the system.
When the revenue of shipping companies in passive response (), reverse support costs (), and management cost for energy-saving equipment renovation and crew training () are relatively high, or the rewards and punishments of the maritime management () agencies are relatively low, the evolution of the tripartite strategy combination is stable at two stability points: (passive coping, flexible collusion, and strict supervision) and (proactive emission reduction, fair service, and relaxed supervision). At this point, the maritime authorities should fully utilize the reward and punishment mechanism, set a sufficiently large level of reward and punishment, and avoid the occurrence of gradual stabilization points (passive coping, flexible collusion, and strict supervision) in the system, that is, fully avoid the risks generated by the vicious cycle.
4.4.2 Inference 8
When , condition ② is not met, becomes an unstable point, and the system only has one stable point .
The sum of rewards and punishments imposed by the maritime authorities on other entities should be at least higher than their respective speculative gains in order to effectively prevent the emergence of a stable strategy combination in the tripartite game system. In addition, the operational revenue generated by shipping companies (), the cost of strict supervision by the maritime authorities (), and the penalty level set by the superior supervisory department for accountability () will not change the stable evolutionary results. It can be seen that the maritime authorities can design a reasonable reward and punishment mechanism to ensure the orderly implementation of ship emission reduction work.
5 Simulation analysis
In order to verify the effectiveness of evolutionary stability analysis, this article uses MATLAB and conducts value simulation based on real situations.
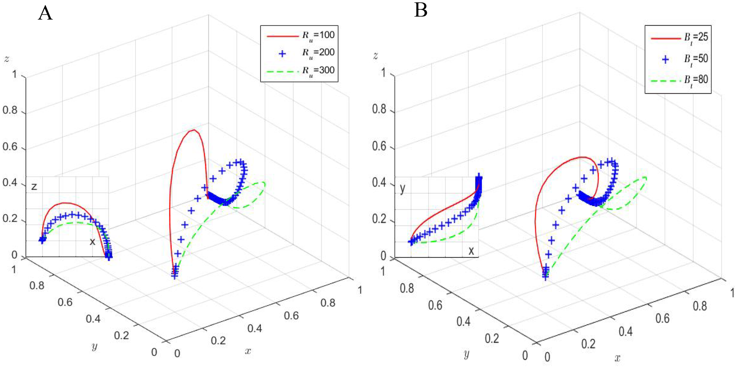
According to the condition of Inference 8, array 1 () is set to analyze the impact of , , , , , and on the evolutionary game process and results.
First, in order to analyze the impact of changes in and on the evolutionary game process and results, is assigned 100, 200, and 300, and is assigned 25, 50, and 80. The simulation results of the replication dynamic equation evolving it 30 times are shown in Figures 3B. The results indicate that during the process of system evolution to a stable point, the increase in revenue generated by shipping companies’ active emission reduction can accelerate their stable participation in emission reduction projects. As the revenue increases and the gap between the benefits of adopting low-carbon technologies and traditional technologies gradually widens, the probability of shipping companies actively reducing emissions increases, while the probability of strict supervision by maritime authorities decreases. As increases, the probability of shipping companies actively reducing emissions increases, while the probability of third-party technical service agencies providing fair services decreases. Therefore, in promoting multi-party collaborative participation in the carbon emission process, it is important to strengthen the overall responsibility of local governments and the aggregation role of maritime authorities, highlighting the role advantages of maritime authorities in areas such as information sharing and resource docking. For regions with poor carbon emission management, maritime authorities can appropriately reduce the intensity of process control to ensure project progress and effectively alleviate the vicious cycle caused by low-quality emission projects. Market measures, such as expanding the reputation and influence of shipping companies and cultivating awareness of carbon emission management, can also be taken to encourage shipping companies to actively avoid short-sighted behavior of excessive reliance on reverse support projects.
Figure 3

(A) The impact of the market benefits of proactive emission reduction by shipping companies. (B) The impact of the reverse support costs.
Second, is assigned 5, 25, and 50, and is assigned 0, 30, and 50. The simulation results are shown in Figure 4. The results indicate that increasing will decrease the probability of strict supervision by maritime authorities. At the same time, before the probability of proactive emission reduction by shipping companies stabilizes at 1, the probability of strict supervision by maritime authorities increases as increases. After the probability of proactive emission reduction by shipping companies stabilizes at 1, the probability of strict supervision by maritime authorities gradually decreases and stabilizes at 0, and the increase in will increase the probability of third-party technical service providers intending to provide fair services. Therefore, maritime authorities should screen third-party technical service agencies with high technical service levels, low error rates, and wide coverage based on high standards, and set up a reasonable reward and punishment mechanism, for third-party technical service agencies that strictly comply with regulatory standards and complete service tasks with high quality; positive incentives such as material rewards, honors, and policy preferences should be considered to supplement or replace fixed service payments, ensuring that they can jointly assume the responsibility of ensuring high-quality supply of carbon emission projects with the government.
Figure 4

(A) The impact of maritime authorities’ reward levels for third-party technical service agencies. (B) The impact of maritime authorities’ punishment levels for third-party technical service agencies.
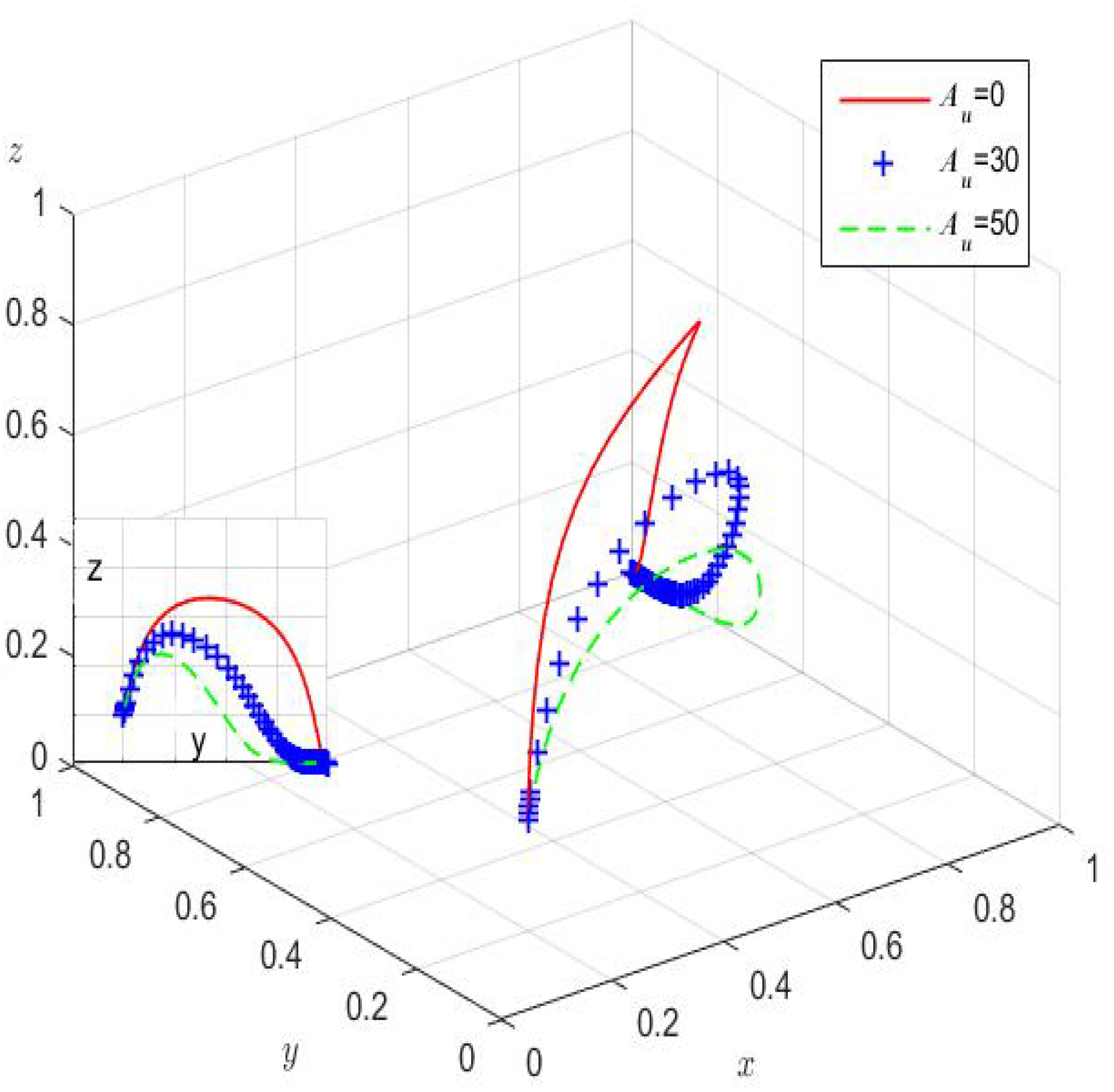
Third, is assigned 0, 30, and 50; the simulation results are shown in Figure 5. The results indicate that as increases, the probability of strict supervision by maritime authorities will decrease, and the probability of third-party technical service agencies intending to provide fair services will increase. The reward mechanism of maritime authorities for shipping companies can promote their participation in proactive emission reduction, but it is not conducive to their own performance. Therefore, the implementation of severe administrative penalties by higher-level government departments can ensure that maritime authorities maintain a high probability of strict supervision, further enhancing the probability of shipping companies actively reducing emissions.
Figure 5

The impact of reward level for shipping companies led by maritime authorities.
Fourth, is assigned 20, 50, and 80; the simulation results are shown in Figure 6. The results indicate that after the probability of proactive emission reduction by shipping companies stabilizes at 1, an increase in will increase the probability of strict supervision by maritime authorities. From an operational perspective, higher-level government management departments need to establish assessment and evaluation systems for maritime authorities, as well as award and commendation systems. The more severe administrative penalties set for the relaxed supervision of maritime authorities can increase the probability of sustained strict supervision by maritime authorities, thereby further increasing the robustness of shipping companies’ proactive emission reduction efforts.
Figure 6

The impact of administrative penalties imposed on maritime authorities for relaxed supervision.
According to the condition of Inference 7, array 2 () is set.
Starting from different initial strategy combinations, the two arrays are evolved 30 times over time, as shown in Figure 7. As shown in Figure 7A, the system currently only has one stable strategy combination (proactive emission reduction, fair service, and relaxed supervision), which is consistent with the conclusion of Inference 8. Figure 7B shows that under condition ②, the system has two evolutionarily stable strategy combinations: (passive coping, flexible collusion, and strict supervision) and (proactive emission reduction, fair service, and relaxed supervision).
Figure 7

(A) Evolution of array 1 for 30 times. (B) Evolution of array 2 for 30 times.
Therefore, maritime authorities should actively utilize information technology to establish a dynamic performance evaluation mechanism that involves multiple stakeholders. Based on the goals of high-quality ship carbon emission projects, differentiated assessment indicators should be set according to the characteristics of each stakeholder’s work. Through value-added evaluation, the work quality and interest changes of shipping companies and third-party technical service agencies should be assessed. The coupling and synergy between various operating mechanisms should be evaluated according to different stages and project needs to ensure that the total reward and punishment for all parties is higher than their investment returns, forming a virtuous cycle of a win–win situation for all parties. It can be seen that the simulation analysis and the stability analysis of various strategies are consistent and effective, which has practical guidance significance for the quality co-management of high-quality ship emission projects.
6 Conclusion and suggestions
Under the framework of multi-party collaborative supervision and operation practice of ship carbon emissions, considering the possible dynamic collusion tendency between shipping companies and third-party technical service agencies, this study constructed a tripartite evolutionary game analysis model covering shipping companies, third-party technical service agencies, and maritime authorities. This model systematically analyzed the dynamic stability characteristics of strategy selection by various game players, the robustness conditions of equilibrium strategy combinations in the game system, and the interaction mechanism between key influencing factors. The reliability of the theoretical analysis conclusion was verified through numerical simulation experiments, revealing that flexible collusion behavior between shipping companies and third-party technical service agencies is a necessary condition for the formation of stable strategy combinations in specific contexts. The main conclusions include the following:
-
In the evolution of the ship emission monitoring system, the strategic choices of shipping companies, maritime authorities, and third-party technical service agencies are interrelated and dynamically changing. The possibility of shipping companies proactively reducing emissions increases with the possibility of third-party fair services and strict supervision by maritime authorities, and their proactive emission reduction probability is influenced by various economic factors. The strategic choices of shipping companies and maritime authorities will affect the strategies of third-party technical service agencies. Strict supervision by maritime authorities and the increased likelihood of shipping companies proactively reducing emissions can encourage third-party technical service agencies to refuse flexible collusion. This dynamic mutual influence relationship forms the foundation of system strategy evolution and provides a key perspective for a deeper understanding of the tripartite evolutionary game.
-
The reward and punishment mechanism of the maritime authorities plays a core role in the selection of tripartite strategies. On the one hand, strengthening the level of rewards and punishments by maritime authorities can help promote proactive emission reduction by shipping companies and fair service by third-party technical service agencies; however, increasing the intensity of rewards will not be conducive to fulfilling regulatory responsibilities. On the other hand, the maritime authorities must establish a reasonable reward and punishment mechanism that meets the condition that the sum of rewards and punishments for all parties is greater than their speculative gains in order to ensure the quality of proactive emission reduction projects in an evolving and stable environment. Among them, establishing a dynamic performance evaluation mechanism involving multiple stakeholders is crucial.
-
The probability of third-party technical service agencies providing fair services is constrained by various factors. The benefits of reverse support projects are negatively correlated with the probability of providing fair services, while the reward amount for fair service behavior by maritime authorities, the degree of punishment for flexible collusion intentions, and their own speculative costs are positively correlated. When choosing a flexible collusion strategy, the cooperation mode is often dominated by shipping companies that actively reduce emissions, but third-party technical service agencies tend to maximize benefits through short-term reverse project support due to their focus on short-term and internal economic benefits. Therefore, the maritime authorities need to strengthen strict supervision, enhance cooperation awareness, increase penalties and speculation costs, and provide appropriate compensation and rewards to promote fair service choices.
-
The administrative accountability of maritime authorities by higher-level government authorities is of great significance in enhancing the robustness of shipping companies’ proactive emission reduction measures. Improving the operational revenue of shipping companies’ proactive emission reduction and increasing their willingness to flexibly seek project procurement costs are also effective ways to avoid them choosing passive coping strategies.
In short, the energy-saving technology improvement behavior of shipping companies is influenced by many factors, such as market conditions, technology supervision, and government behavior. To motivate shipping companies to improve energy-saving technology and increase their willingness to participate in emission reduction, the local government can make efforts in the following aspects:
-
Strengthen resource investment in the field of maritime monitoring and supervision. Based on the simulation analysis results, it can be concluded that resource investment in monitoring and regulatory technology has a significant impact on the development of the game system. When the cost of maritime monitoring increases, shipping companies and third-party organizations often tend to adopt cooperative strategies and actively implement environmental policies and service goals. On the contrary, insufficient investment in regulatory resources leading to monitoring coverage below the critical value will trigger the phenomenon of adverse selection and seriously weaken the effectiveness of policy implementation. The construction of a multi-dimensional, dynamic resource optimization and allocation mechanism is crucial. For example, intelligent monitoring technologies such as satellite remote sensing and AI recognition can be used to reduce unit regulatory costs (Chen et al., 2023) while establishing a differentiated monitoring investment model based on risk assessment to achieve accurate matching between resource investment and pollution risks.
-
Promote the upgrading of monitoring and supervision technology for ship air pollutant emission control areas. Technical supervision is a core path to enhance the regulatory efficiency of ship emission control zones. In this process, it is necessary to fully leverage the synergy between the government and the market while increasing financial support, actively introducing third-party technical service agencies, effectively utilizing the method of purchasing services from third parties, and optimizing resource allocation. In addition, it is necessary to increase investment in the research and development of monitoring and regulatory technologies for ship air pollutant emissions; accelerate the transformation and application of scientific research results; encourage the focus of funds on the research and development, upgrading, and transformation of regulatory inspection techniques; and gradually establish a diversified investment mechanism led by government financial investment and involving multiple parties. Among them, special attention should be paid to the collaborative innovation of technical standards and regulatory rules to ensure that the results of technological upgrades are quantifiable, verifiable, and traceable.
-
Establish a long-term incentive mechanism for the green development of shipping companies. In response to the collective action dilemma in environmental governance of shipping enterprises, it is recommended to construct a composite policy framework of positive incentives and negative constraints (Wang et al., 2023). In terms of positive incentives, a graded green credit policy can be implemented, providing interest rate discounts and quota preferences to ships that meet international advanced emission standards. It is necessary to establish a carbon credit trading system that allows companies to exchange operational quotas for emission reductions. In terms of negative constraints, it is necessary to improve the environmental credit evaluation system, incorporate behaviors such as falsifying emission data into the credit reporting system, and implement a tiered fine system. At the same time, it is necessary to actively promote the establishment of industry green development alliances and reduce the marginal cost of enterprise green transformation through the development of group standards and technology sharing. Among them, it is necessary to establish a dynamic evaluation mechanism for policy effectiveness to ensure that the policy system adapts to the development stage of the industry by regularly adjusting incentive parameters.
-
Actively establish a dynamic performance evaluation mechanism involving multiple stakeholders. Based on the goal of high-quality ship carbon emission projects, it is necessary to establish a differentiated evaluation index system according to the work characteristics of various stakeholders and to achieve value-added evaluation of the work quality and interest changes of shipping companies and third-party technical service agencies. It is necessary to evaluate the coupling and synergy between various operational mechanisms to ensure that the total rewards and punishments of all parties exceed their investment returns, forming a virtuous cycle of win–win for all parties.
Statements
Data availability statement
The raw data supporting the conclusions of this article will be made available by the authors, without undue reservation.
Author contributions
LX: Conceptualization, Data curation, Formal Analysis, Writing – original draft. WH: Funding acquisition, Investigation, Methodology, Writing – review & editing.
Funding
The author(s) declare that financial support was received for the research and/or publication of this article. This research was funded by Fujian Social Science Fund Project (grant number: FJ2025B198).
Conflict of interest
The authors declare that the research was conducted in the absence of any commercial or financial relationships that could be construed as a potential conflict of interest.
Generative AI statement
The authors declare that no generative AI was used in the creation of this manuscript.
Any alternative text (alt text) provided alongside figures in this article has been generated by Frontiers with the support of artificial intelligence and reasonable efforts have been made to ensure accuracy, including review by the authors wherever possible. If you identify any issues, please contact us.
Publisher’s note
All claims expressed in this article are solely those of the authors and do not necessarily represent those of their affiliated organizations, or those of the publisher, the editors and the reviewers. Any product that may be evaluated in this article, or claim that may be made by its manufacturer, is not guaranteed or endorsed by the publisher.
References
1
Aghion P. Dechezleprêtre A. Hémous D. Martin R. Reenen J. V. (2016). Carbon taxes, path dependency and directed technical change: Evidence from the auto industry. Soc. Sci. Electronic Publishing1, 1–51. doi: 10.2139/ssrn.2202047
2
Bilgil L. Ölçer A. I. (2024). IMO 2023 strategy-Where are we and what’s next? Mar. Policy.160, 105953. doi: 10.1016/j.marpol.2023.105953
3
Cao G. Lai P. Zhu Y. (2013). Comparison of subsidies and cooperation policy based on technology R&D of energy saving and emission reduction. Sci. Technol. Manage. Res.23, 27–32+40. doi: 10.3969/j.issn.1000-7695.2013.23.006
4
Chen K. Xin X. Niu X. Zeng Q. (2020). Coastal transportation system joint taxation-subsidy emission reduction policy optimization problem. J. Cleaner Production.20, 119096. doi: 10.1016/j.jclepro.2019.119096
5
Chen S. Zhang H. (2019). The empirical research on the effect of energy saving and emission reduction subsidy policy on technological innovation of iron and steel industry: Based on panel data of 17 listed companies. Environ. Protection.2, 44–48. doi: 10.14026/j.cnki.0253-9705.2019.02.011
6
Chen X. Wu H. Han B. Liu W. Montewka J. Liu R. W. et al . (2023). Orientation-aware ship detection via a rotation feature decoupling supported deep learning approach. Eng. Appl. Artif. Intelligence:The Int. J. Intelligent Real-Time Automation.125, 1–16. doi: 10.1016/j.engappai.2023.106686
7
Zhou C. Ding Y. Huang H. Huang L. Lu Z. Wen Y. et al . (2022). Meso-level carbon dioxide emission model based on voyage for inland ships in the Yangtze River. Sci. Total Environment.3, 156271. doi: 10.1016/j.scitotenv.2022.156271
8
Sun D. Yi B. Xu J. Zhao W. Zhang G. Lu Y. et al . (2018). Assessment of CO2 emission reduction potentials in the Chinese oil and gas extraction industry: From a technical and cost-effective perspective. J. Cleaner Production.201, 1101–1110. doi: 10.1016/j.jclepro.2018.08.044
9
Gao Y. Gao J. (2022). Evolutionary game analysis of value co creation between local government and ports. J. Shanghai Maritime University.1, 71–77. doi: 10.13340/j.jsmu.2022.01.011
10
Jia L. Wang K . (2023). Low-carbon transition pathways for China's transportation sector under the background of carbon neutrality. China Environ. Science.6, 3231–3243. doi: 10.19674/j.cnki.issn1000-6923.20230.002
11
Kose S. Sekban D. M. (2022). Emphasizing the importance of using cold-ironing technology bydetermining the share of hotelling emission value within the total emission. Transportation Saf. Environment.2, 1–9. doi: 10.1093/tse/tdac010
12
Kroes J. Subramanian R. Subramanyam R. (2012). Operational compliance levers, environmental performance, and firm performance under cap and trade regulation. Manufacturing&Service Operations Management.14, 186–201. doi: 10.1287/msom.1110.0357
13
Li Q. (2021). Carbon emission status and carbon reduction path analysis of waterway transport in China. Transport Energy Conserv. Environ. Protection.2, 1–4+12. doi: 10.3969/j.issn.1673-6478.2021.02.001
14
Liu Y. Bu X. (2023). Modeling and analysis of the effects of government incentives onto reduction of ship carbon emission based on an improved principal-agent model. J. Transport Inf. Safety.2, 147–156. doi: 10.3963/j.jssn.1674-4861.2023.02.016
15
Meng L. Wang J. Yan W. Han C. (2022). A differential game model for emission reduction decisions between ports and shipping enterprises considering environmental regulations. Ocean Coast. Management.225, 1–18. doi: 10.1016/j.ocecoaman.2022.106221
16
Qi X. Li Z. Zhang Y. Zhang Q. Song C. (2025). Evolutionary game analysis of Arctic shipping black carbon emission reduction strategies based on government regulation and port fee differential policies. Humanities Soc. Sci. Communication.12, 986. doi: 10.1057/s41599-025-05329-2
17
Tanaka H. Okada A. (2019). Effects of market- based measures on a shipping company:using an optimal control approach for long- term modeling. Res. Transportation Econ.73, 63–71. doi: 10.1016/j.retrec.2019.01.006
18
Wang Z. Liu Y. Peng C. Zhang W. Qin C. Wang H. (2023). Game theory analysis on evolution of ship emission supervision and strategy to succeed. Navigation China.1, 127–135. doi: 10.3969/j.issn.1000-4653.2023.01.018
19
Xu L. Di Z. Chen J. (2021). Evolutionary game of inland shipping pollution control under government co-supervision. Mar. pollut. Bulletin.5, 112730. doi: 10.1016/j.marpolbul.2021.112730
20
Xu C. Lu C. Song J. (2024). Evolutionary game of inland waterways LNG construction under government subsidy and carbon tax policy under fuzzy environment. Int. J. Low-Carbon Technologies.19, 780–797. doi: 10.1093/ijlct/ctae032
21
Xu Y. Meng Y. (2019). Evolution game between government and port enterprises under mandatory emission reduction. J. Univ. Sci. Technol. China.9, 762–772. doi: 10.3969/j.issn.0253-2778.2019.09.009
22
Xue S. (2025). Analysis of problems in the implementation of the EU marine fuel regulation (part 1). Shipping Management.2, 37–41. doi: 10.13340/j.jsm.2025.02.010
23
Zhang R. Ding R. (2018). Energy price,economic growth and Chinese energy intensity change -based on LMDI decomposition and econometric model analysis. Soft Science.3, 72–76. doi: 10.13956/j.ss.1001-8409.2018.03.16
24
Zhao P. Li Y. Zhang C. Kang T. He Z. Huang G. et al . (2025). Arctic sea route access reshapes global shipping carbon emissions. Nat. Commun.16, 8431. doi: 10.1038/s41467-025-64437-4
25
Zhao C. Xu X. Gong Y. Fan H. Chen H. (2019). Blue carbon cooperation in the maritime silk road with network game model and simulation. Sustainability10, 2748. doi: 10.3390/su11102748
26
Zheng Y. Qin G. Liu S. Leng Z. H. (2019). Evolutionary game analysis on technical improvement of energy conservation and emission reduction under meeting the environmental regulation. Sci. Management.6, 58–67. doi: 10.3969/j.issn.1003-8256.2019.06.008
27
Zhou H. Deng Y. (2022). Research on the emission reduction decision of shore power under the goals of peaking carbon dioxide emissions and carbon neutrality. Sci. Technol. Manage. Res.11, 229–235. doi: 1000-7695(2022)11-0229-07
28
Zhuge D. Wang S. Zhen L. Laporte G. (2020). Subsidy design in a vessel speed reduction incentive program under government policies. Naval Res. Logistics.3, 344–358. doi: 10.1002/nav.21948
29
Zhuge D. Wang S. Wang D. Z. W. (2021). A joint liner ship path, speed and deployment problem under emission reduction measures. Transportation Res. Part B: Methodological.144, 155–173. doi: 10.1016/j.trb.2020.12.006
Summary
Keywords
green shipping, emission regulation, evolutionary game theory, multi-stakeholder governance, policy design
Citation
Xue L and He W (2025) Evolutionary game analysis and regulatory countermeasure research on ship emission supervision. Front. Mar. Sci. 12:1702961. doi: 10.3389/fmars.2025.1702961
Received
18 September 2025
Accepted
23 October 2025
Published
18 November 2025
Volume
12 - 2025
Edited by
Lang Xu, Shanghai Maritime University, China
Reviewed by
Xinqiang Chen, Shanghai Maritime University China
Xu Changyan, Shanghai Maritime University, China
Updates
Copyright
© 2025 Xue and He.
This is an open-access article distributed under the terms of the Creative Commons Attribution License (CC BY). The use, distribution or reproduction in other forums is permitted, provided the original author(s) and the copyright owner(s) are credited and that the original publication in this journal is cited, in accordance with accepted academic practice. No use, distribution or reproduction is permitted which does not comply with these terms.
*Correspondence: Wei He, hewei11@mju.edu.cn
Disclaimer
All claims expressed in this article are solely those of the authors and do not necessarily represent those of their affiliated organizations, or those of the publisher, the editors and the reviewers. Any product that may be evaluated in this article or claim that may be made by its manufacturer is not guaranteed or endorsed by the publisher.