Abstract
Heavy metal pollution in coastal ecosystems poses significant ecological and health risks, yet comprehensive multi-compartment assessments in rapidly industrializing regions like Yuhuan remain scarce. To assess the heavy metal pollution status and potential risks in the coastal area of Yuhuan, this study collected 30 surface seawater samples, 16 surface sediment samples, and multiple marine organism samples in 2023. The concentrations and spatial distribution characteristics of seven heavy metals were analyzed. Multiple indices, including the geo-accumulation index, potential ecological risk index, and bioaccumulation factor, along with principal component analysis, were applied to assess ecological risks and identify pollution sources. The results indicated that heavy metal concentrations in sediments, seawater, and organisms all complied with China’s Class I marine environmental quality standards. Mercury posed a moderate ecological risk in sediments (mean =41.08) and was the dominant contributor to regional ecological risk (51.80%), though the overall ecological risk level of the area remained low (mean RI = 79.31). The pollution load index ranged from 0.003 to 0.09 (mean = 0.04), confirming minimal anthropogenic influence. Marine organisms exhibited a stronger capacity for bioaccumulation of metals from the water column than from sediments, with crustaceans accumulating higher metal levels than fish. PCA revealed that heavy metals in sediments primarily originated from natural processes, agricultural activities, and localized anthropogenic emissions, while those in seawater were mainly associated with industrial wastewater and port activities. This study provides a scientific basis for environmental management, pollution control, and the sustainable development of aquaculture in the Yuhuan coastal area.
1 Introduction
The coastal zone, serving as a critical interface between terrestrial and marine ecosystems, is of immense ecological, economic, and social importance. However, it is also a primary sink for anthropogenic pollutants, receiving contaminants from various sources including industrial effluent, agricultural runoff, municipal sewage, and maritime activities (Liu et al., 2025). Among these pollutants, heavy metals have garnered significant global concern due to their persistence, bioaccumulation, toxicity, and non-biodegradable nature (Feng et al., 2023). Heavy metals such as cadmium (Cd), lead (Pb), mercury (Hg), copper (Cu), zinc (Zn), and chromium (Cr) are considered pollutants when their concentrations exceed the thresholds established by national or international environmental quality standards (e.g., China’s GB 18668–2002 for sediments and GB 3097–1997 for seawater), potentially causing adverse effects on marine ecosystems and human health (AQSIQ, 2002). Metals such as Cd, Pb, Hg, Cu, Zn, and Cr can pose severe threats to marine biodiversity and ecosystem health even at low concentrations (Fan et al., 2022). Furthermore, they can accumulate in marine organisms, potentially biomagnifying through the food web (Zhang et al., 2023). Moreover, recent studies have emphasized the importance of integrated ecological risk indices and multivariate statistics in identifying pollution sources and assessing environmental impacts (Wu et al., 2025).
The Yuhuan coastal area, located in the Taizhou prefecture of Zhejiang Province, China, is a characteristic example of a rapidly developing coastal region (Yang et al., 2017). It hosts a vibrant mix of economic activities, including a thriving aquaculture industry, busy ports, and a concentration of manufacturing, particularly in the hardware, plumbing, and electroplating sectors. While these industries have driven local economic growth, they have also placed considerable pressure on the surrounding marine environment. The discharge of industrial wastewater, combined with agricultural runoff and urban sewage, is suspected to be a primary contributor to the input of heavy metals into the coastal ecosystem (Gao et al., 2016). Consequently, the sediments, which act as both a sink and a potential secondary source of contaminants, the seawater column, and the resident marine organisms in the Yuhuan area are likely exposed to elevated levels of metallic pollution (Lu et al., 2024).
Although the environmental risks of heavy metals in some major Chinese estuaries and bays have been extensively studied, regional-scale investigations in economically vibrant yet ecologically vulnerable areas like Yuhuan remain relatively insufficient (Yao et al., 2021). A comprehensive assessment that simultaneously investigates the spatial distribution of heavy metals across different environmental compartments (sediments, seawater, and marine organisms) is urgently needed. Furthermore, recent investigations have highlighted the critical role of coastal long waves and harbor resonance, triggered by phenomena such as wave groups and modulated by topography through Bragg reflection, in governing nearshore hydrodynamics and subsequent sediment transport (Zhang et al., 2025; Wu et al., 2025). These processes are directly relevant to the redistribution of contaminants, including heavy metals, in the coastal zone. Such a study is crucial for understanding the transport pathways, bioavailability, and ultimate fate of these contaminants in this specific ecosystem.
Therefore, the objectives of this study are to: (1) determine the concentrations and spatial variations of key heavy metals (e.g., Cu, Pb, Cd, Zn, Cr, Hg, As) in surface sediments, seawater, and representative marine organisms (such as crustaceans and fish) from the Yuhuan coastal area; (2) assess the potential ecological risk in sediments using established indices like the geo-accumulation index (Igeo) and potential ecological risk index (RI); and (3) identify potential pollution sources through multivariate statistical analysis. Therefore, this study not only fills a critical gap in regional environmental monitoring but also integrates advanced statistical and ecological risk assessment methods to provide a holistic understanding of heavy metal behavior in the Yuhuan coastal ecosystem, thereby supporting targeted environmental management and sustainable aquaculture development. The findings of this research will provide a critical scientific basis for local environmental management, pollution control, and the sustainable development of the aquaculture industry.
2 Materials and methods
2.1 Sample collection and analytical procedures
In 2023, a total of 30 surface seawater samples, 16 surface sediment samples, and multiple marine organism samples were collected from the coastal region of Yuhuan (see Figure 1). All sampling, preservation, and transportation procedures strictly followed the standards prescribed in the “Specifications for Oceanographic Survey” (GB/T 12763-2007).
Figure 1

Geographical locations and the sampling stations in Yuhuan coastal area.
2.1.1 Seawater sampling and preprocessing
Surface seawater samples were collected from approximately 0.5 meters depth using a plexiglass water sampler. To prevent cross-contamination, all sample containers were rinsed twice with the sampled seawater prior to final filling. Polyethylene bottles were used for storing samples intended for Zn, Cu, Cr, Cd, Pb, and As analysis, while pre-cleaned glass bottles were employed for Hg. All samples were transported under dark and refrigerated conditions.
For metal stabilization, 2 mL of ultrapure HNO3 was added to samples for Zn, Cu, Cr, Cd, and Pb analysis; samples for As and Hg were preserved with 2 mL of H2SO4. Filtration was carried out with 0.45 μm glass fiber membranes to eliminate suspended particles. For digestion, 10 mL of HNO3 was added to 500 mL of seawater, and the mixture was heated on an electric hotplate until evaporated to approximately 10 mL. The residue was then reconstituted to 25 mL using 1% HNO3 and thoroughly mixed before analysis. Procedural blanks and certified reference materials were included for quality assurance.
2.1.2 Sediment sampling and pretreatment
Surface sediment samples were acquired with a grab sampler. Approximately 200 g of surface material was collected with a polyethylene spoon, sealed in polyethylene bags, kept in darkness, and refrigerated until analysis. Samples were freeze-dried for 40 hours, homogenized manually with an agate mortar, and sieved through a 160-mesh nylon sieve to achieve consistent particle size.
For acid digestion, 1.0 g of sediment was treated with a 9:3 (v/v) mixture of HNO3 and HCl (aqua regia) in Teflon containers.
2.1.3 Biological sample collection and processing
Marine organisms were collected via a single-vessel trawl net measuring 40 × 94 m with a cod end. Trawling was conducted during daylight hours accounting for vessel speed (3–4 knots), current, and wind conditions. Sampling occurred 2–4 nautical miles from predefined stations to ensure representativeness.
Species were taxonomically classified, and biometric parameters (length and mass) were documented. Muscle tissues from fish (pectoral fins) and crustaceans (abdominal segments) were dissected, rinsed with ultrapure water, and stored in pre-weighed 10 mL centrifuge tubes at –20°C.
Digestion adhered to the HY/T 132–2010 standard: 0.1 g of tissue was treated with 9 mL HNO3 and 3 mL H2O2 using microwave-assisted digestion.
2.1.4 Instrumental analysis and quality control
Cu, Pb, Zn, and Cd in seawater were analyzed via graphite furnace atomic absorption spectrometry (GFAAS). Sediment and biological samples were processed similarly, except Zn, which was measured using flame atomic absorption spectrometry (FAAS). A Varian 240 FS AAS (USA) was used for measurements. As and Hg were detected with an XGY-1011A atomic fluorescence spectrometer.
Sediment samples intended for total organic carbon (TOC) analysis were freeze-dried, ground, and passed through a 100-mesh sieve. Inorganic carbon was removed by treatment with 1 mol/L HCl, after which samples were freeze-dried again to constant weight. TOC content was measured using an Elementar vario EL III elemental analyzer (Germany).
Quality control measures included reagent blanks, duplicate samples, and certified reference materials, yielding recoveries between 90% and 110%. Repeat analyses (10% of samples) showed relative standard deviations of 0.05–2.5%, confirming acceptable reproducibility.
2.2 Analytical assessments
Multiple indices were applied to assess heavy metal (HM) pollution risks and identify potential sources, including the geoaccumulation index (Igeo), pollution load index (PLI), potential ecological risk index (RI), contamination factor (Cf), water quality index (WQI), single pollution index (Pi), bioaccumulation factor (BAF), and principal component analysis (PCA).
The Igeo was calculated as (Equation 1):
where Ci is the HM concentration in sediment and Bi is the regional background value from the studied metals in soils and sediments of Zhejiang province (Wu, 2005). Igeo values are categorized from uncontaminated (Igeo ≤ 0) to severely contaminated (Igeo > 5) (Muller, 1981).
The PLI, developed by Tomlinson et al. (1980), was used to evaluate combined HM pollution (Equations 2, 3):
where CFi is the contamination factor of metal i, Ci is its measured concentration, and C0 is the geochemical background value. PLI < 1 indicates no pollution, while PLI > 1 suggests pollution (Chakravarty and Patgiri, 2009).
The RI, proposed by Hakanson (1980), was computed as (Equation 4):
where is the contamination factor, is measured content, is background value, and is the toxic response factor (e.g., Zn = 1, Cr = 2, Cu = Pb = 5, As = 10, Cd = 30, Hg = 40). thresholds are: <40 (low risk), 40–79 (moderate), 80–159 (considerable), 160–319 (high), and ≥320 (extreme). RI is classified as: low (<105), moderate (105–210), considerable (210–420), or very high (≥420) (Xu et al., 2021).
For seawater, Cf and WQI were calculated as (Küikrer and Mutlu, 2019) (Equations 5, 6):
where Cs is the limit from China’s Seawater Quality Standard (GB 3097-1997). Interpretation followed established frameworks (Baltas et al., 2017; Macdonald et al., 1996; see Table 1).
Table 1
| Cf | Pollution level | WQI | Pollution level |
|---|---|---|---|
| <1 | Low | ≤1 | Clean |
| 1-3 | Medium | 1-2 | Slight |
| 3-6 | High | 2-3 | Medium |
| >6 | Serious | >3 | Serious |
Relationship between Cf, WQI and pollution level in surface seawater.
The single pollution index (Pi) for bioaccumulation was (Equation 7):
where Si is the biological baseline from China’s “Coastal and Marine Resource Comprehensive Survey Guidelines” (Table 2). Pi > 1 indicates exceeding standards (Zhou et al., 2022).
Table 2
| Species | Cu | Pb | Zn | Cr | Cd | As | Hg |
|---|---|---|---|---|---|---|---|
| Fish | 20 | 2 | 40 | 1.5 | 0.6 | 5 | 0.3 |
| Crustaceans | 100 | 2 | 150 | 1.5 | 2 | 8 | 0.2 |
Various types of biological evaluation standards (units: μg/g).
The quantification of HM transfer from environmental matrices to biota was performed using two biota accumulation factors: the bio-water accumulation factor (BWAF) and the bio-sediment accumulation factor (BSAF). These were determined as follows (Equations 8, 9):
reflecting metal transfer from seawater (Cw) or sediment (Cs) to organisms (Ci).
2.3 Statistical data analysis
Spatial distributions of heavy metals were visualized using Surfer 23.0. Statistical analyses, including Pearson correlation and PCA, were conducted in SPSS 27.0. Data were preprocessed in Microsoft Excel 2016.
Pearson correlation analysis was used to examine the relationships between heavy metals and total organic carbon (TOC). The correlation coefficient r ranges from -1 to 1, where values close to 1 or -1 indicate strong positive or negative linear relationships, respectively.
PCA was employed to identify potential sources of heavy metals. The method transforms original variables into a set of linearly uncorrelated principal components (PCs) through orthogonal transformation. The factor loadings represent the contribution of each variable to the PC. Varimax rotation with Kaiser normalization (eigenvalue >1) was applied to enhance interpretability. The cumulative percentage of variance explained by the extracted PCs was used to evaluate the adequacy of the model.
3 Results and discussion
3.1 Concentration of HMs in sediments, surface seawater, and organisms
Analysis of surface sediments from the Yuhuan coastal area indicated the following concentration ranges for heavy metals (HMs), expressed in μg/g dry weight: Cu (10.4–28.9), Pb (9.1–25.8), Zn (86.5–124), Cr (45.2–79.7), Cd (0.04–0.13), As (10.7–16.0), and Hg (0.038–0.069). The corresponding mean values were 20.59, 19.30, 106.32, 57.03, 0.09, 14.04, and 0.05 μg/g, respectively (Table 3). All recorded concentrations were found to be within the Class I limits set by China’s Marine Sediment Quality Standard (GB 18668-2002) (AQSIQ, 2002). The TOC content in surface sediments ranged from 0.42% to 0.76%, with an average of 0.61%.
Table 3
| Heavy metals | Cu | Pb | Zn | Cr | Cd | As | Hg |
|---|---|---|---|---|---|---|---|
| Surface sediments (unit: μg/g) | |||||||
| Range | 10.4-28.9 | 9.1-25.8 | 86.5-124 | 45.2-79.7 | 0.04-0.13 | 10.7-16 | 0.038-0.069 |
| Average | 20.59 | 19.30 | 106.32 | 57.03 | 0.09 | 14.04 | 0.05 |
| Variation coefficient/% | 22.37 | 25.66 | 9.07 | 16.90 | 36.34 | 11.17 | 14.17 |
| MSQ-1 | 35 | 60 | 150 | 80 | 0.5 | 20 | 0.2 |
| Surface seawaters (unit: μg/L) | |||||||
| Range | 1.3-2.3 | 0.19-0.95 | 3.1-18 | 0.4-2.3 | 0.07-0.26 | 1-1.3 | 0.017-0.05 |
| Average | 1.64 | 0.41 | 8.07 | 1.35 | 0.17 | 1.10 | 0.03 |
| Variation coefficient/% | 11.54 | 48.45 | 53.96 | 41.20 | 27.38 | 7.28 | 20.06 |
| SQS-1 | 5 | 1 | 20 | 50 | 1 | 20 | 0.05 |
Heavy metal concentrations in the surface sediments and surface seawater in Yuhuan coastal area.
MSQ-1 represents the first-class standard concentration of heavy metals according to the Chinese Marine Sediment Quality Standard Criteria (GB 18668-2002).
SQS-1 is the first-class standard for the concentration of heavy metals in seawater (GB 3097-1997).
To evaluate the extent of anthropogenic contribution, variation coefficients were computed for each metal. The descending order of variability was as follows: Cd (36.34%) > Pb (25.66%) > Cu (22.37%) > Cr (16.90%) > Hg (14.17%) > As (11.17%) > Zn (9.07%). Notably, Cd exhibited considerable variation (>35%), implying strong external inputs and a non-uniform spatial distribution. The remaining elements displayed moderate variability, reflecting relatively consistent distribution across the sampled locations.
In the water column, dissolved metal concentrations (in μg/L) ranged as follows: Cu (1.3–2.3), Pb (0.19–0.95), Zn (3.1–18.0), Cr (0.4–2.3), Cd (0.07–0.26), As (1.0–1.3), and Hg (0.017–0.05). Their mean values were 1.64, 0.41, 8.07, 1.35, 0.17, 1.10, and 0.03 μg/L, respectively. All values met the Class I requirements of the Seawater Quality Standard (GB 3097–1997).
Biological samples revealed species-specific accumulation trends, with metal levels reported in μg/g wet weight: Cu (0.4–15.6), Pb (0.07–0.16), Zn (2.7–29.7), Cr (0.04–0.23), Cd (0.007–0.824), As (0.2–0.5), and Hg (0.003–0.038). The mean concentrations were 4.09, 0.13, 14.36, 0.08, 0.16, 0.28, and 0.02 μg/g, respectively (Table 4).
Table 4
| Species | Value | Cu | Pb | Zn | Cr | Cd | As | Hg |
|---|---|---|---|---|---|---|---|---|
| All species | Range | 0.4-15.6 | 0.07-0.16 | 2.7-29.7 | 0.04-0.23 | 0.007-0.824 | 0.2-0.5 | 0.003-0.038 |
| Average (n=16) | 4.09 | 0.13 | 14.36 | 0.08 | 0.16 | 0.28 | 0.02 | |
| Fish | Range | 0.4-0.6 | 0.09-0.15 | 2.7-7.9 | 0.05-0.23 | 0.007-0.03 | 0.2-0.2 | 0.003-0.024 |
| Average (n=9) | 0.5 | 0.1 | 5.5 | 0.1 | 0.02 | 0.2 | 0.016 | |
| Crustaceans | Range | 6.3-15.6 | 0.07-0.16 | 23.6-29.7 | 0.04-0.11 | 0.177-0.824 | 0.2-0.5 | 0.01-0.038 |
| Average (n=7) | 8.1 | 0.1 | 25.7 | 0.06 | 0.3 | 0.3 | 0.027 |
Heavy metal concentration in marine organism in Yuhuan coastal area.
Spatial distribution of HMs in surface sediments is depicted in Figure 2. With the exception of Cr, both heavy metals and total organic carbon (TOC) showed a cross-shelf gradient with higher concentrations inshore and lower values offshore. Pronounced enrichment was detected in localized zones, particularly near Pishan Island and Dalu Island. In contrast, elevated Cr levels were largely confined to the region between Pishan Island and Dalu Island.
Figure 2

Spatial distributions of seven heavy metals in the surface sediments.
The spatial patterns of dissolved metals in surface waters are presented in Figure 3. Cu, Pb, and Zn displayed highest concentrations around Pishan Island, with minima identified in the coastal waters adjacent to Yuhuan City. For Cr and Cd, high-value zones were predominantly nearshore, diminishing toward open waters. Meanwhile, As and Hg showed marked enrichment primarily in the vicinity of Pishan Island.
Figure 3

Spatial distributions of seven heavy metals in the surface seawaters.
3.2 Assessment of sediment pollution using ecological risk indices
Correlation analysis can reveal associations among different heavy metal elements, thereby aiding in determining whether they share common pollution sources. It also reflects their geochemical behavior in environmental media, such as water, sediments, and marine organisms. Positive correlations may indicate that elements exhibit similar migration, adsorption, or dissolution characteristics, or demonstrate synergistic effects during bioaccumulation processes.
As shown in Table 5, which presents the correlations between heavy metals and total organic carbon (TOC) in the sediments of the Yuhuan coastal area, strong correlations (r > 0.6) were observed between Pb and Zn, Cd and Zn, as well as Hg and Zn and As, while correlations among other elements were generally moderate. Notably, TOC showed significant correlations with Pb and Cd (r=0.641 and 0.938).
Table 5
| Cu | Pb | Zn | Cr | Cd | As | Hg | TOC | |
|---|---|---|---|---|---|---|---|---|
| Cu | 1 | |||||||
| Pb | 0.356 | 1 | ||||||
| Zn | 0.362 | .613* | 1 | |||||
| Cr | 0.312 | -0.201 | -0.339 | 1 | ||||
| Cd | -0.010 | .686** | .579* | -.664** | 1 | |||
| As | 0.458 | -0.013 | 0.347 | 0.091 | 0.071 | 1 | ||
| Hg | 0.387 | 0.228 | .683** | -0.297 | 0.370 | .683** | 1 | |
| TOC | -0.106 | .641** | 0.480 | -.622* | .938** | -0.058 | 0.240 | 1 |
Pearson’s correlation matrix for HMs in Yuhuan coastal area.
*. Correlation is significant at the 0.05 level (two-tailed).
**. Correlation is significant at the 0.01 level (two-tailed).
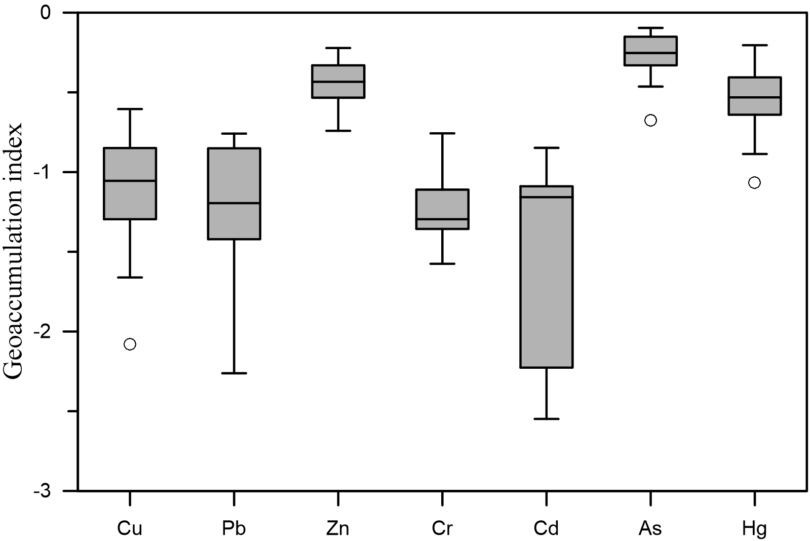
Table 6 presents the mean and range of Igeo values for the seven HMs detected in sediments from the Yuhuan coastal area. Based on the average contamination degree, the elements were ranked as follows: As exhibited the highest level, followed by Zn, Hg, Cu, Pb, Cr, and Cd. All computed Igeo values were below zero (Figure 4), suggesting that the sediment in the study area remains uncontaminated (Muller, 1981).
Figure 4

The Igeo of seven heavy metals in the sediments in Yuhuan coastal area.
Table 6
| Parameters | Cu | Pb | Zn | Cr | Cd | As | Hg | |
|---|---|---|---|---|---|---|---|---|
| Surface sediments | ||||||||
| Mbackgrounda(μg/g) | 29.3 | 29.1 | 96.4 | 89.8 | 0.156 | 11.4 | 0.053 | |
| Igeo | Range | -2.08 to -0.6 | -2.26 to -0.76 | -0.74 to -0.22 | -1.58 to -0.76 | -2.55 to -0.85 | -0.68 to -0.1 | -1.06 to -0.2 |
| Average | -1.14 | -1.23 | -0.45 | -1.26 | -1.54 | -0.29 | -0.56 | |
| Range | 1.77-4.93 | 1.56-4.43 | 0.9-1.29 | 1.01-1.78 | 7.69-25 | 9.39-14.04 | 28.68-52.08 | |
| Average | 3.51 | 3.32 | 1.10 | 1.27 | 16.71 | 12.31 | 41.08 | |
| RI (average) | 59.09-95.80 (79.31) | |||||||
| Contributions to RI | 4.43% | 4.18% | 1.39% | 1.60% | 21.07% | 15.53% | 51.80% | |
| PLI (average) | 0.003-0.09 (0.04) | |||||||
| Surface seawaters | ||||||||
| Cf | Range | `0.26-0.46 | 0.19-0.95 | 0.155-0.9 | 0.008-0.046 | 0.07-0.26 | 0.05-0.065 | 0.34-1 |
| Average | 0.33 | 0.41 | 0.40 | 0.03 | 0.17 | 0.06 | 0.68 | |
| WQI (average) | 0.21-0.46 (0.30) | |||||||
| Range | 1.3-2.3 | 0.95-4.75 | 0.155-0.9 | 0.016-0.092 | 2.1-7.8 | 0.5-0.65 | 13.6-40 | |
| Average | 1.64 | 2.06 | 0.40 | 0.05 | 4.97 | 0.55 | 27.17 | |
| RI (average) | 23.12-50.15 (36.85) | |||||||
| Contributions to RI | 4.44% | 5.60% | 1.09% | 0.15% | 13.49% | 1.50% | 73.74% | |
Background value, Igeo, , RI, PLI values for surface sediments and Cf, WQI, RI values for surface seawaters of heavy metals in Yuhuan coastal area.
Background values of heavy metals are the studied metals in soils and sediments of Zhejiang province (Wu, 2005).
PLI results showed notable spatial variability throughout the region, with values across the 16 sampling stations varying between 0.003 and 0.09 (mean = 0.04), as detailed in Table 6. Spatial distribution mapping (Figure 5) further illustrated that all stations recorded PLI values below 1, implying minimal anthropogenic contribution to heavy metal accumulation.
Figure 5

Spatial distribution of pollution load index (PLI) for heavy metals in surface sediments.
Ecological risk assessment revealed clear differentiation among the metals. The risk coefficients decreased in the order: Hg (highest) > Cd > As > Cu > Pb > Cr > Zn (lowest) (Table 6). Although most metals presented low ecological risk (mean < 40), Hg was associated with a moderate risk level ( range: 28.68–52.08). Notably, 62.5% of the sampling sites indicated moderate ecological risk from Hg, underscoring its heightened toxicity even at relatively low ambient concentrations (Tam and Wong, 2000).
The overall RI values varied from 59.09 to 95.80, with a mean of 79.31, consistent with a low ecological risk status for the entire region (Table 6, Figure 6). Source apportionment highlighted Hg (51.80%) and Cd (21.07%) as the dominant contributors to ecological risk (Table 6), indicating that their potential environmental impact is disproportionately high relative to their concentration—a result of their elevated biological toxicity compared to the other metals analyzed (Di Bella et al., 2024).
Figure 6

Spatial distributions of RI values in the surface sediment and surface seawater.
3.3 Assessment of HM contamination in surface waters
The Cf analysis indicated the following concentration ranges for HMs in the surface waters of the Yuhuan coastal area: Cu (0.26–0.46), Pb (0.19–0.95), Zn (0.155–0.9), Cr (0.008–0.046), Cd (0.07–0.26), As (0.05–0.065), and Hg (0.34–1). Their respective mean values were 0.33, 0.41, 0.40, 0.03, 0.17, 0.06, and 0.68 (Table 6). The WQI across all sampling sites ranged from 0.21 to 0.46, consistently remaining below the threshold of 1. These results indicate that all monitored heavy metals met the Class I seawater quality standards throughout the study period, reflecting consistently good water quality (Ramadan et al., 2021).
Ecological risk assessment revealed the following descending order of single-element potential ecological risk coefficients: Hg > Pb > Cu > Cd > Zn > As > Cr (Table 6). All individual risk values were below 40 at each sampling site, suggesting a low level of ecological concern. The comprehensive potential ecological risk index (RI) ranged from 23.12 to 50.15, with a mean value of 36.85 (Table 6, Figure 6), confirming an overall low ecological risk status in the region (Küikrer and Mutlu, 2019).
3.4 Accumulation of HMs in organisms
Statistical analysis indicated distinct distribution patterns of HM concentrations between the two marine organism groups in the Yuhuan coastal area. The metal concentration rankings in fish and crustaceans were as follows: Zn > Cu > As > Pb > Cr > Cd > Hg for fish, and Zn > Cu > As > Cd > Pb > Cr > Hg for crustaceans. Notably, elevated As levels in both groups point to possible environmental contamination. According to the biological quality benchmarks outlined in China’s Coastal Zone and Marine Resource Comprehensive Survey Guidelines, the Pi for all heavy metals in both fish and crustaceans were below 1 (Table 7), indicating compliance with established safety thresholds.
Table 7
| Species | Stations | Value | Cu | Pb | Zn | Cr | Cd | As | Hg |
|---|---|---|---|---|---|---|---|---|---|
| All | 16 | Range | 0.02-0.16 | 0.04-0.08 | 0.07-0.2 | 0.03-0.15 | 0.01-0.41 | 0.03-0.06 | 0.01-0.19 |
| Average | 0.05 | 0.06 | 0.15 | 0.05 | 0.09 | 0.04 | 0.09 | ||
| Crustaceans | 7 | Range | 0.06-0.16 | 0.04-0.08 | 0.16-0.2 | 0.03-0.07 | 0.09-0.41 | 0.03-0.06 | 0.05-0.19 |
| Average | 0.08 | 0.07 | 0.17 | 0.04 | 0.17 | 0.04 | 0.13 | ||
| Fish | 9 | Range | 0.02-0.03 | 0.05-0.08 | 0.07-0.2 | 0.03-0.15 | 0.01-0.05 | 0.04-0.04 | 0.01-0.08 |
| Average | 0.03 | 0.06 | 0.14 | 0.06 | 0.03 | 0.04 | 0.05 |
Standard index (Pi) of heavy metal content in organisms in the study area.
Bioaccumulation potential was evaluated using two key indices: the BSAF and the BWAF. A BSAF value greater than 1 indicates significant accumulation from sediment, while a BWAF above 1 suggests prominent bioaccumulation from the water column. As summarized in Table 8, with the exception of Cd in crustaceans, all BSAF values were below 1, reflecting limited uptake of HMs from sedimentary sources (Dean et al., 2007). Crustaceans are predominantly benthic or deposit-feeding organisms that obtain nutrients by ingesting organic detritus and microorganisms from sediments. Cd readily adsorbs to sediment particles, leading to significant exposure for crustaceans via the digestive tract as they feed. Furthermore, crustaceans occupy a critical position in aquatic food webs, serving as a key food source for many fish and bird species. Consequently, the high concentrations of cadmium accumulated in their tissues can be biomagnified through the food chain/web, posing a potential ecological and health risk to higher trophic levels, including humans.
Table 8
| Species | Stations | BSAF | BWSF | ||||||||||||
|---|---|---|---|---|---|---|---|---|---|---|---|---|---|---|---|
| Cu | Pb | Zn | Cr | Cd | As | Hg | Cu | Pb | Zn | Cr | Cd | As | Hg | ||
| Crustaceans | B1 | 0.27 | 0.01 | 0.20 | 0.001 | 2.08 | 0.03 | 0.45 | 3.88 | 0.31 | 4.42 | 0.03 | 1.66 | 0.37 | 0.83 |
| B4 | 0.45 | 0.01 | 0.27 | 0.001 | 2.93 | 0.03 | 0.76 | 3.94 | 0.48 | 6.24 | 0.03 | 1.23 | 0.30 | 0.91 | |
| B8 | 0.48 | 0.01 | 0.21 | 0.001 | 2.96 | 0.03 | 0.58 | 4.82 | 0.70 | 5.25 | 0.06 | 1.97 | 0.40 | 0.92 | |
| B11 | 0.29 | 0.01 | 0.21 | 0.001 | 2.03 | 0.02 | 0.62 | 3.94 | 0.50 | 3.39 | 0.03 | 1.01 | 0.27 | 1.15 | |
| B16 | 0.87 | 0.01 | 0.21 | 0.001 | 7.49 | 0.01 | 0.29 | 10.40 | 0.54 | 4.09 | 0.04 | 5.49 | 0.20 | 1.00 | |
| B17 | 0.26 | 0.01 | 0.23 | 0.001 | 1.61 | 0.03 | 0.47 | 3.76 | 0.42 | 4.76 | 0.03 | 1.04 | 0.50 | 0.97 | |
| B20 | 0.51 | 0.00 | 0.30 | 0.002 | 2.82 | 0.02 | 0.21 | 5.07 | 0.30 | 7.32 | 0.07 | 2.21 | 0.30 | 0.25 | |
| Fish | B5 | 0.02 | 0.00 | 0.07 | 0.001 | 0.23 | 0.01 | 0.22 | 0.31 | 0.38 | 1.42 | 0.03 | 0.18 | 0.18 | 0.38 |
| B9 | 0.03 | 0.00 | 0.07 | 0.002 | 0.19 | 0.02 | 0.25 | 0.38 | 0.35 | 1.36 | 0.05 | 0.12 | 0.19 | 0.38 | |
| B13 | 0.03 | 0.01 | 0.07 | 0.001 | 0.20 | 0.01 | 0.29 | 0.32 | 0.30 | 1.33 | 0.03 | 0.10 | 0.18 | 0.42 | |
| B21 | na | 0.01 | 0.03 | 0.002 | 0.18 | na | 0.53 | na | 0.23 | 0.87 | 0.30 | 0.06 | na | 1.35 | |
| B23 | 0.02 | 0.01 | 0.05 | 0.004 | 0.32 | na | 0.06 | 0.27 | 0.19 | 0.36 | 0.23 | 0.13 | na | 0.08 | |
| B24 | 0.03 | 0.01 | 0.07 | 0.002 | 0.14 | 0.01 | 0.38 | 0.40 | 0.30 | 0.62 | 0.14 | 0.05 | 0.16 | 0.65 | |
| B27 | 0.02 | 0.01 | 0.04 | 0.002 | na | na | 0.32 | 0.28 | 0.36 | 0.21 | 0.13 | na | na | 0.44 | |
| B28 | 0.02 | 0.01 | 0.04 | 0.001 | 0.14 | 0.01 | 0.24 | 0.46 | 0.13 | 0.34 | 0.06 | 0.06 | 0.15 | 0.34 | |
| B30 | 0.05 | 0.01 | 0.04 | 0.001 | 0.16 | 0.01 | 0.47 | 0.36 | 0.17 | 0.41 | 0.05 | 0.03 | 0.16 | 0.73 | |
BAF of heavy metals in Yuhuan coastal area.
* na means no data.
In contrast, most BWAF values exceeded 1, indicating efficient bioaccumulation from the aqueous phase—even amid generally low dissolved metal concentrations in ambient seawater. This suggests that metals are effectively concentrated through trophic transfer in the water column, consistent with prior research (Harada, 2016; Hoai et al., 2020; Islam and Tanaka, 2004). The divergence in accumulation patterns between sediment and aqueous pathways underscores the complex mechanisms governing metal transfer in marine ecosystems.
3.5 Source identification of HMs
To identify potential sources of HMs in the environment, PCA was conducted using SPSS software. For surface sediments, three principal components (PCs) with eigenvalues greater than 1 were extracted, collectively accounting for 86.25% of the total variance (Table 9), which captures the majority of the dataset’s variability (Waykar and Petare, 2016).
Table 9
| Parameter | Surface sediment | Surface seawater | |||
|---|---|---|---|---|---|
| PC1 | PC2 | PC3 | PC1 | PC2 | |
| Cu | 0.25 | 0.76 | 0.44 | -0.36 | -0.78 |
| Pb | 0.75 | -0.05 | 0.60 | 0.70 | -0.18 |
| Zn | 0.83 | 0.28 | 0.04 | 0.88 | 0.02 |
| Cr | -0.61 | 0.50 | 0.47 | -0.61 | 0.42 |
| Cd | 0.90 | -0.33 | 0.02 | -0.66 | 0.48 |
| As | 0.30 | 0.77 | -0.37 | 0.62 | 0.03 |
| Hg | 0.65 | 0.55 | -0.41 | 0.75 | 0.50 |
| TOC | 0.83 | -0.45 | 0.06 | ||
| Eigenvalues | 3.69 | 2.13 | 1.09 | 3.12 | 1.3 |
| Percentage of variance | 46.07 | 26.59 | 13.58 | 44.55 | 18.58 |
| Cumulative % eigenvector | 46.07 | 72.66 | 86.25 | 44.55 | 63.13 |
Extracted three principal components in surface sediments and two principal components for surface seawater.
PC1, explaining 46.07% of the variance, showed strong loadings for Pb (0.75), Zn (0.83), Cd (0.90), Hg (0.65), and TOC (0.83), suggesting a common origin for these elements. TOC is recognized as a key factor influencing the geochemical behavior and distribution of heavy metals in sediments (Hu et al., 2018). In this study, the significant positive correlations between TOC, Pb, and Cd indicate that TOC plays a role in metal binding. The high surface-area-to-volume ratio of organic matter, particularly the humic substances within TOC, contributes to strong adsorption, ion exchange, and chelation effects on HMs. The Igeo values for Pb, Zn, Cd, and Hg were all below zero, supporting the interpretation that PC1 represents a natural source.
PC2 accounted for 26.59% of the variance and was characterized by high loadings on As (0.77) and Cu (0.76), along with positive correlations with Cr (0.50) and Hg (0.55). This pattern implies potential derivation from agricultural runoff (e.g., pesticides and fertilizers) or natural lithogenic processes. PC3, which explained 13.58% of the variance, displayed moderate loadings on Pb (0.60) and Cu (0.44), though its explanatory power was limited. This component may reflect localized or mixed sources, such as shipping operations or resuspended sediments.
In the surface seawater of the Yuhuan coastal area, two principal components were extracted, together explaining 63.13% of the total variance (Table 9). PC1 contributed 44.55% of the variance and exhibited strong positive loadings on Pb (0.70), Zn (0.88), As (0.62), and Hg (0.75), indicating a common source for these elements, potentially linked to coastal industrial effluents, port operations, and/or atmospheric deposition. PC2, explaining 18.58% of the variance, was marked by significant loadings on Cd (0.48) and Hg (0.50), suggesting a distinct source such as electroplating discharges or other localized emissions. It may also be associated with physicochemical processes in the water column, including solubility changes and transitions between particulate and dissolved phases.
While PCA offers useful insights into potential pollution sources, several limitations must be acknowledged. First, the outcomes depend on the initial variable selection and data normalization methods. Second, factor interpretation remains subjective, relying on loading patterns and contextual knowledge of the study area, thereby incorporating expert judgment. Additionally, PCA assumes linear relationships among variables and may not adequately represent complex interactions or minor sources. Finally, unlike receptor modeling approaches, PCA does not provide quantitative estimates of source contributions. Thus, the current results should be considered an initial identification of major source categories rather than a precise apportionment of their impacts.
4 Conclusion
This study provides a comprehensive assessment of heavy metal pollution in the Yuhuan coastal environment. The main conclusions are as follows:
-
Concentrations of all heavy metals in surface sediments and seawater were within China’s Class I standards, indicating generally good environmental quality.
-
Ecological risk assessment revealed low overall risk in the study area, although Hg and Cd were identified as priority pollutants due to their high toxic response and significant contributions to the RI.
-
Correlation and PCA analyses indicated that heavy metals in sediments originated from natural sources, agricultural activities, and industrial discharges, while seawater metals were influenced by coastal industries, port operations, and atmospheric deposition.
-
Bioaccumulation assessment showed limited uptake from sediments but significant accumulation from the water column, highlighting the role of trophic transfer in metal bioavailability.
-
It is important to note that this study represents a single sampling event conducted in 2023. Heavy metal concentrations are subject to temporal fluctuations driven by seasonal hydrological cycles and anthropogenic activities. Consequently, our findings should be interpreted as a snapshot in time and may not capture long-term trends or annual averages. Future studies should incorporate seasonal and multi-annual sampling designs to better elucidate the dynamics and long-term behavior of heavy metals within this ecosystem.
Statements
Data availability statement
The raw data supporting the conclusions of this article will be made available by the authors, without undue reservation.
Author contributions
SZ: Investigation, Conceptualization, Writing – original draft, Methodology. CD: Methodology, Writing – original draft, Funding acquisition. JW: Supervision, Software, Writing – original draft. MZ: Writing – original draft, Resources, Methodology. XC: Project administration, Methodology, Writing – original draft. YZ: Writing – original draft, Formal Analysis, Validation. JY: Visualization, Methodology, Writing – original draft. XM: Software, Writing – original draft, Formal Analysis.
Funding
The author(s) declare financial support was received for the research and/or publication of this article. This study was funded by the Zhejiang Provincial Special Fund for Basic, Public Welfare, and Strategic Geological Work (Provincial Funds) (Grant No. 2024010), the Zhejiang Provincial Natural Resources Science and Technology Project (Grant No. 2025ZJDZ029), and projects from the Zhejiang Institute of Geology (Grant Nos. 2023-7–2 and 2025-16-1).
Conflict of interest
The authors declare that the research was conducted in the absence of any commercial or financial relationships that could be construed as a potential conflict of interest.
Generative AI statement
The author(s) declare that no Generative AI was used in the creation of this manuscript.
Any alternative text (alt text) provided alongside figures in this article has been generated by Frontiers with the support of artificial intelligence and reasonable efforts have been made to ensure accuracy, including review by the authors wherever possible. If you identify any issues, please contact us.
Publisher’s note
All claims expressed in this article are solely those of the authors and do not necessarily represent those of their affiliated organizations, or those of the publisher, the editors and the reviewers. Any product that may be evaluated in this article, or claim that may be made by its manufacturer, is not guaranteed or endorsed by the publisher.
References
1
Administration of quality supervision, inspection and quarantine of the People’s Republic of China (AQSIQ) (2002). Marine Sediment Quality of China (GB 18668-2002) (Beijing: Standards Press of China).
2
Baltas H. Sirin M. Dalgic G. Bayrak E. Y. Akdeniz A. (2017). Assessment of metal concentrations (Cu, Zn, and Pb)in seawater, sediment and biota samples in the coastal area of Eastern black Sea, Turkey. Mar. pollut. Bull.122, 475–482. doi: 10.1016/j.marpolbul.2017.06.059
3
Chakravarty M. Patgiri A. D. (2009). Metal pollution assessment in sediments of the Dikrong River, NE India. J. Hum. Ecol.27, 63–67. doi: 10.1080/09709274.2009.11906193
4
Dean R. J. Shimmield T. M. Black K. D. (2007). Copper, zinc and cadmium in marine cage fish farm sediments: an extensive survey. Environ. pollut.145, 84–95. doi: 10.1016/j.envpol.2006.03.050
5
Di Bella G. El-Sorogy A. S. Giacobbe S. Nava V. Al-Kahtany K. Nour H. E. (2024). Risk assessment of potentially toxic elements in intermittent rivers, “fiumara”, flowing in the gulf of milazzo (sicily, Italy). Environ. Earth Sci.83, 321. doi: 10.1007/s12665-024-11631-0
6
Fan Y. Chen X. Chen Z. Zhou X. Liu J. (2022). Pollution characteristics and source analysis of heavy metals in surface sediments of Luoyuan Bay, Fujian. Environ. Res.203, 111911. doi: 10.1016/j.envres.2021.111911
7
Feng S. Li Y. Lin Z. Xie Y. Hong C. Lu X. et al . (2023). Spatial distribution and source analysis of heavy metals in the Haizhou Bay marine ranch. J. Hydroecol.44, 114–122. doi: 10.15928/j.1674-3075.202108170282
8
Gao J. Ma Z. Chen F. Wang L. (2016). Pollution and potential ecological risk evaluation of heavy metals in the intertidal surface sediments from Yueging Bay. Trans. Oceanol. Limnol.5, 44–49. doi: 10.13984/j.cnki.cn37-1141.2016.05.007
9
Hakanson L. (1980). An ecological risk index for aquatic pollution control.a sedimentological approach. Water Res.14, 975–1001. doi: 10.1016/0043-1354(80)90143-8
10
Harada Y. (2016). Determination of heavy metal concentrations in squid organs of the East China Sea and evaluation as environmental indicators. Tokyo Ocean. Univ.4, 25–43.
11
Hoai N. Thanh ‘T. Manh H. Thung D. Johnstone R. (2020). An assessment of heavy metal contamination in the surface sediments of Ha Long Bay, Vietnam. Environ. Earth Sci.79, 436. doi: 10.1007/s12665-020-09192-z
12
Hu C. Yang X. Dong J. Zhang X. (2018). Heavy metal concentrations and chemical fractions in sediment from swan lagoon, China: their relation to the physiochemical properties of sediment. Chemosphere209, 848–856. doi: 10.1016/j.chemosphere.2018.06.113
13
Islam M. S. Tanaka M. (2004). Impacts of pollution on coastal and marine ecosystems including coastal and marine fisheries and approach for management: a review and synthesis. Mar. pollut. Bull.48, 624–649. doi: 10.1016/j.marpolbul.2003.12.004
14
Küikrer S. Mutlu E. (2019). Assessment of surface water quality using water quality index and multivariate statistical analyses in saraydüzǔ dam lake, Turkey. Environ. Monit. Assess.191, 1–16.
15
Liu C. Cao S. Li Y. Zhang Y. Li J. F. Li J. et al . (2025). Distribution and sources of heavy metals in bottom sediments of the Xiamen Bay, Fujian Province and its effects on ecological environment. Geol. China52, 232–245. doi: 10.12029/gc20230214002
16
Lu F. Su Y. Liu J. Gui F. Liang J. (2024). Distribution characteristics and ecological risk assessment of heavy metals in surface sediments from Zhejiang offshore. Environ. Monit. Manage.36, 42–47. doi: 10.19501/j.cnki.1006-2009.2024.06.006
17
Macdonald D. D. Carr R. S. Calder F. D. Long E. R. Ingersoll C. G. (1996). Development and evaluation of sediment quality guidelines for Florida coastal waters. Ecotoxicology5, 253–278. doi: 10.1007/BF00118995
18
Muller G. (1981). Die Schwermetallbelastung der sediment des Neckars und seiner Nebenflusse: eine Bestandsaufnahme. Chemiker Zeitung105, 157–164.
19
Ramadan F. Nour H. Aita S. Zahran H. (2021). Evaluation of heavy metals accumulation risks in water of the Qalubiya drain in East Delta, Egypt. Arab. J. Geosci.14, 1750. doi: 10.1007/s12517-021-08198-6
20
Tam N. F. Y. Wong Y. S. (2000). Spatial variation of heavy metals in surface sediments of Hong Kong mangrove swamps. Environ. pollut.110, 195–205. doi: 10.1016/S0269-7491(99)00310-3
21
Tomlinson D. L. Wilson J. G. Harris C. R. Jeffrey D. W. (1980). Problems in the assessment of heavy-metal levels in estuaries and the formation of a pollution index. Helgol. Ermeeresun Tersuchungen33, 566–575. doi: 10.1007/BF02414780
22
Waykar B. Petare R. (2016). Studies on monitoring the heavy metal concentrations in the water, sediment and snail species in Latipada reservoir. J. Environ. Biol.37, 585–589.
23
Wu X. Y. (2005). Report on the multi-purpose geochemical survey in Zhejiang Province, China. Zhejiang Center China Geological Survey.
24
Wu C. Bao J. Wang Z. Chen Z. Zheng Y. Lu H. (2025). Interplay of natural and anthropogenic factors in source and distribution of heavy metals in Pingtan coastal area, Fujian Province. Front. Mar. Sci.12. doi: 10.3389/fmars.2025.1624141
25
Xu Y. Gao H. Wei X. Zhu J. (2021). Heavy metals and their ecological risk in the surface sediments of Laizhou Bay. Period. Ocean Uni. China51, 74–85. doi: 10.16441/j.cnki.hdxb.20200326
26
Yang Y. Wu P. Yin A. Zhang H. Zhang M. Gao C. (2017). Distribution and source analysis of heavy metals in soils and sediments of Yueqing Bay basin, East China Sea. Mar. pollut. Bull.115, 489–497. doi: 10.1016/j.marpolbul.2016.11.046
27
Yao M. Hu C. Yang X. Shui B. (2021). Spatial variations and potential risks of heavy metals in sediments of Yueqing Bay, China. Mar. pollut. Bull.173, 112983. doi: 10.1016/j.marpolbul.2021.112983
28
Zhang S. Fu K. Gao S. Liang B. Fu G. (2023). Bioaccumulation of heavy metals in the water, sediment, and organisms from the sea ranching areas of Haizhou Bay in China. Water15, 2218. doi: 10.3390/w15122218
29
Zhang P. Ye Z. Huang L. Wang X. Zhang W. (2025). Heavy metal alarm of marine fish consumption surrounding Qiongzhou Strait, the South China Sea. Front. Mar. Sci.12. doi: 10.3389/fmars.2025.1557963
30
Zhou W. Cao Q. Hong M. Lei Y. Wen D. Zhang D. (2022). Spatial distribution and risk assessment of heavy metals in seawater and sediments in Jieshi Bay, Shanwei, China. Front. Mar. Sci.9. doi: 10.3389/fmars.2022.1011564
Summary
Keywords
heavy metals, Yuhuan coastal areas, sediments quality, marine pollution, ecological risk assessment
Citation
Zhang S, Dong C, Wang J, Zheng M, Chen X, Zhou Y, Yang J and Mao X (2025) Spatial variations and potential risks of heavy metals in sediments, seawater, and marine organisms of Yuhuan coastal area, China. Front. Mar. Sci. 12:1708328. doi: 10.3389/fmars.2025.1708328
Received
18 September 2025
Accepted
21 October 2025
Published
30 October 2025
Volume
12 - 2025
Edited by
Qi Wang, Shandong Jianzhu University, China
Reviewed by
Junliang Gao, Jiangsu University of Science and Technology, China; Chao Chen, Suzhou University of Science and Technology, China
Updates
Copyright
© 2025 Zhang, Dong, Wang, Zheng, Chen, Zhou, Yang and Mao.
This is an open-access article distributed under the terms of the Creative Commons Attribution License (CC BY). The use, distribution or reproduction in other forums is permitted, provided the original author(s) and the copyright owner(s) are credited and that the original publication in this journal is cited, in accordance with accepted academic practice. No use, distribution or reproduction is permitted which does not comply with these terms.
*Correspondence: Chao Dong, dc1233@126.com
Disclaimer
All claims expressed in this article are solely those of the authors and do not necessarily represent those of their affiliated organizations, or those of the publisher, the editors and the reviewers. Any product that may be evaluated in this article or claim that may be made by its manufacturer is not guaranteed or endorsed by the publisher.