Abstract
Background:
Postoperative re-fractures in elderly osteoporotic vertebral compression fracture (OVCF) patients with comorbidities pose a major clinical challenge, with rates up to 52%. Traditional risk models overlook complex underlying diseases interactions in elderly patients. This study pioneers a machine learning (ML) framework for this high-risk group, integrating multidimensional factors to predict re-fractures and identify novel predictors.
Methods:
We analyzed 560 OVCF patients with comorbidities who underwent percutaneous vertebroplasty (PVP). Fourteen characteristic variables—including scoliosis, chronic kidney disease (CKD), mental disorders, and cardiovascular comorbidities—were selected using feature engineering. Six ML models [Random Forest (RF), XGBoost, support vector machine (SVM), etc.,] were trained and validated. Model performance was rigorously assessed via AUC-ROC, precision-recall curves, and decision curve analysis (DCA). SHapley Additive exPlanations (SHAP) values provided interpretable risk quantification.
Results:
The RF model achieved superior predictive performance (test AUC = 0.88, sensitivity = 0.77, specificity = 0.87), outperforming conventional approaches. Notably, we identified scoliosis (SHAP = 0.14), mental disorders (0.12), and CKD (0.10) as the three top risk factors, with biomechanical and comorbidity interactions playing pivotal roles. DCA confirmed high clinical utility, with RF providing the greatest net benefit across risk thresholds.
Conclusion:
This pioneering study establishes ML as a transformative tool for re-fracture prediction in OVCF patients with underlying diseases, uncovering previously underappreciated risk factors. Our findings highlight the critical need for integrated management of spinal deformity, mental health, and renal function in this vulnerable population. This ML framework offers a paradigm shift in personalized risk stratification and postoperative care.
1 Introduction
Osteoporotic vertebral compression fractures (OVCF) represent one of a major health burden in aging populations, with postoperative re-fractures following percutaneous vertebroplasty (PVP) posing significant challenges to clinical management. Despite advancements in surgical techniques, re-fracture rates remain alarmingly high (5.5%–52%), necessitating secondary interventions and severely impairing patients’ quality of life (1–4). Traditional risk prediction models, predominantly based on linear statistical methods, focus on conventional factors such as bone mineral density (BMD) and age. However, these models often overlook the intricate interplay of comorbidities and non-linear interactions inherent to elderly patients with multimorbidity, limiting their predictive accuracy and clinical utility.
The multifactorial nature of re-fracture risk—encompassing age, bone density, comorbidities, and lifestyle factors—necessitates predictive frameworks capable of deciphering complex, non-linear interactions. Traditional statistical methods often falter in this context due to their reliance on linear assumptions and limited capacity to handle heterogeneous, high-dimensional clinical data with frequent missing values (5). In contrast, machine learning (ML) has emerged as a transformative tool, demonstrating superior performance in capturing intricate patterns across diverse medical domains, from cardiovascular risk stratification to postoperative complication prediction in spinal surgery (6–8). Recent studies have begun leveraging ML to address these challenges. For instance, Ju and Liu (9) developed a nomogram model incorporating age, bone mineral density (BMD), and anti-osteoporosis therapy, achieving moderate predictive accuracy (AUC = 0.81). However, their linear approach overlooked critical comorbidity-driven pathways, such as chronic kidney disease (CKD) and impaired mental status, which are prevalent in elderly populations. Similarly, Cai et al. (10) employed a SVM algorithm but were constrained by a limited cohort (n = 385) and a narrow feature set excluding key comorbidities, thereby inadequately representing the heterogeneous risk profiles of elderly patients.
These limitations highlight two persistent gaps: (1) the need for ML models that explicitly address non-linear interactions between biomechanical factors and comorbidities, and (2) the imperative to bridge model predictions with clinically interpretable insights. Our study advances the field through three pivotal innovations. First, we analyze a comprehensive cohort of 560 elderly OVCF patients, integrating 14 characteristic variables spanning comorbidities (e.g., hypertension, CKD), mental health status, and spinal biomechanics (e.g., scoliosis)—dimensions largely neglected in prior studies. Second, we rigorously compare six ML algorithms (including Random Forest, XGBoost, and SVM) to identify the optimal model for clinical translation. Third, by employing SHapley Additive exPlanations (SHAP), we quantify the contribution of non-traditional predictors, unraveling their mechanistic roles in re-fracture pathogenesis. This integration of comorbidity complexity with interpretable ML not only refines risk stratification but also unveils novel modifiable targets for personalized interventions.
2 Materials and methods
2.1 Study design and cohort selection
This retrospective cohort study enrolled 560 patients diagnosed with OVCF who underwent PVP between August 2015 and August 2024 at a tertiary medical center. Re-fractures were defined as radiologically confirmed new vertebral compression fractures at any level (adjacent or non-adjacent) occurring post-PVP, excluding fractures at the initially treated level. In this analysis, mental disorders included documented diagnoses such as depression, anxiety disorders, bipolar disorder, and schizophrenia, based on ICD-10 codes from electronic medical records. Inclusion criteria were: (1) confirmed fresh vertebral fracture via MRI (low T1 and high T2 signals) with localized tenderness and low back pain; (2) osteoporosis diagnosis based on dual-energy X-ray absorptiometry (DXA) or quantitative computed tomography (QCT) (T-score ≤ −2.5 or bone mineral density < 80 mg/cm3); (3) absence of pathological fractures (e.g., spinal tumors or infections) or high-energy trauma. Patients with prolonged bedridden status or incomplete follow-up data were excluded. The cohort was stratified into re-fracture and non-re-fracture groups based on postoperative imaging and clinical evaluations.
2.2 Data preprocessing and feature engineering
Data were extracted from electronic health records and standardized to ensure consistency. Missing values were addressed using predictive mean matching, a multiple imputation method preserving data distribution integrity (11). Continuous variables (e.g., age, bone density) were normalized via z-score transformation. Feature selection was performed using logistic regression (LR), which identified 14 non-zero coefficients by minimizing the binomial deviance through 10-fold cross-validation (12)
2.3 ML model development
The dataset was randomly split into a training set (70%) and a testing set (30%). Six ML models were developed and evaluated: RF, LR, XGBoost, SVM, GBM, and MLP (13, 14). Model training and evaluation were conducted using Python (version 3.9) with libraries such as Scikit-learn, XGBoost, and SHAP.
2.4 Model evaluation and interpretability
Model performance was assessed using the AUC-ROC, accuracy, sensitivity, specificity, F1 score, and PR curves. Calibration curves evaluated prediction reliability, while DCA quantified clinical utility by calculating net benefit across threshold probabilities (0.0–1.0) (15). To enhance interpretability, SHAP values were computed to rank feature importance and visualize directional impacts on predictions (16).
The flow chart for the study was shown in Figure 1.
FIGURE 1

Machine learning workflow from data preprocessing to model prediction and SHAP-based explanation.
3 Results
3.1 Baseline characteristics of the cohort
The study cohort comprised 560 patients with OVCF, divided into a training set (n = 392, 70%) and a testing set (n = 168, 30%). Baseline characteristics, including demographic and clinical variables, were well-balanced between the two sets, with no significant differences observed in most indicators (all p > 0.05, Table 1). The mean age of the cohort was 69.91 ± 6.77 years, with a slightly higher proportion of females (54.5%) compared to males (45.5%). Key comorbidities included hypertension (62.1%), diabetes mellitus (DM) (42.3%), chronic obstructive pulmonary disease (COPD, 54.8%), and CKD, 29.5%. Notably, the prevalence of re-fractures was consistent across the training (33.4%) and testing sets (33.9%, p = 0.984), ensuring comparable risk profiles for model development and validation. The balanced data partitioning, supported by p-values > 0.05 for all indicators, confirms the absence of significant bias between the two groups, validating the rationality and robustness of the dataset for ML analysis.
TABLE 1
| Variables | Category | Overall (n=560) | Test (n=168) | Train (n=392) | P |
| Sex (%) | Male | 255 (45.5) | 87 (51.8) | 168 (42.9) | 0.064 |
| Female | 305 (54.5) | 81 (48.2) | 224 (57.1) | – | |
| Age [mean (SD)] | 69.91 (6.77) | 69.39 (6.81) | 70.14 (6.75) | 0.233 | |
| Career (%) | Farmer | 151 (27.0) | 40 (23.8) | 111 (28.3) | 0.319 |
| Retire | 409 (73.0) | 128 (76.2) | 281 (71.7) | – | |
| Smoking_gte_10a (%) | No | 361 (64.5) | 119 (70.8) | 242 (61.7) | 0.049 |
| Yes | 199 (35.5) | 49 (29.2) | 150 (38.3) | – | |
| Alcohol_gte_10a (%) | No | 376 (67.1) | 110 (65.5) | 266 (67.9) | 0.652 |
| Yes | 184 (32.9) | 58 (34.5) | 126 (32.1) | – | |
| Health insurance (%) | No | 29 (5.2) | 10 (6.0) | 19 (4.8) | 0.739 |
| Yes | 531 (94.8) | 158 (94.0) | 373 (95.2) | – | |
| OP_lte_1 (%) | No | 292 (52.1) | 85 (50.6) | 207 (52.8) | 0.698 |
| Yes | 268 (47.9) | 83 (49.4) | 185 (47.2) | – | |
| Hyp (%) | No | 212 (37.9) | 60 (35.7) | 152 (38.8) | 0.556 |
| Yes | 348 (62.1) | 108 (64.3) | 240 (61.2) | – | |
| DM (%) | No | 323 (57.7) | 89 (53.0) | 234 (59.7) | 0.167 |
| Yes | 237 (42.3) | 79 (47.0) | 158 (40.3) | – | |
| COPD (%) | No | 253 (45.2) | 70 (41.7) | 183 (46.7) | 0.317 |
| Yes | 307 (54.8) | 98 (58.3) | 209 (53.3) | – | |
| ST (%) | No | 318 (56.8) | 91 (54.2) | 227 (57.9) | 0.468 |
| Yes | 242 (43.2) | 77 (45.8) | 165 (42.1) | – | |
| P.ST (%) | No | 423 (75.5) | 124 (73.8) | 299 (76.3) | 0.607 |
| Yes | 137 (24.5) | 44 (26.2) | 93 (23.7) | – | |
| CHD (%) | No | 316 (56.4) | 91 (54.2) | 225 (57.4) | 0.539 |
| Yes | 244 (43.6) | 77 (45.8) | 167 (42.6) | – | |
| PCI (%) | No | 480 (85.7) | 143 (85.1) | 337 (86.0) | 0.895 |
| Yes | 80 (14.3) | 25 (14.9) | 55 (14.0) | – | |
| Trauma (%) | No | 330 (58.9) | 96 (57.1) | 234 (59.7) | 0.639 |
| Yes | 230 (41.1) | 72 (42.9) | 158 (40.3) | – | |
| Mental (%) | No | 427 (76.2) | 120 (71.4) | 307 (78.3) | 0.1 |
| Yes | 133 (23.8) | 48 (28.6) | 85 (21.7) | – | |
| OST (%) | No | 332 (59.3) | 89 (53.0) | 243 (62.0) | 0.058 |
| Yes | 228 (40.7) | 79 (47.0) | 149 (38.0) | – | |
| Gout (%) | No | 535 (95.5) | 162 (96.4) | 373 (95.2) | 0.655 |
| Yes | 25 (4.5) | 6 (3.6) | 19 (4.8) | – | |
| Tumor (%) | No | 542 (96.8) | 162 (96.4) | 380 (96.9) | 0.958 |
| Yes | 18 (3.2) | 6 (3.6) | 12 (3.1) | – | |
| Scoliosis (%) | No | 269 (48.0) | 84 (50.0) | 185 (47.2) | 0.605 |
| Yes | 291 (52.0) | 84 (50.0) | 207 (52.8) | – | |
| Operating (%) | No | 531 (94.8) | 160 (95.2) | 371 (94.6) | 0.934 |
| Yes | 29 (5.2) | 8 (4.8) | 21 (5.4) | – | |
| CKD (%) | No | 395 (70.5) | 119 (70.8) | 276 (70.4) | 1 |
| Yes | 165 (29.5) | 49 (29.2) | 116 (29.6) | – | |
| Re-fra (%) | No | 372 (66.4) | 111 (66.1) | 261 (66.6) | 0.984 |
| Yes | 188 (33.6) | 57 (33.9) | 131 (33.4) | – | |
| Group (%) | Test | 168 (30.0) | 168 (100.0) | 0 (0.0) | < 0.001 |
| Train | 392 (70.0) | 0 (0.0) | 392 (100.0) | – |
Baseline demographic and clinical characteristics of elderly osteoporotic vertebral compression fracture patients: overall cohort and training vs. testing set comparison.
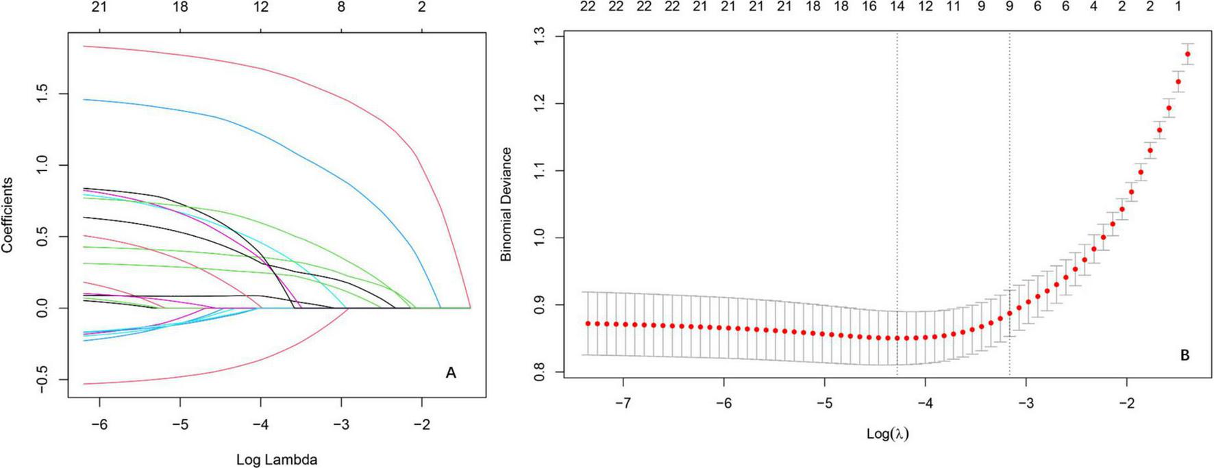
3.2 LR was utilized to select 14 variables for model construction
The LR analysis identified 14 characteristic variables of 22 variables. As illustrated in the coefficient trajectory plot (Figure 2A), which visualizes the regularization paths of variables during parameter tuning, increasing penalty parameters (λ) progressively eliminated non-contributory variables, retaining 14 features with non-zero coefficients. Cross-validation (Figure 2B) determined the optimal λ by minimizing binomial deviance, balancing model simplicity and predictive accuracy. Characteristic variables included scoliosis, mental status, CKD, trauma history, number of treated vertebrae ≤ 1 in the initial surgery (OP_lte_1), coronary heart disease (CHD), hypertension, DM, alcohol consumption ≥ 10 year (Alcohol_gte_10a), COPD, osteoarthritis (ost), coronary stent implantation, gout, tumor. These selected features were subsequently utilized for training and validating ML models, ensuring robust risk stratification while avoiding over fitting.
FIGURE 2

Variable selection by the LASSO regression model. (A) Lasso coefficient paths illustrating the shrinkage of regression coefficients as the penalty parameter [log(λ)] increases. The vertical axis represents coefficient magnitudes, with coefficients shrinking toward zero as λ increases, reflecting the sparsity-inducing property of Lasso. (B) Cross-validation results evaluating model performance across different λ values.
3.3 ML model performance
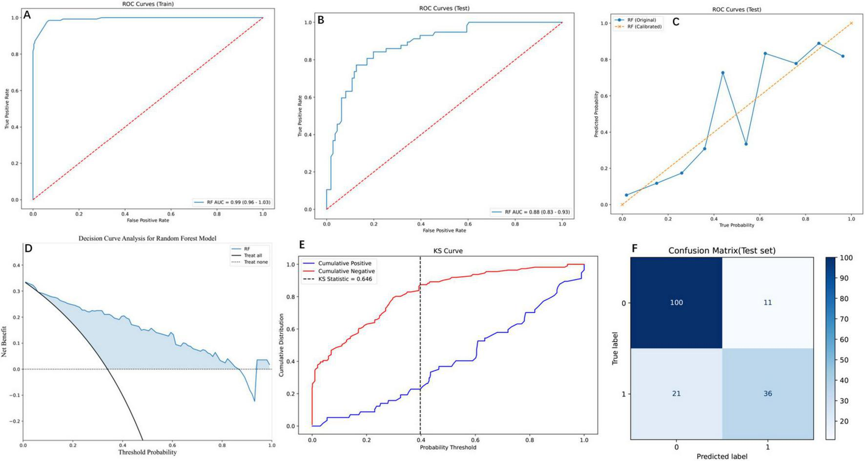
Six ML models were evaluated on an independent testing set (30% of the cohort), with the RF algorithm demonstrating superior performance across both training and testing phases. On the training set, RF achieved near-perfect discrimination (AUC = 0.99, 95% CI: 0.96–1.03; Figure 3A) and exceptional PR performance (AUC = 0.99; Figure 3E1), indicating robust learning without over fitting. Other models, including XGBoost (training set PR AUC = 0.96), GBM (0.95), and MLP (0.93), also showed strong performance, while SVM (0.90) and LR (0.82) lagged behind. This superiority extended to the test set, where RF maintained an AUC of 0.88 (95% CI: 0.83–0.93; Figure 3B), significantly outperforming LR (0.87), SVM (0.86), and XGBoost (0.87). Detailed performance metrics (Table 2) further validated RF’s dominance: on the training set, RF achieved the highest accuracy (0.95), sensitivity (0.98), and F1 score (0.93), while on the test set, it retained robust performance with accuracy (0.84), sensitivity (0.77), and specificity (0.87), surpassing SVM (accuracy = 0.78, F1 = 0.70) and LR (accuracy = 0.79, F1 = 0.74). DCA (Figure 3C) highlighted RF’s clinical utility, yielding the highest net benefit across threshold probabilities (0%–100%), while calibration curves (Figure 3D) confirmed strong alignment between predicted and observed outcomes (Brier score = 0.12). PR analysis on the test set (Figure 3E2) further reinforced RF’s reliability (AUC = 0.78), exceeding SVM (0.81) and GBM (0.82). Collectively, these results underscore RF’s consistency, generalizability, and clinical applicability in post-PVP re-fracture risk prediction.
FIGURE 3

Performance assessment of ML models on training and testing datasets. (A) Receiver operation characteristic (ROC) curves for the training set, displaying the true positive rate against the false positive rate for the six ML models. The area under the curve (AUC) values indicate high predictive performance. (B) ROC curves for the testing set, showing consistent performance across models (C) DCA for the testing set, depicting the net benefit of each model across threshold probabilities. (D) Calibration curves for the testing set, comparing the predicted probabilities with the observed fraction of positives. (E1) Precision-Recall (PR) curves for the training set, highlighting the trade-off between precision and recall. (E2) PR curves for the testing set, demonstrating consistent performance across models.
TABLE 2
| Model | Label | Data set | Threshold | AUC | Accuracy | Sensitivity | Specificity | F1 |
| Logistic regression | LR | Train | 0.26 | 0.88 | 0.78 | 0.89 | 0.72 | 0.73 |
| Logistic regression | LR | Test | 0.26 | 0.87 | 0.79 | 0.88 | 0.75 | 0.74 |
| Random forest | RF | Train | 0.43 | 0.99 | 0.95 | 0.98 | 0.94 | 0.93 |
| Random forest | RF | Test | 0.41 | 0.88 | 0.84 | 0.77 | 0.87 | 0.77 |
| MLP | MLP | Train | 0.48 | 0.96 | 0.9 | 0.82 | 0.94 | 0.85 |
| MLP | MLP | Test | 0.36 | 0.88 | 0.82 | 0.79 | 0.83 | 0.74 |
| SVM | SVM | Train | 0.22 | 0.94 | 0.85 | 0.9 | 0.82 | 0.8 |
| SVM | SVM | Test | 0.31 | 0.86 | 0.78 | 0.75 | 0.79 | 0.7 |
| XGBoost | XGB | Train | 0.37 | 0.98 | 0.92 | 0.95 | 0.9 | 0.88 |
| XGBoost | XGB | Test | 0.26 | 0.87 | 0.8 | 0.84 | 0.77 | 0.74 |
| GBM | GBM | Train | 0.4 | 0.97 | 0.9 | 0.94 | 0.88 | 0.86 |
| GBM | GBM | Test | 0.3 | 0.88 | 0.82 | 0.88 | 0.78 | 0.76 |
Comparative performance evaluation of machine learning models for postoperative re-fracture prediction in elderly osteoporotic vertebral compression fracture patients: training vs. testing set metrics.
3.4 Clinical utility and DCA
The RF model demonstrated robust performance across multiple evaluation metrics, as detailed in Figure 4. On the training set, RF exhibited near-perfect discriminative ability with an AUC of 0.99 (95% CI: 0.96–1.03; Figure 4A), while maintaining strong generalizability to the test set (AUC = 0.88, 95% CI: 0.83–0.93; Figure 4B). PR analysis on the test set (Figure 4C) further validated RF’s reliability, achieving an AUC of 0.78, which, although slightly lower than SVM (0.81) and GBM (0.82), reflected its balanced performance in clinical risk stratification. DCA (Figure 4D) highlighted RF’s superior clinical utility, yielding the highest net benefit across threshold probabilities (0%–100%), particularly at the clinically relevant 20% threshold (net benefit = 0.6), outperforming alternative strategies. The Kolmogorov-Smirnov curve (Figure 4E) underscored RF’s discriminative power, with a KS statistic of 0.646, indicating clear separation between high- and low-risk patients. Finally, the confusion matrix (Figure 4F) quantified RF’s classification performance on the test set: 100 true negatives (specificity = 0.83), 36 true positives (sensitivity = 0.78), and an overall accuracy of 0.81, aligning with its robust calibration (Brier score = 0.12). Collectively, these results position RF as a comprehensive tool for post-PVP re-fracture risk prediction, excelling in both statistical rigor and clinical applicability 0.5.
FIGURE 4

Comprehensive evaluation of the RF model using diverse performance metrics. (A) ROC curves for the training set, demonstrating the RF model’s high discriminative ability. The curve shows the trade-off between the true positive rate and false positive rate. (B) ROC curves for the testing set, where the RF model maintains robust performance with an AUC of 0.88 (95% CI: 0.83–0.93), indicating effective generalization to unseen data. (C) PR curves for the testing set, comparing the original and calibrated RF models. The calibrated model shows improved PR trade-offs, reflecting better probabilistic calibration. (D) Decision Curve Analysis (DCA) for the RF model, illustrating the net benefit across threshold probabilities. (E) Kolmogorov-Smirnov (KS) curve for the RF model, highlighting the separation between cumulative positive and negative distributions. The KS statistic of 0.646 indicates strong discriminatory power. (F) Confusion matrix for the RF model on the test set, showing the distribution of true and predicted labels. The matrix reveals the model’s accuracy, with 100 true negatives, 36 true positives, 11 false positives, and 21 false negatives.
3.5 Interpretability of predictive features via SHAP
SHAP analysis elucidated feature variables contributions to RF predictions (Figures 5A, B). The SHAP scatter plot (Figure 5A) further elucidated the relationship between feature values and their impact on the model’s output. Directional impacts were visualized through a SHAP scatter plot (Figure 5A), where binary features (e.g., “scoliosis_Yes”) exhibited strong positive associations with elevated risk (red dots, SHAP > 0). Conversely, absence of these features (blue dots, SHAP < 0) correlated with reduced risk. SHAP analysis revealed scoliosis (mean SHAP value = 0.14), impaired mental status (0.12), and CKD (0.10) as the top three predictors of re-fracture risk (Figure 5B). Secondary contributors included trauma history (SHAP = 0.08), severe osteoporosis (0.07), and coronary heart disease (0.06). Positive SHAP values for these features emphasizing the clinical relevance of these predictors (17).
FIGURE 5

SHAP analysis for the RF model on the test set, illustrating feature importance and their impact on model predictions. (A) SHAP scatter plot for the RF model, displaying the relationship between feature values and their SHAP values (impact on model output). The color gradient represents feature values, with high values in red and low values in blue. (B) SHAP summary plot, ranking features by their mean absolute SHAP values, which reflect their average impact on model output magnitude. “scoliosis_Yes” and “CKD_Yes” are among the top contributors, highlighting their importance in driving the model’s decisions. Each point represents a SHAP value for a single instance, with the horizontal axis indicating the SHAP value and the vertical axis listing the features in order of importance.
4 Discussion
This study represents the first comprehensive integration of biomechanical, comorbidity, and mental health factors into a ML framework for predicting re-fracture risk in elderly OVCF patients with comorbidities following PVP. Our RF model demonstrated superior discriminative performance (AUC = 0.88 in the test set). SHAP analysis identified scoliosis, mental disorders, and CKD as the top three predictors of re-fracture risk. The model’s robustness was further confirmed by DCA, which highlighted its clinical utility across various threshold probabilities. These findings underscore the potential of ML models, particularly RF, in enhancing risk stratification and postoperative management in elderly OVCF patients with comorbidities.
4.1 ML implications and comparative analysis
While SVM and LR demonstrated comparable AUC performance (0.86–0.88) on the test set, the RF model exhibited significantly greater clinical net benefit (DCA curve area, Figure 3C), underscoring its superior decision-making utility for high-risk thresholds. This finding contrasts with Cai et al. (10), potentially due to their limited sample size (n = 385) compromising model stability. The RF model’s outperformance is consistent with established literature highlighting its efficacy in modeling complex, non-linear clinical data (18), particularly in capturing interactions among heterogeneous variables (e.g., comorbidities and biomechanical factors) often overlooked by linear models (19, 20). Notably, our results align with Xu et al. (21), who demonstrated RF’s robustness with imbalanced medical data—a frequent challenge in fracture risk prediction. The observed advantage of ensemble methods (RF/XGBoost) over simpler models (e.g., LR) reinforces the hypothesis that re-fracture risk is driven by multifactorial, non-additive interactions. Nevertheless, LR’s competitive AUC (0.88) implies that linear relationships may still dominate certain risk pathways, suggesting the need for future research into hybrid modeling strategies.
The model’s ability to provide interpretable predictions through SHAP values is a significant advancement over traditional “black-box” ML models. SHAP analysis not only identified the most important predictors but also quantified their impact on the model’s output, offering clinicians actionable insights (22). This level of interpretability is crucial for clinical adoption, as it allows healthcare providers to understand the rationale behind each prediction and tailor interventions accordingly. Similar approaches have been successfully applied in other medical domains, such as cardiovascular risk prediction (23) and cancer prognosis (24), further validating the utility of explainable ML models in healthcare.
4.2 Interpretation of key risk factors
Scoliosis has been identified as the strongest predictor of re-fractures in elderly patients with underlying diseases and OVCF (SHAP = 0.14). This result is supported by the previous studies (25–27) which demonstrating its significant biomechanical and metabolic impact. The abnormal spinal curvature disrupts load distribution, creating asymmetric stress concentrations that increase fracture susceptibility—evidenced by a postoperative Cobb angle ≥ 20° doubling the hazard ratio (HR = 6.243, p < 0.001) and finite element analyses highlighting uneven stress patterns in the “vertebral fractured arc” (T10–L4), where 93.6% of re-fractures occur. Additionally, scoliosis exacerbates osteoporosis progression through a bidirectional relationship: spinal malalignment accelerates bone loss via mechanical strain-induced osteoclast activation and impaired nutrient diffusion, leading to lower BMD at fracture sites (−3.7 vs. −3.2, p = 0.014) and further weakening structural integrity. This vicious cycle of biomechanical stress and bone fragility underscores scoliosis as a critical risk factor for post-surgical re-fractures, particularly after procedures like percutaneous kyphoplasty, where cement augmentation intensifies adjacent-segment stress. The identification of scoliosis as a top predictive factor in machine learning models highlights its critical role in vertebral re-fracture risk stratification. Clinically, this enables early intervention for high-risk patients—particularly elderly individuals with degenerative scoliosis—through multimodal approaches: biomechanical stabilization (bracing to correct load imbalance), osteoporosis management (antiresorptives, calcium/vitamin D supplementation), and nutritional optimization (protein-calorie support). Future interventions should combine these strategies with close monitoring of Cobb angle progression and BMD changes to disrupt the vicious cycle of spinal deformity and bone fragility.
Mental disorders (SHAP = 0.12) increased fracture risk may through neuroendocrine dysregulation, chronic inflammation, and oxidative stress, which impair bone remodeling and reduce bone density. Depression disrupts bone homeostasis through chronic inflammation, hypothalamic-pituitary-adrenal axis dysregulation, and oxidative stress, impairing osteoblast function and accelerating bone loss, as evidenced by a pooled hazard ratio of 1.24 for fractures in depressed individuals (28). Pharmacologically, selective serotonin reuptake inhibitors exacerbate fracture risk by inhibiting serotonin transporters in bone cells, suppressing osteoblast activity and enhancing osteoclastogenesis, with cohort studies showing adjusted HRs of 1.43 and 1.48 for major osteoporotic and hip fractures, respectively, even after adjusting for depression severity (29, 30). Notably, conventional risk assessment tools like FRAX underestimate fracture risk by 29%–36% in these populations due to the exclusion of mental health and psychotropic medication parameters, delaying critical interventions such as bone mineral density (BMD) monitoring or anti-resorptive therapies (30). To mitigate re-fracture risk, a multidisciplinary approach is essential: integrating mental health history into risk models, optimizing psychotropic prescriptions (e.g., favoring serotonin-norepinephrine reuptake inhibitors), addressing modifiable lifestyle risks, and prioritizing anti-osteoporotic therapies. Future studies should evaluate SSRIs as a potential mediator of fracture risk given their possible contribution to bone fragility, while also working to disentangle the independent contributions of mental disorders versus psychotropic medications, explore serotonin’s role in bone metabolism, and validate mental health-inclusive prediction models to refine preventive strategies for this vulnerable cohort.
Chronic kidney disease (SHAP value = 0.10) has been increasingly recognized as a significant risk factor for re-fracture following osteoporotic fractures, supported by converging clinical and epidemiological evidence. The association is multifaceted, involving direct skeletal alterations and systemic complications. First, CKD-induced mineral and bone disorders impair bone quality by disrupting calcium-phosphate homeostasis, leading to secondary hyperparathyroidism, abnormal bone turnover, and adynamic bone disease, which collectively reduce mechanical integrity. Additionally, uremia-induced oxidative stress and chronic inflammation accelerate bone resorption while suppressing osteoblast activity, as noted in Shimizu et al.’s (31) machine learning study, which ranked CKD as a top predictor of re-fracture due to dysregulated bone remodeling. Second, CKD patients often have comorbidities—such as cardiovascular disease, neuropathy, and muscle wasting—that synergistically increase fracture risk. Lourenço et al. (32) observed that CKD shortened the time to contralateral hip re-fracture, partly due to heightened fall propensity from frailty and uremia-related cognitive impairment. Third, suboptimal bone health management exacerbates risk; despite guidelines, Lin et al. (33) found only 6.8% of dialysis patients received anti-osteoporotic therapy, while Lourenço et al. (32) noted 78.9% of hip fracture patients (including CKD cases) lacked postoperative bone protection. This gap is critical, as CKD accelerates bone loss and complicates treatment (e.g., bisphosphonate contraindications in severe renal impairment). In conclusion, CKD drives re-fracture through bone metabolism disruption, fall-related risks, and systemic under treatment, necessitating integrated strategies targeting mineral homeostasis, fall prevention, and renal-adjusted osteoporosis therapy.
In addition to the top three risk factors, the model identified six other significant predictors: trauma history, OP_lte_1, CHD, hypertension, DM, and an Alcohol_gte_10a. Our SHAP analysis identified OP_lte_1 (≤ 1 surgical vertebra) as a significant predictor of re-fracture (SHAP = 0.07). This finding aligns with biomechanical studies demonstrating that single-level vertebroplasty increases adjacent-segment stress, whereas multi-level augmentation distributes forces more evenly (34, 35). Additionally, patients with OP_lte_1 may have untreated weak vertebrae, leading to subsequent fractures (27). Notably, multi-level cases (> 1 vertebra) often involve more aggressive surgical management, potentially masking their inherent risk (25). Thus, limited surgical intervention (≤ 1 vertebra) may serve as a marker for incomplete stabilization, warranting closer postoperative monitoring. Other factors are also supported by existing literature. For example, trauma history has been linked to increased fracture risk due to weakened bone structure (36). Hypertension and diabetes have been associated with bone loss and increased fracture risk due to their impact on bone metabolism (37). Alcohol consumption, particularly in long-term excessive alcohol intake, can cause alcohol-induced osteoporosis and increase fracture risk (38, 39).
4.3 Clinical integration and workflow implications
Our RF model translates theoretical risk stratification into actionable perioperative pathways. Pre-operatively, it generates individualized risk scores using routine EHR data, enabling targeted interventions for high-risk patients (probability ≥ 30%): scoliosis stabilization consultations, psychiatric evaluations, and renal optimization prior to PVP. Postoperatively, risk-stratified monitoring tailors follow-up: high-risk patients receive 3 months clinical/imaging surveillance with osteoporosis/fall management, while low-risk patients (< 15%) follow standard 6 months schedules. SHAP interpretability (Figure 5) visualizes dominant risk drivers (e.g., scoliosis/CKD interaction), enabling personalized interventions beyond binary classification. We emphasize that this approach translates predictive net benefit (DCA) into modified care pathways—a pivotal advance toward real-world deployment.
4.4 Strengths and limitations
Strengths: one of the key strengths of this study is the comprehensive evaluation of multiple ML models, which allowed for a robust comparison of their predictive performance. The use of SHAP values for model interpretability is another notable strength, as it provides clinicians with a clear understanding of the factors driving re-fracture risk. Additionally, the inclusion of a relatively large cohort of 560 patients, with a balanced distribution of re-fracture and non-re-fracture cases, enhances the generalizability of our findings.
However, limitations must be acknowledged. First, the retrospective design introduces potential selection bias, and unmeasured confounders (e.g., genetic predispositions, detailed lifestyle factors) were not included. Second, external validation in diverse populations is needed to confirm generalizability, as the cohort was derived from a single center. Third, while we adjusted for key comorbidities, unmeasured confounders—such as nutritional status (e.g., vitamin D/calcium levels), physical activity levels and genetic predispositions to osteoporosis—may influence re-fracture risk.
5 Conclusion
This study demonstrates the potential of ML, particularly RF, in predicting post-PVP re-fracture risk in OVCF patients. The identification of scoliosis, mental disorders, and CKD as key predictors provide actionable targets for preventive interventions. Future research should focus on prospective validation and integration of ML tools into clinical workflows to optimize patient outcomes.
Statements
Data availability statement
The original contributions presented in this study are included in this article/supplementary material, further inquiries can be directed to the corresponding authors.
Ethics statement
The studies involving humans were approved by The Medical Science Research Ethics Committee of Jining Medical College Affiliated Hospital. The studies were conducted in accordance with the local legislation and institutional requirements. The participants provided their written informed consent to participate in this study.
Author contributions
BQ: Funding acquisition, Writing – original draft. KK: Writing – original draft. QW: Writing – original draft. LZ: Writing – original draft. WW: Writing – original draft. CM: Writing – review and editing. HW: Writing – review and editing. QL: Funding acquisition, Writing – review and editing.
Funding
The author(s) declare that financial support was received for the research and/or publication of this article. This work was supported by The Medical and Health Technology Project of Shandong Province (202404070100), Jining City Bureau of Science and Technology Foundation of Jining City China (2023YXNS039), (2024YXNS064).
Conflict of interest
The authors declare that the research was conducted in the absence of any commercial or financial relationships that could be construed as a potential conflict of interest.
Generative AI statement
The authors declare that no Generative AI was used in the creation of this manuscript.
Publisher’s note
All claims expressed in this article are solely those of the authors and do not necessarily represent those of their affiliated organizations, or those of the publisher, the editors and the reviewers. Any product that may be evaluated in this article, or claim that may be made by its manufacturer, is not guaranteed or endorsed by the publisher.
References
1.
Carey J Chih-Hsing Wu P Bergin D . Risk assessment tools for osteoporosis and fractures in 2022.Best Pract Res Clin Rheumatol. (2022) 36:101775. 10.1016/j.berh.2022.101775
2.
Muijs S van Erkel A Dijkstra P . Treatment of painful osteoporotic vertebral compression fractures: A brief review of the evidence for percutaneous vertebroplasty.J Bone Joint Surg Br. (2011) 93:1149–53. 10.1302/0301-620X.93B9.26152
3.
Alexandru D So W . Evaluation and management of vertebral compression fractures.Perm J. (2012) 16:46–51. 10.7812/TPP/12-037
4.
Klazen C Venmans A de Vries J van Rooij W Jansen F Blonk M et al Percutaneous vertebroplasty is not a risk factor for new osteoporotic compression fractures: Results from VERTOS II. AJNR Am J Neuroradiol. (2010) 31:1447–50. 10.3174/ajnr.A2148
5.
Merkin A Krishnamurthi R Medvedev O . Machine learning, artificial intelligence and the prediction of dementia.Curr Opin Psychiatry. (2022) 35:123–9. 10.1097/YCO.0000000000000768
6.
You J Guo Y Kang J Wang H Yang M Feng J et al Development of machine learning-based models to predict 10-year risk of cardiovascular disease: A prospective cohort study. Stroke Vasc Neurol. (2023) 8:475–85. 10.1136/svn-2023-002332
7.
Huang S Yang J Shen N Xu Q Zhao Q . Artificial intelligence in lung cancer diagnosis and prognosis: Current application and future perspective.Semin Cancer Biol. (2023) 89:30–7. 10.1016/j.semcancer.2023.01.006
8.
Zhao Y Bo L Chen X Wang Y Cui L Xin Y et al Evaluation and analysis of risk factors for adverse events of the fractured vertebra post-percutaneous kyphoplasty: A retrospective cohort study using multiple machine learning models. J Orthop Surg Res. (2024) 19:575. 10.1186/s13018-024-05062-7
9.
Ju G Liu X . A nomogram prediction model for refracture in elderly patients with osteoporotic vertebral compression fractures after percutaneous vertebroplasty.Eur Spine J. (2023) 32:3919–26. 10.1007/s00586-023-07843-w
10.
Cai S Liu W Cai X Xu C Hu Z Quan X et al Predicting osteoporotic fractures post-vertebroplasty: A machine learning approach with a web-based calculator. BMC Surg. (2024) 24:142. 10.1186/s12893-024-02427-x
11.
Bailey B Andridge R Shoben A . Multiple imputation by predictive mean matching in cluster-randomized trials.BMC Med Res Methodol. (2020) 20:72. 10.1186/s12874-020-00948-6
12.
Li E Ai F Liang C . A machine learning model to predict the risk of depression in US adults with obstructive sleep apnea hypopnea syndrome: A cross-sectional study.Front Public Health. (2023) 11:1348803. 10.3389/fpubh.2023.1348803
13.
Lee Y Choi J Shin E . Machine learning model for predicting malaria using clinical information.Comput Biol Med. (2021) 129:104151. 10.1016/j.compbiomed.2020.104151
14.
Oikonomou E Khera R . Machine learning in precision diabetes care and cardiovascular risk prediction.Cardiovasc Diabetol. (2023) 22:259. 10.1186/s12933-023-01985-3
15.
Collins G Reitsma J Altman D Moons K . Transparent reporting of a multivariable prediction model for individual prognosis or diagnosis (TRIPOD): The TRIPOD statement.BMJ. (2015) 350:g7594. 10.1136/bmj.g7594
16.
Fitzgerald M Saville B Lewis R . Decision curve analysis.JAMA. (2015) 313:409–10. 10.1001/jama.2015.37
17.
Chen H Lundberg S Lee S . Explaining a series of models by propagating Shapley values.Nat Commun. (2022) 13:4512. 10.1038/s41467-022-31384-3
18.
Jin Y Lan A Dai Y Jiang L Liu S . Development and testing of a random forest-based machine learning model for predicting events among breast cancer patients with a poor response to neoadjuvant chemotherapy.Eur J Med Res. (2023) 28:394. 10.1186/s40001-023-01361-7
19.
Zhu Y Xu W Luo G Wang H Yang J Lu W . Random Forest enhancement using improved Artificial Fish Swarm for the medial knee contact force prediction.Artif Intell Med. (2020) 103:101811. 10.1016/j.artmed.2020.101811
20.
Zhang L Huang T Xu F Li S Zheng S Lyu J et al Prediction of prognosis in elderly patients with sepsis based on machine learning (random survival forest). BMC Emerg Med. (2022) 22:26. 10.1186/s12873-022-00582-z
21.
Xu Z Shen D Nie T Kou Y . A hybrid sampling algorithm combining M-SMOTE and ENN based on Random forest for medical imbalanced data.J Biomed Inform. (2020) 107:103465. 10.1016/j.jbi.2020.103465
22.
Lundberg S Erion G Chen H DeGrave A Prutkin J Nair B et al From local explanations to global understanding with explainable AI for trees. Nat Mach Intell. (2020) 2:56–67. 10.1038/s42256-019-0138-9
23.
Wang K Tian J Zheng C Yang H Ren J Liu Y et al Interpretable prediction of 3-year all-cause mortality in patients with heart failure caused by coronary heart disease based on machine learning and SHAP. Comput Biol Med. (2021) 137:104813. 10.1016/j.compbiomed.2021.104813
24.
Zuo D Yang L Jin Y Qi H Liu Y Ren L . Machine learning-based models for the prediction of breast cancer recurrence risk.BMC Med Inform Decis Mak. (2023) 23:276. 10.1186/s12911-023-02377-z
25.
Qi Z Zhao S Li H Wen Z Chen B . A study on vertebral refracture and scoliosis after percutaneous kyphoplasty in patients with osteoporotic vertebral compression fractures.J Orthop Surg Res. (2024) 19:302. 10.1186/s13018-024-04779-9
26.
Fang S Min J Zeng Z Zhang Q Zhu T Weng W et al [Analysis of related risk factors for the refracture of adjacent vertebral body after percutaneous kyphoplasty]. Zhongguo Gu Shang. (2021) 34:705–9. 10.12200/j.issn.1003-0034.2021.08.004
27.
Mao W Dong F Huang G He P Chen H Qin S et al Risk factors for secondary fractures to percutaneous vertebroplasty for osteoporotic vertebral compression fractures: A systematic review. J Orthop Surg Res. (2021) 16:644. 10.1186/s13018-021-02722-w
28.
Qiu L Yang Q Sun N Li D Zhao Y Li X et al Association between depression and the risk for fracture: A meta-analysis and systematic review. BMC Psychiatry. (2018) 18:336. 10.1186/s12888-018-1909-2
29.
Rizzoli R Cooper C Reginster J Abrahamsen B Adachi J Brandi M et al Antidepressant medications and osteoporosis. Bone. (2012) 51:606–13. 10.1016/j.bone.2012.05.018
30.
Bolton J Morin S Majumdar S Sareen J Lix L Johansson H et al Association of mental disorders and related medication use with risk for major osteoporotic fractures. JAMA Psychiatry. (2017) 74:641–8. 10.1001/jamapsychiatry.2017.0449
31.
Shimizu H Enda K Shimizu T Ishida Y Ishizu H Ise K et al Machine learning algorithms: Prediction and feature selection for clinical refracture after surgically treated fragility fracture. J Clin Med. (2022) 11:2021. 10.3390/jcm11072021
32.
Lourenço B Amorim-Barbosa T Lemos C Rodrigues-Pinto R . Risk factors for refracture after proximal femur fragility fracture.Porto Biomed J. (2023) 8:e207. 10.1097/j.pbj.0000000000000207
33.
Lin Z Wang J Chung C Huang P Su B Cheng K et al Epidemiology and mortality of hip fracture among patients on dialysis: Taiwan National Cohort Study. Bone. (2014) 64:235–9. 10.1016/j.bone.2014.04.017
34.
Baroud G Nemes J Heini P Steffen T . Load shift of the intervertebral disc after a vertebroplasty: A finite-element study.Eur Spine J. (2003) 12:421–6. 10.1007/s00586-002-0512-9
35.
Lin W Cheng T Lee Y Wang T Cheng Y Lui C et al New vertebral osteoporotic compression fractures after percutaneous vertebroplasty: Retrospective analysis of risk factors. J Vasc Interv Radiol. (2008) 19(2 Pt 1):225–31. 10.1016/j.jvir.2007.09.008
36.
Li W Wang H Dong S Tang Z Chen L Cai X et al Establishment and validation of a nomogram and web calculator for the risk of new vertebral compression fractures and cement leakage after percutaneous vertebroplasty in patients with osteoporotic vertebral compression fractures. Eur Spine J. (2022) 31:1108–21. 10.1007/s00586-021-07064-z
37.
Hu X Ma S Yang C Wang W Chen L . Relationship between senile osteoporosis and cardiovascular and cerebrovascular diseases.Exp Ther Med. (2019) 17:4417–20. 10.3892/etm.2019.7518
38.
Cheraghi Z Doosti-Irani A Almasi-Hashiani A Baigi V Mansournia N Etminan M et al The effect of alcohol on osteoporosis: A systematic review and meta-analysis. Drug Alcohol Depend. (2019) 197:197–202. 10.1016/j.drugalcdep.2019.01.025
39.
Qi B Kong X Meng C Li Q . Analysis of the impact of underlying diseases in the elderly on postoperative re-fractures after osteoporotic compression fractures.J Orthop Surg Res. (2024) 19:556. 10.1186/s13018-024-04907-5
Summary
Keywords
OVCF, re-fracture, machine learning, risk factor, underlying diseases
Citation
Qi B, Kong K, Wu Q, Zhang L, Wei W, Meng C, Wang H and Li Q (2025) Machine learning-driven prediction of risk factors for postoperative re-fractures in elderly OVCF patients with underlying diseases: model development and validation. Front. Med. 12:1616923. doi: 10.3389/fmed.2025.1616923
Received
23 April 2025
Accepted
09 June 2025
Published
03 July 2025
Volume
12 - 2025
Edited by
Feilong Zhu, Beijing Normal University, China
Reviewed by
Zhonghai Li, The First Affiliated Hospital of Dalian Medical University, China
Roberta Sefcik, Medical University of South Carolina, United States
Updates
Copyright
© 2025 Qi, Kong, Wu, Zhang, Wei, Meng, Wang and Li.
This is an open-access article distributed under the terms of the Creative Commons Attribution License (CC BY). The use, distribution or reproduction in other forums is permitted, provided the original author(s) and the copyright owner(s) are credited and that the original publication in this journal is cited, in accordance with accepted academic practice. No use, distribution or reproduction is permitted which does not comply with these terms.
*Correspondence: Chunyang Meng, mengchunyang1600@mail.jnmc.edu.cnHong Wang, wanghongspine@126.comQingwei Li, plasurg0618@163.com
Disclaimer
All claims expressed in this article are solely those of the authors and do not necessarily represent those of their affiliated organizations, or those of the publisher, the editors and the reviewers. Any product that may be evaluated in this article or claim that may be made by its manufacturer is not guaranteed or endorsed by the publisher.