SYSTEMATIC REVIEW article
Front. Med.
Sec. Family Medicine and Primary Care
This article is part of the Research TopicNew Trends in Managing Obesity in Primary CareView all 8 articles
Comparison of Efficacy of Acupuncture-Related Therapy in the Treatment of Perimenopausal Obesity: A Network Meta-Analysis of Randomized Controlled Trials.
Provisionally accepted- Guangzhou University of Chinese Medicine, Guangzhou, China
Select one of your emails
You have multiple emails registered with Frontiers:
Notify me on publication
Please enter your email address:
If you already have an account, please login
You don't have a Frontiers account ? You can register here
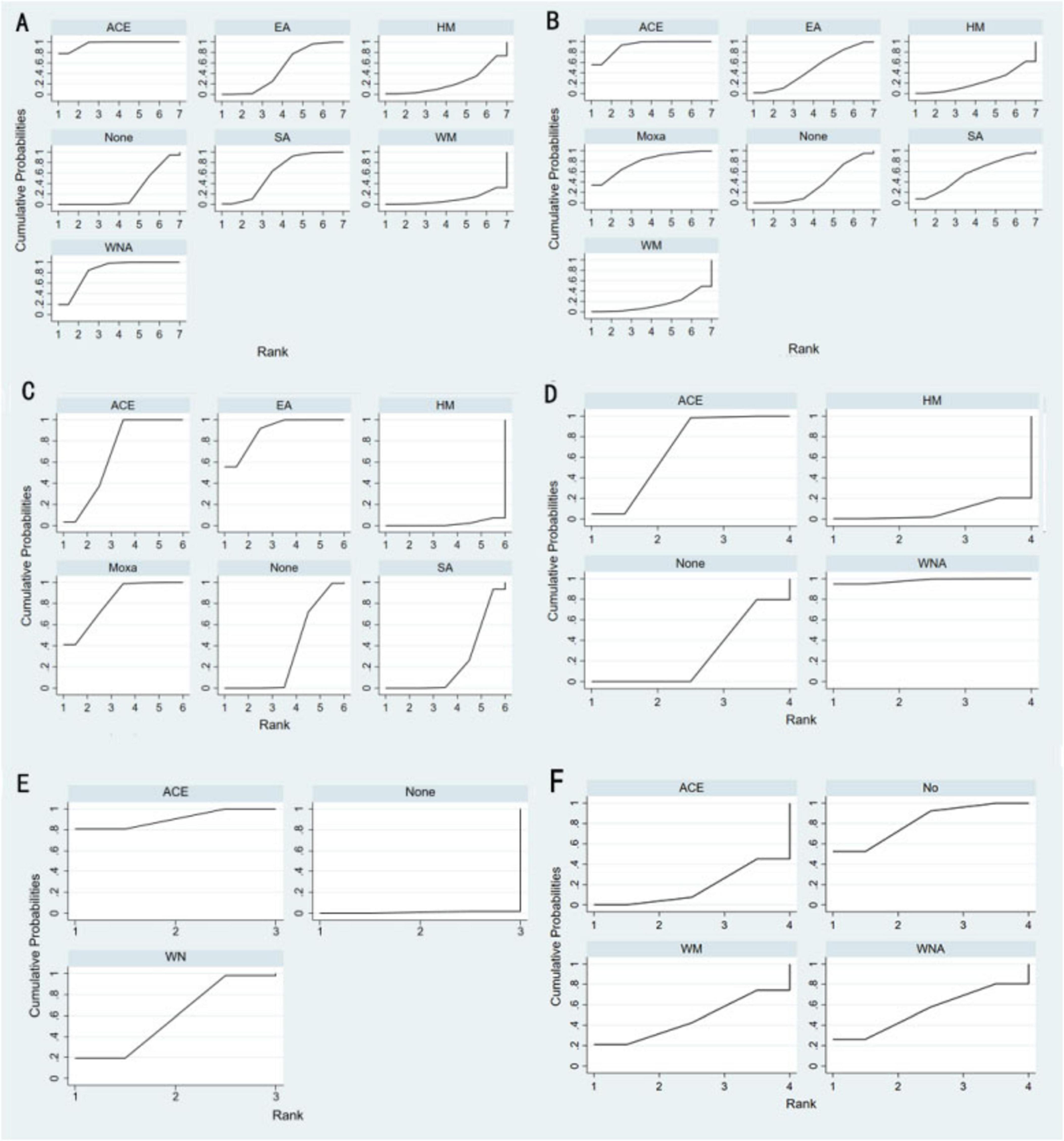
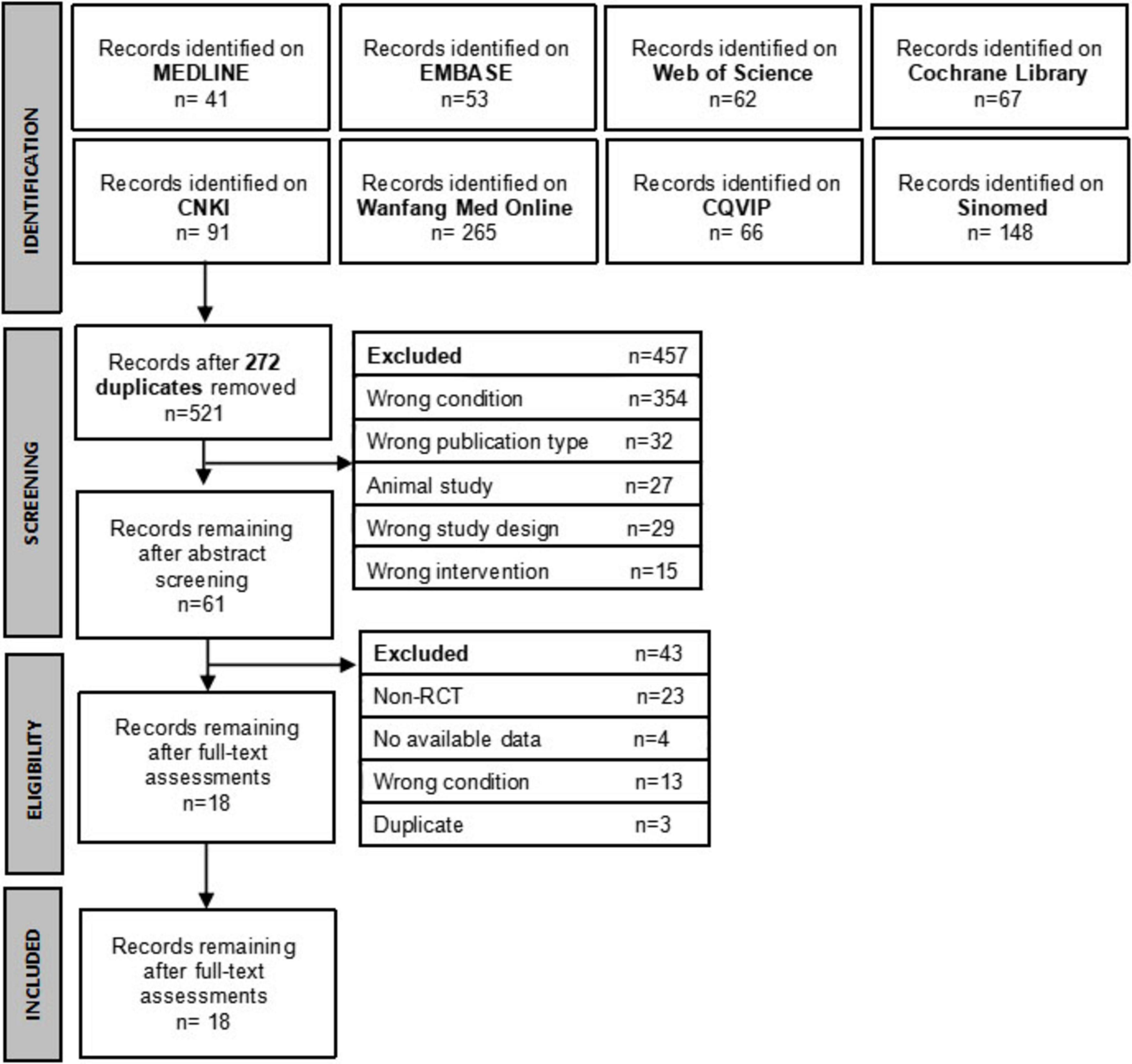
Objective: This study aimed to compare the effects of acupuncture-related therapies on obese perimenopausal women through a systematic review and network meta-analysis (NMA) of randomized controlled trials (RCTs). Methods: Embase, MEDLINE, the Cochrane Library, Web of Science, China National Knowledge Infrastructure, Wanfang Data, Chongqing VIP, and SinoMed were systematically searched from the inception to December 2024. The certainty of evidence was assessed using the Grading of Recommendations, Assessment, Development, and Evaluation (GRADE) framework. Primary outcomes included body mass index (BMI) and body weight. Secondary outcomes included waist circumference (WC), body fat percentage, the Kupperman index, estradiol (E2), follicle-stimulating hormone (FSH), luteinizing hormone (LH), triglyceride (TG), total cholesterol (TC), high-density lipoprotein (HDL), and low-density lipoprotein (LDL). Results: Eighteen RCTs involving 1268 patients with perimenopausal obesity were included. The results of the network meta-analysis revealed that, when compared to traditional Chinese herbal medicine (HM) and Western medication (WM), multiple acupuncture therapies demonstrated superior efficacy on the overall clinical effectiveness. The analysis showed that acupoint catgut embedding demonstrated superior BMI, weight, the Kupperman index, and estradiol levels improvement. Electroacupuncture was most effective for WC reduction but was inferior to sham acupoint catgut embedding for BMI and weight. Warm needle acupuncture ranked highest for body fat percentage. The pairwise meta-analysis demonstrated that acupoint catgut embedding significantly reduced FSH and LH levels. The descriptive analysis suggested that acupoint catgut embedding and warm needle acupuncture were associated with improvements in TG and LDL Levels. Conclusion: The results showed that the acupuncture-related therapies can benefit patients by improving obesity indicators, perimenopausal symptoms, serum sex hormone levels, and blood lipid levels. Several acupuncture-related therapies may be more effective than WM or HM for perimenopausal obesity and could serve as alternative treatments, with method selection based on individual clinical needs, though confirmation through higher-quality trials is warranted.
Keywords: Acupuncture, Obesity, Perimenopause, Systematic review, Network meta-analysis
Received: 30 Jul 2025; Accepted: 03 Nov 2025.
Copyright: © 2025 Wang, Tu, Lu, Zhuang, Xu and Chen. This is an open-access article distributed under the terms of the Creative Commons Attribution License (CC BY). The use, distribution or reproduction in other forums is permitted, provided the original author(s) or licensor are credited and that the original publication in this journal is cited, in accordance with accepted academic practice. No use, distribution or reproduction is permitted which does not comply with these terms.
* Correspondence:
Yunxiang Xu, xuyx1968@163.com
Guizhen Chen, cgzhen2000@163.com
Disclaimer: All claims expressed in this article are solely those of the authors and do not necessarily represent those of their affiliated organizations, or those of the publisher, the editors and the reviewers. Any product that may be evaluated in this article or claim that may be made by its manufacturer is not guaranteed or endorsed by the publisher.
