Abstract
Background/objectives:
Cesarean scar pregnancy (CSP) is a rare but increasingly prevalent form of ectopic pregnancy, often associated with severe postoperative complications. Current research lacks robust tools to predict these complications. This study aimed to develop and validate a clinical nomogram to assess the risk of postoperative complications in CSP patients using multidimensional clinical data.
Methods:
A retrospective cohort of 917 patients diagnosed with CSP between December 2015 and March 2024 was analyzed. Patients were randomly assigned to a training set (n = 689) and a validation set (n = 228). Multivariate logistic regression identified independent risk factors, which were used to construct a predictive nomogram. Model performance was evaluated by ROC curves, calibration plots, decision curve analysis, and clinical impact curves.
Results:
Four independent predictors of postoperative complications were identified: gestational age, interval since last cesarean section, residual myometrial thickness at the scar site, and intraoperative blood loss. The nomogram showed excellent discrimination with AUCs of 0.868 and 0.865 in the training and validation cohorts, respectively. Calibration and decision curve analyses confirmed good predictive accuracy and clinical utility.
Conclusion:
The developed nomogram effectively predicts postoperative complications in CSP patients and can guide early clinical interventions and personalized treatment strategies, enhancing patient safety and outcomes.
1 Introduction
Cesarean scar pregnancy (CSP) is a rare form of ectopic pregnancy characterized by the implantation of a fertilized ovum within the myometrial scar of a previous cesarean section (1). With the global rise in cesarean delivery rates, the incidence of CSP has increased accordingly, accounting for approximately 6% of all ectopic pregnancies (2, 3), and is closely related to the number of prior cesarean deliveries (4). CSP poses a serious threat to maternal health, as its early symptoms—typically mild vaginal bleeding or lower abdominal pain—are often nonspecific, leading to delayed diagnosis and potentially life-threatening complications such as uterine rupture or massive hemorrhage (5–10).
Although the widespread use of transvaginal ultrasonography combined with dynamic monitoring of serum β-human chorionic gonadotropin (β-hCG) has improved the early diagnosis of CSP (11), postoperative complications remain a major clinical concern. These include hemorrhage, infection, pelvic adhesions, and, in some cases, the need for reoperation, all of which increase hospitalization time and healthcare burden (7, 12, 13). Moreover, postoperative psychological distress—such as anxiety and depression—has increasingly been recognized as an important aspect of patient recovery (14). Previous research has largely focused on CSP pathogenesis, diagnosis, and treatment strategies (7, 15–21), including intraoperative bleeding risk and the effectiveness of different interventions (16, 22). However, few studies have systematically evaluated risk factors for postoperative complications, and existing analyses often rely on single clinical or imaging indicators, limiting individualized risk prediction (23).
Based on this, the present study aims to integrate multidimensional clinical data, including obstetric history, preoperative ultrasound imaging, surgical records, and laboratory findings, to identify independent risk factors associated with postoperative complications of CSP and develop a nomogram prediction model using multivariate logistic regression analysis. This nomogram model aimed to identify high-risk patients before surgery, guide personalized intervention strategies, lower the incidence of postoperative complications, and ultimately enhance patient outcomes.
2 Materials and methods
2.1 Study design and participants
This study was conducted as a retrospective cohort analysis. A total of 965 pregnant women diagnosed with CSP at the Second Affiliated Hospital of Fujian Medical University between December 2015 and March 2024 were initially screened. Of these, 48 patients were excluded for the following reasons: 21 patients were discharged voluntarily without undergoing surgery, 8 lacked complete serological test results, 5 lacked imaging data, 8 had incomplete medical histories, and 6 were without postoperative follow-up information. After applying these criteria, 917 patients were enrolled in the study and randomly assigned to either the training cohort or the validation cohort at a 3:1 ratio using a random number table (Figure 1).
Figure 1

The flowchart of included and divided patients into the training group and validation group. CSP, cesarean scar pregnancy, ISUOG, International Society of Ultrasound in Obstetrics and Gynecology.
Inclusion criteria were as follows: (1) patients diagnosed with CSP according to the criteria outlined in the expert consensus on the diagnosis and treatment of CSP published by the International Society of Ultrasound in Obstetrics and Gynecology (ISUOG) (24); (2) patients who underwent surgical treatment and had complete postoperative complication records; (3) patients with complete preoperative examinations, surgical records, and postoperative follow-up data; and (4) patients aged ≥18 years.
Exclusion criteria included: (1) patients who did not undergo surgical treatment; (2) cases with an unclear history of prior uterine surgery or incomplete medical records; (3) missing key clinical data, including obstetric history, preoperative tests, surgical details, or postoperative complication follow-up; and (4) patients with severe pregnancy-related complications or known hereditary coagulation disorders.
2.2 Data collection and variable definitions
All data were systematically extracted and standardized from the hospital’s inpatient and outpatient electronic medical record systems, laboratory databases, and the Picture Archiving and Communication System (PACS). The variables collected included the following:
-
Basic demographic information: age, height, weight, body mass index (BMI), ethnicity, occupation, and education level.
-
Pregnancy-related history: obstetric history, history of uterine surgery, number of previous cesarean sections, Interval since the last cesarean, and pregnancy-related comorbidities.
-
Preoperative laboratory tests: complete blood count, coagulation parameters (prothrombin time [PT], activated partial thromboplastin time [APTT], fibrinogen, and D-dimer), liver and renal function tests, and blood glucose levels.
-
Preoperative imaging examinations: size and morphology of gestational sac, residual myometrial thickness at the site of cesarean scar, presence of uterine fluid, and color Doppler flow imaging (CDFI) characteristics.
-
Surgical information: type of surgical procedure, preoperative medical or interventional management, anesthesia method, intraoperative blood loss, requirement for intraoperative blood transfusion, and operative duration.
-
Postoperative complications: patients were defined as having a positive complication status if any of the following events occurred within 2 months after surgery:
-
Postoperative hemorrhage: bright red vaginal bleeding (indicating active bleed) or vaginal bleeding ≥ 500 mL within 24 h or clinical presentations of hypovolemia (25).
-
Postoperative infection: Body temperature ≥38.5 °C combined with clinical signs of pelvic infection and ultrasound or CT confirmation of pelvic abscess, consistent with general CDC principles for postoperative infection (26).
-
Organ injury or adhesion: uterine, bowel, or bladder perforation requiring reoperation, or presence of intestinal adhesions.
-
Psychological disorders: Postoperative anxiety and depression were evaluated with the validated Hospital Anxiety and Depression Scale (HADS) to reflect the biopsychosocial model of recovery in CSP patients. The anxiety (HADS-A) and depression (HADS-D) subscales were scored separately, and, consistent with prior studies (25), a score ≥11 on either subscale was used to define postoperative psychological disorders (27).
2.3 Statistical analysis
All collected data were organized using Microsoft Office software and analyzed with SPSS version 26.0 and R software. The Shapiro–Wilk test and histograms were used to assess the normality of continuous variables, and Levene’s test was applied to examine the homogeneity of variance. Normally distributed variables were presented as mean ± standard deviation (x̄ ± s) and compared using independent sample t-tests. Non-normally distributed variables were expressed as median (P25, P75) and compared using the Mann–Whitney U test. Categorical variables were expressed as frequencies and percentages [n (%)] and analyzed using the chi-square test or Fisher’s exact test as appropriate.
Variables with statistical significance (p < 0.05) in univariate logistic regression were further included in multivariate logistic regression analysis. Odds ratio (OR) and 95% confidence interval (CI) were calculated for each variable. Variables identified as independent risk factors were used to construct a nomogram model in R software based on the multivariate logistic regression coefficients. Multicollinearity among variables was assessed using the variance inflation factor (VIF) and tolerance.
The discriminative ability of the nomogram model was evaluated using the area under the receiver operating characteristic (ROC) curve (AUC). Diagnostic performance was further assessed by calculating the Youden index, sensitivity, specificity, positive predictive value, negative predictive value, positive likelihood ratio, and negative likelihood ratio. The predictive accuracy, calibration, and goodness-of-fit of the model were assessed using the Brier score, the Hosmer–Lemeshow goodness-of-fit test, and calibration curves. The Delong test was used to compare AUC values between different models to assess their generalizability across cohorts. Additionally, decision curve analysis and clinical impact curves were used to comprehensively evaluate the predictive performance, accuracy, and clinical utility of the nomogram. A two-sided p value < 0.05 was considered statistically significant.
3 Results
3.1 Comparison of baseline clinical characteristics between the training and validation cohorts
All eligible participants were randomly allocated into a training cohort (n = 689, 75%) and a validation cohort (n = 228, 25%). Comparative analyses were conducted for all baseline clinical variables between the two cohorts. The results showed that there were no statistically significant differences in any of the clinical characteristics (p > 0.05), indicating that the training and validation cohorts were comparable in terms of clinical data (Table 1).
Table 1
| Variable | Training cohort (689) | Validation cohort (228) | t/χ | P value |
|---|---|---|---|---|
| Age (years) | 32.57 ± 4.82 | 32.86 ± 4.56 | −0.784 | 0.433 |
| Height (cm) | 158.55 ± 5.15 | 158.18 ± 4.87 | 0.936 | 0.349 |
| Weight (kg) | 57.20 ± 9.33 | 57.37 ± 8.92 | −0.239 | 0.811 |
| BMI (kg/m2) | 22.73 ± 3.39 | 22.93 ± 3.46 | −0.754 | 0.451 |
| Education level [n (%)] | ||||
| Illiterate | 4 (0.6%) | 2 (0.9%) | /# | 0.7 |
| Primary school | 75 (10.9%) | 20 (8.8%) | ||
| Middle school | 298 (43.3%) | 102 (44.7%) | ||
| High school | 53 (7.7%) | 21 (9.2%) | ||
| Technical school | 76 (11.0%) | 17 (7.5%) | ||
| Junior college | 97 (14.1%) | 32 (14.0%) | ||
| Bachelor’s degree | 64 (9.3%) | 24 (10.5%) | ||
| Master’s degree | 22 (3.2%) | 10 (4.4%) | ||
| Gestational age (days) | 51.43 ± 11.08 | 51.06 ± 11.58 | −1.212 | 0.667 |
| Gravidity, Median (P25, P75) | 3 (3, 4) | 3 (2.25, 4) | 0.906 | 0.365 |
| Miscarriages, Median (P25, P75) | 1 (1, 2) | 1 (1, 2) | 0.717 | 0.474 |
| Number of cesarean sections | 2 (1, 2) | 2 (1, 2) | 0.000 | 1 |
| Type of cesarean section [n (%)] | ||||
| Emergency | 59 (8.6%) | 26 (11.4%) | 1.643 | 0.25 |
| Elective | 630 (91.4%) | 202 (88.6%) | ||
| Type of cesarean incision [n (%)] | ||||
| Transverse | 679 (98.5%) | 225 (98.7%) | /# | 1 |
| Vertical | 10 (1.5%) | 3 (1.3%) | ||
| Interval since last cesarean section (years) | 7 (4, 11) | 7 (4, 10) | 0.356 | 0.845 |
| History of uterine surgery [n (%)] | ||||
| No | 682 (99.0%) | 225 (98.7%) | /# | 0.992 |
| Yes | 7 (1.0%) | 3 (1.3%) | ||
| Gestational hypertension [n (%)] | ||||
| No | 684 (99.3%) | 224 (98.2%) | /# | 0.328 |
| Yes | 5 (0.7%) | 4 (1.8%) | ||
| Gestational diabetes mellitus [n (%)] | ||||
| No | 686 (99.6%) | 226 (99.1%) | /# | 0.79 |
| Yes | 3 (0.4%) | 2 (0.9%) | ||
| Endometriosis [n (%)] | ||||
| No | 686 (99.6%) | 228 (100.0%) | /# | 0.742 |
| Yes | 3 (0.4%) | 0 (0.0%) | ||
| Maximum diameter of GS (cm) | 3.09 ± 1.69 | 3.02 ± 1.59 | 0.576 | 0.565 |
| Morphology of GS [n (%)] | ||||
| Irregular | 75 (10.9%) | 25 (11.0%) | 0.001 | 1 |
| Regular | 614 (89.1%) | 203 (89.0%) | ||
| GS protrusion beyond uterine wall [n (%)] | ||||
| No | 408 (59.2%) | 137 (60.1%) | 0.054 | 0.877 |
| Yes | 281 (40.8%) | 91 (39.9%) | ||
| Uterine fluid [n (%)] | ||||
| No | 500 (72.6%) | 173 (75.9%) | 0.96 | 0.372 |
| Yes | 189 (27.4%) | 55 (24.1%) | ||
| Myometrial thickness* (mm) | 3.21 ± 1.56 | 3.25 ± 1.37 | 0.013 | 0.693 |
| Vascularity of cesarean scar [n (%)] | ||||
| Poor | 601 (87.2%) | 198 (86.8%) | 0.023 | 0.971 |
| Rich | 88 (12.8%) | 30 (13.2%) | ||
| Surgery type [n (%)] | ||||
| Dilation and curettage | 76 (11.0%) | 27 (11.8%) | /# | 0.846 |
| Ultrasound-guided curettage | 517 (75.0%) | 172 (75.4%) | ||
| Hysteroscopic resection | 50 (7.3%) | 14 (6.1%) | ||
| Laparoscopic resection | 25 (3.6%) | 7 (3.1%) | ||
| Open abdominal resection | 7 (1.0%) | 1 (0.4%) | ||
| Transvaginal resection | 14 (2.0%) | 7 (3.1%) | ||
| Preoperative management strategy [n (%)] | ||||
| No specific pretreatment | 138 (20.0%) | 34 (14.9%) | /# | 0.513 |
| Intramuscular methotrexate | 10 (1.5%) | 2 (0.9%) | ||
| Oral mifepristone | 343 (49.8%) | 122 (53.5%) | ||
| Ultrasound-guided local methotrexate injection into GS | 9 (1.3%) | 2 (0.9%) | ||
| Abdominal aortic balloon occlusion | 24 (3.5%) | 9 (3.9%) | ||
| UAE | 59 (8.6%) | 26 (11.4%) | ||
| UAE combined with methotrexate | 106 (15.4%) | 33 (14.5%) | ||
| Anesthesia type [n (%)] | ||||
| Local anesthesia | 412 (59.8%) | 133 (58.3%) | 0.152 | 0.755 |
| General anesthesia | 277 (40.2%) | 95 (41.7%) | ||
| Operative time (min) | 32.25 ± 27.13 | 30.37 ± 26.10 | 0.916 | 0.36 |
| Intraoperative blood loss (dL) | 0.78 ± 1.06 | 0.76 ± 1.04 | 0.563 | 0.889 |
| Intraoperative blood transfusion [n (%)] | ||||
| No | 621 (90.1%) | 204 (89.5%) | /# | 0.815 |
| Yes | 68 (9.9%) | 24 (10.5%) | ||
| Red blood cell count (109/L) | 4.15 ± 1.24 | 4.13 ± 0.67 | 0.592 | 0.554 |
| White blood cell count (109/L) | 8.14 ± 2.42 | 8.25 ± 2.58 | −0.551 | 0.582 |
| Hemoglobin level (g/L) | 120.48 ± 24.94 | 120.78 ± 15.66 | −0.169 | 0.866 |
| Platelet count (109/L) | 241.87 ± 63.79 | 246.77 ± 62.38 | −1.011 | 0.312 |
| PT (s) | 11.97 ± 1.17 | 12.08 ± 0.98 | −1.253 | 0.211 |
| APTT (s) | 28.76 ± 4.62 | 29.18 ± 4.19 | −1.206 | 0.228 |
| Fibrinogen (g/L) | 2.87 ± 3.00 | 2.88 ± 2.29 | −0.033 | 0.973 |
| D-dimer (μg/mL) | 0.80 ± 2.75 | 0.51 ± 0.80 | 1.568 | 0.117 |
| Plasma prothrombin activity (%) | 96.89 ± 14.68 | 96.34 ± 14.95 | 0.496 | 0.62 |
| APTT ratio | 1.35 ± 5.68 | 1.05 ± 0.18 | 0.800 | 0.424 |
| Thrombin time (s) | 16.75 ± 6.11 | 16.43 ± 1.54 | 0.773 | 0.44 |
| Alanine aminotransferase (U/L) | 15.74 ± 21.30 | 15.39 ± 10.61 | 0.236 | 0.813 |
| Aspartate aminotransferase (U/L) | 16.51 ± 20.86 | 16.06 ± 9.27 | 0.310 | 0.756 |
| Creatinine (μmol/L) | 50.34 ± 42.32 | 48.11 ± 10.57 | 0.787 | 0.431 |
| Blood glucose (mmol/L) | 5.21 ± 4.01 | 5.24 ± 3.08 | −0.121 | 0.904 |
| Overall incidence of postoperative complications [n (%)] | ||||
| No | 577 (83.74%) | 193 (84.65%) | 0.474 | 0.747 |
| Yes | 112 (16.26%) | 35 (15.35%) | ||
| Postoperative anxiety/depression [n (%)] | ||||
| No | 676 (98.1%) | 221 (96.9%) | 0.244 | 0.424 |
| Yes | 13 (1.9%) | 7 (3.1%) | ||
| Postoperative hemorrhage (mL) | 47.35 ± 142.40 | 45.53 ± 140.63 | −0.651 | 0.451 |
| Postoperative infection [n (%)] | ||||
| No | 674 (97.8%) | 222 (97.4%) | 0.01 | 0.887 |
| Yes | 15 (2.2%) | 6 (2.6%) | ||
| Organ injury or adhesion [n (%)] | ||||
| No | 648 (94.0%) | 213 (93.4%) | 1.555 | 0.854 |
| Yes | 41 (6.0%) | 15 (6.6%) | ||
| Reoperation required [n (%)] | ||||
| No | 677 (98.3%) | 222 (97.4%) | 0.07 | 0.573 |
| Yes | 12 (1.7%) | 6 (2.6%) | ||
Clinical characteristics of patients in the training and validation cohorts.
BMI, body mass index; GS, gestational sac; UAE, uterine artery embolization; APTT, activated partial thromboplastin time; PT, prothrombin time; *: residual myometrial thickness at the site of cesarean scar; #: indicates values calculated using Fisher’s exact test, no corresponding test statistic is reported.
3.2 Analysis of independent risk factors for postoperative complications and construction of the nomogram model
3.2.1 Univariate logistic regression analysis
Based on the occurrence of postoperative complications, patients in the training cohort were divided into a complication group (n = 112, 16.26%) and a non-complication group (n = 577, 83.74%). Univariate logistic regression analysis revealed 12 variables that were significantly associated with the occurrence of postoperative complications (p < 0.05), including gestational age, interval since last cesarean section, maximum diameter of the gestational sac, residual myometrial thickness at the site of cesarean scar, operative time, intraoperative blood loss, red blood cell count, white blood cell count, hemoglobin level, platelet count, prothrombin time, and D-dimer level (Table 2).
Table 2
| Variable | OR (95%CI) | P value |
|---|---|---|
| Age | 0.991 (0.950–1.033) | 0.670 |
| Height | 1.001 (0.962–1.041) | 0.958 |
| Weight | 1.010 (0.989–1.031) | 0.370 |
| BMI | 1.024 (0.966–1.086) | 0.417 |
| Education level | 1.656 (0.748–3.666) | 0.214 |
| Gestational age | 1.086 (1.065–1.107) | <0.001 |
| Gravidity | 0.988 (0.860–1.134) | 0.860 |
| Miscarriages | 0.978 (0.831–1.149) | 0.785 |
| Number of cesarean sections | 0.929 (0.654–1.320) | 0.682 |
| Type of cesarean section | 0.047 (0.364–7.930) | 0.880 |
| Type of cesarean incision | 0.895 (0.865–1.427) | 0.976 |
| Interval since last cesarean section | 0.835 (0.787–0.885) | <0.001 |
| History of uterine surgery | 0.857 (0.102–7.186) | 0.887 |
| Gestational hypertension | 1.291 (0.143–11.649) | 0.820 |
| Gestational diabetes mellitus | 2.590 (0.233–28.782) | 0.439 |
| Endometriosis | 0.052 (0.362–8.524) | 0.980 |
| Maximum diameter of GS | 1.446 (1.289–1.622) | <0.001 |
| Morphology of GS | 1.478 (0.714–3.061) | 0.293 |
| GS protrusion beyond uterine wall | 1.014 (0.672–1.532) | 0.946 |
| Uterine fluid | 1.249 (0.804–1.939) | 0.323 |
| Myometrial thickness* | 0.510 (0.417–0.624) | <0.001 |
| Vascularity of cesarean scar | 0.791 (0.415–1.509) | 0.477 |
| Surgery type | 1.271 (0.464–3.479) | 0.641 |
| Preoperative management strategy | 1.429 (0.827–1.870) | 0.296 |
| Anesthesia type | 1.243 (0.827–1.870) | 0.296 |
| Operative time | 1.018 (1.012–1.025) | <0.001 |
| Intraoperative blood loss | 2.491 (2.009–3.088) | <0.001 |
| Intraoperative blood transfusion | 1.125 (1.005–1.652) | 0.362 |
| Red blood cell count | 0.453 (0.318–0.646) | <0.001 |
| White blood cell count | 1.097 (1.013–1.189) | 0.023 |
| Hemoglobin level | 0.977 (0.966–0.988) | <0.001 |
| Platelet count | 0.996 (0.993–1.000) | 0.032 |
| PT | 1.200 (1.012–1.423) | 0.036 |
| APTT | 1.005 (0.961–1.050) | 0.836 |
| Fibrinogen | 1.035 (0.981–1.092) | 0.204 |
| D-dimer | 1.098 (1.027–1.174) | 0.006 |
| Plasma prothrombin activity | 0.992 (0.980–1.005) | 0.248 |
| APTT ratio | 1.016 (0.990–1.043) | 0.236 |
| Thrombin time | 0.925 (0.840–1.020) | 0.119 |
| Alanine aminotransferase | 0.997 (0.985–1.010) | 0.673 |
| Aspartate aminotransferase | 0.996 (0.981–1.012) | 0.626 |
| Creatinine | 0.979 (0.957–1.001) | 0.060 |
| Blood glucose | 0.984 (0.918–1.055) | 0.653 |
Univariate logistic regression analysis based on training group.
BMI, body mass index; GS, gestational sac; APTT, activated partial thromboplastin time; PT, prothrombin time; OR, odds ratio; 95%CI, 95% confidence interval; *: residual myometrial thickness at the site of cesarean scar. Bold values indicate statistical significance (P < 0.05).
3.2.2 Multivariate logistic regression analysis
Variables that were statistically significant in the univariate analysis were included in the multivariate logistic regression analysis. The results showed that gestational age, interval since the last cesarean section, residual myometrial thickness at the site of cesarean scar, and intraoperative blood loss were identified as independent risk factors for postoperative complications in CSP patients (p < 0.05) (Table 3).
Table 3
| Variable | β value | Wald z value | OR (95% CI) | P value |
|---|---|---|---|---|
| Gestational age (days) | 0.062 | 4.636 | 1.064 (1.037–1.093) | <0.001 |
| Interval since last cesarean (years) | −0.264 | −6.332 | 0.768 (0.705–0.830) | <0.001 |
| Myometrial thickness (mm)* | −0.463 | −3.813 | 0.629 (0.429–0.792) | <0.001 |
| Intraoperative blood loss (dL) | 0.718 | 4.693 | 2.050 (1.544–2.818) | <0.001 |
Multivariate logistic regression analysis based on the data of training group.
OR, odds ratio; 95%CI, 95% confidence interval; *: residual myometrial thickness at the site of cesarean scar. Bold values indicate statistical significance (P < 0.05).
3.2.3 Multicollinearity assessment
Multicollinearity was assessed among the four independent risk factors for postoperative complications in CSP. The results showed that all variables had variance inflation factors (VIFs) less than 10 and tolerances greater than 0.1, indicating the absence of significant multicollinearity (Table 4).
Table 4
| Variable | VIF | Tolerance |
|---|---|---|
| Gestational age (days) | 1.231 | 0.812 |
| Interval since last cesarean (years) | 1.214 | 0.824 |
| Myometrial thickness (mm)* | 1.087 | 0.920 |
| Intraoperative blood loss (mL) | 1.512 | 0.661 |
Multicollinearity test of independent risk factors for postoperative complications of cesarean scar pregnancy.
VIF, variance inflation factors; *: Residual myometrial thickness at the site of cesarean scar.
3.3 Construction of the nomogram model
Based on the results of multivariate logistic regression, four independent risk factors for postoperative complications (gestational age, interval since the last cesarean section, residual myometrial thickness at the site of cesarean scar, and intraoperative blood loss) were incorporated into R software using the rms package to construct a nomogram model for predicting postoperative complications in CSP patients. The resulting predictive model is illustrated in Figure 2. The chi-square statistic of the logistic regression model was 101.44 (p < 0.001), indicating a statistically significant relationship between the independent variables and the risk of postoperative complications.
Figure 2

Nomogram model for predicting postoperative complications of cesarean scar pregnancy based on clinical data. The red arrow indicates a CSP patient with 4 years since the last cesarean section, a myometrial thickness of 1.5 mm, a gestational age of 52 days, and an intraoperative blood loss of 0.8 dL. The total score is 215 points, and based on the nomogram model, the probability of developing postoperative complications is 0.353. Residual myometrial thickness: Residual myometrial thickness at the site of cesarean scar.
The risk prediction equation derived from the logistic regression model is as follows:
Risk of postoperative complications in CSP = −0.47341 × myometrial thickness between gestational sac and bladder (mm) + 0.0681 × gestational age (days) − 0.25308 × interval since last cesarean section (years) + 0.74332 × intraoperative blood loss (dL) − 3.01909.
3.4 Evaluation of model performance
3.4.1 Accuracy and discrimination
The occurrence of postoperative complications was defined as the outcome variable (assigned as 1 for “yes” and 0 for “no”). Based on the previously established logistic regression equation, nomogram prediction models were constructed for both the training and validation cohorts. Receiver operating characteristic (ROC) curve analysis was conducted to evaluate model performance. The area under the ROC curve (AUC) for the nomogram model was 0.868 (95% CI = 0.833–0.901) in the training cohort and 0.865 (95% CI, 0.801–0.934) in the validation cohort. DeLong test indicated that the AUCs of the nomogram models in both cohorts were significantly higher than those of the individual predictors (p < 0.01) (Figure 3).
Figure 3

ROC curves of the nomogram model and the 4 independent risk factors in predicting postoperative complications of cesarean scar pregnancy patients in training group (A) and validation group (B). The AUC of the nomogram model for predicting postoperative complications in CSP patients was 0.868 (95% CI = 0.833–0.901) in the training cohort (A) and 0.865 (95% CI, 0.801–0.934) in the validation cohort (B). Both were significantly higher than the AUC of the 4 independent risk factors used alone. *: Residual myometrial thickness at the site of cesarean scar.
Furthermore, DeLong test revealed no statistically significant difference in AUC between the training and validation cohorts (D = −0.020, p = 0.984), indicating that the model had stable discriminative ability across datasets. In addition, the nomogram demonstrated favorable predictive accuracy in both cohorts, with the Youden index, sensitivity, and specificity being 0.561, 0.759, and 0.802 in the training cohort, and 0.618, 0.889, and 0.719 in the validation cohort, respectively (Table 5).
Table 5
| Indicator | Cohort | |
|---|---|---|
| Training | Validation | |
| AUC (95% CI) | 0.868 (0.833–0.901) | 0.865 (0.801–0.934) |
| Youden Index | 0.561 | 0.618 |
| Sensitivity | 0.759 | 0.889 |
| Specificity | 0.802 | 0.719 |
| Positive predictive value | 0.793 | 0.766 |
| Negative predictive value | 0.769 | 0.868 |
| Positive likelihood ratio | 3.841 | 3.282 |
| Negative likelihood ratio | 0.300 | 0.152 |
The accuracy of predicting postoperative complications in cesarean scar pregnancy patients using a nomogram model.
AUC, area under the curve; 95%CI, 95% confidence interval.
3.4.2 Calibration
The nomogram model demonstrated good predictive performance, with Brier scores of 0.089 in the training cohort and 0.086 in the validation cohort. In addition, the Hosmer–Lemeshow goodness-of-fit test yielded p-values of 0.195 and 0.520 for the training and validation cohorts, respectively, both greater than 0.05, suggesting a good model fit without evidence of overfitting or underfitting. Calibration curves further demonstrated that the predicted probabilities from the nomogram closely matched the actual observed outcomes in both cohorts (Figure 4), confirming the model’s high calibration performance.
Figure 4

Calibration curves of the nomogram model for the training group (A) and validation group (B). The blue solid line represents the calibration curve of the model, while the red dashed line represents the ideal calibration curve. The calibration curves for the training group (A) and validation group (B) were both close to the ideal calibration curve.
3.4.2.1 Decision curve analysis
To further evaluate the clinical applicability of the nomogram at various intervention threshold probabilities, decision curve analysis was performed for both the training and validation cohorts (Figure 5). In the training cohort, the model demonstrated a clear net benefit across a wide range of threshold probability (Figure 5A), outperforming the “All” and “None” strategies. Similarly, the model showed favorable decision performance in the validation cohort (Figure 5B), indicating strong potential for clinical implementation. Moreover, compared with models based on single predictors, the nomogram consistently achieved higher net benefits in both cohorts, reinforcing the predictive superiority and clinical value of the integrated multivariable model. In this study, the “All” curve represents the hypothetical scenario in which all CSP patients are assumed to experience postoperative complications and receive intervention, while the “None” curve assumes that no patient experiences complications and no intervention is administered.
Figure 5

Decision curve analysis curves for the nomogram model and the 4 independent risk factors in predicting postoperative complications of cesarean scar pregnancy patients in training group (A) and validation group (B). In the training group (A) and validation group (B), the nomogram model outperformed the use of the 4 independent risk factors alone in terms of threshold probability range and net benefit (p < 0.05 for all). *: Residual myometrial thickness at the site of cesarean scar.
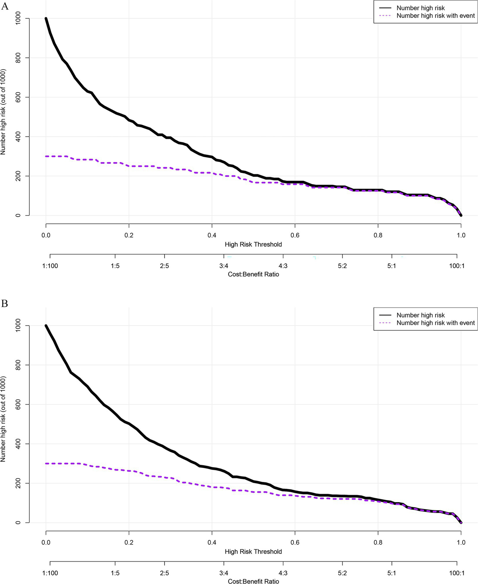
3.4.2.2 Clinical impact curve analysis
Clinical impact curve analysis was employed to assess the ability of the nomogram model to identify CSP patients at high risk of postoperative complications (Figure 6). The results demonstrated that in both the training cohort (Figure 6A) and the validation cohort (Figure 6B), when the threshold probability exceeded 60%, the number of patients predicted by the model as high risk closely aligned with the number of patients who actually experienced complications. This indicates that the nomogram possesses strong clinical discriminative ability and can accurately identify true high-risk individuals in the higher-risk probability range, thereby offering substantial clinical net benefit.
Figure 6

Clinical impact curve of the nomogram model for predicting postoperative complications in cesarean scar pregnancy patients in the training group (A) and validation group (B). The black solid line represents the number of individuals identified as high-risk by the model at each domain probability threshold. The purple dashed line represents the actual number of high-risk patients at each threshold probability. The nomogram model shows that in the training group (A) and validation group, when the threshold probability is greater than 60%, for the predicted score, the “number of high-risk patients marked by the model” line closely aligns with the “actual number of high-risk patients” line. This indicates that the nomogram model can accurately identify high-risk CSP patients for postoperative complications, confirming its high clinical net benefit rate.
4 Discussion
In this study, a nomogram prediction model for postoperative complications of CSP was successfully developed based on a retrospective cohort analysis utilizing multidimensional clinical data. The model incorporated four independent risk factors—gestational age, interval since the last cesarean section, residual myometrial thickness at the site of cesarean scar, and intraoperative blood loss—and demonstrated effective predictive ability for assessing the risk of postoperative complications in CSP patients. Psychological outcomes such as anxiety and depression were also included, reflecting the growing recognition of mental health as an essential component of postoperative recovery in CSP patients. Furthermore, the nomogram exhibited strong discriminatory power and good calibration performance, and showed high predictive accuracy and practical utility in clinical settings.
The nomogram model indicates that a longer gestational age was associated with an increased risk of postoperative complications in CSP patients. Previous studies have primarily focused on the relationship between gestational age and intraoperative blood loss, without investigating its association with postoperative complications (28, 29). The elevated risk observed with increasing gestational duration may be attributed to several physiological and anatomical factors. As the embryo grows, its increasing requirement for blood flow may exceed the limited vascular capacity of the scar tissue, thereby predisposing the area to ischemia or hemorrhage due to inadequate perfusion (30, 31). In addition, the uterine expansion during pregnancy may place mechanical stress on the cesarean scar, where the tissue is less elastic and structurally rigid, making it less capable of adapting to uterine enlargement, thereby increasing the risk of scar dehiscence or even uterine rupture (32). Moreover, rising levels of β-hCG and progesterone may enhance the invasive potential of trophoblastic tissue into the scar site, further increasing the risk of complications. Collectively, these physiological and structural changes associated with prolonged gestation may explain the observed increase in complication rates with advancing gestational age in CSP.
Moreover, a shortened interval since the last cesarean section was linked to a higher risk of postoperative complications in CSP. Inadequate healing of the uterine scar due to insufficient time between pregnancies may compromise scar strength, increasing the likelihood of structural failure and associated complications (30, 33). Under such circumstances, embryo implantation at an incompletely healed scar may impair development and elevate the risk of hemorrhage or uterine rupture due to poor elasticity and limited blood supply (30). In addition, insufficient time between surgeries may hinder complete revascularization at the scar site, resulting in suboptimal blood and oxygen supply to the embryo, thereby increasing the risk of abnormal development and complications (31, 33). Taken together, early conception after cesarean delivery elevates the risk of CSP-related complications, primarily due to inadequate scar healing, poor perfusion, and incomplete recovery of the uterine myometrium. Our findings further support the strong link between interpregnancy interval and postoperative outcomes, highlighting the need for evidence-based recommendations on optimal spacing to minimize adverse events.
This study also found that a thinner residual myometrial thickness at the site of cesarean scar was significantly associated with a higher risk of postoperative complications in CSP patients. Similar findings have been reported by other researchers, who observed that a thinner lower anterior uterine wall increases the likelihood of severe hemorrhage (28, 29). A structurally weakened myometrium, with reduced strength and elasticity, may fail to support normal embryonic development, increasing the likelihood of scar rupture and hemorrhage (30, 32). Moreover, reduced myometrial thickness is often accompanied by impaired blood supply, which limits the delivery of oxygen and nutrients to the gestational sac. This may lead to local ischemia and increase the risk of adverse outcomes such as ectopic pregnancy or miscarriage (31, 33). In addition, thin myometrium may facilitate abnormal implantation with excessive trophoblastic invasion into scar tissue, elevating the risk of morbidly adherent placenta, including placenta accreta (34, 35). Thus, impaired myometrial integrity is a key factor in pregnancy progression and significantly contributes to the elevated risk of postoperative complications in CSP cases.
Finally, greater intraoperative blood loss was found to be associated with an increased risk of postoperative complications in CSP patients. While most existing studies have focused on identifying the risk factors for intraoperative hemorrhage (29, 36), few have specifically investigated the relationship between intraoperative blood loss and postoperative complications. We hypothesize that excessive intraoperative blood loss may indicate more extensive uterine injury. Severe vascular disruption or laceration at the cesarean incision site can compromise scar integrity, leading to incomplete healing and reduced myometrial strength and elasticity and increasing the risk of postoperative complications (32). In addition, massive hemorrhage can result in anemia and hypotension, which may compromise uterine perfusion and scar repair (37). Furthermore, substantial blood loss often prolongs the duration and complexity of surgery, increasing the likelihood of psychological consequences such as postoperative anxiety or depression (38). Taken together, excessive intraoperative bleeding may impair uterine healing, reduce tissue perfusion, and increase psychological burden, collectively heightening the risk of postoperative complications in CSP patients.
The nomogram model developed in this study demonstrated significantly better discriminatory ability of the integrated multivariable model in predicting postoperative complications compared to each individual risk factor. An AUC above 0.80 is generally considered indicative of good discriminative performance, suggesting that the model can reliably distinguish between high-risk and low-risk patients. Moreover, DeLong test showed no significant difference in AUC between the two cohorts, indicating consistent performance across datasets and confirming the model’s robustness and generalizability. The model also exhibited favorable diagnostic accuracy, goodness-of-fit, and calibration in both cohorts.
Decision curve analysis further demonstrated that the nomogram yielded a consistent net benefit across a broad range of threshold probabilities, with particularly strong performance in the intermediate-risk range where clinical decision-making is most challenging. This suggests that the model offers not only statistically significant predictive value but also practical utility in clinical decision-making. Compared with single-variable models, the integrated nomogram more accurately stratifies patient risk, thereby supporting personalized postoperative care and more efficient allocation of healthcare resources. Clinical impact curve analysis further validated the model’s utility across various threshold levels, especially its precision in identifying high-risk patients. When a higher clinical intervention threshold (≥60%) was applied, the nomogram not only effectively identified patients at high risk of complications but also minimized false-positive rates. This enhances its applicability in real-world clinical settings by facilitating targeted postoperative interventions and improving the efficiency of risk-based management. This nomogram could be further implemented as a web-based calculator or mobile application, allowing clinicians to input patient-specific variables and instantly estimate the risk of postoperative complications in CSP. Such digital integration would enable real-time risk stratification and personalized perioperative management, thereby enhancing clinical decision-making and optimizing patient outcomes.
In routine practice, this nomogram can serve as a simple bedside tool to estimate an individual patient’s risk of postoperative complications using routinely available clinical variables. The predicted risk can help guide triage and allocation of perioperative resources, as well as support more personalized preoperative counseling and expectation management. In addition, once integrated into an electronic calculator or clinical pathway, the model may assist postoperative surveillance by flagging women at higher risk who warrant closer follow-up. The nomogram is intended to complement, rather than replace, clinical judgment.
This study has several limitations. First, it was conducted in a single tertiary center in China, which may limit the generalizability of the model to other settings. Second, the retrospective design precludes firm causal inferences. Third, only women who underwent surgical management for CSP were included, so medically or expectantly managed cases were not captured, which may introduce selection bias. Finally, postoperative psychological outcomes were assessed using HADS alone and may be influenced by unmeasured factors such as pre-existing mental disorders, social support, and socioeconomic status.
5 Conclusion
This study successfully developed a nomogram model for predicting postoperative complications in CSP based on gestational age, interval since the last cesarean section, residual myometrial thickness at the site of cesarean scar, and intraoperative blood loss. The model demonstrated good predictive accuracy and clinical utility, offering a valuable tool for early identification of high-risk patients. It may assist in optimizing surgical planning and reducing postoperative complications, thereby showing great potential for clinical application and widespread implementation.
Statements
Data availability statement
The raw data supporting the conclusions of this article will be made available by the authors, without undue reservation.
Ethics statement
Ethical approval was not required for the study involving humans in accordance with the local legislation and institutional requirements. Written informed consent to participate in this study was not required from the participants or the participants’ legal guardians/next of kin in accordance with the national legislation and the institutional requirements.
Author contributions
PC: Conceptualization, Data curation, Formal analysis, Funding acquisition, Investigation, Methodology, Project administration, Resources, Software, Supervision, Validation, Visualization, Writing – original draft, Writing – review & editing. XH: Conceptualization, Data curation, Formal analysis, Investigation, Methodology, Resources, Supervision, Validation, Visualization, Writing – review & editing. PZ: Conceptualization, Data curation, Formal analysis, Investigation, Supervision, Validation, Visualization, Writing – review & editing.
Funding
The author(s) declared that financial support was not received for this work and/or its publication.
Acknowledgments
We would like to thank the medical and administrative staff at the Second Affiliated Hospital of Fujian Medical University for their valuable assistance in data collection and management. We also acknowledge the technical support provided by the hospital’s imaging and laboratory departments.
Conflict of interest
The author(s) declared that this work was conducted in the absence of any commercial or financial relationships that could be construed as a potential conflict of interest.
Generative AI statement
The author(s) declared that Generative AI was used in the creation of this manuscript. During the preparation of this manuscript, the authors used ChatGPT (OpenAI, GPT-4o, 2025 version) for the purposes of language polishing and summarization of content. The authors have reviewed and edited the output and take full responsibility for the content of this publication.
Any alternative text (alt text) provided alongside figures in this article has been generated by Frontiers with the support of artificial intelligence and reasonable efforts have been made to ensure accuracy, including review by the authors wherever possible. If you identify any issues, please contact us.
Publisher’s note
All claims expressed in this article are solely those of the authors and do not necessarily represent those of their affiliated organizations, or those of the publisher, the editors and the reviewers. Any product that may be evaluated in this article, or claim that may be made by its manufacturer, is not guaranteed or endorsed by the publisher.
Abbreviations
CSP, Cesarean scar pregnancy; β-hCG, beta-human chorionic gonadotropin; PACS, Picture Archiving and Communication System; BMI, Body mass index; PT, Prothrombin time; APTT, Activated partial thromboplastin time; CDFI, Color Doppler flow imaging; OR, Odds ratio; CI, Confidence interval; VIF, Variance inflation factor; ROC, Receiver operating characteristic; AUC, Area under the ROC curve; GS, Gestational sac.
References
1.
Morlando M Buca D Timor-Tritsch I Cali G Palacios-Jaraquemada J Monteagudo A et al . Reproductive outcome after cesarean scar pregnancy: a systematic review and meta-analysis. Acta Obstet Gynecol Scand. (2020) 99:1278–89. doi: 10.1111/aogs.13918,
2.
Morlando M Conte A Schiattarella A . Reproductive outcome after cesarean scar pregnancy. Best Pract Res Clin Obstet Gynaecol. (2023) 91:102362. doi: 10.1016/j.bpobgyn.2023.102362,
3.
Grechukhina O Deshmukh U Fan L Kohari K Abdel-Razeq S Bahtiyar MO et al . Cesarean scar pregnancy, incidence, and recurrence: five-year experience at a single tertiary care referral center. Obstet Gynecol. (2018) 132:1285–95. doi: 10.1097/AOG.0000000000002940,
4.
Timor-Tritsch IE Horwitz G D'Antonio F Monteagudo A Bornstein E Chervenak J et al . Recurrent cesarean scar pregnancy: case series and literature review. Ultrasound Obstet Gynecol. (2021) 58:121–6. doi: 10.1002/uog.23577,
5.
Timor-Tritsch IE Monteagudo A Cali G D'Antonio F Kaelin Agten A . Cesarean scar pregnancy: diagnosis and pathogenesis. Obstet Gynecol Clin N Am. (2019) 46:797–811. doi: 10.1016/j.ogc.2019.07.009,
6.
Klein Meuleman SJM Murji A van den Bosch T Donnez O Grimbizis G Saridogan E et al . Definition and criteria for diagnosing cesarean scar disorder. JAMA Netw Open. (2023) 6:e235321. doi: 10.1001/jamanetworkopen.2023.5321,
7.
Kaelin Agten A Jurkovic D Timor-Tritsch I Jones N Johnson S Monteagudo A et al . First-trimester cesarean scar pregnancy: a comparative analysis of treatment options from the international registry. Am J Obstet Gynecol. (2024) 230:669.e1–669.e19. doi: 10.1016/j.ajog.2023.10.028
8.
Luo L Ruan X Li C Chen S Hu Q Mueck AO . Early clinical features and risk factors for cesarean scar pregnancy: a retrospective case-control study. Gynecol Endocrinol. (2019) 35:337–41. doi: 10.1080/09513590.2018.1526276,
9.
Timor-Tritsch IE Monteagudo A Goldstein SR . Early first-trimester transvaginal ultrasound screening for cesarean scar pregnancy in patients with previous cesarean delivery: analysis of the evidence. Am J Obstet Gynecol. (2024) 231:618–25. doi: 10.1016/j.ajog.2024.06.041,
10.
Nijjar S Jauniaux E Jurkovic D . Surgical evacuation of cesarean scar ectopic pregnancies. Best Pract Res Clin Obstet Gynaecol. (2023) 89:102361. doi: 10.1016/j.bpobgyn.2023.102361,
11.
Liu D Yang M Wu Q . Application of ultrasonography in the diagnosis and treatment of cesarean scar pregnancy. Clin Chim Acta. (2018) 486:291–7. doi: 10.1016/j.cca.2018.08.012,
12.
Birch Petersen K Hoffmann E Rifbjerg Larsen C Svarre NH . Cesarean scar pregnancy: a systematic review of treatment studies. Fertil Steril. (2016) 105:958–67. doi: 10.1016/j.fertnstert.2015.12.130,
13.
Silver RM . Implications of the first cesarean: perinatal and future reproductive health and subsequent cesareans, placentation issues, uterine rupture risk, morbidity, and mortality. Semin Perinatol. (2012) 36:315–23. doi: 10.1053/j.semperi.2012.04.013,
14.
Chan CL Tan CW Chan JJI Sultana R Chua TE Chen HY et al . Factors associated with the development of postnatal depression after cesarean delivery: a prospective study. Neuropsychiatr Dis Treat. (2020) 16:715–27. doi: 10.2147/NDT.S241984
15.
Liu S Liu X Chen Q Zhao M Tang Y . Potential risk factors for developing cesarean scar pregnancy in women with a history of cesarean section. J Ultrasound Med. (2025) 44:231–7. doi: 10.1002/jum.16599,
16.
Wan XL Wang X Feng ZP Zhou XL Han ZW Wu JM et al . Analysis of risk factors for intraoperative bleeding in the surgical treatment of cesarean scar pregnancy and development of predictive models. J Multidiscip Healthc. (2024) 17:2021–30. doi: 10.2147/JMDH.S458968,
17.
Fu P Sun H Zhang L Liu R . Efficacy and safety of treatment modalities for cesarean scar pregnancy: a systematic review and network meta-analysis. Am J Obstet Gynecol MFM. (2024) 6:101328. doi: 10.1016/j.ajogmf.2024.101328,
18.
Sorrentino F Vasciaveo L Greco F Giansiracusa E D'Antonio F Lucidi A et al . Management of myomectomy scar pregnancy: a scoping review. Medicina (Kaunas). (2025) 61:817. doi: 10.3390/medicina61050817
19.
Stabile G Vona L Carlucci S Zullo F Lagana AS Etrusco A et al . Conservative treatment of cesarean scar pregnancy with the combination of methotrexate and mifepristone: a systematic review. Womens Health. (2024) 20:17455057241290424. doi: 10.1177/17455057241290424,
20.
Sorrentino F De Feo V Stabile G Tinelli R D'Alterio MN Ricci G et al . Cesarean scar pregnancy treated by artery embolization combined with diode laser: a novel approach for a rare disease. Medicina (Kaunas). (2021) 57:411. doi: 10.3390/medicina57050411,
21.
Pecorino B Scibilia G Mignosa B Teodoro MC Chiofalo B Scollo P . Dilatation and curettage after uterine artery embolization versus methotrexate injection for the treatment of cesarean scar pregnancy: a single-center experience. Medicina (Kaunas). (2024) 60:487. doi: 10.3390/medicina60030487,
22.
Yang J Luo X Guo L Cheng H Tang Y Song Y et al . A novel scoring model to predict massive hemorrhage during dilatation and curettage following focused ultrasound ablation surgery in patients with type 2 cesarean scar pregnancy. Int J Hyperth. (2025) 42:2495362. doi: 10.1080/02656736.2025.2495362,
23.
Jameel K Abdul Mannan GE Niaz R Hayat DE . Cesarean scar ectopic pregnancy: a diagnostic and management challenge. Cureus. (2021) 13:e14463. doi: 10.7759/cureus.14463,
24.
D’Antonio F Cali G Khalil A Timor-Tritsch IE . Cesarean scar pregnancy. In: KFung-Kee-Fung, editor. Visual encyclopedia of ultrasound in obstetrics and gynecologyLondon: International Society of Ultrasound in Obstetrics and Gynecology (ISUOG) (2022).
25.
Bienstock JL Eke AC Hueppchen NA . Postpartum Hemorrhage. N Engl J Med. (2021) 384:1635–45. doi: 10.1056/NEJMra1513247,
26.
Berrios-Torres SI Umscheid CA Bratzler DW Leas B Stone EC Kelz RR et al . Centers for Disease Control and Prevention guideline for the prevention of surgical site infection, 2017. JAMA Surg. (2017) 152:784–91. doi: 10.1001/jamasurg.2017.0904,
27.
Beekman E Verhagen A . Clinimetrics: hospital anxiety and depression scale. J Physiother. (2018) 64:198. doi: 10.1016/j.jphys.2018.04.003,
28.
Zhang Y Zhang Z Liu X Zhang L Hong F Lu M . Risk factors for massive hemorrhage during the treatment of cesarean scar pregnancy: a systematic review and meta-analysis. Arch Gynecol Obstet. (2021) 303:321–8. doi: 10.1007/s00404-020-05877-9,
29.
Wang Q Ma H Peng H He L Bian C Zhao X . Risk factors for intra-operative haemorrhage and bleeding risk scoring system for caesarean scar pregnancy: a case-control study. Eur J Obstet Gynecol Reprod Biol. (2015) 195:141–5. doi: 10.1016/j.ejogrb.2015.06.023,
30.
Higuchi A Tsuji S Nobuta Y Nakamura A Katsura D Amano T et al . Histopathological evaluation of cesarean scar defect in women with cesarean scar syndrome. Reprod Med Biol. (2022) 21:e12431. doi: 10.1002/rmb2.12431,
31.
Ben-Nagi J Walker A Jurkovic D Yazbek J Aplin JD . Effect of cesarean delivery on the endometrium. Int J Gynaecol Obstet. (2009) 106:30–4. doi: 10.1016/j.ijgo.2009.02.019,
32.
di Pasquo E Kiener AJO DallAsta A Commare A Angeli L Frusca T et al . Evaluation of the uterine scar stiffness in women with previous cesarean section by ultrasound elastography: a cohort study. Clin Imaging. (2020) 64:53–6. doi: 10.1016/j.clinimag.2020.03.006,
33.
Bowman ZS Smith KR Silver RM . Cesarean delivery and risk for subsequent ectopic pregnancy. Am J Perinatol. (2015) 32:815–20. doi: 10.1055/s-0034-1543952,
34.
Jauniaux E Jurkovic D Hussein AM Burton GJ . New insights into the etiopathology of placenta accreta spectrum. Am J Obstet Gynecol. (2022) 227:384–91. doi: 10.1016/j.ajog.2022.02.038,
35.
Einerson BD Kennedy A Silver RM Branch DW Comstock J Woodward PJ . Ultrasonography of the explanted uterus in placenta Accreta Spectrum: correlation with intraoperative findings and gross pathology. Obstet Gynecol. (2023) 141:544–54. doi: 10.1097/AOG.0000000000005075,
36.
De Braud LV Knez J Mavrelos D Thanatsis N Jauniaux E Jurkovic D . Risk prediction of major haemorrhage with surgical treatment of live cesarean scar pregnancies. Eur J Obstet Gynecol Reprod Biol. (2021) 264:224–31. doi: 10.1016/j.ejogrb.2021.07.030,
37.
Hong WX Hu MS Esquivel M Liang GY Rennert RC McArdle A et al . The role of hypoxia-inducible factor in wound healing. Adv Wound Care (New Rochelle). (2014) 3:390–9. doi: 10.1089/wound.2013.0520,
38.
Ghoneim MM O'Hara MW . Depression and postoperative complications: an overview. BMC Surg. (2016) 16:5. doi: 10.1186/s12893-016-0120-y,
Summary
Keywords
cesarean scar pregnancy, postoperative complications, nomogram model, risk prediction, multivariate logistic regression
Citation
Cai P, Huang X and Zhang P (2026) Development and validation of a nomogram model for predicting postoperative complications of cesarean scar pregnancy based on clinical data. Front. Med. 12:1652022. doi: 10.3389/fmed.2025.1652022
Received
23 June 2025
Revised
19 November 2025
Accepted
19 December 2025
Published
12 January 2026
Volume
12 - 2025
Edited by
Sarah M. Cohen, Hadassah Medical Center, Israel
Reviewed by
Basilio Pecorino, Kore University of Enna, Italy
Stefano Restaino, Ospedale Santa Maria della Misericordia di Udine, Italy
Updates
Copyright
© 2026 Cai, Huang and Zhang.
This is an open-access article distributed under the terms of the Creative Commons Attribution License (CC BY). The use, distribution or reproduction in other forums is permitted, provided the original author(s) and the copyright owner(s) are credited and that the original publication in this journal is cited, in accordance with accepted academic practice. No use, distribution or reproduction is permitted which does not comply with these terms.
*Correspondence: Peiru Zhang, peiru.zhang@fjmu.edu.cn
†These authors have contributed equally to this work
Disclaimer
All claims expressed in this article are solely those of the authors and do not necessarily represent those of their affiliated organizations, or those of the publisher, the editors and the reviewers. Any product that may be evaluated in this article or claim that may be made by its manufacturer is not guaranteed or endorsed by the publisher.