Abstract
Background:
Length of postoperative stay (LOPS) is an important indicator for resource allocation and clinical management in elderly patients with hip fractures. However, previous studies have mostly dichotomized this continuous variable to determine whether it is prolonged, a practice that inherently reduces information and introduces limitations. This study aimed to develop and validate a machine learning (ML) model to accurately predict the specific LOPS in elderly patients with hip fractures.
Methods:
This retrospective cohort study included electronic health records (EHRs) of elderly patients with hip fractures admitted to Yichang Central People’s Hospital from January 2016 to December 2022, with a total of 734 patients. Variables commonly measured preoperatively were extracted based on a review of previous studies, and features were selected using Pearson correlation coefficients combined with LASSO regression to construct a backpropagation neural network (BP-NN) model. For comparative evaluation, support vector machine (SVM) and random forest (RF) regression models were developed under the same dataset split (8:2), feature set, and hyperparameter optimization strategy. Model performance was assessed by comparing predicted values versus actual LOPS and calculating root mean square error (RMSE), mean absolute error (MAE), mean absolute percentage error (MAPE), and error thresholds (20%, 30%). The feature importance of the BP-NN model was analyzed via SHapley Additive exPlanations (SHAP) values.
Results:
Among 734 elderly patients with hip fractures, 503 (68.53%) were female, with an average LOPS of 17.42± 3.77 days. Femoral neck fracture (59.26%) and hemiarthroplasty (41.96%) were the most common fracture type and surgical type, respectively. Pearson correlation analysis and LASSO regression showed that age, age-adjusted Charlson comorbidity index (ACCI), and surgical type were the predictors of LOPS. Further sensitivity analysis adjusting for confounding factors revealed that the very old elderly group (aged or above 90 years) had the longest LOPS (15.84± 0.15 days vs. 17.85± 0.14 days vs. 21.99 ± 0.66 days), with no statistically significant difference in LOPS between different surgical type subgroup (P > 0.05). The predicted values of the BP-NN were consistent with the trend of actual LOPS (R2 = 0.83), with the vast majority of prediction results falling within 30% clinically acceptable error threshold. Its RMSE, MAE and MAPE of 1.23 days, 1.57 days and 7.69% respectively. SHAP analysis revealed that ACCI and age were the main factors influencing LOPS.
Conclusion:
The BP-NN model, enhanced by multimethod feature selection, rigorous parameter tuning, and SHAP based interpretability, provides early and accurate LOPS prediction for elderly hip fracture patients. It can be used as a tool to assist in clinical decision-making, resource planning, and discharge preparation, without increasing the clinical burden. Future external validation across multiple centers is needed to confirm generalizability.
1 Introduction
Hip fractures, highly prevalent among the elderly, are characterized by poor prognosis, frequent complications, and elevated mortality rates (1–3). Length of postoperative stay (LOPS) serves as a critical indicator of clinical outcomes and nursing quality, objectively reflecting healthcare efficacy for elderly patients with hip fracture (4). The unplanned prolongation of LOPS may lead to an increased risk of complications in patients and higher medical expenses (5–7). Previous studies have revealed that each additional day of hospitalization increases complications risk by 5%, and hospitalization costs increase by 5–8% accordingly (8, 9). In addition, the unplanned shortening of LOPS may adversely affect postoperative rehabilitation of patients, leading to an increased risk of complications or even death (10, 11). Therefore, accurately predicting the specific LOPS in elderly patients with hip fracture is crucial for healthcare institutions and patients.
Prior retrospective studies (12–16) have mostly used classification methods to explore LOPS distribution in elderly patients with hip fractures, mainly focusing on whether LOPS is prolonged. However, artificially classifying a continuous variable like LOPS essentially involves the subjective assumption that there are inherent differences between subjects below and above the threshold. This practice may introduce bias and information loss, leading to unreliable results (17, 18). Therefore, establishing a statistical model with LOPS as a continuous variable for regression analysis can fully preserve the information on individual differences, allowing for more precise quantification of the association between each influencing factor and LOPS. Currently, the revelated study predicting LOPS as a continuous variable has mostly focused on patients undergoing total hip arthroplasty (THA) (19). Thus, constructing a model capable of accurately predicting LOPS in all elderly patients with hip fractures will be more conducive to ward risk management and the allocation of precise medical services.
Machine learning (ML) algorithms, such as neural networks, can better handle nonlinear relationships between variables and complex interactions among multiple factors, which is particularly critical for LOPS prediction as it is influenced by multiple interconnected clinical factors (20). Compared with traditional statistical methods, ML is more capable of revealing the interactive effects and underlying associations among multiple factors, and has been widely applied in the field of medical outcome prediction with excellent performance (21, 22). Meanwhile, neural network is the most commonly used algorithm for time-related outcome prediction (23), further supporting the feasibility of this approach. Therefore, this study aimed to develop and validate a neural network for predicting the specific LOPS in elderly patients with hip fractures.
2 Materials and methods
2.1 Study design and patient population
This study was approved by the Hospital Ethics Committee of Yichang Central People’s Hospital (Approved No.: 2024-138-01). This retrospective study initially screened electronic health records (EHRs) data of all elderly patients (aged 65 years and above) with hip fractures from Yichang Central People’s Hospital, China. Between January 2016 and December 2022, a total of 775 elderly patients with hip fractures underwent THA, hemiarthroplasty (HA), or internal fixation (IF). These three procedures are the most commonly used treatment methods for elderly patients with hip fractures (24), ensuring the study population’s representativeness and the model’s clinical utility. Among the 775 patients, 41 cases were excluded: (1) postoperative transfer to another hospital (25 cases, incomplete medical records unfit for analysis); (2) postoperative hospital stay exceeding 60 days (3 cases, inconsistent with the study’s focus on routine stays); (3) in-hospital death (n = 13). Eventually, a total of 734 cases were utilized to develop ML algorithms for predicting the specific LOPS of elderly patients with hip fractures.
2.2 Primary outcome
The primary outcome was to predict the specific LOPS in elderly patients with hip fractures. LOPS was defined as the number of days from the day after surgery to the day of discharge (25). The secondary outcome of interest was to identify the preoperative factors influencing LOPS in elderly patients with hip fractures.
2.3 Feature selection
Candidate variables were selected based on established associations with LOPS in prior studies (12, 13, 16), included age, sex, age-adjusted Charlson comorbidity index (ACCI), fracture types, and surgical type. For elaboration, ACCI was developed from the Charlson Comorbidity Index, which incorporates age-related prognostic impacts with stage-specific weighting (26). Comorbidities included coronary atherosclerotic heart disease, peripheral vascular disease, heart failure, stroke, limb paralysis, peptic ulcer, liver disease, chronic obstructive pulmonary disease, diabetes, chronic kidney disease, solid tumors, and hematological malignancies (lymphoma, leukemia) to quantify overall health risks.
All candidate variables were common clinical indicators, so there were no missing data. Continuous variables were subjected to mean normalization to eliminate the influence of different measurement scales on model training, and categorical variables were one-hot encoded to convert nominal data into numerical format suitable for model input. This study employed Pearson correlation coefficient analysis and LASSO regression to quantify the association between each candidate variable and LOPS, while enhancing accuracy and reducing computation time. Pearson was used to analyze the correlations both between individual variables and between individual variables and the LOPS label, aiming to identify and eliminate multicollinearity among variables (27). The optimal regularization parameter of LASSO regression was determined via 10-fold cross-validation. Variables with non-zero coefficients after regularization were retained for subsequent construction of the LOPS predictive model.
2.4 Machine learning development and validation
The study cohort was divided into a training dataset and an independent validation dataset using an 8:2 stratified split ratio according to previous studies (28, 29). To reduce potential bias from a single split, we further performed 10-fold cross-validation on the training dataset to evaluate the model’s stability. Based on the feature selection results, this study adopted the backpropagation neural network (BP-NN) as the core predictive model and trained it on the training dataset. As a typical multi-layer feedforward neural network, the BP-NN consists of an input layer, one or more hidden layers, and an output layer. It minimizes prediction errors by backpropagating output errors, calculating gradients of each layer, and iteratively adjusting connection weights (30). The number of neurons in the input layer is consistent with the dimensionality of the model’s input features to ensure the complete input of original feature information, while the number of neurons in the output layer is set corresponding to the dimensionality of the predicted variables to match the task’s output requirements. Considering the limited number of study samples, a single hidden layer was configured in the network architecture to mitigate overfitting risk. At present, there is no standardized method for determining the number of hidden layer neurons (31), and this number is commonly derived from the neuron counts of the input and output layers. This study selected the tansig activation function for the hidden layer and the purelin function for the output layer. The tansig function was used to model nonlinear relationships in medical data and capture complex nonlinear interactions between variables- a capability critical for LOPS prediction involving multiple clinical factors (31). The purelin function enabled linear output mapping, which was well-suited to the continuous nature of LOPS values.
In addition, two machine learning models, support vector machine (SVM) and random forest (RF), were constructed under the same dataset and hyperparameter optimization conditions to conduct model performance comparison. These models were chosen as a comparator due to their prior performance in continuous variable prediction and widespread use for surgical outcomes prediction (29, 32). To ensure model performance and effective data feature capture, we adopt grid search combined with 10-fold cross-validation for hyperparameter optimization on the training dataset, and the configuration corresponding to the minimum root mean square error (RMSE) was selected for each model (BP-NN: learning rate, number of hidden layer neurons, additional momentum factor, number of training iterations; SVM: kernel function type, penalty coefficient, kernel function parameter; RF: number of decision trees, maximum tree depth, minimum number of samples per leaf node). To prevent overfitting, we introduced early stopping during training, which is a simple and efficient regularization technique that monitors validation performance trends and terminates training before the model shows overfitting signs. The performance of the prediction models was comprehensively evaluated by comparing the actual LOPS with predicted values in the validation dataset, using metrics including RMSE, mean absolute error (MAE) and mean absolute percentage error (MAPE). R2 was also calculated to evaluate the goodness of fit of the model. SHapley Additive exPlanations (SHAP) values were computed to interpret the BP-NN model, which could quantify the contribution of each feature to the prediction result and enhanced the clinical interpretability of the model.
2.5 Statistical analysis
This study was performed using MATLAB software (Windows, Version: 2023b) for data preprocessing and statistical analysis. Categorical variables were presented as counts (percentages) and comparisons between groups were conducted using the chi-square test or Fisher’s exact test. Continuous variables were first assessed for normality via the Shapiro-Wilk test. Those following a normal distribution were described as the mean with the addition and subtraction of the standard deviation (SD), non-normally distributed variables as median (interquartile range), and compared using the Mann-Whitney U test.
3 Results
3.1 Study population
This study included 734 elderly patients with hip fractures: 587 in the training dataset and 147 in the validation dataset. Of these patients, 503 were women (68.53%), and the average LOPS was 17.42± 3.77 days. The most common fracture types were femoral neck fracture (59.26%), with HA (41.96%) as the most frequent surgical type. To avoid bias in the results caused by the uneven distribution of the dependent variable, we compared the baseline characteristics of elderly patients with hip fractures between the training dataset and validation dataset Table 1. The results showed no significant differences in clinical characteristics between the two groups (p> 0.05).
TABLE 1
| Characteristics | Training dataset (587 cases) | Validation dataset (147 cases) | P-value |
|---|---|---|---|
| Sex [n, (%)] | 0.80 | ||
| Male | 186(31.69) | 45(30.61) | |
| Female | 401(68.31) | 102(69.39) | |
| Age (years, ± s) | 76.93 ± 6.98 | 78.19 ± 7.23 | 0.07 |
| ACCI (scores, ± s) | 3.95 ± 1.20 | 4.02 ± 1.09 | 0.53 |
| Fracture types [n, (%)] | 0.11 | ||
| Femoral neck fractures | 359(61.16) | 76(51.70) | |
| Intertrochanteric fractures | 216(36.80) | 68(46.26) | |
| Subtrochanteric fractures | 12(2.04) | 3(2.04) | |
| Surgical type [n, (%)] | 0.14 | ||
| THA | 138(23.51) | 24(16.33) | |
| HA | 245(41.74) | 63(42.86) | |
| IF | 204(35.75) | 60(40.82) | |
| LOPS (days, ± s) | 17.32 ± 3.75 | 17.96 ± 3.91 | 0.07 |
Baseline characteristics of study population.
3.2 Feature selection
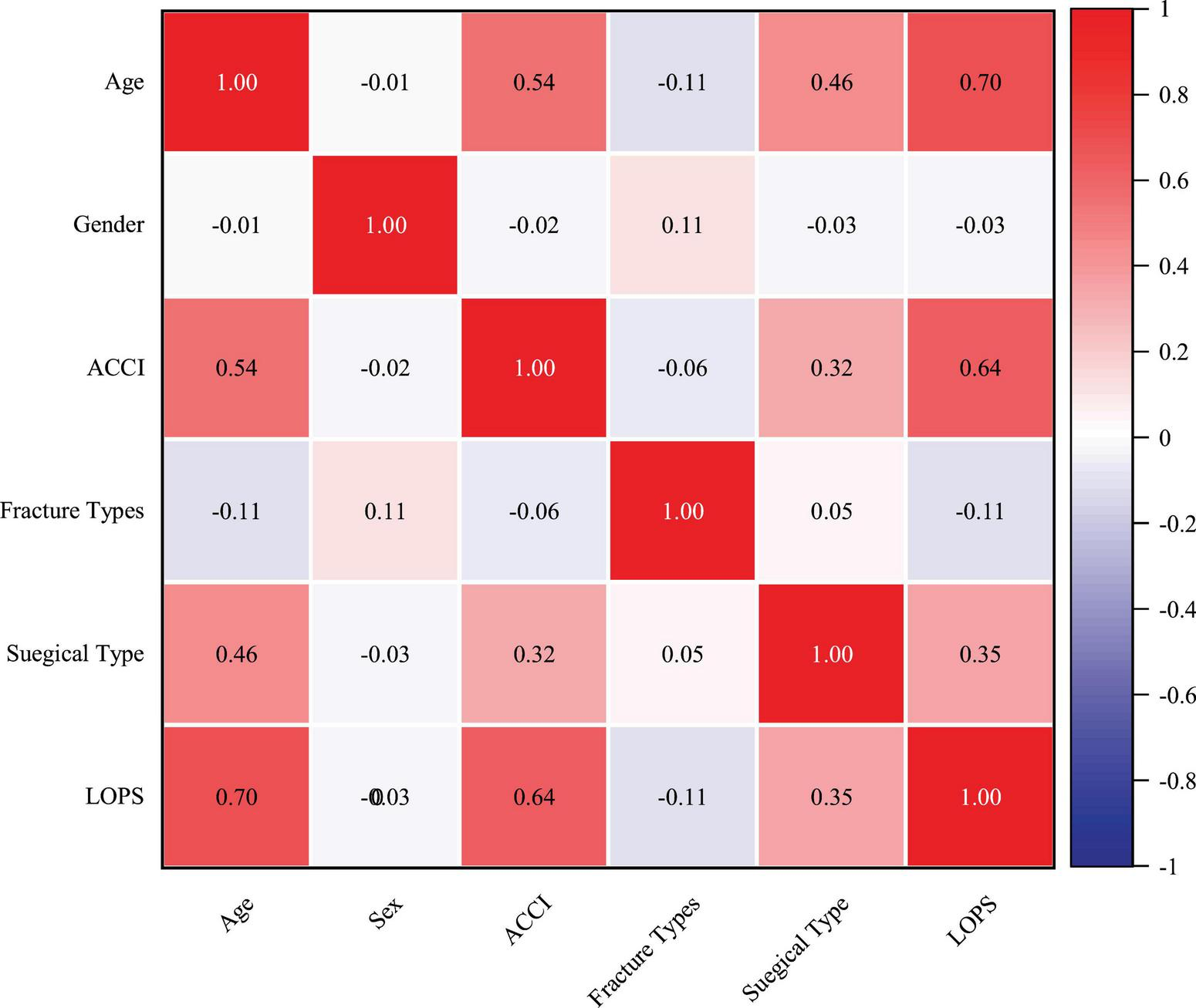
Pearson correlation analysis revealed that age, and ACCI were strongly correlated with LOPS, while surgical type was weakly correlated (Figure 1). Subsequently, LASSO regression confirmed that age, ACCI and surgical type were the predictors for LOPS in this patient population (Figure 2).
FIGURE 1

Correlation heatmap.
FIGURE 2

Feature selection using LASSO regression.
Based on the above feature selection results, we further explored the association between the different age groups and three surgical types with LOPS. Age groups were categorized in accordance with the latest elderly age stratification criteria of the World Health Organization (WHO): 60–74 years as the young elderly group, 75–89 years as the older elderly group, and aged or above 90 years as the very old elderly group. The relevant results were presented in Tables 2, 3.
TABLE 2
| Characteristics | Young elderly group (n = 287) | Older elderly group (n = 423) | Very old elderly group (n = 24) |
|---|---|---|---|
| ACCI (scores, ± s) | 3.31 ± 1.07 | 4.36 ± 1.05 | 4.88 ± 0.74 |
| THA [n, (%)] | 123(42.86) | 39(9.22) | 0(0) |
| HA [n, (%)] | 61(21.25) | 229(54.14) | 18(75.00) |
| IF [n, (%)] | 103(35.89) | 155(36.64) | 6(25.00) |
| LOPS (days, ± s) | 14.95 ± 2.15 | 18.78 ± 3.58 | 24.10 ± 2.65 |
| Adjusted LOPS (days, ) | 15.84 ± 0.15 | 17.85 ± 0.14 | 21.99 ± 0.66 |
Baseline comparison among elderly patients with hip fractures of all age groups.
TABLE 3
| Characteristics | THA (n = 162) |
HA (n = 308) |
IF (n = 264) |
|---|---|---|---|
| Age (years, ± s) | 71.41 ± 4.32 | 80.18 ± 6.44 | 77.22 ± 7.19 |
| ACCI (scores, ± s) | 3.27 ± 1.10 | 4.31 ± 1.06 | 4.00 ± 1.17 |
| LOPS (days, ± s) | 14.91 ± 2.14 | 18.56 ± 3.79 | 17.70 ± 3.86 |
| Adjusted LOPS (days, ± s) | 17.80 ± 0.28 | 18.71 ± 0.24 | 18.67 ± 0.22 |
Baseline comparison of three surgical types for elderly patients with hip fractures.
Table 2 showed obvious numerical differences in LOPS across different age groups. The very old elderly group had the longest LOPS both before and after adjusting for confounding factors. Meanwhile, the comorbidity burden of elderly patients with hip fractures (as measured by ACCI score) demonstrated an increasing trend with advancing age. Distinct intergroup differences were observed in surgical type distribution: the young elderly group mainly received THA (42.86%), while HA dominated in the older elderly group (54.14%) and very old elderly group (75.00%).
Table 3 revealed that without controlling for confounding factors, there were significant differences in LOPS among the three surgical types. However, after adjusting for age and ACCI, no statistically significant independent effect of surgical type on LOPS was observed (F = 2.454, p = 0.087). This indicated that the impact of surgical type was not isolated but was conditional on patient-specific factors. BP-NN, as a universal function approximator, possesses the inherent capability to automatically discover and model such complex, non-linear interactions from the data (33). Therefore, we retained surgery type (converting THA, HA, and IF into a single categorical variable through categorical coding) together with age and ACCI as input features to construct a prediction model for LOPS in elderly patients with hip fractures.
3.3 Model development
Based on the identified key predictors, the number of input layer neurons in the BP-NN model was set to 3, and the number of output layer neurons was 1. The RMSE values for model with different numbers of hidden layer neurons were calculated via 10-fold cross-validation (Table 4).
TABLE 4
| The number of hidden layer neurons | Average RMSE |
|---|---|
| 3 | 1.3170 |
| 4 | 1.2346 |
| 5 | 1.7942 |
| 6 | 1.5649 |
| 7 | 1.4460 |
| 8 | 1.4673 |
| 9 | 1.7162 |
| 10 | 1.7312 |
| 11 | 1.7364 |
| 12 | 1.7726 |
Screening of hidden layer nodes.
The screening results for hidden layer nodes showed that the model achieved the minimum RMSE (1.2346) with 4 hidden neurons, indicating the highest prediction accuracy. The BP-NN constructed accordingly had a topological structure of 3-4-1, as illustrated in Figure 3.
FIGURE 3

Topology of the BP-NN.
3.4 Model validation
To evaluate the predictive performance of the model, statistical metrics were calculated on the training dataset and the validation dataset (Table 5), and the results indicated that the model had no significant overfitting. Furthermore, a clear fitting plot of predicted values and actual LOPS in the validation dataset (Figure 4) showed that most data points were concentrated within the ± 20% error margin, with only a small number of points falling into the ± 30% error margin. Meanwhile, the data points generally exhibited a positive correlation trend along the fitted line, which indicated that the BP-NN model’s predicted values had good consistency with the actual LOPS.
TABLE 5
| Statistical metric | Training dataset | Validation dataset |
|---|---|---|
| RMSE (days) | 1.15 | 1.23 |
| MAE (days) | 1.81 | 1.57 |
| MAPE (%) | 8.60 | 7.69 |
Comparison of the performance of BP-NN model.
FIGURE 4

The fitting plot of predicted values and actual LOPS in the validation dataset.
The results of the prediction model constructed using the same training dataset and hyperparameter optimization methods were shown in Table 6. The BP-NN model exhibited superior fitting performance on the validation dataset (R2 = 0.83), outperforming SVM (R2 = 0.57) and RF (R2 = 0.60). Compared to SVM, BP-NN also had lower error metrics, with RMSE being decreased by 1.33 days, MAE by 0.3 days, and MAPE by 2.68%. Compared to RF, BP-NN’s RMSE was decreased by 1.24 days, MAE by 0.25 days, and MAPE by 2.44%. These results indicated that the BP-NN model achieved favorable performance in predicting LOPS in elderly patients with hip fractures.
TABLE 6
| Statistical metric | BP-NN | SVM | RF |
|---|---|---|---|
| RMSE (days) | 1.23 | 2.56 | 2.47 |
| MAE (days) | 1.57 | 1.87 | 1.82 |
| MAPE (%) | 7.69 | 10.37 | 10.13 |
| R 2 | 0.83 | 0.57 | 0.60 |
Comparison of the performance of machine learning models.
3.5 The importance of features
SHAP analysis was used to interpret the BP-NN model (Figure 5). The SHAP feature importance bar plot showed that ACCI and age were the main factors influencing LOPS, and the surgical type was secondary influencing factors of LOPS.
FIGURE 5

SHAP feature importance bar plot.
4 Discussion
This retrospective cohort study developed and validated a ML model based on EHRs of elderly patients with hip fractures to predict the specific LOPS. We confirmed age and ACCI as dominant predictors, and impact of surgical type was mediated through interactions with age and ACCI. The goal of this model was to provide medical staff with a reference for the specific LOPS through accurate calculation of continuous variables, enabling clinicians to anticipate clinical risks and support precise resource allocation in hospital management. Most importantly, the model only adopted three commonly available clinical variables, which would not increase the workload of medical staff or medical costs, making it easier to implement in hospital settings. Additionally, all variables included in the model could be determined at the early stage of admission, enabling early planning for clinical surgeons and hospital managers.
In a retrospective study collecting clinical data of patients who underwent THA from January 2014 to December 2019, the authors reported that for each additional day of hospital stay, the risk of complications in patients increased by 13% (34). However, LOPS reduction was mainly achieved through the rational allocation of medical service providers and medical resources based on conditions of patients and treatment needs, with the key being the accurate identification of the actual LOPS required by patients. Previous studies had linked risk factors to the LOPS through linear regression analysis (12, 13, 16), but most of these adopted threshold-based classification, focusing on whether LOPS of patients was prolonged or not. Variable continuity was interrupted by threshold-based classification, which could lead to information loss (35). In contrast, continuous variable prediction could fully retain original data information and accurately capture the inter-patient heterogeneity. In particular, continuous variable prediction could output quantitative values. Once the model training was completed, it could help focus attention on groups who actually need a longer LOPS and act as a tool to assist in medical decision-making when integrated into the current medical system.
In addition, hospital management need to strategically plan bed capacity and allocation to better match medical service providers with medical resources. Bed congestion could lead to resource waste, increased medical costs, and higher in-hospital risks for patients (36–38). On the other hand, bed vacancies might result in resource underutilization and financial losses (39). Hence, accurately predicting specific LOPS values is extremely important for hospital management. For example, the workload of nursing wards depended heavily on patient volume and their length of stay. The ability to forecast workload would enable managers to deliver cost-effective care. A cross-sectional study described the impact of nursing staff allocation on the length of hospital stay and hospitalization costs for patients undergoing hip or knee surgery (40). Yankovic et al. also described nursing staff allocation depend on the prediction of patients’ hospital stay duration, further supporting the model’s value for hospital management (41). Therefore, it was necessary to develop a prediction model for forecasting specific LOPS in elderly patients with hip fractures to optimize hospital management.
The BP-NN model could also offer an additional benefit, enabling patients to plan their schedules and medical expenses more systematically. Cao et al found that the LOPS of patients was 12 days (16), while another study indicated that the average LOPS for such patients was 16.6 days (31). In our study, the average LOPS of elderly patients with hip fractures was 17.42 days. Therefore, if the specific LOPS could be predicted based on the patients’ personal characteristics, rather than relying on empirical estimates, patients would be better able to coordinate life and medical-related affairs in advance. In terms of medical expenses, patients could also make reasonable plans and preparations to avoid the impact of cost issues on treatment. Although there was a large difference in LOPS among elderly patients with hip fractures between domestic and international settings due to factors such as post-discharge residence and healthcare systems, the prediction method proposed in this study was worthy of recommendation. Other regions could retrain the model on local datasets to attain clinically acceptable predictive performance. If necessary, hyperparameter optimization methods tailored to local data could be employed for iterative optimization, thereby realizing accurate LOPS prediction.
This study employed a BP-NN model to predict the specific LOPS in elderly patients with hip fractures based on EHR dataset. The model demonstrated robust performance in validation dataset (RMSE = 1.23 days, MAE = 1.57 days, MAPE = 7.69%), outperforming prior similar studies on continuous outcome prediction (31, 39). The coefficient of determination (R2 = 0.83) was moderately good, which was likely attributed to the inherent challenge with continuous outcome variable, including complexes conditions, interacting clinical factors and data noise. However, predicting LOPS as a categorize continuous might fail to reflect individual differences (42), since groups above or below the threshold were considered as inherently distinct. Critically, the relative error quantified by MAPE was of great significance for patient risk stratification and resource allocation. Nevertheless, RMSE, MAE, and MAPE used in this study had inherent limitations, with RMSE sensitive to extreme errors, MAE failing to distinguish error distributions, and MAPE tendance to exaggerate errors for short LOPS. Future studies could further incorporate indicators such as symmetric mean absolute percentage error and consistency correlation coefficient to measure precision and accuracy. Despite this fact, a specific LOPS prediction still provided a practical reference for individualized clinical decision-making.
SHAP analysis provided an interpretation of the LOPS prediction model, with age and ACCI being the main predictors, which were observed in previous retrospective analyses (16). With increasing age, elderly patients with hip fracture experienced varying degrees of decline in functional reserve, stress tolerance, and immunity, making them highly susceptible to various complications (43, 44), which may require an extended recovery period, thereby prolonging their LOPS. Sensitivity analysis with age treated as a categorical variable showed that the very old elderly group had the longest LOPS. This may be associated with factors such as relatively poor baseline health status and a higher burden of comorbidities in this population. Although age is an immutable clinical factor, this finding of the present study still holds important implications for the clinical risk management of specific patients and optimal allocation of medical resources. Cao et al. also reported that a high ACCI was associated with prolonged LOPS (16). ACCI cannot only serve as an indicator to evaluate the severity of preoperative diseases of patients (45) but also exhibit significant accuracy in predicting postoperative complications (46), and the severity of diseases and the incidence of complications largely affected patients’ LOPS (47). Although surgical type was a predictor of LOPS, there was no statistically significant difference in LOPS among the three surgical types after adjusting for confounding factors, suggesting that its independent effect on LOPS was modulated by age and ACCI. The specific mechanism underlying this result may be as follows: on the one hand, both age and ACCI were strongly correlated with LOPS in this study and served as the main dominant factors determining LOPS. On the other hand, the selection of surgical type in clinical practice was not an independent decision. Surgeons inherently made individualized decisions based on the patients’ age and health status, leading to a natural intertwining of the effects of surgical type with those of age and ACCI, and this ultimately results in the independent effect of surgical type being masked.
We interpret the potential limitations of this study in light of its findings. First, the retrospective design might introduce inherent selection and information biases. Although complete data of participants were obtained through standardized EHRs, there were still a few types of cases not included in this study. When patients with such transfer characteristics are encountered again, the model may have difficulty predicting their LOPS accurately. Second, this model was constructed solely based on data from elderly fracture patients in this region. However, LOPS may vary among patients in different countries, regions, and areas with varying economic levels. Therefore, it is necessary for other regions to develop models using local data to verify its generalizability. Third, this study collected only data from patients at admission based on EHRs to facilitate early intervention, while potential variables, such as frailty (48), preoperative medications (49), preoperative waiting time (admission-to-surgery interval), and American Society of Anesthesiologists’ (ASA) classification, were not included in model construction, which may limit the model’s performance. Fourth, this model was constructed based on the training dataset split in an 8:2 ratio. Although we supplemented 10-fold cross-validation to evaluate the model’s internal stability, no external validation has been conducted, and its external generalizability remains unclear. Future studies can perform multi-center external validation to clarify the model’s generalizability, and thereby enhance its clinical applicability. Fifth, this study constructed the LOPS prediction model only from the perspective of patient safety and did not incorporate objective socioeconomic factors such as income, medical expenses, and medical insurance status, so further research is needed to identify and overcome potential barriers in practical application.
5 Conclusion
This study developed and validated a BP -NN model using the EHRs of elderly patients with hip fractures to predict the specific LOPS in this population. The model identified age and ACCI as the strongest predictors, while also revealing that the impact of surgical type was not independent but was modulated through complex interactions with these patient-specific factors. These predictions indicate the potential to assist surgeons in making personalized decisions regarding the LOPS of elderly patients with hip fracture by considering the confluence of patient age, comorbidity, and planned surgical type, and in managing their in-hospital safety, as well as enable hospital administrators to more effectively plan medical resources strategically.
Statements
Data availability statement
The original contributions presented in this study are included in this article/supplementary material, further inquiries can be directed to the corresponding author.
Ethics statement
The studies involving humans were approved by Ethics Committee of Yichang Central People’s Hospital (Protocol No.: 2024-138-01). The studies were conducted in accordance with the local legislation and institutional requirements. Written informed consent for participation was not required from the participants or the participants’ legal guardians/next of kin in accordance with the national legislation and institutional requirements. The animal study was approved by Ethics Committee of Yichang Central People’s Hospitalics. The study was conducted in accordance with the local legislation and institutional requirements.
Author contributions
YH: Conceptualization, Data curationm, Formal analysis, Methodology, Software, Validation, Visualization, Writing – original draft, Writing – review & editing. HQ: Conceptualization, Methodology, Project administration, Supervision, Writing – review & editing. FW: Conceptualization, Project administration, Supervision, Writing – review & editing. FD: Conceptualization, Data curation, Writing – original draft. QL: Investigation, Supervision, Writing – review & editing. TG: Data curation, Writing – review & editing.
Funding
The author(s) declared that financial support was not received for this work and/or its publication.
Conflict of interest
The author(s) declared that this work was conducted in the absence of any commercial or financial relationships that could be construed as a potential conflict of interest.
Generative AI statement
The author(s) declared that generative AI was not used in the creation of this manuscript.
Any alternative text (alt text) provided alongside figures in this article has been generated by Frontiers with the support of artificial intelligence and reasonable efforts have been made to ensure accuracy, including review by the authors wherever possible. If you identify any issues, please contact us.
Publisher’s note
All claims expressed in this article are solely those of the authors and do not necessarily represent those of their affiliated organizations, or those of the publisher, the editors and the reviewers. Any product that may be evaluated in this article, or claim that may be made by its manufacturer, is not guaranteed or endorsed by the publisher.
References
1.
Parker M Johansen A . Hip fracture.BMJ. (2006) 333:27–30. 10.1136/bmj.333.7557.27
2.
Xing F Luo R Liu M Zhou Z Xiang Z Duan X . A new random forest algorithm-based prediction model of post-operative mortality in geriatric patients with hip fractures.Front Med. (2022) 9:829977. 10.3389/fmed.2022.829977
3.
Lin C Liang Z Liu J Sun W . A machine learning-based prediction model pre-operatively for functional recovery after 1-year of hip fracture surgery in older people.Front Surg. (2023) 10:1160085. 10.3389/fsurg.2023.1160085
4.
Downey C Kelly M Quinlan JF . Changing trends in the mortality rate at 1-year post hip fracture - a systematic review.World J Orthop. (2019) 10:166–75. 10.5312/wjo.v10.i3.166
5.
Lee TC Ho PS Lin HT Ho ML Huang HT Chang JK . One-year readmission risk and mortality after hip fracture surgery: a national population-based study in Taiwan.Aging Dis. (2017) 8:402–9. 10.14336/AD.2016.1228
6.
Burn E Edwards CJ Murray DW Silman A Cooper C Arden NK et al Trends and determinants of length of stay and hospital reimbursement following knee and hip replacement: evidence from linked primary care and nhs hospital records from 1997 to 2014. Bmj Open. (2018) 8:e19146. 10.1136/bmjopen-2017-019146
7.
Gephart MG Zygourakis CC Arrigo RT Kalanithi PS Lad SP Boakye M . Venous thromboembolism after thoracic/thoracolumbar spinal fusion.World Neurosurg. (2012) 78:545–52. 10.1016/j.wneu.2011.12.089
8.
Mathew PJ Jehan F Kulvatunyou N Khan M O’Keeffe T Tang A et al The burden of excess length of stay in trauma patients. Am J Surg. (2018) 216:881–5. 10.1016/j.amjsurg.2018.07.044
9.
Schwartz AJ Clarke HD Sassoon A Neville MR Etzioni DA . The clinical and financial consequences of the centers for medicare and medicaid services’ two-midnight rule in total joint arthroplasty.J Arthroplasty. (2020) 35:1–6.e1. 10.1016/j.arth.2019.08.048
10.
Pascal L Polazzi S Piriou V Cotte E Wegrzyn J Carty MJ et al Hospital length of stay reduction over time and patient readmission for severe adverse events following surgery. Ann Surg. (2020) 272:105–12. 10.1097/SLA.0000000000003206
11.
Nordstrom P Bergman J Ballin M Nordstrom A . Trends in hip fracture incidence, length of hospital stay, and 30-day mortality in sweden from 1998-2017: a nationwide cohort study.Calcif Tissue Int. (2022) 111:21–8. 10.1007/s00223-022-00954-4
12.
Tian CW Chen XX Shi L Zhu HY Dai GC Chen H et al Machine learning applications for the prediction of extended length of stay in geriatric hip fracture patients. World J Orthop. (2023) 14:741–54. 10.5312/wjo.v14.i10.741
13.
Liu H Xing F Jiang J Chen Z Xiang Z Duan X . Random forest predictive modeling of prolonged hospital length of stay in elderly hip fracture patients.Front Med. (2024) 11:1362153. 10.3389/fmed.2024.1362153
14.
Schneider AM Denyer S Brown NM . Risk factors associated with extended length of hospital stay after geriatric hip fracture.J Am Acad Orthop Surg Glob Res Rev. (2021) 5:e21–73. 10.5435/JAAOSGlobal-D-21-00073
15.
Long Y Wang T Xu X Ran G Zhang H Dong Q et al Risk factors and outcomes of extended length of stay in older adults with intertrochanteric fracture surgery: a retrospective cohort study of 2132 patients. J Clin Med. (2022) 11:7366. 10.3390/jcm11247366
16.
Cao H Yu J Chang Y Li Y Zhou B . Construction and validation of a risk prediction model for delayed discharge in elderly patients with hip fracture.BMC Musculoskelet Disord. (2023) 24:66. 10.1186/s12891-023-06166-7
17.
Schellingerhout JM Heymans MW de Vet HC Koes BW Verhagen AP . Categorizing continuous variables resulted in different predictors in a prognostic model for nonspecific neck pain.J Clin Epidemiol. (2009) 62:868–74. 10.1016/j.jclinepi.2008.10.010
18.
Senneby A Neilands J Svensater G Axtelius B Rohlin M . Threshold values affect predictive accuracy of caries risk assessment.Acta Odontol Scand. (2019) 77:315–27. 10.1080/00016357.2018.1564838
19.
Bolourinejad P Motififard M Kazemi Naeini M Saffari M Salehi F Rajabzade P et al Predictive factors for length of stay in patients undergoing total hip arthroplasty: a cross-sectional study. Medical Journal of the Islamic Republic of Iran. (2023) 37:116. 10.47176/mjiri.37.116
20.
Kahokehr AA Sammour T Sahakian V Zargar-Shoshtari K Hill AG . Influences on length of stay in an enhanced recovery programme after colonic surgery.Colorectal Dis. (2011) 13:594–9. 10.1111/j.1463-1318.2010.02228.x
21.
Su Q Xu G . Endoscopic surgical treatment of osteoarthritis and prognostic model construction.Comput Math Methods Med. (2022) 2022:1799177. 10.1155/2022/1799177
22.
Zhang X Lee SY Luo H Liu H . A prediction model of sleep disturbances among female nurses by using the bp-ann.J Nurs Manag. (2019) 27:1123–30. 10.1111/jonm.12782
23.
Chavosh NM Vestergaard MR Dukovska-Popovska I Jakobsen T Johansen J . Machine learning for predicting duration of surgery and length of stay: a literature review on joint arthroplasty.Int J Med Inform. (2024) 192:105631. 10.1016/j.ijmedinf.2024.105631
24.
Nishimura Y Inagaki Y Noda T Nishioka Y Myojin T Ogawa M et al Risk factors for mortality after hip fracture surgery in japan using the national database of health insurance claims and specific health checkups of japan. Arch Osteoporos. (2023) 18:91. 10.1007/s11657-023-01293-z
25.
Basques BA Bohl DD Golinvaux NS Leslie MP Baumgaertner MR Grauer JN . Postoperative length of stay and 30-day readmission after geriatric hip fracture: an analysis of 8434 patients.J Orthop Trauma. (2015) 29:e115–20. 10.1097/BOT.0000000000000222
26.
Charlson M Szatrowski TP Peterson J Gold J . Validation of a combined comorbidity index.J Clin Epidemiol. (1994) 47:1245–51. 10.1016/0895-4356(94)90129-5
27.
Fu Y Yin Y Zhao Y Li Y Lu Y Xiang A et al Changes of the effective optical zone after small-incision lenticule extraction and a correlation analysis. Lasers Med Sci. (2022) 38:14. 10.1007/s10103-022-03666-1
28.
Chen TL Buddhiraju A Costales TG Subih MA Seo HH Kwon Y . Machine learning models based on a national-scale cohort identify patients at high risk for prolonged lengths of stay following primary total hip arthroplasty.J Arthroplasty. (2023) 38:1967–72. 10.1016/j.arth.2023.06.009
29.
El-Othmani MM Zalikha AK Shah RP . Comparative analysis of the ability of machine learning models in predicting in-hospital postoperative outcomes after total hip arthroplasty.J Am Acad Orthopaed Surg. (2022) 30:e1337–47. 10.5435/JAAOS-D-21-00987
30.
Hu W Cai B Zhang A Calhoun VD Wang YP . Deep collaborative learning with application to the study of multimodal brain development.IEEE Trans Biomed Eng. (2019) 66:3346–59. 10.1109/TBME.2019.2904301
31.
Zhong H Wang B Wang D Liu Z Xing C Wu Y et al The application of machine learning algorithms in predicting the length of stay following femoral neck fracture. Int J Med Inform. (2021) 155:104572. 10.1016/j.ijmedinf.2021.104572
32.
Elfanagely O Toyoda Y Othman S Mellia JA Basta M Liu T et al Machine learning and surgical outcomes prediction: a systematic review. J Surg Res. (2021) 264:346–61. 10.1016/j.jss.2021.02.045
33.
Lv J Guo X Meng C Fei J Ren H Zhang Y et al The cross-sectional study of depressive symptoms and associated factors among adolescents by backpropagation neural network. Public Health. (2022) 208:52–8. 10.1016/j.puhe.2022.04.017
34.
Ali U Malik S Iqbal B Bhatti A Khan SB Noordin S et al The modified 5-item frailty index in total hip arthroplasty patients: a retrospective cohort from a low-middle income country. J Orthop Surg Res. (2025) 20:299. 10.1186/s13018-025-05505-9
35.
Oosterhoff J Gravesteijn BY Karhade AV Jaarsma RL Kerkhoffs G Ring D et al Feasibility of machine learning and logistic regression algorithms to predict outcome in orthopaedic trauma surgery. J Bone Joint Surg Am. (2022) 104:544–51. 10.2106/JBJS.21.00341
36.
Qin S Thompson C Bogomolov T Ward D Hakendorf P . Hospital occupancy and discharge strategies: a simulation-based study.Intern Med J. (2017) 47:894–9. 10.1111/imj.13485
37.
Otero JE Gholson JJ Pugely AJ Gao Y Bedard NA Callaghan JJ . Length of hospitalization after joint arthroplasty: does early discharge affect complications and readmission rates?J Arthroplasty. (2016) 31:2714–25. 10.1016/j.arth.2016.07.026
38.
Sprivulis PC Da SJ Jacobs IG Frazer AR Jelinek GA . The association between hospital overcrowding and mortality among patients admitted via western Australian emergency departments.Med J Aust. (2006) 184:208–12. 10.5694/j.1326-5377.2006.tb00416.x
39.
Gabriel RA Sharma BS Doan CN Jiang X Schmidt UH Vaida F . A predictive model for determining patients not requiring prolonged hospital length of stay after elective primary total hip arthroplasty.Anesth Analg. (2019) 129:43–50. 10.1213/ANE.0000000000003798
40.
Kim Y Kim SH Ko Y . Effect of nurse staffing variation and hospital resource utilization.Nurs Health Sci. (2016) 18:473–80. 10.1111/nhs.12294
41.
Yankovic N Green LV . Identifying good nursing levels: a queuing approach.Operat Res. (2011) 59:942–55. 10.1287/opre.1110.0943
42.
Richards T Glendenning A Benson D Alexander S Thati S . The independent patient factors that affect length of stay following hip fractures.Ann R Coll Surg Engl. (2018) 100:556–62. 10.1308/rcsann.2018.0068
43.
Greenstein AS Gorczyca JT . Orthopedic surgery and the geriatric patient.Clin Geriatr Med. (2019) 35:65–92. 10.1016/j.cger.2018.08.007
44.
Shaw JF Mulpuru S Kendzerska T Moloo H Martel G Eskander A et al Association between frailty and patient outcomes after cancer surgery: a population-based cohort study. Br J Anaesth. (2022) 128:457–64. 10.1016/j.bja.2021.11.035
45.
Yang CC Chen PC Hsu CW Chang SL Lee CC . Validity of the age-adjusted charlson comorbidity index on clinical outcomes for patients with nasopharyngeal cancer post radiation treatment: a 5-year nationwide cohort study.PLoS One. (2015) 10:e117323. 10.1371/journal.pone.0117323
46.
Fu M Zhang Y Zhao Y Guo J Hou Z Zhang Y et al Characteristics of preoperative atrial fibrillation in geriatric patients with hip fracture and construction of a clinical prediction model: a retrospective cohort study. BMC Geriatr. (2023) 23:310. 10.1186/s12877-023-03936-9
47.
Wong KC Tan ES Liow M Tan MH Howe TS Koh SB . Lower socioeconomic status is associated with increased co-morbidity burden and independently associated with time to surgery, length of hospitalisation, and readmission rates of hip fracture patients.Arch Osteoporos. (2022) 17:139. 10.1007/s11657-022-01182-x
48.
Wong B Chan YH O’Neill GK Murphy D Merchant RA . Frailty, length of stay and cost in hip fracture patients.Osteoporos Int. (2023) 34:59–68. 10.1007/s00198-022-06553-1
49.
Shen J Yu Y Wang C Chu Y Yan S . Association of preoperative medication with postoperative length of stay in elderly patients undergoing hip fracture surgery.Aging Clin Exp Res. (2021) 33:641–9. 10.1007/s40520-020-01567-3
Summary
Keywords
BP neural network, elderly, hip fractures, length of postoperative stay, length of stay, machine learning, predict
Citation
Hu Y, Qu H, Wang F, Deng F, Luo Q and Gong T (2026) Length of postoperative stay prediction in elderly patients with hip fractures based on machine learning. Front. Med. 12:1728645. doi: 10.3389/fmed.2025.1728645
Received
20 October 2025
Revised
15 December 2025
Accepted
29 December 2025
Published
14 January 2026
Volume
12 - 2025
Edited by
Guanwu Li, Shanghai University of Traditional Chinese Medicine, China
Reviewed by
Paria Bolourinejad, Isfahan University of Medical Sciences, Iran
Chengwei Kang, Shandong University, China
Haseeb Khawar, University of Nottingham, United Kingdom
Updates
Copyright
© 2026 Hu, Qu, Wang, Deng, Luo and Gong.
This is an open-access article distributed under the terms of the Creative Commons Attribution License (CC BY). The use, distribution or reproduction in other forums is permitted, provided the original author(s) and the copyright owner(s) are credited and that the original publication in this journal is cited, in accordance with accepted academic practice. No use, distribution or reproduction is permitted which does not comply with these terms.
*Correspondence: Hong Qu, 190030911@qq.com
Disclaimer
All claims expressed in this article are solely those of the authors and do not necessarily represent those of their affiliated organizations, or those of the publisher, the editors and the reviewers. Any product that may be evaluated in this article or claim that may be made by its manufacturer is not guaranteed or endorsed by the publisher.