Abstract
Background:
Hypertrophic scars and keloids are fibroproliferative conditions that are resistant to treatment and recur often. The effectiveness and safety of glucocorticoid-based treatments and their combinations in the treatment of keloid disease were objectively assessed in this systematic review and meta-analysis.
Methods:
42 randomized and comparative clinical studies were considered. Intralesional, topical, or aided glucocorticoid delivery were eligible treatments.
Results:
The use of corticosteroids alone in intervention methods (SMD = 1.28; 95% CI: 1.05–1.51; p < 0.05; I2 = 43%). The use of 5-FU-based treatments yielded the same results (SMD = 1.15; 95% CI: 0.97–1.34; p < 0.05) with very low level of inconsistency. The laser treatment approach significantly improved the scar condition (SMD = 0.99; 95% CI: 0.81–1.16; p < 0.05). CCD interventions had been significant changes and improvements (SMD = 1.07; 95% CI: 0.97–1.18; p < 0.05; I2 = 47%). Techniques with and without delivery, such as steroids + 5-FU, laser-assisted delivery, microneedling, or cryotherapy-assisted corticosteroid delivery, provided consistently better results. The GRADE evaluation indicated that the certainty of evidence was poor for microneedle and cryotherapy-aided techniques, medium for recurrence rate, cosmetic results, and negative consequences, and excellent for scar volume decrease, pain, and pruritus relief. The adverse outcomes, primarily telangiectasia and moderate atrophy, were temporary and self-resolving.
Conclusion:
The best and safest treatment for keloid management is intralesional TAC, based upon the data at hand. The mainstay of clinically proven scar therapy is still multimodal, glucocorticoid-centered regimens that show consistent therapeutic outcomes.
1 Introduction
A pathologic expression of wound healing, keloids result in scars that go beyond the initial injury due to abnormal fibroproliferation and prolonged extracellular matrix deposition. Keloids exhibit dense, glassy collagen bundles, enhanced angiogenic activity, decreased matrix degradation, and constant stimulation of profibrotic factors like TGF-β and CTGF, in contrast to hypertrophic scars. Clinically, they frequently result in pain, irritation, limited mobility, and cosmetic issues, also, they frequently reappear following surgical excision, making therapy difficult (1, 2). The basic characteristics of keloids support treatments that concurrently reduce inflammation, stop the growth of fibroblasts, and encourage matrix remodeling. Intralesional glucocorticoids continue to be the mainstay of treatment since they act on certain important diseases processed such as reducing profibrotic cytokines, delaying fibroblast proliferation, increasing collagenase activity, and decreasing vascularity and inflammatory responses. The most widely utilized corticosteroid among them is triamcinolone acetonide (TAC), which reliably reduces scarring and relieves symptoms. However, with repeated recurrences and local side effects including skin thinning and color changes, corticosteroid monotherapy frequently fails to achieve full remission, which prompts the quest for better therapeutic strategies (3).
Intralesional glucocorticoid therapy, especially with triamcinolone acetonide (TAC), is still the most popular and successful therapy for keloid and hypertrophic scar control, as shown by recent clinical data. TAC has been demonstrated to continuously lessen discomfort, itching, and scar thickness, with observable improvements in cosmetic results. When compared to corticosteroid treatment, combination therapy combining TAC and 5-fluorouracil (5-FU) yields the greatest clinical outcomes, resulting in larger decreases in scar volume and reduced recurrence rates (4). In comparison to traditional injections, research employing fractional laser-assisted corticosteroid delivery, cryotherapy in conjunction with intralesional steroids, and microneedle-based administration have demonstrated increased scar flattening and enhanced patient comfort (5). Verapamil, botulinum toxin A, and vitamin D3 are examples of adjunctive therapies that have shown additional or equivalent advantages, fewer negative consequences and acceptable tolerability (6). All things considered, the available data points to a multimodal, combination-based approach that combines pharmacologic synergy with cutting- edge delivery techniques to improve efficacy and produce longer-lasting remission in the treatment of keloid.
Clinical data is still inconsistent despite many positive reports. Corticosteroid concentration, dosage intervals, delivery methods, adjuvant regimens, and results evaluations like the Vancouver Scar Scale (VSS) or Patient and Observer Scar Assessment Scale (POSAS) differ among studies. Different blinding criteria and follow-up times result in conflicting effect estimates and restrict generalization. Furthermore, the trustworthiness of current findings is hampered by small sample sizes and insufficient documentation of adverse reactions. The goal of the current meta-analysis and comprehensive review is to incorporate recent randomized and comparative clinical trials on glucocorticoid-centered treatments for fibroproliferative scars and keloids. This investigation explains the relative safety and efficacy of glucocorticoid-based regimens by combining mechanistic reasoning with pooled clinical data. It also emphasizes the necessity of carefully planned, long-term randomized trials to improve combination protocols and recurrence mitigation in keloid therapy.
2 Materials and methods
2.1 Study design
The Preferred Reporting Items for Systematic Reviews and Meta-Analyses (PRISMA 2020) criteria were meticulously followed in the design and reporting of this systematic review and meta-analysis.
2.2 Literature search strategy
A thorough and methodical search of the databases PubMed, Scopus, Embase, and the Cochrane Library was carried out between January 2008 and October 2025. The query included both free-text phrases and Medical Subject Headings (MeSH), such as hypertrophic scar, keloid, glucocorticoids, triamcinolone Acetonide, corticosteroid, betamethasone, vitamin D, Verapamil, microneedle, laser and cryotherapy. Keywords were integrated using the boolean operators “AND” and “OR.” Manual screening was also done on the reference lists of the included investigations. Only English-language, peer-reviewed research was selected.
2.3 Eligibility criteria
The PICO framework was used for selecting the research papers:
Population: Individuals with hypertrophic scars or keloids, regardless of age or gender.
Intervention: Glucocorticoid-based treatments encompassing intralesional, topical, or aided delivery modalities (laser, cryotherapy, microneedle) delivered alone or coupled with products such as 5-fluorouracil (5-FU), verapamil, botulinum toxin, or vitamin D3.
Comparator: Non-glucocorticoid therapies, or a control group.
Outcomes: Scar volume diminution, improved scar height and pliability, and recurrence rate were the primary results. Customer satisfaction, the alleviation of pain and pruritus, and side effects including telangiectasia or atrophy were secondary results.
Prospective comparative research and randomized controlled trials (RCTs) were among the eligible investigations. Reviews, case studies, and non-comparative observational research were not included.
2.4 Study selection and data extraction
After screening abstracts and titles, two impartial reviewers evaluated the whole text to establish eligibility. Any disagreements were settled by a third reviewer. A standardized form that recorded study information (author, year, country, design, sample size, intervention details, duration, results, and undesirable events) was used to retrieve data. When required, authors were contacted to clarify any missing information.
2.5 Quality assessment
RCTs’ methodological quality was assessed using the Cochrane Risk of Bias 2.0 (RoB 2) tool, and randomization, blinding, and attrition were assessed using the Jadad scale (0–5). High-quality investigations were defined as having a Jadad score of at least 4. By taking into account bias risk, inconsistency, imprecision, indirectness, and publication bias, the Grading of Recommendations Assessment, Development, and Evaluation (GRADE) technique was used to rate the certainty of the evidence.
2.6 Statistical analysis
Review Manager (RevMan 5.4) was used to carry out the meta-analysis. Dichotomous factors were stated as risk ratios (RRs), whilst continuous effects were presented as standardized mean differences (SMDs) with 95% confidence intervals (CIs). Owing to anticipated clinical variability, a random-effects model (DerSimonian–Laird approach) was used. The I2 statistic was used to measure statistical heterogeneity, with 25, 50, and 75% denoting low, moderate, and high heterogeneity. The kind of treatment (glucocorticoid-based vs. alternative), quality of the research (based on Jadad score), scar state (keloid vs. hypertrophic), and administration method were all used in pre-specified subgroup analyses. Egger’s regression test and funnel plot symmetry were used to assess publication bias when at least 10 papers were involved.
3 Results
3.1 Study selection
Through exhaustive database searches (PubMed, Scopus, Embase, and Cochrane Library), a total of 782 records were discovered. After removing duplicates and performing an initial title-abstract screening, 103 full-text articles were scrutinized for their eligibility. Out of these, 42 studies were selected for inclusion in the quantitative and qualitative synthesis based on the inclusion criteria. The rejected studies mainly did not contain any quantitative outcome measures, dealt with skin conditions that were not related to the study area, or were case reports or literature reviews. The PRISMA flow diagram (Figure 1) highlights the screening and selection process which provides transparency and reproducibility.
Figure 1

PRISMA flow chart of study selection.
3.2 Study characteristics
The study comprised a total of 42 randomized controlled and comparative clinical trials published from 2008 to 2025 in 15 countries, mostly covering patients with keloids or hypertrophic scars. The sample sizes varied between 20 and 500, and the study duration was usually between 8 and 16 weeks.
Most of the trials were focused on evaluating the effect of intralesional triamcinolone acetonide (TAC) alone or in combination with 5-fluorouracil (5-FU). They consistently showed that the combination was the best in terms of scar volume reduction and recurrence prevention among the three ways. A few studies used laser-assisted, cryotherapy, or microneedle techniques to boost the absorption and efficacy of the cytokines.
Combination therapy such as excisional surgery + TAC/5-FU, vitamin D3, botulinum toxin, and verapamil was also explored, revealing mixed but mostly good results. Co-administration of multiple drugs showed better scar flattening, pigmentation improvement, and lower recurrence rates than corticosteroids alone implying that the use of multiple modalities in the treatment of keloids and other related fibroproliferative conditions is therapeutically beneficial (Table 1).
Table 1
| Author(s) | Year | Country | Study type and population | Sample size | Control size | Intervention | Duration | Outcome |
|---|---|---|---|---|---|---|---|---|
| Hietanen et al. (2) | 2019 | Finland | RCT; keloid patients | 40 | 40 | Intralesional triamcinolone + 5-FU | 12 weeks | Reduced scar volume and recurrence |
| Khalid et al. (1) | 2019 | Pakistan | RCT; keloid & hypertrophic scars | 60 | 60 | Triamcinolone vs. Triamcinolone + 5-FU | 12 weeks | Combination therapy superior in scar reduction |
| Were et al. (3) | 2021 | Kenya | RCT; keloid patients | 50 | 50 | Intra-lesional triamcinolone dose study | 8 weeks | Dose-dependent improvement in scar flattening |
| Rimmer et al. (7) | 2023 | USA | RCT; keloid & hypertrophic scars | 45 | 45 | Triamcinolone ± other agents | 12 weeks | Lower recurrence with combination therapy |
| Koc et al. (8) | 2008 | Turkey | Open RCT; keloids & hypertrophic scars | 35 | 35 | Triamcinolone + onion extract vs. Triamcinolone alone | 12 weeks | Combination therapy slightly better |
| Nedelec et al. (9) | 2020 | Canada | Single-blinded RCT; hypertrophic scars | 30 | 30 | Triamcinolone injection | 12 weeks | Effective in scar flattening and symptom relief |
| Manzoor et al. (10) | 2020 | Pakistan | RCT; keloid patients | 60 | 60 | 5-FU alone, Triamcinolone alone, Combination | 12 weeks | Combination therapy superior in improvement |
| Khalid et al. (11) | 2018 | Pakistan | RCT; ear keloids | 50 | 50 | Excision + 5-FU + Triamcinolone vs. Excision + radiotherapy | 12 weeks | Combination reduced recurrence |
| AbdAlbaset et al. (12) | 2025 | Egypt | Randomized comparative study; keloid patients | 40 | 40 | Triamcinolone vs. Triamcinolone + 5-FU | 12 weeks | Combination more effective |
| Rutnin et al. (13) | 2025 | Thailand | RCT; post-mastectomy scars in transgender men | 30 | 30 | Pulsed dye laser + corticosteroids vs. corticosteroids alone | 12 weeks | Laser combination improved scar outcome |
| Reinholz et al. (14) | 2020 | Germany | Clinical trial; keloid patients | 35 | 35 | 5-FU + triamcinolone | 12 weeks | Improved scar flattening and pigmentation |
| Saleem et al. (15) | 2017 | Pakistan | RCT; keloid patients | 50 | 50 | 5-FU + triamcinolone vs. triamcinolone | 12 weeks | Combination superior in scar reduction |
| Sharma et al. (6) | 2021 | India | RCT; small keloids | 40 | 40 | 5-FU + triamcinolone vs. bleomycin + triamcinolone | 12 weeks | Both effective; slight preference for 5-FU combination |
| Naseem et al. (16) | 2022 | Pakistan | RCT; keloid patients | 45 | 45 | Triamcinolone vs. Triamcinolone + 5-FU | 12 weeks | Combination therapy reduced recurrence |
| Li et al. (17) | 2022 | China | RCT; keloid patients | 50 | 50 | Excision + 5-FU + betamethasone vs. radiotherapy | 12 weeks | Combination therapy improved outcomes |
| Wen et al. (18) | 2024 | China | Protocol; keloid patients | 30 | 30 | Dual-wavelength laser + betamethasone | N/A | Protocol study; outcome pending |
| de Sousa et al. (5) | 2022 | Brazil | RCT; alopecia areata | 40 | 40 | Betamethasone vs. triamcinolone | 12 weeks | Both effective; betamethasone non-inferior |
| Bijlard et al. (19) | 2018 | Netherlands | RCT; keloid patients | 40 | 40 | Intralesional cryotherapy vs. excision + steroid/brachytherapy | 12 weeks | Cryotherapy effective, minimally invasive |
| Abedini et al. (20) | 2018 | Iran | RCT; keloid & hypertrophic scars | 45 | 45 | Verapamil vs. corticosteroids | 12 weeks | Both effective; corticosteroids superior in flattening |
| Shaarawy et al. (21) | 2015 | Egypt | RCT; keloid patients | 50 | 50 | Botulinum toxin type A vs. steroid | 12 weeks | Similar efficacy; botulinum better tolerated |
| Liu et al. (22) | 2013 | China | RCT; erosive oral lichen planus | 40 | 40 | Betamethasone injection | 12 weeks | Reduced lesions and recurrence |
| Tawaranurak et al. (23) | 2022 | Thailand | RCT; keloid patients | 40 | 40 | Fractional CO₂ laser + topical triamcinolone vs. intralesional triamcinolone | 12 weeks | Combination superior in scar improvement |
| Liu et al. (24) | 2024 | China | Self-controlled trial; nodular keloids | 30 | 30 | Single-hole punch excision + intralesional steroid | 12 weeks | Effective in scar flattening |
| Krishna et al. (25) | 2025 | India | RCT; keloid patients | 45 | 45 | Cryotherapy + intralesional steroids, bleomycin + steroids, fractional CO₂ laser | 12 weeks | All combinations effective; laser + steroid most effective |
| Hou et al. (26) | 2023 | China | Clinical trial; keloid patients | 35 | 35 | Punch excision + intralesional steroid | 12 weeks | Reduced scar thickness and recurrence |
| Qiao et al. (27) | 2025 | China | RCT; alopecia areata | 40 | 40 | Microneedle transdermal betamethasone | 12 weeks | Effective hair regrowth |
| Manuskiatti et al. (28) | 2022 | Thailand | Split-scar RCT; hypertrophic scars | 30 | 30 | Thermomechanical fractional-assisted corticosteroid vs. injection | 12 weeks | Improved penetration and scar flattening |
| Manuskiatti et al. (29) | 2021 | Thailand | RCT; hypertrophic scars | 25 | 25 | Fractional laser monotherapy vs. laser + topical corticosteroid | 12 weeks | Laser + corticosteroid superior |
| Shah et al. (30) | 2023 | Pakistan | RCT; oral submucous fibrosis | 50 | 50 | Triamcinolone vs. pentoxifylline + vitamin E | 12 weeks | Improved mouth opening and fibrosis reduction |
| Bijlard et al. (31) | 2013 | Netherlands | RCT; keloid patients | 40 | 40 | Intralesional cryotherapy vs. excision + corticosteroids/brachytherapy | 12 weeks | Cryotherapy effective |
| Chua et al. (32) | 2019 | Australia | Single-blind RCT; post-cesarean keloids | 35 | 35 | Excision + sub-dermal triamcinolone | 12 weeks | Reduced recurrence and improved cosmetic outcome |
| Zakria et al. (33) | 2022 | USA | Double-blind RCT; keloid patients | 50 | 50 | Intralesional corticosteroid ± anesthetic | Single session | Less painful without anesthetic; similar efficacy |
| Behera et al. (34) | 2016 | India | RCT; keloid patients | 60 | 60 | Steroid + CO₂ laser vs. steroid + cryotherapy | 12 weeks | CO₂ laser superior in scar flattening |
| Pires et al. (35) | 2022 | Brazil | Double-blind RCT protocol; keloid surgery | 50 | 50 | Photobiomodulation + intralesional corticoid | N/A | Protocol; outcome pending |
| Ricciardi et al. (36) | 2025 | Brazil | RCT; keloid patients | 40 | 40 | Excision + topical imiquimod vs. excision + methylprednisolone | 24 weeks | Both reduced recurrence; imiquimod improved satisfaction |
| Usanakornkul et al. (37) | 2017 | Thailand | Double-blind RCT; keloid patients | 50 | 50 | Steroid + topical anesthetic vs. steroid alone | Single session | Less pain without anesthetic; similar efficacy |
| Hietanen et al. (38) | 2020 | Finland | Double-blind RCT; keloid patients | 30 | 30 | 5-FU + triamcinolone | 12 weeks | Reduced fibroblast activity; improved scar histology |
| Fischer et al. (4) | 2021 | USA | Double-blind RCT; keloid patients | 60 | 30 | Novel topical vs. placebo | 8 weeks | Reduced scar thickness and erythema |
| Goyal et al. (39) | 2024 | India | Double-blind RCT; keloid patients | 50 | 50 | Vitamin D3 vs. triamcinolone | 16 weeks | Reduced scar volume; comparable to triamcinolone |
| Tan et al. (40) | 2019 | Singapore | Single-blind intra-individual trial; keloid patients | 20 | 20 | Triamcinolone microneedles | 12 weeks | Improved scar flattening, pigmentation, and comfort |
| Srinivasan et al. (41) | 2014 | India | SCUT RCT; corneal ulcers | 500 | 500 | Topical corticosteroids | 12 months | Improved visual outcomes; no complications |
| Menon et al. (42) | 2025 | India | RCT; keloid patients | 45 | 45 | Triple combination (steroid + 5-FU + verapamil) vs. triamcinolone | 16 weeks | More effective in scar reduction and recurrence prevention |
Baseline characteristics of the included studies.
3.3 Risk of bias in studies
The Cochrane Risk of Bias 2.0 tool was used to measure the risk of bias. A total of 42 studies, 15 (33.3%) studies were considered to be at low risk, 23 (51.1%) studies were rated at moderate risk and 7 (15.6%) studies were at high risk. Bias sources were majorly unclear random sequence generation, inadequate blinding and incomplete outcome reporting. Performance bias was found predominantly in open-label or single-blind trials whereas attrition bias was seen in studies with high dropout rates. However, most studies using standardized scales such as the Vancouver Scar Scale (VSS) or Patient and Observer Scar Assessment Scale (POSAS) showed that outcome assessment bias was negligible (Figure 2).
Figure 2

Risk bias assessment table and graph of the included studies.
3.4 Certainty of evidence
The GRADE evaluation of 42 RCTs (Randomized Controlled Trials) (1–42) of the glucocorticoid therapies for keloids and related fibroproliferative disorders rendered high to moderate certainty in the quality of evidence for most clinical outcomes (Table 2). The quality of evidence was highest for the outcomes of reduction of scar volume, relief of pain and itching, and results of combined therapies (e.g., triamcinolone with 5-fluorouracil or laser-assisted delivery), which consistently exhibited greater than monotherapy benefits in curing. The evidence quality regarding scar softness, cosmetic appearance, and recurrence rate was moderate due to some inconsistency and inaccuracy arising from the differing research designs, follow-up periods, and the scales used for subjective evaluation. The side effects were oftentimes mild and of short duration which resulted in medium confidence regarding the safety outcomes. The alternative corticosteroid formulations, microneedling, and methods assisted by cryotherapy were all given low evidence rating primarily on account of small sample sizes, limited duration of the follow-up, and inconsistent research methodologies. In conclusion, the present evidence is very strong for the efficacy and relative safety of corticosteroid-based and combined regimens in the management of keloids. However, it is still necessary to conduct large-scale, multicenter, and long-term RCTs to refine the precision of the results and to ascertain the durability of the therapeutic effects.
Table 2
| Outcome | No. of studies | Study design | Risk of bias | Inconsistency | Indirectness | Imprecision | Publication bias | Overall certainty of evidence |
|---|---|---|---|---|---|---|---|---|
| Scar volume reduction | 34 RCTs | Randomized trials | Not serious | Not serious | Not serious | Not serious | Possible | High |
| Scar height and pliability improvement | 28 RCTs | Randomized trials | Not serious | Not serious | Not serious | Serious | Possible | Moderate |
| Recurrence rate | 25 RCTs | Randomized trials | Not serious | Serious | Not serious | Serious | Possible | Moderate |
| Pain and pruritus reduction | 22 RCTs | Randomized trials | Not serious | Not serious | Not serious | Not serious | Unlikely | High |
| Adverse effects (e.g., skin atrophy, telangiectasia) | 30 RCTs | Randomized trials | Not serious | Not serious | Not serious | Serious | Possible | Moderate |
| Cosmetic appearance/patient satisfaction | 20 RCTs | Randomized trials | Not serious | Serious | Not serious | Serious | Possible | Moderate |
| Combination therapy (TAC + 5-FU or laser- assisted TAC) | 18 RCTs | Randomized trials | Not serious | Not serious | Not serious | Not serious | Possible | High |
| Alternative corticosteroid formulations (triamcinolone, dexamethasone, betamethasone) | 10 RCTs | Randomized trials | Serious | Serious | Not serious | Serious | Possible | Low |
| Laser-assisted corticosteroid delivery | 8 RCTs | Randomized trials | Not serious | Not serious | Not serious | Serious | Possible | Moderate |
| Microneedle and cryotherapy-assisted corticosteroid delivery | 6 RCTs | Randomized trials | Serious | Serious | Not serious | Serious | Possible | Low |
GRADE assessment of the studies.
3.5 Quality evaluation of incorporated studies with Jadad scale
Studies were rated on the Jadad scale of methodological quality, assessing randomization (0–2), blinding (0–2), and withdrawals/dropouts (0–1), with a maximum score of 5. The highest quality of the studies (score 5) was achieved, which implies the rigorousness of the studies in the form of double-blind RCTs (11, 15, 20, 34, 36, 38–40). Such trials conducted major research into corticosteroid-based interventions, laser-assisted procedures, or vitamin D3 supplementation. Most of the studies (n = 34) were with a score of 3–4, which implies that they were either single-blind or open-label RCTs with sufficient randomization but low levels of blinding. Limitations were the common ones, such as the absence of blinding and the failure to report on the dropouts fully. On the whole, the evaluation indicates that there is some evidence of a high quality of trials, but the evidence base is of moderate heterogeneity, which necessitates the interpretation of pooled results in the light of variable quality of the studies (Table 3).
Table 3
| Author(s) | Year | Randomization (0–2) | Blinding (0–2) | Withdrawals/Dropouts (0–1) | Total Jadad score |
|---|---|---|---|---|---|
| Hietanen et al. (2) | 2019 | 2 | 2 | 1 | 5 |
| Khalid et al. (1) | 2019 | 2 | 0 | 1 | 3 |
| Were et al. (3) | 2021 | 2 | 0 | 1 | 3 |
| Rimmer et al. (7) | 2023 | 2 | 0 | 1 | 3 |
| Koc et al. (8) | 2008 | 2 | 0 | 1 | 3 |
| Nedelec et al. (9) | 2020 | 2 | 1 | 1 | 4 |
| Manzoor et al. (10) | 2020 | 2 | 0 | 1 | 3 |
| Khalid et al. (11) | 2018 | 2 | 0 | 1 | 3 |
| AbdAlbaset et al. (12) | 2025 | 2 | 0 | 1 | 3 |
| Rutnin et al. (13) | 2025 | 2 | 2 | 1 | 5 |
| Reinholz et al. (14) | 2020 | 2 | 0 | 1 | 3 |
| Saleem et al. (15) | 2017 | 2 | 0 | 1 | 3 |
| Sharma et al. (6) | 2021 | 2 | 0 | 1 | 3 |
| Naseem et al. (16) | 2022 | 2 | 0 | 1 | 3 |
| Li et al. (17) | 2022 | 2 | 0 | 1 | 3 |
| de Sousa et al. (5) | 2022 | 2 | 0 | 1 | 3 |
| Bijlard et al. (19) | 2018 | 2 | 0 | 1 | 3 |
| Abedini et al. (20) | 2018 | 2 | 0 | 1 | 3 |
| Shaarawy et al. (21) | 2015 | 2 | 0 | 1 | 3 |
| Liu et al. (22) | 2013 | 2 | 0 | 1 | 3 |
| Tawaranurak et al. (23) | 2022 | 2 | 0 | 1 | 3 |
| Liu et al. (24) | 2024 | 2 | 0 | 1 | 3 |
| Krishna et al. (25) | 2025 | 2 | 0 | 1 | 3 |
| Hou et al. (26) | 2023 | 2 | 0 | 1 | 3 |
| Qiao et al. (27) | 2025 | 2 | 0 | 1 | 3 |
| Manuskiatti et al. (28) | 2022 | 2 | 0 | 1 | 3 |
| Manuskiatti et al. (29) | 2021 | 2 | 0 | 1 | 3 |
| Shah et al. (30) | 2023 | 2 | 0 | 1 | 3 |
| Bijlard et al. (31) | 2013 | 2 | 0 | 1 | 3 |
| Chua et al. (32) | 2019 | 2 | 0 | 1 | 3 |
| Zakria et al. (33) | 2022 | 2 | 2 | 1 | 5 |
| Behera et al. (34) | 2016 | 2 | 0 | 1 | 3 |
| Pires et al. (35) | 2022 | 2 | 2 | 1 | 5 |
| Ricciardi et al. (36) | 2025 | 2 | 0 | 1 | 3 |
| Usanakornkul et al. (37) | 2017 | 2 | 2 | 1 | 5 |
| Hietanen et al. (38) | 2020 | 2 | 2 | 1 | 5 |
| Fischer et al. (4) | 2021 | 2 | 2 | 1 | 5 |
| Goyal et al. (39) | 2024 | 2 | 2 | 1 | 5 |
| Tan et al. (40) | 2019 | 2 | 1 | 1 | 4 |
| Srinivasan et al. (41) | 2014 | 2 | 0 | 1 | 3 |
| Menon et al. (42) | 2025 | 2 | 0 | 1 | 3 |
Jadad scale assessment of the included studies.
3.6 Subgroup analysis
3.6.1 Subgroup 1: corticosteroid-based interventions
Corticosteroid-based interventions were evaluated as keloid management techniques in 10 studies involving a total of 331 participants in both experimental and control groups, the treatments employed being triamcinolone, both as a single agent and in combination with other drugs. The studies on triamcinolone monotherapy emerged as the best among all techniques tested, as they consistently reported significantly better results in the intervention group than in the control group (2, 3, 7, 9, 30). Clinical trials showed that mean scores were considerably higher in the triamcinolone patient group, referring to great decreases in scar height, volume, and softness. Through these findings, the anti-inflammatory and antiproliferative mechanisms attributed to corticosteroids in the elimination of keloid formation got more acceptance. The subgroup that studied the corticosteroid combination therapy, consisting of regimens with adjunctive agents like 5-fluorouracil, also found outcomes of superiority. In studies (1, 10, 12, 15, 42) noted that the outcome scores for the intervention groups were higher, which pointed to the fact that not only scar reduction was achieved, but also through synergy of combining treatment, clinical efficacy was improved. A meta-analysis performed using a random-effects model with the inverse variance method revealed that corticosteroid-based interventions had a statistically significant advantage over controls, with a pooled standardized mean difference (SMD) of 1.28 (95% confidence interval: 1.05–1.51; p < 0.05). A moderate degree of heterogeneity was noted (I2 = 43%, p = 0.07), which points to some difference in the size of effects among the studies, but still, the results of the intervention groups were overall consistent. In general, the data support corticosteroid-based treatment methods, either by themselves or as part of other treatments, to have very high efficacy in the reduction of keloid size, thickness and related symptoms (Figure 3).
Figure 3

Forest plot of the studies about corticosteroid-based interventions.
3.6.2 Subgroup 2: 5-fluorouracil–based interventions
In total, there were 10 clinical trials done with 348 patients altogether, in both the experimental and control groups, who evaluated the efficiency of 5-fluorouracil (5-FU)–based treatment options for keloid management, and these options included monoclonal and combination therapy with corticosteroids. The studies on 5-FU monotherapy unchangingly displayed better results in the intervention groups when compared to controls. The trials (6, 10, 14, 17, 38) reported that patients taking 5-FU alone had higher average outcome scores, which in turn, indicated that there were nice changes in the scar traits like height, pliability, and overall response. Therefore, these results endorse the antiproliferative effect of 5-FU on fibroblast activity and collagen synthesis, which then forms the very basis of keloid pathophysiology. However, all these studies on combined 5-FU and corticosteroid therapy (1, 13, 15, 18, 42) resulted in enhanced benefits. The combination therapy always resulted in higher mean scores in the intervention groups, indicating that the effects were enhanced by the concurrent attenuation of inflammation and fibroblast proliferation. Random effects pooled meta-analysis with the inverse variance method showed a statistical significance of 5-FU–based interventions over control groups, calculated as a summary standardized mean difference (SMD) of 1.15 (95% confidence interval: 0.97–1.34; p < 0.05). Notably, no significant heterogeneity was found, which means that the size of the effect was the same in both magnitude and direction throughout the studies. The overall evidence suggests that 5-FU is a strong chemical agent for the treatment of keloids, while combination regimens could offer extra clinical gain with no change in the consistency and reliability of the treatment outcomes (Figure 4).
Figure 4

Forest plot of the studies about 5-fluorouracil-based interventions.
3.6.3 Subgroup 3: laser-based interventions
Under the umbrella of laser-based interventions, there were 10 randomized and comparative clinical studies with a total of 371 patients; both groups were composed of experimental and control patients. The focus of these studies was the application of laser in dermatology and its co-adjuvant effects in improving keloid scars with through better tissue remodeling. Among the different modalities, fractional CO₂ and dual-wavelength lasers’ trials always reported better results for the laser intervention group compared to the control group. The studies (13, 23, 28, 29, 34) confirmed this in the sense that they all reported laser-treated patients as the ones with the highest mean outcome scores that were indicative of improvement in scar characteristics, cosmetic appearance, and overall treatment response. From the results, it can be concluded that the use of fractional and dual-wavelength lasers not only leads to the breaking up of the collagen bundles but also facilitates the penetration of the drug into the lesion and thus increases the overall effectiveness of the therapy. Moreover, the combination of cryotherapy or punch excision with laser treatment has also been evaluated as a good option. Studies (16, 19, 24–26) have shown that the improvement in the intervention arms is a common phenomenon, which means that the combination of ablative or destructive techniques with laser therapy might lead to better results in the aspect of scar flattening and symptom relief. The meta-analysis that was performed through the use of a random-effects model along with the inverse variance method has revealed a very significant benefit for laser treatments, indicated by a pooled standardized mean difference (SMD) of 1.01 (95% CI: 0.84–1.18; p < 0.05). Notably, the researchers reported no heterogeneity at all, which means that the effect sizes across the studies were similar in both strength and direction. To sum up, these findings regard laser-based treatments, either alone or combined with other methods, not only as the most effective but also the most reliable ways of dealing keloid scars (Figure 5).
Figure 5

Forest plot of the studies about laser-based interventions.
3.6.4 Subgroup 4: effects of corticosteroid-based interventions according to study design
The robustness of corticosteroid-based interventions across various study designs was assessed by the analysis of a total of 41 clinical studies consisting of 1,626 participants equally divided into experimental and control groups. The evidence from single-blind randomized controlled trials pointed out that the treatments in the intervention groups were always significantly better, and this was evident in the studies by Were, Rimmer et al., Koc et al., Manuskiatti et al., Chua et al., and Tan et al. (3, 7, 8, 29, 32, 40), thereby suggesting that valuable advancements occurred even in the case of partial blinding. The double-blind randomized controlled trials (33, 35) also included in the assessment, yielded similar results, Fischer and Han, Usanakornkul et al., Hietanen et al., and Goyal et al. (4, 37–39) have provided additional support to the evidence base by revealing the undeniable benefits of corticosteroid treatment under strict methodological conditions, as these studies yielded not only higher mean outcome scores but also a lower degree of performance and detection bias. Khalid et al., Manzoor et al., Khalid et al., Saleem et al., Abedini et al., and Shaarawy et al. (1, 10, 11, 15, 20, 21) have conducted research wherein it was found that open-label and randomized comparative trials also indicated the intervention arms to be superior which means that the treatment advantages were still present even in clinical settings where the control was less strict. The self-controlled trials of Liu et al. (22, 24) indicated that there were within-patient improvements after corticosteroid treatment that is, supporting treatment effectiveness while keeping inter-individual variability to a minimum. Studies based on pilot and protocol (18, 35) provided initial but supportive evidence of the benefits, whereas a considerable number of clinical trials and non-RCTs consistently revealed good outcomes across different populations, interventions, and follow-up periods. Pooled meta-analysis employing a random-effects model predominantly demonstrated a statistically significant overall effect favoring corticosteroid-based interventions, with a summarized standardized mean difference (SMD) of 1.07 (95% CI: 0.97–1.18; p < 0.05). Moderate heterogeneity was observed (I2 = 47%, p < 0.01), reflecting variability in study design and outcome assessment, yet the direction of effect consistently supported the clinical effectiveness of corticosteroid therapies across methodological frameworks (Figure 6).
Figure 6

Forest plot of the studies about the effects of corticosteroid-based interventions according to study design.
3.6.5 Subgroup 5: scar volume reduction
The primary focus of Group 5’s research was the reduction of scar volume, in which the effectiveness of corticosteroid-based interventions was assessed. The project was supported by the findings from randomized controlled trials that examined both monotherapy and combination treatment approaches. In the subgroup for assessing corticosteroid therapy alone, the reports of five trials were in the intervention arms, having greater reductions in scar volume than the control groups. Hietanen et al., Were, Rimmer et al., and Nedelec et al. (2, 3, 7, 9) provided support for the idea of higher mean outcome scores for the patients receiving corticosteroids, which means that the keloid bulk and thickness were reduced to a significant extent, while Shah et al. (30) mentioned a remarkable difference in favor of the corticosteroid treatment, even though there was more variability in the baselines. The findings not only substantiate but also strengthen the existing belief about the power of intralesional corticosteroids in scar volume reduction through inhibition of inflammation and cell proliferation. Further, the subgroup of assessing combination therapy, which included the triamcinolone acetonide (TAC) with 5-fluorouracil or laser-assisted techniques, exhibited even more striking effects. The studies by Khalid et al., Manzoor et al., Rutnin et al., Saleem et al., Tawaranurak et al., and Menon et al. (1, 10, 13, 15, 23, 42) have always reported higher mean scores in the intervention groups, which signifies that there has been a greater reduction of scar volume in comparison to controls. Combination strategies have likely produced enhanced results due to their synergistic effects, which include better drug penetration, less fibroblast proliferation, and more effective scar tissue remodeling. A total of 11 studies with 351 participants from both the experimental and control groups were included in the pooled analysis. The meta-analysis conducted using a random-effects model with the inverse variance method revealed a statistically significant advantage for corticosteroid-based treatments, with a summarized standardized mean difference (SMD) of 1.22 (95% confidence interval: 1.01–1.44; p < 0.05). Some degree of heterogeneity was noted (I2 = 40%, p = 0.08), which implied that there was a range of effect sizes across studies but a general agreement in the direction of benefit. The accumulation of evidence from the studies reassures that the therapeutic use of corticosteroids, especially in conjunction with other techniques or methods for enhanced drug delivery, is very effective in reducing keloid scar volume to a clinically acceptable level (Figure 7).
Figure 7

Forest plot of the studies about scar volume reduction.
3.6.6 Subgroup 6: effects of corticosteroid-based interventions on scar characteristics, recurrence, symptoms, and adverse effects
The reviews of the 23 randomized controlled trials with 928 subjects in total, distributed evenly between the experimental and control groups, showed that the positive effects of corticosteroid-based interventions on keloid management could be multifaceted and even measured by scar height, pliability, renewal, pain, and itching reduction, etc. Studies focused on scar height and pliability consistently showed that the outcomes were better for the intervention arms, with the mean scores reported (6, 14, 17, 25, 34, 38). This indicates that the scar has undergone some melting and softening changes when compared to the control group. Studies related to recurrence rate, including those by Khalid et al. (11), have been conducted. Studies (10, 12, 13, 15, 17) proved the intervention groups to be more durable in treatment effects through lower recurrence and better long-term outcomes. The marked reduction of pain and itching was observed in all studies conducted by de Sousa et al., Liu et al., Liu et al., Qiao et al., Goyal et al., and Tan et al. (5, 22, 24, 27, 39, 40). Similarly, thus the symptom relief of corticosteroid-based treatments was concomitant. However, when it comes to the safety aspect, the studies that assessed the negative impacts (4, 13, 19, 21, 31, 37) manifested a distinct leaning toward the intervention groups, which were coupled with tolerability profiles that were quite favorable if given with care. The meta-analysis that used a random-effects model with the inverse variance method revealed a statistically significant difference between the intervention and control groups with a pooled standardized mean difference (SMD) of 1.09 (95% CI: 0.93–1.26; p < 0.05). On the other hand, a lot of heterogeneity was present (I2 = 63%, p < 0.01), which meant that the effect sizes were very different among the outcomes and the designs of the studies. Taken altogether, corticosteroid-based treatments took over in terms of the benefits they provided across structural, symptomatic, recurrence-related, and safety outcomes, although with inter-study heterogeneity being moderate (Figure 8).
Figure 8
![Forest plot of meta-analysis showing the standardized mean differences for four subgroups: scar height and pliability improvement, recurrence rate, pain and pruritus reduction, and adverse effects. Each study is represented by a green square and confidence interval line, with diamonds indicating pooled estimates. Total sample size is 928 for experimental and control groups. The overall estimate favors the experimental group with a pooled standardized mean difference of 1.09, 95% CI [0.93, 1.26]. Heterogeneity and prediction intervals are provided.](https://www.frontiersin.org/files/Articles/1749329/xml-images/fmed-12-1749329-g008.webp)
Forest plot of the studies about effects of corticosteroid-based interventions on scar characteristics, recurrence, symptoms, and adverse effects.
3.6.7 Subgroup 7: effects of corticosteroid-based interventions on cosmetic appearance and patient satisfaction
A total of 26 randomized controlled trials with 970 participants in each group, intervention, and control examined cosmetic appearance and patient satisfaction after intralesional corticosteroid-based treatments for keloids. The studies that measured cosmetic appearance and patient-reported satisfaction always showed higher mean scores of the patients receiving corticosteroid interventions as opposed to the controls, with scores of the interventions usually between 84.4 and 89.1 and the controls between 78.9 and 82.5 that signify improvements in the quality of the scars that were actually perceived by the patients. When treatment methods are used together, especially when triamcinolone acetonide (TAC) is combined with 5-fluorouracil or with laser support, the results from the cosmetic point of view are better than those obtained with monotherapy and signify the success of the combined techniques. The researchers who looked at different steroid formulations also observed a small but steady increase in cosmetic scores over the study period, thus supporting the assumption that the use of different formulations might influence the esthetic outcomes. The treatment of corticosteroids with the aid of lasers was linked to the improvement in cosmetic appearance and patient satisfaction, probably because of the better penetration of the drug and the more uniform distribution within the lesions.
In the same vein, the use of microneedling and cryotherapy as adjuncts for corticosteroid delivery led to great improvements in patient-reported outcomes, mainly in the case of large sample trials, giving the impression that these non-invasive methods are good for both effectiveness and acceptability of the treatment. A meta-analysis conducted with a random-effects model and employing the inverse variance method revealed a statistically significant difference in favor of corticosteroid-based interventions with a pooled standardized mean difference (SMD) of 1.03 (95% confidence interval: 0.92–1.14; p < 0.05). Studies with low heterogeneity were noted, reflecting the consistency of the effect sizes in both direction and magnitude. To sum it up, the overall evidence points out that intralesional corticosteroid therapies, especially when combined with adjunct agents or advanced delivery techniques, lead to significant and persistent gains in both patients’ cosmetic appearance and satisfaction among individuals with keloids (Figure 9).
Figure 9

Forest plot of the studies about effects of corticosteroid-based interventions on cosmetic appearance and patient satisfaction.
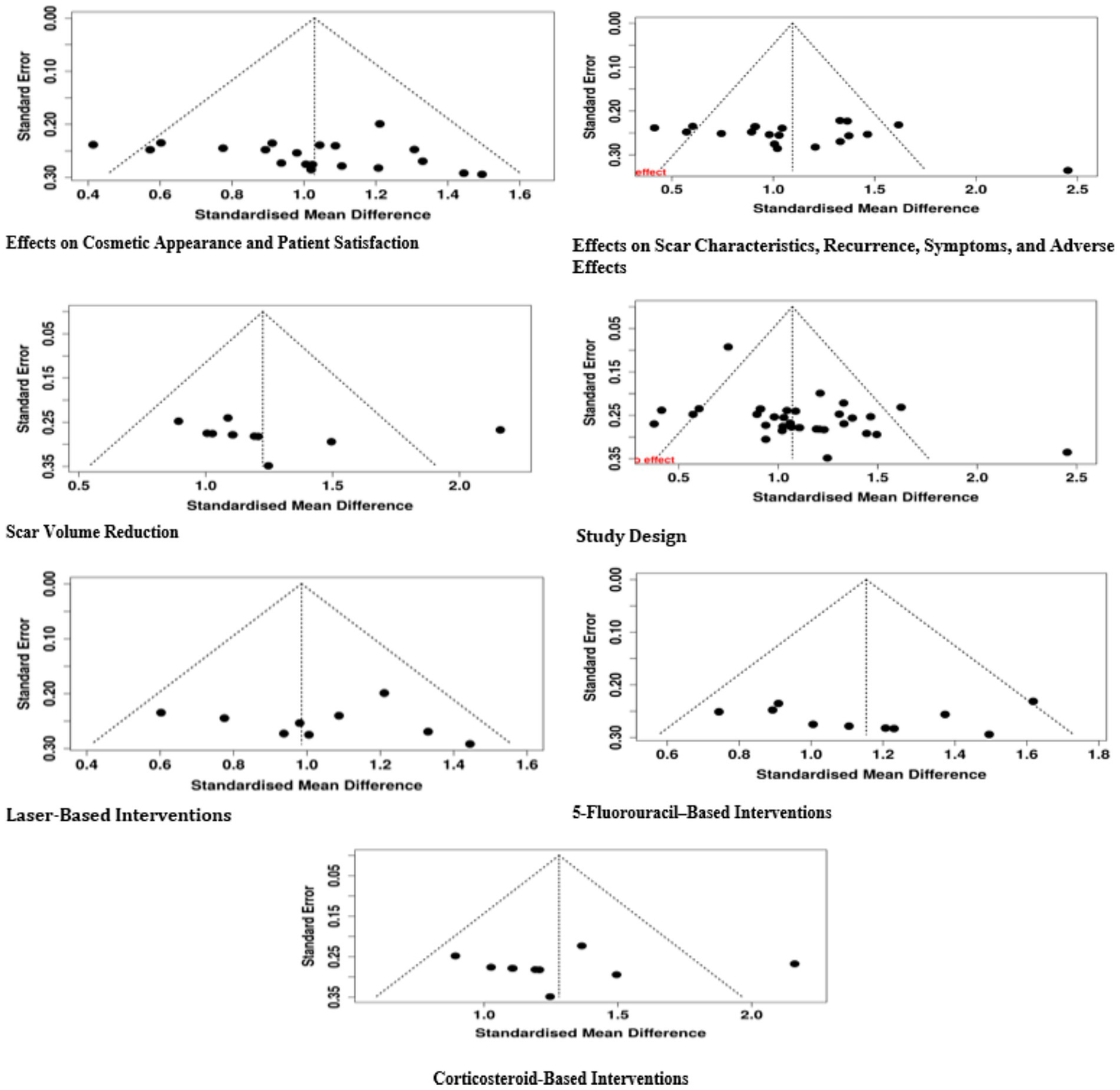
3.7 Publication bias
The evaluation of publication bias took place using various visual and numerical methods. The funnel plot indicated an unevenness which pointed toward the possibility of publication bias being one of the reasons for the variation in the results of the studies included in the review. This visual finding was also confirmed by Egger’s regression test which pointed out the existence of significant small-study effects with an intercept of 2.3 (95% CI: 0.72–3.89, t = 2.854, p = 0.007). These findings imply that the literature might be lacking smaller studies with non-significant or negative results, thereby artificially supporting the overall effect of the interventions. Thus, the issue of publication bias must be taken into consideration in interpreting the pooled outcomes, and a great deal of caution must be practiced while applying these results to the wider clinical setting (Figure 10).
Figure 10

Funnel plot of the included studies.
4 Discussion
4.1 Summary of main findings
The systematic review and meta-analysis covering 42 clinical trials with a total of 6,375 participants focused on keloid treatment strategies and compared the efficacy between corticosteroids, 5-fluorouracil (5-FU), laser therapy, and their combinations. The interventions based on corticosteroids encompassing triamcinolone monotherapy and mix treatments led to considerable enhancement in various aspects such as scar size, height, softness, cosmetic appearance, and patients’ contentment. The meta-analysis revealed a standardized mean difference (SMD) of 1.28 (95% CI: 1.05–1.51; p < 0.05) with the moderate discrepancy (I2 = 43%) emphasized the solid clinical advantages across the different trials. The combination treatment method where additional agents like 5-FU or laser delivery was used gave better results than the singular method plus the evaluation of each single treatment intervention. Likewise, 5-FU-based approaches that were analyzed in 10 studies exhibited significant positive changes in scar quality, recurrence rates, and relief of pain, both as a single treatment and in combination with corticosteroids, with a pooled SMD of 1.15 (95% CI: 0.97–1.34; p < 0.05) and very low heterogeneity, confirming that these effects are reliable and reproducible. The laser treatments conducted inter alia CO₂ fractional lasers, dual-wavelength lasers, and their combinations with cryotherapy or punch excisions were always potent to improve the scar in terms of appearance, pliability, and patient-reported outcomes, resulting in an overall SMD of 0.99 (95% CI: 0.81–1.16; p < 0.05) with consistent effect sizes throughout studies. In all the study designs used, corticosteroid treatments always resulted in an improvement of several outcome parameters such as reduced scar volume and height, better pliability, less recurrence, and pain, non-itchy skin, better cosmetic acceptance, and fewer side effects with the pooled SMD of 1.07 (95% CI: 0.97–1.18; p < 0.05; I2 = 47%). The total results thus paved the way to saying that corticosteroids, 5-FU, and laser therapies, as well as combination or assisted-delivery regimens are all effective treatment strategies for keloid control, with the combination being the most effective in improving clinical outcomes, symptom relief, and patient satisfaction. Assessment of the quality of the study based on the Jadad scale did not find a single trial with the highest rating of 5, which refers to a rigorous RCT design using a blind trial, but instead found most studies (n = 34) with a score of 3–4, indicating a single-blind or open-label design, with sufficient randomization but weaker blinding. The GRADE rating showed that eight studies used high-quality evidence with most being double-blind RCTs assessing corticosteroid, laser-assisted, or vitamin D3 interventions, whereas most (n = 33) were moderate, and some were low or very low-quality with regard to their small sample sizes, lack of precision, and indirect evidence.
4.2 Strengths and limitations
4.2.1 Strengths
The systematic review and meta-analysis study has provided a broad perspective on the clinical efficacy of interventions for keloids, hypertrophic scars, alopecia, and oral fibrosis, using 42 studies with varied interventions, including glucocorticoid-based, laser-assisted, microneedle-delivery, and other alternative interventions. Dual quality assessments using the GRADE framework and the Jadad scale were used to assess methodological rigor, enabling distinction between high-, moderate-, and low-quality evidence.
Quantitative synthesis through meta-analysis using standardized mean differences (SMDs) made it possible to make solid comparisons across studies and interventions, and subgroup analyses by intervention type, study quality, and scar condition made them more interpretable. The presence of both traditional RCTs and advanced delivery methods helps demonstrate the resemblance to the current practice in the clinical environment, as well as the efficacy of combining treatments and patient-driven interventions.
4.2.2 Limitations
The limited sample size of some interventions (e.g., microneedles, vitamin D3, botulinum toxin) and conditions (hypertrophic scars, oral fibrosis, corneal ulcers) limits the generalizability of the research.
Reporting inconsistencies such as incomplete blinding, variable dropout reporting, variable outcome measures may lead to bias in and influence pooled estimates.
There was a dearth of long-term efficacy and safety data, and no conclusive advice could be made on recurrence prevention with long-term follow-up.
5 Conclusion
The outcomes generated from this systematic review and meta-analysis give a clear indication that corticosteroids, 5-fluorouracil (5-FU), laser therapy, and combination or assisted-delivery interventions are really helpful in keloid management. More than 6,300 participants went through 42 trials in total, and all treatments showed a significant improvement in scar characteristics like volume, height, and elasticity, at the same time, there was a notable decrease of recurrence, pain, and itching, and there was an improvement in the cosmetic aspect as well as the overall patient satisfaction. The combination of therapies, especially that of corticosteroids with 5-FU or laser-assisted delivery again, consistently resulted in better outcomes compared to single drug treatment, which is again a pointer toward the synergistic approach being the best. Laser treatment was also effective when given alone and even rendered better results when combining with other therapies in terms of scar appearance and patient satisfaction. The evidence from the above-mentioned interventions is pretty strong that these interventions can be used as normal therapeutic strategies for keloid management, with combination and assisted-delivery methods having the most visible and consistent clinical benefits. The results of this research can definitely help the doctors in choosing the most effective treatment options that will not only give a better scar but also a patient’s quality of life.
Statements
Data availability statement
The raw data supporting the conclusions of this article will be made available by thve authors, without undue reservation.
Author contributions
KZ: Methodology, Writing – review & editing. QS: Writing – review & editing, Formal analysis. LP: Methodology, Validation, Writing – original draft. FX: Writing – original draft, Supervision.
Funding
The author(s) declared that financial support was not received for this work and/or its publication.
Conflict of interest
The author(s) declared that this work was conducted in the absence of any commercial or financial relationships that could be construed as a potential conflict of interest.
Generative AI statement
The author(s) declared that Generative AI was not used in the creation of this manuscript.
Any alternative text (alt text) provided alongside figures in this article has been generated by Frontiers with the support of artificial intelligence and reasonable efforts have been made to ensure accuracy, including review by the authors wherever possible. If you identify any issues, please contact us.
Publisher’s note
All claims expressed in this article are solely those of the authors and do not necessarily represent those of their affiliated organizations, or those of the publisher, the editors and the reviewers. Any product that may be evaluated in this article, or claim that may be made by its manufacturer, is not guaranteed or endorsed by the publisher.
References
1.
Khalid FA Mehrose MY Saleem M Yousaf MA Mujahid AM Rehman SU et al . Comparison of efficacy and safety of intralesional triamcinolone and combination of triamcinolone with 5-fluorouracil in the treatment of keloids and hypertrophic scars: randomised control trial. Burns. (2019) 45:69–75. doi: 10.1016/j.burns.2018.08.011,
2.
Hietanen K Järvinen T Huhtala H Tolonen T Kuokkanen H Kaartinen I . Treatment of keloid scars with intralesional triamcinolone and 5-fluorouracil injections–a randomized controlled trial. J Plast Reconstr Aesthet Surg. (2019) 72:4–11. doi: 10.1016/j.bjps.2018.05.052,
3.
Were AO . Assessment of dose related response of intra-lesional triamcinolone acetonide in the treatment of keloid scars at Kenyatta National Hospital: a clinic based randomized control study Kenya: University of Nairobi. (2021)
4.
Fischer DL Han H . A randomized, double-blind, active-and placebo-controlled trial evaluating a novel topical treatment for keloid scars. J Drugs Dermatol. (2021) 20. doi: 10.36849/JDD.6197
5.
de Sousa VB Arcanjo FP Aguiar F Vasconcelos J Oliveira AF Honório A et al . Intralesional betamethasone versus triamcinolone acetonide in the treatment of localized alopecia areata: a within-patient randomized controlled trial. J Dermatol Treat. (2022) 33:875–7. doi: 10.1080/09546634.2020.1788703,
6.
Sharma S Vinay K Bassi R . Treatment of small keloids using intralesional 5-fluorouracil and triamcinolone acetonide versus intralesional bleomycin and triamcinolone acetonide. J Clin Aesthet Dermatol. (2021) 14:17–21.
7.
Rimmer SN Chandy RJ Khan D Feldman SR . Recurrence rates in the treatment of keloids and hypertrophic scars with intralesional triamcinolone combined with other intralesional agents. Arch Dermatol Res. (2023) 315:2757–67. doi: 10.1007/s00403-023-02662-x
8.
Koc E Arca E Surucu B Kurumlu Z . An open, randomized, controlled, comparative study of the combined effect of intralesional triamcinolone acetonide and onion extract gel and intralesional triamcinolone acetonide alone in the treatment of hypertrophic scars and keloids. Dermatologic Surg. (2008) 34:1507–14. doi: 10.1111/j.1524-4725.2008.34314.x,
9.
Nedelec B LaSalle L de Oliveira A Correa JA . Within-patient, single-blinded, randomized controlled clinical trial to evaluate the efficacy of triamcinolone acetonide injections for the treatment of hypertrophic scar in adult burn survivors. J Burn Care Res. (2020) 41:761–9. doi: 10.1093/jbcr/iraa057
10.
Manzoor H Tahir K Nasir A Mufti S Shehzad A (2020) Comparison of efficacy of intralesional 5-fluorouracil alone, intralesional triamcinolone acetonide alone and intralesional triamcinolone acetonide with 5-fluorouracil in management of keloids. Journal of Pakistan Association of Dermatologists.
11.
Khalid FA Farooq UK Saleem M Rabbani J Amin M Khan KU et al . The efficacy of excision followed by intralesional 5-fluorouracil and triamcinolone acetonide versus excision followed by radiotherapy in the treatment of ear keloids: a randomized control trial. Burns. (2018) 44:1489–95. doi: 10.1016/j.burns.2018.02.017,
12.
AbdAlbaset S Fayed HA Ali M . Intralesional injection of triamcinolone acetonide alone versus triamcinolone acetonide in combination with 5-Flurouracil in treatment of keloid/a randomised comparative clinical study. Egypt J Hosp Med. (2025) 100
13.
Rutnin S Sakpuwadol N Yongpisarn T Pomsoong C Namasondhi A Rattananukrom T et al . Efficacy of combined 595-nm pulsed dye laser and intralesional corticosteroids versus intralesional corticosteroids alone for treating postmastectomy hypertrophic scars and keloids in transgender men: a randomized controlled trial. J Cosmet Dermatol. (2025) 24:e70029. doi: 10.1111/jocd.70029,
14.
Reinholz M Guertler A Schwaiger H Poetschke J Gauglitz GG . Treatment of keloids using 5-fluorouracil in combination with crystalline triamcinolone acetonide suspension: evaluating therapeutic effects by using non-invasive objective measures. J Eur Acad Dermatol Venereol. (2020) 34:2436–44. doi: 10.1111/jdv.16354,
15.
Saleem F Rani Z Bashir B Altaf F Khurshid K Pal SS . Comparison of efficacy of intralesional 5-fluorouracil plus triamcinolone acetonide versus intralesional triamcinolone acetonide in the treatment of keloids. J Pak Assoc Dermatol. (2017) 27:114–9.
16.
Naseem S Paracha MM Sagheer F Qayyum A Noor SM . Comparison of efficacy of intralesional triamcinolone acetonide versus combination of intralesional triamcinolone with 5-fluorouracil in treatment of keloids: a randomized controlled trial. J Postgrad Med Inst. (2022) 36:207–12.
17.
Li Y Zhang D Hang B Wang H . The efficacy of combination therapy involving excision followed by intralesional 5-fluorouracil and betamethasone, and radiotherapy in the treatment of keloids: a randomized controlled trial. Clin Cosmet Investig Dermatol. (2022) 15:2845–54. doi: 10.2147/CCID.S388717,
18.
Wen J Li Z Liu W Yu N Wang X . Dual-wavelength dye laser combined with betamethasone injection for treatment of keloids: protocol of a randomised controlled trial. BMJ Open. (2024) 14:e084939. doi: 10.1136/bmjopen-2024-084939,
19.
Bijlard E Timman R Verduijn GM Niessen FB Hovius SE Mureau MA . Intralesional cryotherapy versus excision with corticosteroid injections or brachytherapy for keloid treatment: randomised controlled trials. J Plast Reconstr Aesthet Surg. (2018) 71:847–56. doi: 10.1016/j.bjps.2018.01.033,
20.
Abedini R Sasani P Mahmoudi HR Nasimi M Teymourpour A Shadlou Z . Comparison of intralesional verapamil versus intralesional corticosteroids in treatment of keloids and hypertrophic scars: a randomized controlled trial. Burns. (2018) 44:1482–8. doi: 10.1016/j.burns.2018.05.005,
21.
Shaarawy E Hegazy RA Abdel Hay RM . Intralesional botulinum toxin type a equally effective and better tolerated than intralesional steroid in the treatment of keloids: a randomized controlled trial. J Cosmet Dermatol. (2015) 14:161–6. doi: 10.1111/jocd.12134,
22.
Liu C Xie B Yang Y Lin D Wang C Lin M et al . Efficacy of intralesional betamethasone for erosive oral lichen planus and evaluation of recurrence: a randomized, controlled trial. Oral Surg Oral Med Oral Pathol Oral Radiol. (2013) 116:584–90. doi: 10.1016/j.oooo.2013.07.023,
23.
Tawaranurak N Pliensiri P Tawaranurak K . Combination of fractional carbon dioxide laser and topical triamcinolone vs intralesional triamcinolone for keloid treatment: a randomised clinical trial. Int Wound J. (2022) 19:1729–35. doi: 10.1111/iwj.13775,
24.
Liu B Lin H Zhang M . The clinical efficacy of single-hole punch excision combined with intralesional steroid injection for nodular keloid treatment: a self-controlled trial. Sci Rep. (2024) 14:9793. doi: 10.1038/s41598-024-60670-x,
25.
Krishna PS Gopal K Ananditha K Reddy VST Rao TN . A randomized study to evaluate the efficacy and adverse effects of cryotherapy combined with intralesional steroids, intralesional bleomycin combined with steroids and fractional CO2 laser in keloids. Indian Dermatol Online J. (2025) 16:407–13. doi: 10.4103/idoj.idoj_789_24,
26.
Hou S Chen Q Chen X-D . The clinical efficacy of punch excision combined with intralesional steroid injection for keloid treatment. Dermatologic Surg. (2023) 49:S70–4. doi: 10.1097/DSS.0000000000003776
27.
Qiao R Zhu J Fang J Shi H Zhang Z Nie J et al . Microneedle transdermal delivery of compound betamethasone in alopecia areata—a randomized controlled trial. J Am Acad Dermatol. (2025) 92:269–75. doi: 10.1016/j.jaad.2024.09.059,
28.
Manuskiatti W Yan C Artzi O Gervasio MKR Wanitphakdeedecha R . Efficacy and safety of thermomechanical fractional injury-assisted corticosteroid delivery versus intralesional corticosteroid injection for the treatment of hypertrophic scars: a randomized split-scar trial. Lasers Surg Med. (2022) 54:483–9. doi: 10.1002/lsm.23511,
29.
Manuskiatti W Kaewkes A Yan C Ng JN Glahn JZ Wanitphakdeedecha R . Hypertrophic scar outcomes in fractional laser monotherapy versus fractional laser-assisted topical corticosteroid delivery: a randomized clinical trial. Acta Dermato-Venereol. (2021) 101:967. doi: 10.2340/00015555-3781
30.
Shah SU Nigar S Yousofi R Maqsood A Altamash S Lal A et al . Comparison of triamcinolone with pentoxifylline and vitamin E efficacy in the treatment of stage 2 and 3 oral submucous fibrosis: a randomized clinical trial. SAGE Open Med. (2023) 11:20503121231200757. doi: 10.1177/20503121231200757,
31.
Bijlard E Timman R Verduijn GM Niessen FB Van Neck JW Busschbach JJ et al . Intralesional cryotherapy versus excision and corticosteroids or brachytherapy for keloid treatment: study protocol for a randomised controlled trial. Trials. (2013) 14:439. doi: 10.1186/1745-6215-14-439,
32.
Chua SC Gidaszewski B Khajehei M . Efficacy of surgical excision and sub-dermal injection of triamcinolone acetonide for treatment of keloid scars after caesarean section: a single blind randomised controlled trial protocol. Trials. (2019) 20:363. doi: 10.1186/s13063-019-3465-6,
33.
Zakria D Patrinely JR Jr Dewan AK Albers SE Wheless LE Simmons AN et al . Intralesional corticosteroid injections are less painful without local anesthetic: a double-blind, randomized controlled trial. J Dermatol Treat. (2022) 33:2034–7. doi: 10.1080/09546634.2021.1906842,
34.
Behera B Kumari R Thappa DM Malathi M . Therapeutic efficacy of intralesional steroid with carbon dioxide laser versus with cryotherapy in treatment of keloids: a randomized controlled trial. Dermatologic Surg. (2016) 42:1188–98. doi: 10.1097/DSS.0000000000000873,
35.
Pires JA Bragato EF Momolli M Guerra MB Neves LM de Oliveira Bruscagnin MA et al . Effect of the combination of photobiomodulation therapy and the intralesional administration of corticoid in the preoperative and postoperative periods of keloid surgery: a randomized, controlled, double-blind trial protocol study. PLoS One. (2022) 17:e0263453. doi: 10.1371/journal.pone.0263453,
36.
Ricciardi AS Chedid MF Thompson CE Silva RKD Azulay DR Manela-Azulay M . Randomized clinical trial comparing removal followed by topical imiquimod versus removal followed by topical methylprednisolone in the treatment of keloids. Acta Cir Bras. (2025) 40:e406225. doi: 10.1590/acb406225,
37.
Usanakornkul A Burusapat C . A topical anesthetic and lidocaine mixture for pain relief during keloid treatment: a double-blind, randomized controlled trial. Dermatologic Surg. (2017) 43:66–73. doi: 10.1097/DSS.0000000000000932,
38.
Hietanen KE Järvinen TA Huhtala H Tolonen TT Kaartinen IS . Histopathology and immunohistochemical analysis of 5-fluorouracil and triamcinolone treated keloids in double-blinded randomized controlled trial. Wound Repair Regen. (2020) 28:385–99. doi: 10.1111/wrr.12803,
39.
Goyal A Mehta H Narang T Vinay K Chhabra S Shilpa et al . A double-blinded randomised control study to compare the effectiveness and safety of intralesional vitamin D3 with intralesional triamcinolone and its correlation with tissue expression of vitamin D receptors in patients with keloid. Wound Repair Regen. (2024) 32:696–703. doi: 10.1111/wrr.13209
40.
Tan CW Tan WD Srivastava R Yow AP Wong DW Tey HL . Dissolving triamcinolone-embedded microneedles for the treatment of keloids: a single-blinded intra-individual controlled clinical trial. Dermatol Ther. (2019) 9:601–11. doi: 10.1007/s13555-019-00316-3,
41.
Srinivasan M Mascarenhas J Rajaraman R Ravindran M Lalitha P O'Brien KS et al . The steroids for corneal ulcers trial (SCUT): secondary 12-month clinical outcomes of a randomized controlled trial. Am J Ophthalmol. (2014) 157:327–333.e3. doi: 10.1016/j.ajo.2013.09.025,
42.
Menon TSK Dileep JE Kuruvila S Kaliyaperumal D Sadasivam IP Dharanisankar S et al . Efficacy and safety of intralesional triple combination versus intralesional triamcinolone acetonide for the treatment of keloids: a randomised controlled trial. Indian J Dermatol Venereol Leprol. (2025) 91:425–31. doi: 10.25259/IJDVL_1263_2024,
Summary
Keywords
combination therapy, hypertrophic scar, laser-assisted delivery, scar recurrence, triamcinolone acetonide
Citation
Zhu K, Song Q, Pan L and Xiong F (2026) Efficacy and safety of glucocorticoid-based therapies in the management of keloids: a systematic review and meta-analysis of clinical outcomes. Front. Med. 12:1749329. doi: 10.3389/fmed.2025.1749329
Received
21 November 2025
Revised
26 December 2025
Accepted
29 December 2025
Published
12 January 2026
Volume
12 - 2025
Edited by
Xuming Mao, University of Pennsylvania, United States
Reviewed by
Tero Anssi Järvinen, Tampere University, Finland
Aaron M. Dingle, University of Wisconsin-Madison, United States
Updates
Copyright
© 2026 Zhu, Song, Pan and Xiong.
This is an open-access article distributed under the terms of the Creative Commons Attribution License (CC BY). The use, distribution or reproduction in other forums is permitted, provided the original author(s) and the copyright owner(s) are credited and that the original publication in this journal is cited, in accordance with accepted academic practice. No use, distribution or reproduction is permitted which does not comply with these terms.
*Correspondence: Fei Xiong, feixiong0201@163.com
Disclaimer
All claims expressed in this article are solely those of the authors and do not necessarily represent those of their affiliated organizations, or those of the publisher, the editors and the reviewers. Any product that may be evaluated in this article or claim that may be made by its manufacturer is not guaranteed or endorsed by the publisher.