ORIGINAL RESEARCH article
Front. Mol. Biosci.
Sec. Metabolomics
This article is part of the Research TopicAdvances in Gut Microbiota, Metabolites and the Metabolic DisordersView all 5 articles
Analysis of Blood Untargeted Metabolomic Characteristics of Different Subtypes of Rosacea
Provisionally accepted- 1dermatology department, Chengdu Second People's Hospital, Chengdu, China
- 2Department of Epidemiology, Nanjing Medical University, Nanjing, China
Select one of your emails
You have multiple emails registered with Frontiers:
Notify me on publication
Please enter your email address:
If you already have an account, please login
You don't have a Frontiers account ? You can register here
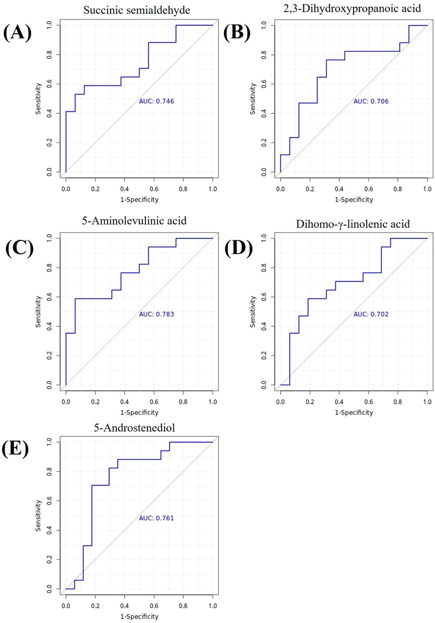
Background: Rosacea is a chronic inflammatory skin disease characterized by vascular and neurological dysregulation, presenting with diverse clinical subtypes whose pathological mechanisms remain incompletely elucidated. Recent studies suggest that metabolic dysregulation may play a key role in disease onset and progression; however, systematic metabolomic studies targeting different subtypes remain limited. Objective: This study employed untargeted metabolomic analysis to systematically compare plasma metabolic characteristic differences between patients with erythematotelangiectatic rosacea (ETR), papulopustular rosacea (PPR), and healthy controls (HC), aiming to identify potential disease biomarkers and provide new insights for understanding the pathogenesis of rosacea. Methods: Ultra-high performance liquid chromatography-mass spectrometry (UPLC-MS) was used to compare metabolic profiles of plasma samples from ETR, PPR, and HC groups. Key differential metabolites identified were subjected to correlation analysis with disease severity and skin physiological parameters. Results: ETR patients primarily involved amino acid metabolism, carbon metabolism, and cholesterol metabolism pathways, with key metabolites including upregulated SSA and 2,3-DHPA, and downregulated TCDCA and Met. PPR patients primarily involved tryptophan and linoleic acid metabolism pathways, with key metabolites including upregulated 12-HSA, DGLA, and 5-ALA, and downregulated 5-HTP and 3-HPPA. Metabolic differences between different rosacea subtypes were associated with steroid hormone biosynthesis. DGLA showed positive correlation with disease severity, while 5-HTP showed negative correlation with disease severity. Met was closely related to skin barrier function. Both 12-HSA and DGLA showed positive correlation with sebum secretion. Conclusion: These findings elucidate the metabolic characteristics of rosacea and their associations with disease severity and skin physiological parameters, providing new theoretical foundation and potential targets for subtype diagnosis and precision treatment of the disease.
Keywords: Erythematotelangiectatic rosacea, papulopustular rosacea, untargeted metabolomics, Skin physiological parameters, Metabolomics
Received: 24 Jun 2025; Accepted: 07 Nov 2025.
Copyright: © 2025 Zhang, Feng, Zhang, He, Qin, Hu and Liang. This is an open-access article distributed under the terms of the Creative Commons Attribution License (CC BY). The use, distribution or reproduction in other forums is permitted, provided the original author(s) or licensor are credited and that the original publication in this journal is cited, in accordance with accepted academic practice. No use, distribution or reproduction is permitted which does not comply with these terms.
* Correspondence: Yanyan Feng, drfengyy@163.com
Disclaimer: All claims expressed in this article are solely those of the authors and do not necessarily represent those of their affiliated organizations, or those of the publisher, the editors and the reviewers. Any product that may be evaluated in this article or claim that may be made by its manufacturer is not guaranteed or endorsed by the publisher.
