ORIGINAL RESEARCH article
Front. Nanotechnol.
Sec. Nanoelectronics
This article is part of the Research TopicTwo-Dimensional Materials for NanoelectronicsView all 3 articles
Tuning Urine Glucose Sensing via Metal Films in Graphene Oxide–Based SPR Architectures
Provisionally accepted- 1Universidad Tecnica Particular de Loja, Loja, Ecuador
- 2National Institute of Materials Physics, Atomistilor str. 405 A, Bucharest-Magurele, Romania, Bucharest, Romania
- 3Universita della Calabria, Arcavacata di Rende, Italy
- 4Escuela Superior Politecnica de Chimborazo, Riobamba, Ecuador
- 5Baku State University, Baku, Azerbaijan
- 6Ministry of Science and Education of the Republic of Azerbaijan, Baku, Azerbaijan
- 7Faculty of Science and Technology University of Souk Ahras Souk Ahras DZ, 41000, Algeria, Souk Ahras, Algeria
- 8Universidad Tecnológica Ecotec, Guayaquil, Ecuador
Select one of your emails
You have multiple emails registered with Frontiers:
Notify me on publication
Please enter your email address:
If you already have an account, please login
You don't have a Frontiers account ? You can register here
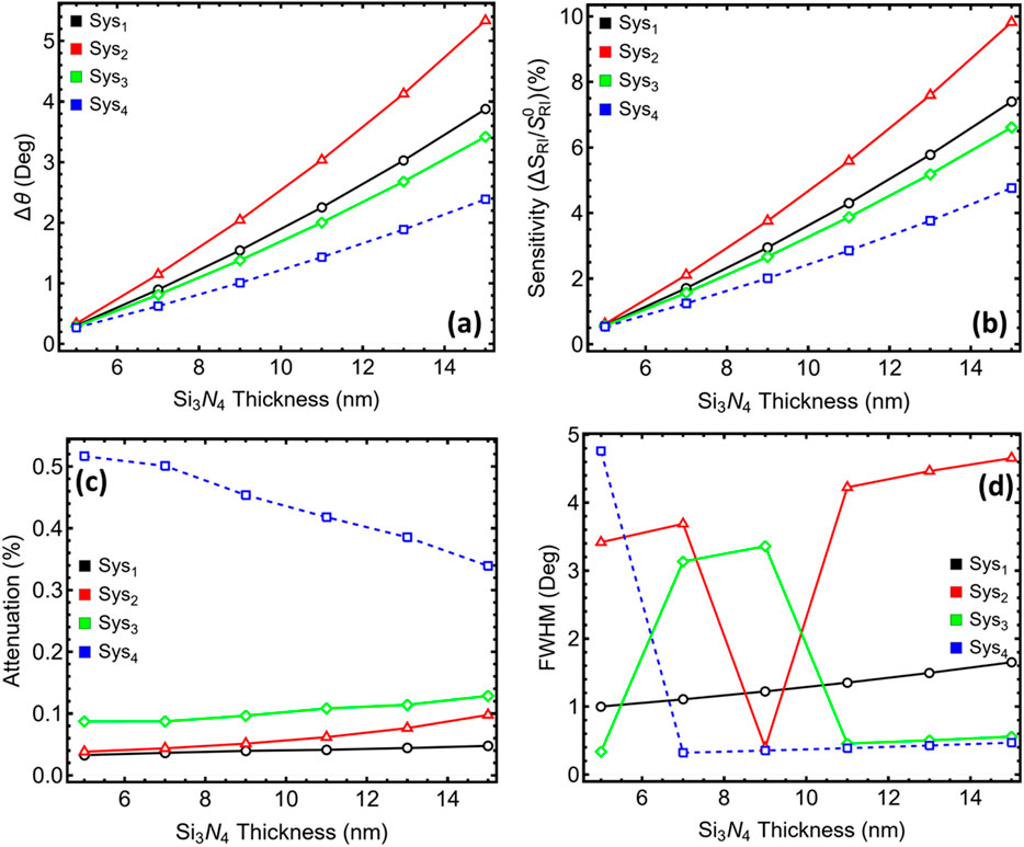
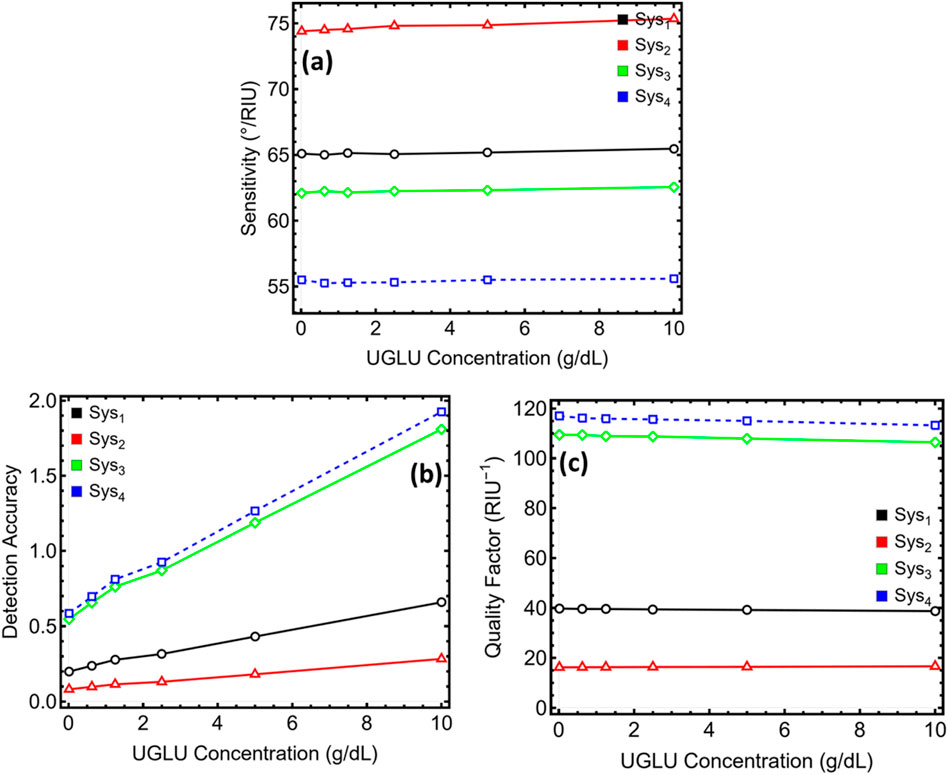
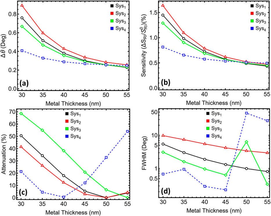
In this work, we analyze graphene-oxide (GO)–based surface plasmon resonance (SPR) stacks of fixed architecture (SF₆/metal/Si₃N₄/GO) at 633 nm to isolate the role of the plasmonic film (Au, Ag, Cu, Al) in urine-glucose (UGLU) sensing. Transfer-matrix simulations, validated against reference SPR data, identify thickness windows for each layer and benchmark angular response across a clinically relevant concentration ladder. Metals separate by function: Au yields the largest resonance-angle shifts and highest sensitivity; Cu and Al provide the narrowest linewidths, elevating detection accuracy and quality factor; Ag offers a balanced compromise with deep minima. These trends persist over the examined UGLU range and clarify that maximizing sensitivity does not always maximize resolvability under fixed angular noise. We outline an experimentally feasible route—low-temperature Si₃N₄, nm-scale GO coatings, and ultrathin dielectric caps for base metals—together with strategies to address urine-matrix effects and paths toward selective operation (e.g., enzyme or receptor layers). The results supply fabrication-ready prescriptions and a metal-dependent design map for urine-based SPR sensing, suitable for extension to multi-wavelength interrogation when dispersion data are available.
Keywords: SPR biosensor, graphene oxide, Prims, Surface Plasmon Resonance, UrineGlucose, TMM Approach
Received: 09 Sep 2025; Accepted: 27 Oct 2025.
Copyright: © 2025 Tene, Bellucci, Guevara, Romero, Mayorga Pérez, Gahramanli, Khankishiyeva, Sakher and Vacacela Gomez. This is an open-access article distributed under the terms of the Creative Commons Attribution License (CC BY). The use, distribution or reproduction in other forums is permitted, provided the original author(s) or licensor are credited and that the original publication in this journal is cited, in accordance with accepted academic practice. No use, distribution or reproduction is permitted which does not comply with these terms.
* Correspondence: 
Talia  Tene, tbtene@utpl.edu.ec
Cristian  Vacacela Gomez, cristianisaac.vacacelagomez@fis.unical.it
Disclaimer: All claims expressed in this article are solely those of the authors and do not necessarily represent those of their affiliated organizations, or those of the publisher, the editors and the reviewers. Any product that may be evaluated in this article or claim that may be made by its manufacturer is not guaranteed or endorsed by the publisher.
