- Chemistry Institute, Department of Organic Chemistry, Fluminense Federal University, Niterói, Brazil
Brazil is one of the most biodiverse countries in the world, with a coastline that stretches over 7,000 km including various marine ecosystems, such as coral reefs, mangroves, and seagrass beds, among other habitats. These diverse environments provide a rich source of compounds, derived from primary or secondary metabolism, which may have countless biological activities. Research on marine natural products (MNP) in Brazil has been ongoing for several decades and led to the discovery of numerous bioactive compounds with potential applications in medicine, agriculture, and cosmetics. These MNP are structurally complex, both from an architectural and stereochemical point of view. However, even with all the well-established techniques for the absolute configuration (AC) assignment, this stage of structural characterization of natural products is still under-explored and remains a challenge. This review presents an overview of natural product chemistry in Brazil, focusing on the stereochemical assignment of marine chiral compounds. The main goals are to describe the techniques employed in the assignments as well as to highlight the importance of choosing the appropriate methods for chiral natural products AC determinations.
1 Introduction
Brazil is known for its rich biodiversity, which includes a vast array of plant, animal, and microbial species. Many of these organisms are known to produce a variety of compounds with potent biological activity (Valli et al., 2018). Despite plants being one of the most explored sources of natural products, Brazil’s marine environment is another rich source of secondary metabolites, with a diverse array of organisms that produce bioactive compounds (Berlinck et al., 2004).
For several decades, Brazil has been actively researching marine natural products (MNP) (Berlinck et al., 2004; Ióca et al., 2018). This research field has focused on exploring the diverse marine fauna and flora of Brazil’s extensive coastline, including its coral reefs, mangroves, and seagrass beds, among other habitats. Some of the most promising areas of this research include the discovery of new bioactive compounds with potential pharmaceutical and biomedical applications, as well as the identification of novel structures (Berlinck et al., 2004; Ióca et al., 2018). Up to this point, many bioactive MNPs from both primary and secondary metabolism have been discovered in the marine environment, highlighting the importance of this region for studying natural products and their potential applications in medicine and other fields (Lorente et al., 2014).
Significant taxonomic differences between terrestrial and marine organisms, whose secondary metabolisms are substantially distinct, allowed the isolation of structurally different compounds from those obtained from traditional sources (Stonik, 2009). Another interesting fact about compounds of marine origin is that they are structurally complex, both from an architectural and stereochemical point of view. These data can be observed in a review of the literature on marine compounds, which reveals that the vast majority of the 1,490 substances reported are chiral compounds with complex structures (Carrol et al., 2021). Since the AC of a compound is often closely related to its biological activity, the determination of absolute stereochemistry is an important step in the characterization of bioactive compounds (Batista et al., 2021).
The determination of the AC of secondary metabolites can be achieved using techniques such as X-ray crystallography, chemical synthesis, Nuclear Magnetic Resonance (NMR) spectroscopy, and chiroptical methods (Batista et al., 2018). X-ray crystallography was used in the first AC assignment of a chiral compound (Bijvoet et al., 1951) and is still considered one of the most reliable techniques (Flack and Bernardinelli, 2008; Harada, 2008; Parsons, 2017). Nevertheless, the requirement of a well-defined single crystal can be prohibitive of a direct AC assignment of natural products, which are usually available in non-crystalline form (Mándi and Kurtan, 2019). Another powerful technique for the AC determination is NMR spectroscopy. However, for being intrinsically insensitive to chirality in the normally used isotropic media, this technique requires the use of chiral derivatizing agents or chiral solvating agents for the AC determination of a target compound (Wenzel and Chisholm, 2011; Seco et al., 2012; Zanardi et al., 2018). Chemical synthesis is also widely used to determine the AC of natural products. By synthesizing the natural product or related compounds using chiral starting materials or chiral catalysts, the AC can be assigned by comparing the physical and spectroscopic properties of the synthesized compounds with those of the natural product. This approach is challenging, since it is necessary to identify viable synthetic routes to obtain the molecules of interest (Sun and Sahinidis, 2022). Furthermore, stereocontrolled organic synthesis is highly dependent on the unequivocal AC of starting materials and products, in addition to being usually laborious, time-consuming, and expensive (Sadlej et al., 2010). Chiroptical methods rely on the differential interaction of a non-racemic chiral sample with left and right circularly polarized radiation and represent an important tool for AC determination of natural products (Grauso et al., 2019). These techniques, which include optical rotation (OR), optical rotational dispersion (ORD), electronic circular dichroism (ECD), vibrational circular dichroism (VCD) and Raman optical activity (ROA), are non-destructive and their measurements are obtained directly in solution (Batista et al., 2018). Despite these well-established techniques, it is worth noting that determining the AC of secondary metabolites can be challenging and often requires the use of associated techniques for confirmation (Batista et al., 2021). Difficulties associated with AC determination are probably because there is no universal technique since each of these methods has advantages and some limitations for complex molecules such as natural products.
2 Marine natural products from the Brazilian coast
To contribute to the special issue “Celebrating Natural Products Science in Brazil: 45 Years of Sociedade Brasileira de Química,” this review aims to give an overview regarding the chemistry of MNPs isolated from organisms collected on the Brazilian coast until 2021. The evolution of the research involving Brazilian marine biodiversity will be briefly discussed, paying attention to the organisms and classes of metabolites studied. In addition, the emphasis of the work will be directed to the determination of the AC of chiral compounds.
“Brazil” or “Brazilian” associated with “marine natural products” were used as keywords to perform the search in the following databases: ACS, PubMed, RSC, Science Direct, SciFinder, Scielo, Scopus, Web of Science, and Wiley. Despite trying to address all articles on Brazilian marine biodiversity, some works may not have been mentioned due to the chosen search criteria.
About 4,000 articles were found. After eliminating duplicates, the articles were individually analyzed and only those that described extracts or natural products obtained from organisms collected on the Brazilian coast were selected (more than 400). Approximately 58% of these articles reported isolation of secondary metabolites, 22% of primary metabolites and 20% of crude extracts. A more detailed analysis was carried out considering the marine organism and the classes of metabolites studied (Figure 1). Regarding the types of marine organisms evaluated, the majority were algae and seaweeds, followed by sponges and corals. It was also found articles reporting studies on fungi and bacteria, as well as bryozoans and crustaceans among others. In relation to the classes of metabolites analyzed (Figure 2), the most common were terpenes (41%), followed by alkaloids (20%), carotenoids and sterols (7%), polyketides (5%), peptides (5%) among others.
3 Absolute configuration
This section presents a list of natural compounds isolated from the Brazilian coast that had their AC mentioned. The method used in the assignment will also be specified.
After a careful evaluation of about 250 articles that deal with marine secondary metabolites, it was found that more than half of them describe the isolation of chiral compounds. The rest of the articles mainly leads with identifying compounds in the extract, isolation of non-chiral compounds, or just the biological activity of previously isolated metabolites. Worth mentioning that about 70% of these articles that describe the isolation of chiral compounds do not name any data about their AC and that many works discriminate the AC of only some of the reported metabolites. In addition, several works only mention the AC of the isolated compound but do not describe the method used for this assignment. It is noteworthy that all structures were drawn and the ACs were specified as in the original publication.
3.1 Terpenoids
The class of secondary metabolites with more reports of stereochemical description is terpenes. Chamigrane is an abundant subclass of sesquiterpenes isolated from a variety of sources from terrestrial and marine environments. These compounds have displayed a diverse array of biological activities (White et al., 2010) and most of them are generally produced by the red alga of the genus Laurencia (Family Rhodomelaceae) and endophytic fungi (Zhao et al., 2021). Eleven chamigranes, of which four were reported for the first time, have been isolated from a Brazilian specimen of the red alga Laurencia scoparia (Davyt et al., 2001). The chamigranes (−)-isorigidol (1) and ma’ilione (2) were submitted to X-ray diffraction analysis, which allowed to determine the AC of 1 and 2 as 3R,6S,9S,10S and 6S,9R,10S, respectively (Davyt et al., 2001). The (−)-dendroidiol (3), another chamigrane sesquiterpene, was isolated from the red alga Laurencia dendroidea collected from the southeastern Brazilian coast. The AC of 3 was also assigned by X-ray analysis as 3R,4S,6S,9R,10S (Machado et al., 2014). The phytochemical study of a Brazilian specimen of Ophionereis reticulate, a brittle starfish widespread along South America´s northeastern coast, led to the isolation of the chamigrene sesquiterpenes (−)-isoobtusadiene (4), (−)-acetyl isoobtusadiene (5), and (+)-elatol (6) (Nuzzo et al., 2017). The AC assignment of the isoobtusadiene skeleton was determined as 6S,9R,10S based on modified Mosher’s method analysis of 4. The comparison of the experimental and calculated ECD spectra of 5 has supported this assignment. The full characterization of elatol (6) was based on NMR data and the comparison of the measured OR value with those previously reported (Nuzzo et al., 2017). Elatol is a typical chamigrene sesquiterpene normally isolated from algae (Nuzzo et al., 2017). A handful of articles surveyed during this bibliographical research reported the occurrence of elatol in organisms collected from the Brazilian coast but did not mention any data related to its stereochemistry.
Algae of the genus Laurencia is known to produce halogenated sesquiterpenes in a wide and variety of skeleton types (Cikos et al., 2021). In addition to the chamigrane, the bisabolane skeleton is also reported in this kind of organism. A halogenated bisabolene sesquiterpene (7) was isolated from Laurencia scoparia, a red alga collected at the coast of Ubatuba (SP, Brazil). The AC of (+)-7 was determined by X-ray crystallography as 2S,3S,6R,9S (Davyt et al., 2006).
Four nitrogen-containing sesquiterpenes (8-11) isolated from the Brazilian endemic sponge Dysidea robusta had their AC determined (Williams et al., 2009). The compounds (+)-isopyrodysinoic acid (8) and (+)-13-hydroxyisopyrodysinoic acid (9) had their AC assigned as 4S,6S,11R and 4R,6S,11R, respectively, by comparison of the sign of the OR with related compounds. The AC of (+)-pyrodisinoic acid (10) has been suggested as 6S,11R,13S based on the common biogenetic origin for the skeletons of pyrodisinoic and isopyrodisinoic acids. Furthermore, the NMR analysis of (+)-pyrodysinoic acid B (11) established that this compound is an epimer of 10.
Chemical investigation of the endophytic fungus Nemania bipapillata (AT-05) isolated from the Brazilian alga Asparagopsis taxiformis led to the isolation of the botryane sesquiterpenes (+)-(2R,4S,5R,8S)-4-deacetyl-5-hydroxy-botryenalol (12), (+)-(2R,4R,5R,8S)-4-deacetyl-5-hydroxy-botryenalol (13), (+)-(2R,4S,5R,8R)-4-deacetyl-botryenalol (14), (+)-(2R,4R,8R)-nemenonediol A (15), and (+)-(2R,4S,8S)-nemenonediol B (16). The ACs of 13, 14, and 15 were assigned by ECD, and the ACs of 12 and 16 by VCD, both associated with quantum chemical calculations (Medina et al., 2019).
In 1988, Kelecom and Texeira described the isolation of two new dolastane diterpenes (17 and 18) from the brown alga Dictyota ceroicornishave (Kelecom and Teixeira, 1988). The species in question was collected in Angra dos Reis, State of Rio de Janeiro, Brazil. In fact, most of the Dictyotacean diterpenes are dolastanes and secodolastanes types in the Tropical Atlantic American coastal region (Valim et al., 2005). The AC of (−)-17 and (−)-18 were established from spectral data and chemical correlation with known compounds as 4R,9R,l4S, and 4R,8S,9R,l4S, respectively (Kelecom and Teixeira, 1988). An epimer of 17 (19) was isolated from the brown alga Padina sanctae-crucis collected in the coastal region of João Pessoa, Paraiba, Brazil (Nogueira et al., 2017). The work suggests that the AC of 19 is 4R,9S,14S however there is no mention of how this configuration was assigned. Moreover, in the original publication there is a discrepancy between the AC reported and one represented in the drawn structure. Herein, the stereochemical descriptors in the text were adjusted to ensure consistency with the drawn structure. The dolastanes 20 and 21 were isolated from the Brazilian brown alga Canistrocarpus cervicornis (Bianco et al., 2009; Santos et al., 2011; Figueiredo et al., 2019; Cirne-Santos et al., 2020). The AC of 20 and 21 were mentioned as 4R,9S,14S and 4R,7R,14S, respectively. Again, there is no report on how this assignment was accomplished. A new dolastane diterpene 22 and four known seco-dolastane diterpenes were isolated from the same Brazilian brown alga Canistrocarpus cervicornis (Bianco et al., 2015). X-ray analysis of 22 determined its AC as 5R,8R,9S,10R,12S,14S. The dolastane diterpenes (4R,7R,14S)-23, (4R,7R,14S)-24, and (4R,14S)-25, also isolated from Canistrocarpus cervicorni collected in Brazil, had their AC discriminated but apparently, no method was used for this purpose (Figueiredo et al., 2019). The AC of the dolabellane diterpene (−)-10,18-diacetoxy-8-hydroxy-2,6-dolabelladiene (26), isolated from the marine brown alga Dictyota pfaffii, collected in Atol das Rocas, Brazil, was assigned by X-ray analysis as 1R,2E,4R,6E,8S,10S,11S,12R (Pardo-Vargas et al., 2014).
The unusual triterpenoid raspacionin (27) was isolated from the red sponge Raspaciona aculeate and had its AC determined by the Mosher method leading to the assignment of the stereochemistry at C-4 as S (Cimino et al., 1993). Finally, as steroids are chemically related to terpenes, the two examples involving this class of compounds will be included in this section. The steroidal glycoside (−)-riisein A (28) and (−)-riisein B (29) were isolated from the Brazilian octocoral Carijoa (Telesto) riisei. The arabinose sugar in these compounds was determined as D series by chiral GC analysis and OR comparisons (Maia et al., 2000).

3.2 Alkaloids
The second major class of secondary metabolites with reported absolute stereochemistry are alkaloids, including bromotyrosine derivatives. Bromotyrosines metabolites are normally considered chemical markers of sponges from the Verongiida order (Moriou et al., 2021). The dibromotyrosine derivative (+)-fistularin-3 (30), isolated from the Brazilian sponges Aplysina cauliformis and A. caissara, had its AC assigned as 1R,1′R,6S,6′S,11S by a combination of Marfey’s analysis for C-11 and ECD for the spiroxazolidine moieties (Rogers et al., 2005; Lira T. O. et al., 2006).
There are reports that fistularin-3 presents stereoisomers with different configurations in the two secondary carbinols C-11 and C-17 and the AC assignment of these stereogenic centers has been challenging (Ji et al., 2021). The relative and absolute configurations of the spiroxazolidine moieties presented in fistularin-3 established by analysis of 1H NMR and ECD contributed to the AC assignment of others dibromotyrosine derivatives. Based on the these analyses, the same AC of the spiroxazolidine moieties was assigned for all the following metabolites: (+)-caissarine C (31) and (+)-11-hydroxyaerothionin (32) (Lira T. O. et al., 2006); 11-oxoaerothionin (33), aerothionin (34), 11-keto-12-hydroxyaerothionin (35), 11-ketofistularin-3 (36), aeroplysinin-2 (37), verongidoic acid (38) and its methyl ester (39) (Gandolfi et al., 2010; Medeiros et al., 2012), (+)-40 (Kossuga et al., 2007), and (+)-aplysinafulvin (41) (Nuñez et al., 2008). All these compounds were isolated from the Brazilian species of Aplysina. The dibromotyrosine derivatives (+)-30 and (+)-11-deoxyfistularin-3 (42) were isolated from Aplysina cauliformis and in spite of the mention in the work that the ECD spectra obtained were essentially the same as described in the literature, the authors assigned the ACs of these compounds as 1S,1′S,6R,6′R,11R (Oliveira et al., 2006). Despite bromotyrosines metabolites being considered chemical markers of sponges from the Verongiida order, the compounds 30, 32 e 38 were isolated from cultures of the bacterium Pseudovibrio denitrificans Ab134, isolated from the marine sponge Arenosclera brasiliensis collected in Búzios, Brazil (Nicacio et al., 2017). The ACs of the spiroxazolidine moieties were assigned by ECD analysis as 1R,1′R,6S,6′S for (+)-30 and (+)-32, and 1R,6S for (+)-38.

Two new alkaloids citrinalins A (43) and B (44) were isolated from the marine Penicillium citrinum, isolated from a seaweed collected in Brazil. The X-ray analysis of 43 enabled the assignment of its AC as 1S,14R,16S,22S. The AC of 44 was suggested as 1S,14R,16R,22S since both alkaloids presented similar OR values with the same signal (Pimenta et al., 2010). The guanidine alkaloids (5aR,7S,8R)-mirabilin B (45), (5aS,7S,8bS)-8bβ-hydroxyptilocaulin (46), (5aS,7S)-ptilocaulin (47), (5aR,7S,8S)-8β-hydroxymirabilin B (48), (5aR,7S,8R)-8α-hydroxymirabilin B (49), isolated from the sponge Monanchora arbuscula, had their AC indicated however there is no mention of how these configuration were assigned (Ferreira et al., 2011).

3.3 Polyketides
Peroxide and peroxide-derived polyketide are metabolites commonly isolated from marine sponges (Norris and Perkins, 2016). Three peroxide-derived polyketides, the plakilactones 6-desmethyl-6-ethyl-9,10-dihydrospongosoritin A (50), spongosoritin A (51), and 9,10-dihydrospongosoritin A (52), were isolated from the Brazilian sponge Plakortis angulospiculatus. The AC of these compounds was deduced based on their negative OR values and comparison with literature data (Epifanio et al., 2005; Santos et al., 2015). The ACs of the plakortides (+)-7,8-dihydroplakortide E (53), (−)-54, (−)-55, (−)-56, (−)-57, and (−)-plakortide P (58), and of the plakilactone (−)-6-desmethyl-6-ethyl-spongosoritin A (59), isolated from the same species, were also assigned based on similarities between OR values with those of structurally related compounds (Santos et al., 2015). The ACs of spongosoritin A (51) and 9,10-dihydrospongosoritin A (52) were confirmed to be (−)-(6R,8R) and (−)-(6R,8S), respectively, using VCD, ECD, NMR and OR, all associated with quantum chemical calculations (Batista et al., 2019).

The dichlorinated polyketide roussoellatide (60), isolated from the marine-derived fungus Roussoella sp. DLM33, had its AC established by X-ray diffraction analyses as 2S,3S,7R,8S,9R,12S (Ferreira et al., 2015). Finally, the structures and ACs of six macrocyclic curvularin-related polyketides, isolated from a marine-derived Penicillium sp. DRF2, were established by spectroscopic data and X-ray diffraction analysis as (15S)-10,11-dehydrocurvularin (61), (15S)-12-keto-10,11-dehydrocurvularin (62), (15S)-cis-10,11-epoxycurvularin (63), (10R,11R,15S,18S)-cyclothiocurvularin A (64), (10S,11S,15S,18R)-cyclothiocurvularin B (65), and (10S,11S,15S,18R)-cyclothiocurvularin B methyl ester (66) (Castro et al., 2016).

3.4 Peptides
Nonribosomal peptides are secondary metabolites with a vast array of biological activities with medical and industrial relevance (Alonzo and Schmeing, 2020). Chemical studies of a Brazilian ascidian of the family Didemnidae led to the isolation of the depsipeptides tamandarins A (67) and B (68). The ACs of the tamandarins were assigned by Marfey’s method and Mosher´s analysis (Vervoort et al., 2000). Two new cyclodepsipeptides, [β-MePro] destruxin E chlorohydrin (69) and pseudodestruxin C (70), isolated from the marine-derived fungus Beauveria feline, had their ACs established by Marfey’s method and derivatization with R-MPA-Cl followed by NMR analysis (Lira S. et al., 2006). The modified diketopiperazine rodriguesines A (71) and B (72) and N-acetyl-rodriguesine A (73) and B (74) were isolated from two Brazilian ascidians of the genus Didemnum and their ACs were assigned by Marfey’s analysis and comparison of OR data with reported literature data for related compounds as 3S,19R (Kossuga et al., 2009). Chemical investigation of the Brazilian endemic marine sponge Clathria (Clathria) nicoleae led to the isolation of a new hexapeptide, clathriamide (75), whose AC was determined by advanced Marfey’s analysis (Freire et al., 2019).

3.5 Others compounds
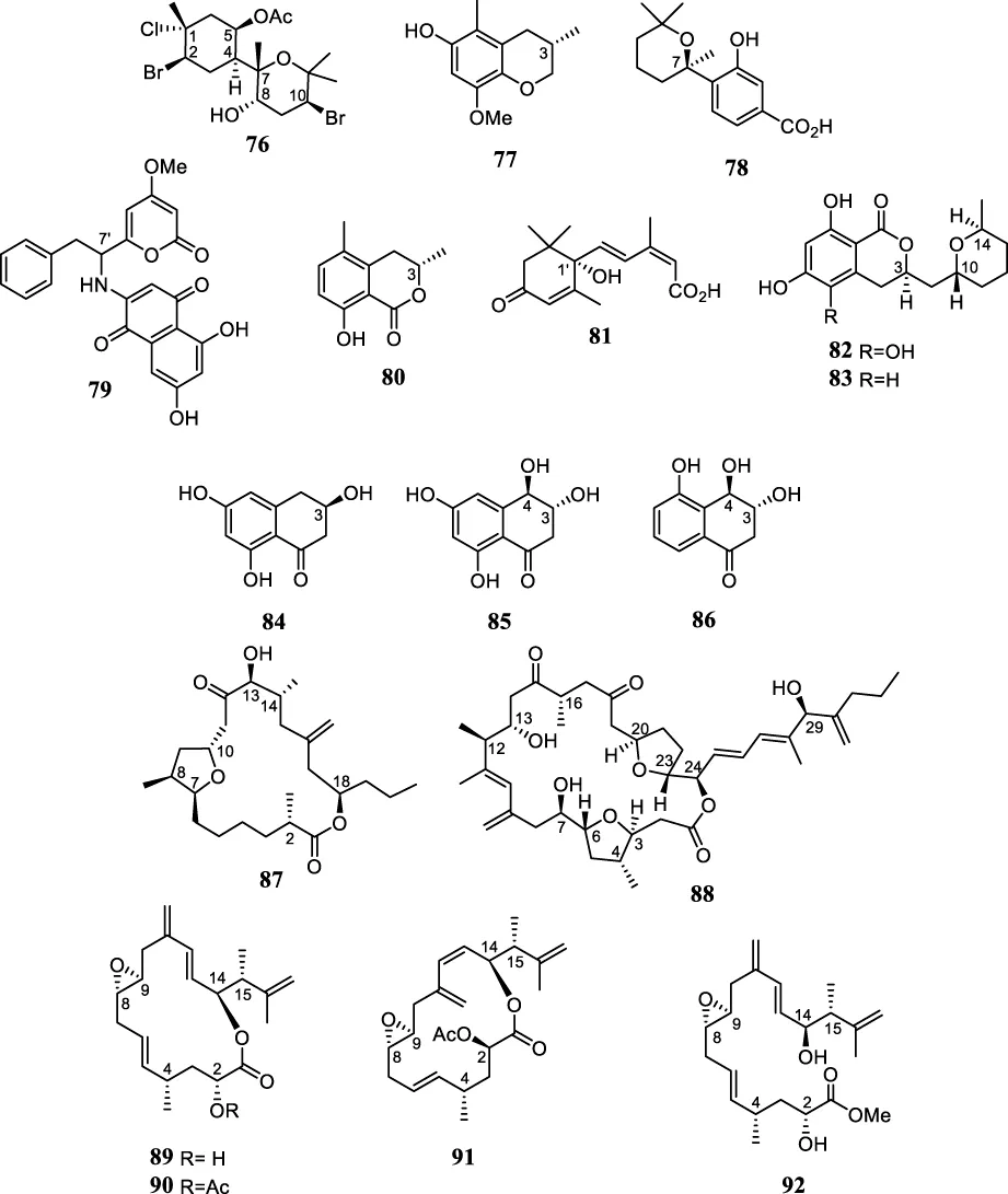
The halogenated metabolite (+)-5-acetoxycaespitol (76) was isolated from the Brazilian red alga Laurencia catarinensis and its AC was assigned using the modified Mosher’s method as depicted (Lhullier et al., 2010). The structure and AC of 8-methoxy-3,5-dimethylisochroman-6-ol (77), isolated from Penicillium steckii obtained from a Brazilian alga of the genus Sargassum, was established by NMR analysis and by comparison of its OR value with those reported in the literature as S (Kossuga et al., 2012). Four compounds (78-81) were isolated from marine-derived fungal strains obtained from Brazilian marine invertebrates and had their ACs established by comparison of their OR values with literature data (Ióca et al., 2016). Chemical investigation of the deep-sea fungus Penicillium coralligerum YK-247 led to the isolation of the new compound (−)-cladomarine (82) and the known (−)-cladosporin (83). The ACs of these compounds were determined to be 3R,10R, 14S by comparison of the OR values and ECD analysis (Takahashi et al., 2017). The compounds (3R)-scytalon (84), (3R,4R)-4-hydroxy-scytalone (85), and (3R,4R)-3,4,5-trihydroxy-1-tetralone (86) were isolated from endophytic fungi isolated from red alga Asparagopsis taxiformis and had their ACs established by ECD spectroscopy (Medina et al., 2018). The amphidinolides named amphidinolide T1 (87), C4 (88), PX1 (89), PX2 (90), PX3 (91), and stragulin A (92) were isolated from the Brazilian octocoral Stragulum bicolor (Nuzzo et al., 2016; Nuzzo et al., 2019). The AC of 87 was assigned by comparison of OR value with those reported in the literature for the same compound while the ACs of 88 and 92 were suggested based on similarities with analog compounds and modified Mosher’s analysis (Nuzzo et al., 2016; Nuzzo et al., 2019). Since compounds 89-91 share the same carbon skeleton of the stragulin A (92), the same AC of 92 was suggested for these related compounds (Nuzzo et al., 2019).

4 Absolute configuration assignment of natural products
As already mentioned, there seems to be no universal methodology for determining the AC of natural products, since each method presented has advantages and limitations. Thus, due to their structural and stereochemical complexity, the best approach for unambiguous AC assignments of chiral secondary metabolites seems to be a combination of methods, taking into account the intrinsic characteristics of each target molecule.
The use of chiroptical methods associated with quantum chemical calculations has proven to be an excellent tool for stereochemical characterization. These techniques have been increasingly used to solve stereochemical problems due to developments in quantum chemical calculations to predict theoretical spectra implemented in commercially available programs (Polavarapu, 2007). The comparison between calculated and observed data greatly helps the correct interpretation of experimental information. Detailed information and good practices for the accurate calculations of chiroptical properties can be found in review articles available in the literature (Batista et al., 2015; Grauso et al., 2019; Mándi and Kurtán, 2019; Polavarapu and Santoro, 2020; Zhu et al., 2023).
5 Conclusion
This review covers the state of the art of MNP research in Brazil over the last decades, focusing on the ACs of the isolated secondary metabolites. The AC determination, especially in the case of bioactive compounds, is extremely important. However, from the data presented herein, it was evident that this last step of the structural characterization of chiral compounds is still under-explored by the Brazilian community of natural products. As already mentioned, several methods can be used for the determination of the AC of a given compound. However, a recent review carried out by our research group demonstrated that several misassignments can occur when an inappropriate method is used (Batista et al., 2021). In this context, some highlights regarding the main methods used in the AC assignment of Brazilian MNPs can be made. However, the purpose of the present review is not to question the reliability of the AC assignments reported in the literature but to raise awareness for a more critical analysis when choosing an assignment method.
As can be seen in the data presented herein, a series of compounds were subjected to X-ray analysis. This methodology is very reliable, nevertheless, obtaining crystals is not a trivial task in the case of natural products, which limits its use. The methods that require derivatizations, such as Mosher´s method, were also used but they have limitations since their use depends on the presence of specific structural motifs in the compounds under consideration. All described peptides had their ACs established by Marfey’s method. This technique has proved to be suitable and the most frequently described for the determination of the AC of amino acid residues of marine peptides (Phyo et al., 2018). The main attention has to be paid to assignments made by comparison of OR or ECD data with analogous compounds as well as by chemical correlations. Despite the widespread use, AC assignments based on these empirical correlations are not recommended. Although incorrect relative configurations are the main cause for misassignments of the AC of natural compounds in the first place, the practice of determining the AC based on comparisons of experimental OR and/or ECD data with those described for analogous molecules or spectral analyses based on empirical rules do not always generate reliable results (Batista et al., 2021). This is because similar molecules, even from a stereochemical point of view, can present OR values with opposite signs (Freedman et al., 2003; Nakahashi et al., 2011). Furthermore, empirical rules can present exceptions (Batista et al., 2010; Santos et al., 2018). On the other hand, chiroptical methods associated with quantum chemical calculations have proven to be reliable and, especially in the case of vibrational methods (VCD and ROA), can be applied to virtually all types of secondary metabolites (Batista et al., 2015; Mándi and Kurtan, 2019; Polavarapu and Santoro, 2020; Zhu et al., 2023).
Given the fact that Brazil is home to one of the richest biodiversity in the world, it is expected that this crucial step in the structural characterization of MNPs will be more widely considered. This field of research is highly promising and, if well explored, will greatly contribute to the knowledge of the diverse marine natural product chemical space in Brazil.
Author contributions
AB was responsible for conceptualization, investigation, writing: original draft, review, and editing; FS for funding acquisition, conceptualization, writing: original draft, review, and editing; AV for conceptualization, project administration, funding acquisition, supervision, visualization, writing: original draft, review, and editing. All authors contributed to the article and approved the submitted version.
Funding
This project was funded by Rio de Janeiro Research Foundation (FAPERJ; grants No. 211.319-2019, APQ 1 E26/210.249/2021, and CNE E26/200.515/2023) and by the Coordination of Improvement of Higher Education Personnel (CAPES, Finance Code 001; grant No. 88887.313278/2019-00).
Acknowledgments
The authors are thankful to Rio de Janeiro Research Foundation (FAPERJ) and National Council for Scientific and Technological Development (CNPq) for funding, and to the Coordination of Improvement of Higher Education Personnel (CAPES) for the scholarship to ANLB. The authors would like to acknowledge Profa Rosângela Epifanio (in memoriam) for her love for the chemistry of marine natural products and for gifting us with her legacy in this field.
Conflict of interest
The authors declare that the research was conducted in the absence of any commercial or financial relationships that could be construed as a potential conflict of interest.
The authors FS and AB declared that they were an editorial board member of Frontiers, at the time of submission. This had no impact on the peer review process and the final decision.
Publisher’s note
All claims expressed in this article are solely those of the authors and do not necessarily represent those of their affiliated organizations, or those of the publisher, the editors and the reviewers. Any product that may be evaluated in this article, or claim that may be made by its manufacturer, is not guaranteed or endorsed by the publisher.
References
Alonzo, D. A., and Schmeing, T. M. (2020). Biosynthesis of depsipeptides, or depsi: The peptides with varied generations. Protein Sci. 29, 2316–2347. doi:10.1002/pro.3979
Batista, A. N., Angrisani, B. R., Lima, M. E. D., Silva, S. M., Schettini, V. H., Chagas, H. A., et al. (2021). Absolute configuration reassignment of natural products: An overview of the last decade. J. Braz. Chem. Soc. 32, 1499–1518. doi:10.21577/0103-5053.20210079
Batista, A. N. L., Santos, F. M., Batista, J. M., and Cass, Q. B. (2018). Enantiomeric mixtures in natural product chemistry: Separation and absolute configuration assignment. Molecules 23, 492. doi:10.3390/molecules23020492
Batista, A. N. L., Santos, F. M., Valverde, A. L., and Batista, J. M. (2019). Stereochemistry of spongosoritins: Beyond optical rotation. Org. Biomol. Chem. 17, 9772–9777. doi:10.1039/C9OB02010A
Batista, J. M., Batista, A. N. L., Rinaldo, D., Vilegas, W., Cass, Q. B., Bolzani, V. S., et al. (2010). Absolute configuration reassignment of two chromanes from Peperomia obtusifolia (Piperaceae) using VCD and DFT calculations. Tetrahedron Asymmetry 21, 2402–2407. doi:10.1016/j.tetasy.2010.09.004
Batista, J. M., Blanch, E. W., and Bolzani, V. S. (2015). Recent advances in the use of vibrational chiroptical spectroscopic methods for stereochemical characterization of natural products. Nat. Prod. Rep. 32, 1280–1302. doi:10.1039/C5NP00027K
Berlinck, R. G., Hajdu, E., Rocha, R. M., Oliveira, J. H., Hernández, I. L., Seleghim, M. H., et al. (2004). Challenges and rewards of research in marine natural products chemistry in Brazil. J. Nat. Prod. 67, 510–522. doi:10.1021/np0304316
Bianco, É. M., Francisco, T. M., Pinheiro, C. B., Azeredo, R. B. V., Teixeira, V. L., and Pereira, R. C. (2015). 10β-Acetoxy-8α,9α-epoxy-14β-hydroxy-7-oxodolastane – A new diterpene isolated from the Brazilian Brown macroalga Canistrocarpus cervicornis. Helv. Chim. Acta 98, 785–794. doi:10.1002/hlca.201400321
Bianco, É. M., Rogers, R., Teixeira, V. L., and Pereira, R. C. (2009). Antifoulant diterpenes produced by the Brown seaweed Canistrocarpus cervicornis. J. Appl. Phycol. 21, 341–346. doi:10.1007/s10811-008-9374-9
Bijvoet, J. M., Peerdeman, A. F., and van Bommel, A. J. (1951). Determination of the absolute configuration of optically active compounds by means of X-Rays. Nature 168, 271–272. doi:10.1038/168271a0
Carroll, A. R., Copp, B. R., Davis, R. A., Keyzers, R. A., and Prinsep, M. R. (2021). Marine natural products. Nat. Prod. Rep. 38, 362–413. doi:10.1039/d0np00089b
Castro, M. V., Ióca, L. P., Williams, D. E., Costa, B. Z., Mizuno, C. M., Santos, M. F., et al. (2016). Condensation of macrocyclic polyketides produced by Penicillium sp. DRF2 with mercaptopyruvate represents a new fungal detoxification pathway. J. Nat. Prod. 79, 1668–1678. doi:10.1021/acs.jnatprod.6b00295
Cikoš, A.-M., Jurin, M., Čož-Rakovac, R., Gašo-Sokač, D., Jokić, S., and Jerković, I. (2021). Update on sesquiterpenes from red macroalgae of the Laurencia genus and their biological activities (2015–2020). Algal Res. 56, 102330. doi:10.1016/j.algal.2021.102330
Cimino, G., Epifanio, R. A., Madaio, A., Puliti, R., and Trivellone, E. (1993). Absolute stereochemistry of raspacionin, the main triterpenoid from the marine sponge Raspaciona aculeate. J. Nat. Prod. 56, 1622–1626. doi:10.1021/np50099a028
Cirne-Santos, C. C., Barros, C. S., Oliveira, M. C., Rabelo, V. W., Azevedo, R. C., Teixeira, V. L., et al. (2020). In vitro studies on the inhibition of replication of Zika and Chikungunya viruses by dolastane isolated from seaweed Canistrocarpus cervicornis. Sci. Rep. 10, 8263. doi:10.1038/s41598-020-65357-7
Davyt, D., Fernandez, R., Suescun, L., Mombrú, A. W., Saldaña, J., Domínguez, L., et al. (2001). New sesquiterpene derivatives from the red alga Laurencia scoparia. Isolation, structure determination, and anthelmintic activity. J. Nat. Prod. 64, 1552–1555. doi:10.1021/np0102307
Davyt, D., Fernandez, R., Suescun, L., Mombrú, A. W., Saldaña, J., Domínguez, L., et al. (2006). Bisabolanes from the red alga Laurencia scoparia. J. Nat. Prod. 69, 1113–1116. doi:10.1021/np060235+
Epifanio, R. A., Pinheiro, L. S., and Alves, N. C. (2005). Polyketides from the marine sponge Plakortis angulospiculatus. J. Braz. Chem. Soc. 16, 1367–1371. doi:10.1590/S0103-50532005000800010
Ferreira, E. G., Wilke, D. V., Jimenez, P. C., Oliveira, J. R., Pessoa, O. D. L., Silveira, E. R., et al. (2011). Guanidine alkaloids from Monanchora arbuscula: Chemistry and antitumor potential. Chem. Biodivers. 8, 1433–1445. doi:10.1002/cbdv.201000161
Ferreira, E. L., Williams, D. E., Ióca, L. P., Morais-Urano, R. P., Santos, M. F., Patrick, B. O., et al. (2015). Structure and biogenesis of roussoellatide, a dichlorinated polyketide from the marine-derived fungus Roussoella sp. DLM33. Org. Lett. 17, 5152–5155. doi:10.1021/acs.orglett.5b02060
Figueiredo, C. S., Silva, S. M. P. M., Abreu, L. S., Silva, E. F., Silva, M. S., Miranda, G. E. C., et al. (2019). Dolastane diterpenes from Canistrocarpus cervicornis and their effects in modulation of drug resistance in Staphylococcus aureus. Nat. Prod. Res. 33, 3231–3239. doi:10.1080/14786419.2018.1470512
Flack, H. D., and Bernardinelli, G. (2008). The use of X-ray crystallography to determine absolute configuration. Chirality 20, 681–690. doi:10.1002/chir.20473
Freedman, T. B., Cao, X., Oliveira, R. V., Cass, Q. B., and Nafie, L. A. (2003). Determination of the absolute configuration and solution conformation of gossypol by vibrational circular dichroism. Chirality 15, 196–200. doi:10.1002/chir.10171
Freire, V. F., Slivinski, J., Bulla, J. I. Q., Moraes, F. C., Paradas, W. C., Salgado, L. T., et al. (2019). Clathriamide, an hexapeptide isolated from the marine sponge Clathria (Clathria) nicoleae. Rev. Bras. Farmacogn. 29, 715–719. doi:10.1016/j.bjp.2019.07.001
Gandolfi, R. C., Medina, M. B., Berlinck, R. G. S., Lira, S. P., Galetti, F. C. S., Silva, C. L., et al. (2010). Metabólitos secundários das esponjas Aplysina fistularis e Dysidea sp. e atividade antituberculose da 11-cetofistularina-3. Quim. Nova 33, 1853–1858. doi:10.1590/S0100-40422010000900006
Grauso, L., Teta, R., Esposito, G., Menna, M., and Mangoni, A. (2019). Computational prediction of chiroptical properties in structure elucidation of natural products. Nat. Prod. Rep. 36, 1005–1030. doi:10.1039/c9np00018f
Harada, N. (2008). Determination of absolute configurations by X-ray crystallography and 1H NMR anisotropy. Chirality 20, 691–723. doi:10.1002/chir.20478
Ióca, L. P., Nicacio, K. J., and Berlinck, R. G. S. (2018). Natural products from marine invertebrates and microorganisms in Brazil between 2004 and 2017: Still the challenges, more rewards. J. Braz. Chem. Soc. 29, 998–1031. doi:10.21577/0103-5053.20180016
Ióca, L. P., Romminger, S., Santos, M. F. C., Bandeira, K. F., Rodrigues, F. T., Kossuga, M. H., et al. (2016). A strategy for the rapid identification of fungal metabolites and the discovery of the antiviral activity of pyrenocine a and harzianopyridone. Quim. Nova 39, 720–731. doi:10.5935/0100-4042.20160092
Ji, Y. K., Lee, S. M., Kim, N.-H., Tu, N. V., Kim, Y. N., Heo, J. D., et al. (2021). Stereochemical determination of fistularins isolated from the marine sponge Ecionemia acervus and their regulatory effect on intestinal inflammation. Mar. Drugs 19, 170. doi:10.3390/md19030170
Kelecom, A., and Teixeira, V. L. (1988). Dolastane diterpenes from the marine Brown alga Dictyota cervicornis. Phytochemistry 27, 2907–2909. doi:10.1016/0031-9422(88)80686-1
Kossuga, M. H., Lira, S. P., McHugh, S., Torres, Y. R., Lima, B. A., Gonçalves, R., et al. (2009). Antibacterial modified diketopiperazines from two ascidians of the genus Didemnum. J. Braz. Chem. Soc. 20, 704–711. doi:10.1590/S0103-50532009000400014
Kossuga, M. H., Lira, S. P., Nascimento, A. M., Gambardella, M. T. P., Berlinck, R. G. S., Torres, Y. R., et al. (2007). Isolamento e atividades biológicas de produtos naturais das esponjas Monanchora arbuscula, Aplysina sp. Petromica ciocalyptoides e Topsentia ophiraphidites, da ascídia Didemnum ligulum e do octocoral Carijoa riisei. Quim. Nova 30, 1194–1202. doi:10.1590/S0100-40422007000500027
Kossuga, M. H., Romminger, S., Xavier, C., Milanetto, M. C., Valle, M. Z., Pimenta, E. F., et al. (2012). Evaluating methods for the isolation of marine-derived fungal strains and production of bioactive secondary metabolites. Rev. Bras. Farm. 22, 257–267. doi:10.1590/S0102-695X2011005000222
Lhullier, C., Falkenberg, M., Ioannou, E., Quesada, A., Papazafiri, P., Horta, P. A., et al. (2010). Cytotoxic halogenated metabolites from the Brazilian red alga Laurencia catarinensis. J. Nat. Prod. 73, 27–32. doi:10.1021/np900627r
Lira, S., Vita-marques, A., Seleghim, M., Bugni, T. S., Labarbera, D. V., Sette, L. D., et al. (2006). New destruxins from the marine-derived fungus Beauveria felina. J. Antibiot. 59, 553–563. doi:10.1038/ja.2006.76
Lira, T. O., Berlinck, R. G. S., Nascimento, G. G. F., and Hajdu, E. (2006). Further dibromotyrosine-derived metabolites from the marine sponge Aplysina caissara. J. Braz. Chem. Soc. 17, 1233–1240. doi:10.1590/S0103-50532006000700007
Lorente, A., Makowski, K., Albericio, F., and Álvarez, M. (2014). Bioactive marine polyketides as potential and promising drugs. Ann. Mar. Biol. Res. 1, 1003.
Machado, F. L. S., Ventura, T. L., Gestinari, L. M., Cassano, V., Resende, J. A., Kaiser, C. R., et al. (2014). Sesquiterpenes from the Brazilian red alga Laurencia dendroidea. J. Agardh. Mol. 19, 3181–3192. doi:10.3390/molecules19033181
Maia, L. F., Epifanio, R. A., and Fenical, W. (2000). New cytotoxic sterol glycosides from the octocoral Carijoa (Telesto) riisei. J. Nat. Prod. 63, 1427–1430. doi:10.1021/np9906323
Mándi, A., and Kurtán, T. (2019). Applications of OR/ECD/VCD to the structure elucidation of natural products. Nat. Prod. Rep. 36, 889–918. doi:10.1039/C9NP00002J
Medeiros, A. I., Gandolfi, R. C., Secatto, A., Falcucci, R. M., Faccioli, L. H., Hajdu, E., et al. (2012). 11-Oxoaerothionin isolated from the marine sponge Aplysina fistularis shows anti-inflammatory activity in LPS-stimulated macrophages. Immunopharmacol. Immunotoxicol. 34, 919–924. doi:10.3109/08923973.2012.679984
Medina, R. P., Araujo, A. R., Andersen, R. J., Soares, M. A., Silva, F. A., and Silva, D. H. S. (2018). Aromatic compounds produced by endophytic fungi isolated from red alga Asparagopsis taxiformis - falkenbergia stage. Nat. Prod. Res. 33, 443–446. doi:10.1080/14786419.2018.1455037
Medina, R. P., Araujo, A. R., Batista, J. M., Cardoso, C. L., Seidl, C., Vilela, A. F. L., et al. (2019). Botryane terpenoids produced by Nemania bipapillata, an endophytic fungus isolated from red alga Asparagopsis taxiformis - falkenbergia stage. Sci. Rep. 9, 12318. doi:10.1038/s41598-019-48655-7
Moriou, C., Lacroix, D., Petek, S., El-Demerdash, A., Trepos, R., Leu, T. M., et al. (2021). Bioactive bromotyrosine derivatives from the pacific marine sponge suberea clavata (Pulitzer-Finali, 1982). Mar. Drugs 19, 143. doi:10.3390/md19030143
Nakahashi, A., Yaguchi, Y., Miura, N., Emura, M., and Monde, K. (2011). A vibrational circular dichroism approach to the determination of the absolute configurations of flavorous 5-substituted-2(5H)-furanones. J. Nat. Prod. 74, 707–711. doi:10.1021/np1007763
Nicacio, K. J., Ióca, L. P., Fróes, A. M., Leomil, L., Appolinario, L. R., Thompson, C. C., et al. (2017). Cultures of the marine bacterium Pseudovibrio denitrificans Ab134 produce bromotyrosine-derived alkaloids previously only isolated from marine sponges. J. Nat. Prod. 80, 235–240. doi:10.1021/acs.jnatprod.6b00838
Nogueira, R. B. S. S., Tomaz, A. C. A., Pessoa, D. R., Xavier, A. L., Pita, J. C. L. R., Sobral, M. V., et al. (2017). Brown algae Padina sanctae-crucis børgesen: A potential nutraceutical. Mar. Drugs. 26, 251. doi:10.3390/md15100251
Norris, M. D., and Perkins, M. V. (2016). Structural diversity and chemical synthesis of peroxide and peroxide-derived polyketide metabolites from marine sponges. Nat. Prod. Rep. 33, 861–880. doi:10.1039/C5NP00142K
Nuñez, C. V., Almeida, E. V. R., Granato, A. C., Marques, S. O., Santos, K. O., Pereira, F. R., et al. (2008). Chemical variability within the marine sponge Aplysina fulva. Biochem. Syst. Ecol. 36, 283–296. doi:10.1016/j.bse.2007.09.008
Nuzzo, G., Gomes, B. A., Amodeo, P., Matthews-Cascon, H., Cutignano, A., Costa-Lotufo, L. V., et al. (2017). Isolation of chamigrene sesquiterpenes and absolute configuration of isoobtusadiene from the brittle star Ophionereis reticulata. J. Nat. Prod. 80, 3049–3053. doi:10.1021/acs.jnatprod.7b00510
Nuzzo, G., Gomes, B. A., Gallo, C., Amodeo, P., Sansone, C., Pessoa, O. D. L., et al. (2019). Potent cytotoxic analogs of amphidinolides from the Atlantic octocoral Stragulum bicolor. Mar. Drugs. 17, 58. doi:10.3390/md17010058
Nuzzo, G., Gomes, B. A., Luongo, E., Torres, M. C., Santos, E. A., Cutignano, A., et al. (2016). Dinoflagellate-related amphidinolides from the Brazilian octocoral Stragulum bicolor. J. Nat. .Prod. 79, 1881–1885. doi:10.1021/acs.jnatprod.6b00259
Oliveira, M. F., Oliveira, J. H., Galetti, F. C., Souza, A. O., Silva, C. L., Hajdu, E., et al. (2006). Antimycobacterial brominated metabolites from two species of marine sponges. Planta Med. 72, 437–441. doi:10.1055/s-2005-916239
Pardo-Vargas, A., Oliveira, I. B., Stephens, P. R., Cirne-Santos, C. C., Paixão, I. C. P., Ramos, F. A., et al. (2014). Dolabelladienols A-C, new diterpenes isolated from Brazilian Brown alga Dictyota pfaffii. Mar. Drugs 12, 4247–4259. doi:10.3390/md12074247
Parsons, S. (2017). Determination of absolute configuration using X-ray diffraction. Tetrahedron Asymmetry 28, 1304–1313. doi:10.1016/j.tetasy.2017.08.018
Phyo, Y. Z., Ribeiro, J., Fernandes, C., Kijjoa, A., and Pinto, M. M. M. (2018). Marine natural peptides: Determination of absolute configuration using liquid chromatography methods and evaluation of bioactivities. Molecules 23, 306. doi:10.3390/molecules23020306
Pimenta, E. F., Vita-Marques, A. M., Tininis, A., Seleghim, M. H., Sette, L. D., Veloso, K., et al. (2010). Use of experimental design for the optimization of the production of new secondary metabolites by two Penicillium species. J. Nat. Prod. 73, 1821–1832. doi:10.1021/np100470h
Polavarapu, P. L. (2007). Renaissance in chiroptical spectroscopic methods for molecular structure determination. Chem. Rec. 7, 125–136. doi:10.1002/tcr.20117
Polavarapu, P. L., and Santoro, E. (2020). Vibrational optical activity for structural characterization of natural products. Nat. Prod. Rep. 37, 1661–1699. doi:10.1039/D0NP00025F
Rogers, E. W., Oliveira, M. F., Berlinck, R. G., König, G. M., and Molinski, T. F. (2005). Stereochemical heterogeneity in Verongid sponge metabolites. Absolute stereochemistry of (+)-fistularin-3 and (+)-11-epi-fistularin-3 by microscale LCMS-Marfey's analysis. J. Nat. Prod. 68, 891–896. doi:10.1021/np050050n
Sadlej, J., Dobrowolski, J. C., and Rode, J. E. (2010). VCD spectroscopy as a novel probe for chirality transfer in molecular interactions. Chem. Soc. Rev. 39, 1478–1488. doi:10.1039/B915178H
Santos, A. O., Britta, E. A., Bianco, E. M., Ueda-Nakamura, T., Filho, B. P. D., Pereira, R. C., et al. (2011). 4-Acetoxydolastane diterpene from the Brazilian Brown alga Canistrocarpus cervicornis as antileishmanial agent. Mar. Drugs 9, 2369–2383. doi:10.3390/md9112369
Santos, E. A., Quintela, A. L., Ferreira, E. G., Sousa, T. S., Pinto, F., Hajdu, E., et al. (2015). Cytotoxic plakortides from the Brazilian marine sponge Plakortis angulospiculatus. J. Nat. Prod. 78, 996–1004. doi:10.1021/np5008944
Santos, F. M., Bicalho, K. U., Calisto, Í. H., Scatena, G. S., Fernandes, J. B., Cass, Q. B., et al. (2018). Scope of the 2(5H)-furanone helicity rule: A combined ECD, VCD, and DFT investigation. Org. Biomol. Chem. 16, 4509–4516. doi:10.1039/C8OB01085D
Seco, J. M., Quinoa, E., and Riguera, R. (2012) Assignment of the absolute configuration of polyfunctional compounds by NMR using chiral derivatizing agents. Chem. Rev. 112, 4603–4641. doi:10.1021/cr2003344
Stonik, V. A. (2009). Marine natural products: A way to new drugs. Acta Naturae 1, 15–25. doi:10.32607/20758251-2009-1-2-15-25
Sun, Y., and Sahinidis, N. V. (2022). Computer-aided retrosynthetic design: Fundamentals, tools, and outlook. Curr. Opin. Chem. Eng. 35, 100721. doi:10.1016/j.coche.2021.100721
Takahashi, K., Sakai, K., Nagano, Y., Sakaguchi, S. O., Lima, A. O., Pellizari, V. H., et al. (2017). Cladomarine, a new anti-saprolegniasis compound isolated from the deep-sea fungus, Penicillium coralligerum YK-247. J. Antibiot. 70, 911–914. doi:10.1038/ja.2017.58
Valli, M., Russo, H. M., and Bolzani, V. S. (2018). The potential contribution of the natural products from Brazilian biodiversity to bioeconomy. An. Acad. Bras. Ciênc. 90, 763–778. doi:10.1590/0001-3765201820170653
Vallim, M. A., Paula, J. C., Pereira, R. C., and Teixeira, V. L. (2005). The diterpenes from Dictyotacean marine Brown algae in the Tropical Atlantic American region. Biochem. Syst. Ecol. 33, 1–16. doi:10.1016/j.bse.2004.06.002
Vervoort, H., Fenical, W., and Epifanio, R. A. (2000). Tamandarins A and B: New cytotoxic depsipeptides from a Brazilian ascidian of the family Didemnidae. J. Org. Chem. 65, 782–792. doi:10.1021/jo991425a
Wenzel, T. J., and Chisholm, C. D. (2011). Assignment of absolute configuration using chiral reagents and NMR spectroscopy. Chirality 23, 190–214. doi:10.1002/chir.20889
White, D. E., Stewart, I. C., Seashore-Ludlow, B. A., Grubbs, R. H., and Stoltz, B. M. (2010). A general enantioselective route to the chamigrene natural product family. Tetrahedron 66, 4668–4686. doi:10.1016/j.tet.2010.04.128
Williams, D. E., Marques, S. O., Hajdu, E., Peixinho, S., Andersen, R. J., and Berlinck, R. G. (2009). Pyrodysinoic acid derivatives from the marine sponge Dysidea robusta. J. Nat. Prod. 72, 1691–1694. doi:10.1021/np900033v
Zanardi, M. M., Biglione, F. A., Sortino, M. A., and Sarotti, A. M. (2018). General quantum-based NMR method for the assignment of absolute configuration by single or double derivatization: Scope and limitations. J. Org. Chem. 83, 11839–11849. doi:10.1021/acs.joc.8b01749
Zhao, Z.-Z., Zhao, Q.-L., Feng, W.-S., He, H.-R., Li, M., Xue, G.-M., et al. (2021). Structure and absolute configuration assignments of ochracines F–L, chamigrane and cadinane sesquiterpenes from the basidiomycete Steccherinum ochraceum HFG119. RSC Adv. 11, 18693–18701. doi:10.1039/D1RA03320D
Keywords: biodiversity, Brazilian, secondary metabolites, stereochemical determination, chiral compounds
Citation: Batista ANL, dos Santos FM and Valverde AL (2023) Absolute configuration assignment of marine natural products in Brazil. Front. Nat. Produc. 2:1224564. doi: 10.3389/fntpr.2023.1224564
Received: 17 May 2023; Accepted: 19 July 2023;
Published: 28 July 2023.
Edited by:
Louis Pergaud Sandjo, Federal University of Santa Catarina, BrazilReviewed by:
Tiago Tizziani, Federal University of Santa Catarina, BrazilLarissa Sens, Universidade Estadual de Ponta Grossa, Brazil
Copyright © 2023 Batista, dos Santos and Valverde. This is an open-access article distributed under the terms of the Creative Commons Attribution License (CC BY). The use, distribution or reproduction in other forums is permitted, provided the original author(s) and the copyright owner(s) are credited and that the original publication in this journal is cited, in accordance with accepted academic practice. No use, distribution or reproduction is permitted which does not comply with these terms.
*Correspondence: Alessandra L. Valverde, YWxlc3NhbmRyYXZhbHZlcmRlQGlkLnVmZi5icg==