ORIGINAL RESEARCH article
Front. Nucl. Eng.
Sec. Radioactive Waste Management
This article is part of the Research TopicAdvancing Geopolymer Technology for Radioactive Waste Treatment: Innovations, Applications, and ChallengesView all articles
Electron Irradiation Effects on Vickers Hardness of Potassium-based Geopolymers: The Role of Water Content
Provisionally accepted- 1Nagaoka University of Technology, Nagaoka, Japan
 - 2Australian Nuclear Science and Technology Organisation, Sydney, Australia
 
Select one of your emails
You have multiple emails registered with Frontiers:
Notify me on publication
Please enter your email address:
If you already have an account, please login
You don't have a Frontiers account ? You can register here
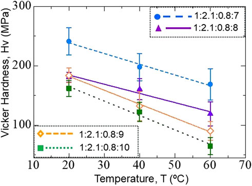
Potassium-based geopolymers were synthesized with varying initial water content (7 to 10 mol %). Samples were initially cured under tight-lidded conditions at different temperatures (room temperature, 40°C, and 60°C) for the initial 24 hours and then transitioned to ambient curing without lid. Analysis of the pore size distribution revealed that higher initial water content generally led to larger pores, while higher curing temperatures resulted in smaller pores. Vickers hardness measurements showed a dependence on both initial water content and curing temperature. The electron beam irradiation was processed up to 16 kGy by pulsed linear electron accelerator at Nagaoka University of Technology and up to 992 kGy by electron beam irradiation at the Takasaki Institute of Advanced Quantum Science. The Vickers hardness of a selected sample remained largely unchanged even after electron beam irradiation up to a high dose.
Keywords: geopolymer, metakaolin, Potassium, irradiation, Vicker hardness, Nuclear waste, Decommissioning
Received: 05 Sep 2025; Accepted: 03 Nov 2025.
Copyright: © 2025 Do, Yaru, Kikuchi, Nakayama, Thorogood and Suematsu. This is an open-access article distributed under the terms of the Creative Commons Attribution License (CC BY). The use, distribution or reproduction in other forums is permitted, provided the original author(s) or licensor are credited and that the original publication in this journal is cited, in accordance with accepted academic practice. No use, distribution or reproduction is permitted which does not comply with these terms.
* Correspondence: Thi-Mai-Dung  Do, maidung@vos.nagaokaut.ac.jp
Disclaimer: All claims expressed in this article are solely those of the authors and do not necessarily represent those of their affiliated organizations, or those of the publisher, the editors and the reviewers. Any product that may be evaluated in this article or claim that may be made by its manufacturer is not guaranteed or endorsed by the publisher.
