- School of Engineering and Information Technology, University of New South Wales, Canberra, ACT, Australia
A fast prediction of blood flow in stenosed arteries with a hybrid framework of machine learning and immersed boundary-lattice Boltzmann method (IB–LBM) is presented. The integrated framework incorporates the immersed boundary method for its excellent capability in handling complex boundaries, the multi-relaxation-time LBM for its efficient modelling for unsteady flows and the deep neural network (DNN) for its high efficiency in artificial learning. Specifically, the stenosed artery is modelled by a channel for two-dimensional (2D) cases or a tube for three-dimensional (3D) cases with a stenosis approximated by a fifth-order polynomial. An IB–LBM is adopted to obtain the training data for the DNN which is constructed to generate an approximate model for the fast flow prediction. In the DNN, the inputs are the characteristic parameters of the stenosis and fluid node coordinates, and the outputs are the mean velocity and pressure at each node. To characterise complex stenosis, a convolutional neural network (CNN) is built to extract the stenosis properties by using the data generated by the aforementioned polynomial. Both 2D and 3D cases (including 3D asymmetrical case) are constructed and examined to demonstrate the effectiveness of the proposed method. Once the DNN model is trained, the prediction efficiency of blood flow in stenosed arteries is much higher compared with the direct computational fluid dynamics simulations. The proposed method has a potential for applications in clinical diagnosis and treatment where the real-time modelling results are desired.
Introduction
Coronary artery disease is one of the major health threats in the 21st century, and is reported as one of the leading causes of death worldwide (World Health Organization, 2014). This disease, where a localised accumulation of plaque in the arteries surrounding the heart, prevents sufficient blood supply to the heart muscle, can lead to ischemia, stroke, heart attacks, and ultimately death. The hemodynamics of the blood flow has long been thought to play an important role in the pathogenesis and pathophysiology of atherosclerosis (Saxena et al., 2019).
The cardiovascular system typically features low Reynolds number pulsatile flow due to the cyclic pumping motion of the heart. Computational fluid dynamics (CFD) has proven to be an effective method to uncover the fluid dynamics of blood flow. For example, Tu et al. (1992) studied the Newtonian blood flow through a stenosis by using finite element simulations focusing on the effects of various degrees of stenosis, stricture length, Reynolds number and Womersley number. Köhler et al. (2001) compared the results of blood flow in the realistic model of the human carotid bifurcation from CFD simulations with that from magnetic resonance imaging (MRI) measurements finding that CFD is a reliable tool for the flow prediction. A detailed numerical study of the blood flow through a localized stenosis in an idealized 2D blood vessel was conducted by Tian et al. (2013). Abuouf et al. (2020) studied the effects of guidewire position on the measurements of fractional flow reserve (FFR) by using CFD. In addition, the fluid-structure interaction of collapse tubes has been considered as a model of blood-induced deformation of arteries (see e.g., Tang et al. (2015); Wang et al. (2021)). However, the high fidelity CFD simulations are usually time consuming, especially for 3D arterial flows involving complex geometries, making CFD impractical for the clinical diagnosis and treatment where the real-time modelling results are required. To address this challenge, an efficient tool without the assistance of professional fluid dynamics knowledge is desired, which is the focus of this paper.
Among several techniques to provide prediction of blood flow, machine learning (ML) is a promising method which has drawn considerable attentions recently in the field of CFD. It has been successfully applied to solve a series of physical problems. For example, the data-driven machine learning algorithm has been adopted for turbulent flow modelling to obtain a closure subgrid scale stress model for the large eddy simulation or Reynolds-averaged Navier-Stokes equations (Wang et al., 2018; Zhu et al., 2019; Sun et al., 2022). A convolutional neural network was introduced by Mao et al. (2018) to predict the unsteady wave forces on bluff bodies due to the free-surface wave motion. Bukka et al. (2021) presented a recurrent neural network to construct a reduced-order model for the unsteady flow field and fluid-structure interaction. An ML method based on convolutional neural netwrok (CNN) was proposed by Jing et al. to predict the unsteady velocity field around a circular cylinder from the pressure coefficients measurements (Jin et al., 2018). Sekar et al. (2019) presented a data-driven approach by using the combination of CNN and multilayer perceptron for the prediction of laminar flow around NACA airfoil, which achieves the flow prediction of various airfoils. ML has also been combined with CFD tools to study fish swimming (Zhu et al., 2021, 2022). Moreover, ML has been studied in the field of biomedicine, such as prediction of malaria (Lee et al., 2020) and patient quality-of-life after prostate radiation therapy (Yang et al., 2020). An ML based model was applied to the diagnosis of coronary artery diseases by using the fraction flow reserve, without providing the detailed information of the flow field (Coenen et al., 2018). A physics-informed neural network was introduced by Kissas et al. (2020) to solve conservation laws in graph topologies to predict arterial blood pressure from non-invasive unsteady flow MRI data. Husso et al. (2021) introduced an ML to estimate myocardial blood flows from tissue impulse response signal in an animal model. A physical-informed neural netw006Frk was used by Arzani et al. (2021) to obtain the near-wall hemodynamics and wall shear stress data from sparse velocity measurements and without knowledge of the inlet/outlet boundary conditions. These applications inspire us to create a highly efficient predicting tool for the accurate and detailed flow dynamics prediction in the stenosed arteries by using machine learning and CFD, which can be used not only for diseases diagnosis, but also for the treatment. The comprehensive details of the flow properties provide more robust impressions of the disease and therefore better treatment strategies. Deep neural network (DNN) has shown powerful capability in various applications (e.g., LeCun et al. (2015); Ren et al. (2018); Liang et al. (2020)). Compared with the popular reduced-order method such as proper orthogonal decomposition (Guibert et al., 2014) and dynamic mode decomposition (Habibi et al., 2020), a DNN is expected to provide higher fidelity results due to their powerful training capability which could be comparable with high-fidelity CFD simulations. In this work, we explore the powerful capability of DNN for fast predicting the blood flows in stenosed arteries following several relevant studies (Coenen et al., 2018; Liang et al., 2020; Arzani et al., 2021; Husso et al., 2021).
This paper aims at providing accurate and detailed flow properties in stenosed arteries by using an ML, which can be used for both the stenosis diagnosis and design of treatment strategies. To construct the predicting tool based on the ML, an idealised function, which could be arbitrary options with stochastic disturbance, is adopted to generate a large number of stenosis profiles. The learning datasets, the mean flow fields of the constructed stenosed arteries are obtained by using an immersed boundary-lattice Boltzmann method (IB-LBM) (Tian et al., 2011; Wang and Tian, 2018; Xu et al., 2018; Ma et al., 2020) which incorporates the immersed boundary method for its excellent capability in handling complex boundaries and the LBM for its efficient modelling for unsteady flows (Wang et al., 2022). Finally, a DNN is trained and tested for the fast prediction of the mean blood flow in stenosed arteries. Inspired by the CNN-based feature extraction of various airfoils (Sekar et al., 2019), a CNN is also built to extract the stenosis features, which is used to represent the complex stenosis as the input of the DNN. To the best of our knowledge, this is the first attempt to predict the comprehensive flow properties in stenosed arteries by using a DNN model with the IB-LBM.
The rest of this paper is organised as follows: the ML method and IB-LBM used in this study are presented in Section 2; both 2D and 3D DNNs are trained and tested, with the results and discussions being presented in Section 3; final conclusions are given in Section 4.
Hybrid framework of machine learning and immersed boundary-lattice Boltzmann method
The present approach includes three main parts, i.e., the characterisation of the stenosed artery, the IB-LBM solver for the high-fidelity CFD simulations of the blood flows in stenosed arteries, and the DNN for predicting the mean flow fields. Specifically, the stenosis is first characterised by either the polynomial factors or the CNN extracted features; then high-fidelity CFD simulations are conducted by using the IB-LBM solver to obtain datasets, and finally an approximate DNN is trained by using these datasets.
Characterization of the stenosed artery
Stenosis is usually caused by the accumulation of lipids in the intima of artery, and it could have different shapes for various patients and arteries (Varghese et al., 2007a,b; Huang et al., 2020). Here, a fifth-order polynomial is used to describe the stenosis, i.e,
with y (0) = y(D) = D, y′(0) = y′(D) = 0 and D being the diameter of the artery at the inlet, as shown in Figure 1. The free parameters in Eq. 1 are randomly selected to generate a database for the learning algorithm. Both axis-symmetric and asymmetric 3D arteries are considered here. The axis-symmetric artery has a similar stenosis governed by Eq. 1 as shown in Figure 1, so that the 3D stenosis shares the same characteristic parameters with its 2D counterpart. The asymmetric arteries will be described later in. For simplicity, D is used as the length of the stenosis. Although Eq. 1 is an idealised model, these free parameters can be arbitrary options with stochastic disturbance. Therefore, the idealised model does not affect the effectiveness of the method in patient-specific cases which could be modelled with more parameters.

FIGURE 1. Schematic of the stenosed arteries: (A) 2D asymmetric case, and (B) 3D axis-symmetric case.
To represent the stenosis shape, both the coordinates of the stenosis and the free parameters in Eq. 1 can be used as the input of the DNN for the mean flow prediction. However, the large number of stenosis coordinates will definitely make the DNN more complex. There are only six factors in Eq. 1, which seems to be a good representation of the stenosis, and will be discussed later. As the realistic stenosis could be even more complex, a CNN (Sekar et al., 2019) is also built to extract the geometric features of stenosis. Here, the CNN will be trained based on the dataset generated by using Eq. 1, which can be further extended for an arbitrarily complex stenosis. The current CNN includes an input layer, 3 convolutional layers, 5 fully connected layers and an output layer. Rectified linear unit (ReLU) and the hyperbolic tangent functions are used as the activation functions for the convolutional and fully connected layers, respectively. The parameters of the CNN are listed in Table 1. In the 2D CNN, the inputs are 2D images (an example is shown in Figure 2), which is generated by filling the pixels crossed by the stenosis as one with the rest of the pixels as zero, and each image has a resolution of 214 × 214. Here, only the stenosis section of the artery is transferred into the image as the rest part of the artery is uniform. The convolutional layers and the first three fully-connected layers are used to decode the training images into 16 parameters representing the stenosis features, while the rest fully connected layers then encode the features to obtain the y-coordinates of the stenosis. The loss function of the CNN is defined as
where N is the sample number, and ypred and ylabel are the predicted and labelled y-coordinates, respectively. Further details of the CNN can be found in Refs. (Lee and You, 2019; Sekar et al., 2019; Hasegawa et al., 2020; Bukka et al., 2021).
Immersed boundary-lattice Boltzmann method solver for the computational fluid dynamics simulation
The flows in the stenosed artery are solved by using an IB–LBM (Tian et al., 2011; Wang and Tian, 2018; Xu et al., 2018; Ma et al., 2020). In this method, the fluid dynamics is solved by the LBM, and the complex no-slip boundary conditions on the fluid–structure interface are achieved by an immersed boundary (IB) method. Without loss of generality, the 2D numerical method is briefly reviewed in this section, and more details of this method and its 3D version can be found in Refs. (Tian et al., 2011; Wang and Tian, 2018; Xu et al., 2018; Ma et al., 2020). The main reason of choosing IB–LBM is due to its high computational efficiency and simplicity in handling arbitrarily complex geometries, which are especially desirable for the large data requirements in ML and more complex stenosed arteries.
In the multiple relaxation time (MRT)-based IB-LBM, the evolution equation of the particle distribution function gi along the i-th direction at position x is expressed as (He and Luo, 1997; Guo and Zheng, 2008)
where i = 0, 1, … , 8, Δt is the time step, ei is the lattice speed, Ωi is the collision operator, and Gi represents the body force effects on the distribution function. Ωi and Gi are defined as
Where M is a 9, ×, 9 transform matrix for the two dimensional nine-speed (D2Q9) model, and S is a non-negative diagonal matrix. The details for the determination of S and M can be found in Ref. (Peng et al., 2006). The lattice speed ei in 2D simulation is defined as
where Δx is the lattice spacing. The macro density and momentum are given as follows,
The local equilibrium distribution function
where the sound speed
The IB-LBM solver and its previous version used here have been validated in our previous work extensively considering fluid–structure interaction in steady and unsteady flows (Wang and Tian, 2018; Xu et al., 2018, 2019; Wang and Tian, 2019; Ma et al., 2020; Huang et al., 2021; Wang, 2021). To further validate the IB-LBM solver in modelling internal flows (e.g., hemodynamics with immersed structures), a Newtonian flow in a 3D cylindrical pipe is conducted. In this problem, a constant inlet velocity (U0) is applied on the left side of the computational domain. The fluid domain has a dimension of 10D × 0.6D × 0.6D. A mesh convergence study is conducted at a Reynolds numbers of 100 with three mesh spacings of the fluid domain, i.e., Δs = D/25, D/50 and D/100. The mesh spacing of the cylinder is roughly half of the fluid mesh spacing. The velocity profiles at a distance of 5D from the inlet are shown in Figure 3 along with the analytical solution
where, r is the distance to the center of the pipe. As shown in Figure 3, the velocity profiles calculated by the present numerical method agree well with the exact solutions in Eq. 10. It shows that the numerical results are in excellent agreement with the analytical solutions when the mesh is refined to D/50. Note that the velocity profile is corrected by using D + 0.5Δx in the IB-LBM simulations, with Δx being the mesh spacing of the fluid domain containing the structure, as suggested in Refs. (Huang et al., 2020, 2021).
Deep neural network for the flow prediction
Once the characteristic parameters of the stenosis and the mean flow fields (calculated over a dimensionless time of 50 after the initial flow developing periods) are obtained, a DNN is then constructed to generate an approximate model for the fast prediction of the mean flow field close to the stenosis, i.e., from D upstream and 4D downstream of the stenosis. The architecture of the DNN used for the flow field prediction is shown in Figure 4. It consists of an input layer, 5 hidden layers (each of them has 128 perceptrons) and an output layer. Here, the inputs are the stenosis characteristic parameters (i.e., the free factors of Eq. 1 or the characteristic parameters extracted by the CNN) and the coordinates of fluid nodes, and the outputs are the mean flow velocities (um, vm and wm) and pressure (cp,m) at each fluid node (the output shape is 3 for 2D and 4 for 3D), while the output in Ref. (Liang et al., 2020) is the values of the whole flow field and thus the output shape is significantly larger and varies with the stenosis size. By using such an architecture, the DNN will have significantly less trainable parameters due to the smaller output shape and thus may be more efficient in the training stage. Similarly to the CNN, the root-mean-square error is defined as the loss function for the DNN. The ReLU function is adopted as the activation function as it is less susceptible to vanishing gradients that prevent deep models from being trained compared with other functions such as Sigmoid and Tanh. The adaptive moment estimation (Adam) is used as the optimizer. During the training process, back propagation method is used to update the trainable parameters in the NN according to the gradients of the loss function. All the NNs in this study are created by using the open source library Tensorflow (Abadi et al., 2015) because of its simple implementations.
The major procedures of the present approach to predict the blood flow are as follows:
1) Generate stenosis samples by using Eq. 1, and the stenosis is then characterised by using the free parameters of Eq. 1;
2) For the stenosis characterised by using CNN-extracted features, the 2D images are first generated according to the stenosis coordinates. The network is trained to get a model for the extraction of the stenosis features by feeding these image samples to the CNN and training;
3) Conduct high fidelity CFD simulations of the randomly selected samples to generate a dataset for the DNN;
4) Organise the dataset with the input being fluid node coordinates and stenosis features, and the output being the mean flow velocity and pressure.
5) Feed the organised dataset to the DNN and train the network to obtain the approximate model for the fast prediction of the blood flow field.
When the clinical patient-specific stenosis data are available, it can be modelled by more parameters and fed into the CNN instead of the data generated from the polynomial for the feature extraction. It means that the current framework by combining the CNN and DNN can be still effective for the patient-specific geometries. Another important reason to use CNN for the stenosis feature extraction is because the arteries are usually constructed by using MRI which can be directly used as the input of the CNN.
Results and discussions
2D flow prediction in a channel with a stenosis
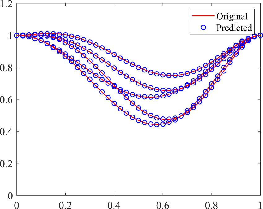
By feeding the image dataset generated by using Eq. 1 into the CNN to characterise the arteries, a trained model can be obtained. Here, 1,000 samples are used as the training dataset and 200 samples are used as the validation dataset. The learning rate is set as 1.0, ×, 10−4. Some validation samples are shown in Figure 5. It is found that the predicted y-coordinates of the stenosis agree well with the original data, which confirms that the CNN is accurate in characterising the stenosis.
Here, 100 CFD simulations are conducted to obtain the training dataset for the DNN to predict the blood flow, with another 20 simulations as the validation dataset. There are approximately 150,000 data points in each simulation, and 1.5 × 107 data points in total are used to train the DNN. The initial learning rate is set as 1.0, ×, 10−3, and the learning rate is gradually decreased to around 4.0, ×, 10−5 in order to stabilize the learning process. Two DNNs are trained by using the polynomial factors and the characteristic parameters extracted by the CNN, respectively. Figure 6 shows the time histories of the loss from the two DNNs. It is found that the DNN using features extracted by the CNN achieves a significantly smaller loss compared that using the polynomial factors. This indicates that the CNN has a better ability in representing the stenosis features. As a general approach, it also can be extended to arbitrarily complex stenosis with the required dataset such as MRI or CT images obtained in clinic practices.

FIGURE 6. Time histories of loss of the DNN in a 2D channel with a stenosis: (A) polynomial factors, and (B) CNN-extracted characteristic parameters.
The mean flow fields (i.e.,

FIGURE 7. Comparison of the mean fluid fields for 2D channel flows from DNN prediction and CFD simulation: (A) um by CFD, (B) um by DNN prediction, (C) vm by CFD, (D) vm by DNN prediction, (E) cp,m by CFD, (F) cp,m by DNN prediction.

FIGURE 9. Comparison of the mean velocities and pressure along the streamwise direction measured at y = 0.2D and the comparison of streamwise velocity profile: (A) um along x-axis, (B) vm along x-axis, (C) cp,m along x-axis, and (D) streamwise velocity profile um along y-axis.
3D flow prediction in axis-symmetric artery
To demonstrate the ability of the DNN in considering more realistic blood flows, the DNN model is further trained based on 3D simulation data to predict the blood flow. A similar DNN architecture of the 2D case is adopted for the 3D model, except that the input and output have an extra dimension. By feeding 100 3D simulation data, around 1.6 × 108 data points, to the DNN, an approximate model is obtained by using Adams optimizer. Figure 10 shows the time histories of the loss and mean absolute error, it is found that the training approaches to a small loss after training for 200 epochs, the mean absolute error is also small compared with the absolute value of dimensionless velocities and pressure (generally in a range more than 1.0).

FIGURE 10. Histories of loss and mean absolute error of the DNN for 3D (axis-symmetric) flow prediction: (A) loss, and (B) mean absolute error.
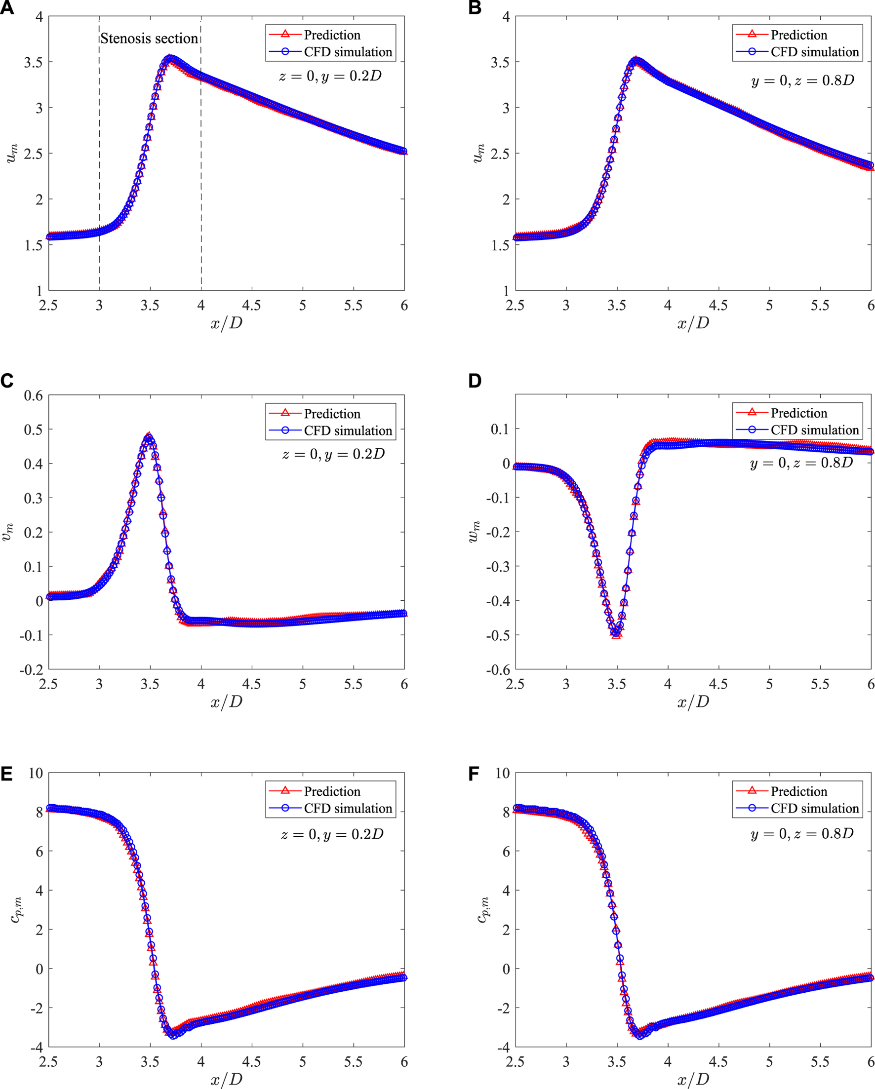
Figure 11 shows a direct comparison of the mean flow fields from DNN prediction and CFD simulation on the plane of z = 0. It is found that the predicted flow fields are very close to those from high fidelity CFD simulation. The stenosis effects on the velocity and pressure change are well captured by the DNN. A more careful comparison of the dimensionless velocities and pressure distributions in the streamwise direction measured on two lines, i.e., line 1 with z = 0 and y = 0.2D, and line 2 with y = 0 and z = 0.8D, is presented in Figure 12. It shows negligible discrepancies and further confirms the accuracy of the present machine learning approach.

FIGURE 11. Comparison of the mean velocities and pressure with axis-symmetric stenosis on the plane of z = 0: (A) um by CFD, (B) um by DNN prediction, (C) vm by CFD, (D) vm by DNN prediction, (E) cp,m by CFD, (F) cp,m by DNN prediction.

FIGURE 12. Comparison of the mean velocities and pressure along the streamwise direction measured on two lines in the 3D axis-symmetric case: (A) um at z = 0 and y = 0.2D, (B) um at z = 0 and y = 0.8D, (C) vm at z = 0 and y = 0.2D, (D) vm at z = 0 and y = 0.8D, (E) cp,m at z = 0 and y = 0.2D, and (F) cp,m at z = 0 and y = 0.8D.
3D flow prediction in asymmetric artery
The 3D flow in axis-symmetric artery presented in the last section shows that the present method has good ability to predict the flow properties in such stenosed arteries. However, the real stenosed arteries are generally not symmetric, and thus the simplified axis-symmetric model may not be applicable. Here, to clarify the ability of the present method in predicting flow properties in more practical stenosed arteries, we use the combination of Eq. 1 and a normal distribution function to describe the radius along the circumferential direction at the stenosed section. Therefore, the stenosis with complex and asymmetric shape can be represented. An example is shown in Figure 13 to illustrate the asymmetric stenosed arteries generated by this model.
As asymmetric arteries are considered, the established 2D CNN is not applicable. Here, a 3D CNN is further built to extract the stenosis features. The input of the 3D CNN is a 3D image with a dimension of 61 × 61 × 61, i.e., the resolution is 0.02D, which is generated by filling the pixels crossed by the stenosis as one with the rest as zero. The coordinates of 400 points evenly distributed on the stenosis surface are used as the output of the 3D CNN, with the mean-square-error as the loss function. ReLU and the hyperbolic tangent functions are used as the activation functions for the convolutional and fully connected layers, respectively. 800 examples are used as the training data with another 200 as the validation data. More details of the 3D CNN are shown in Table 2. Three numbers of the extracted features are tested, i.e., 8, 16 and 32, as an appropriate number of the stenosis feature can well represent the stenosis and improve the learning efficiency of the DNN. The histories of loss and mean absolute error versus epoch are shown in Figure 14. It is clear that all three networks show similar learning histories and good convergence, and the increase of features from 8 to 32 does not improve the accuracy. Therefore, 8 features are adopted for the further DNN training. An example to compare the predicted (by using 8 features) and original coordinates of 3D asymmetric stenosis is shown in Figure 15. It shows that the 3D CNN model predicts the coordinates well and thus has the ability to extract the features from complex stenosed arteries.

FIGURE 14. Histories of loss and mean absolute error in the shape construction of the 3D CNN: (A) loss, and (B) mean absolute error.
After the features of the stenosis are successfully extracted by the established 3D CNN, the DNN model built in the last section is adopted for the 3D asymmetric flow prediction. Similarly, 120 CFD simulations are conducted to obtain the training dataset, with 20 of them serving as the validation data. The histories of loss and mean absolute error are shown in Figure 16. It is found that the DNN converges after around 150 epochs, the mean absolute error (MAE) is less than 1%, which is much lower than the best value (6.2%) achieved by Liang et al. (2020) considering flow in human thoracic aorta. An example of the mean velocities and pressure fields obtained by the DNN and CFD simulation are shown in Figure 17. It is clear that the DNN gives an excellent prediction compared with the high fidelity CFD simulation in a significantly less expensive way. Almost all flow details such as the velocities and pressure change can be accurately captured.

FIGURE 16. Histories of loss and mean absolute error of the DNN for asymmetric stenosis: (A) loss, and (B) mean absolute error.

FIGURE 17. Comparison of the mean velocities and pressure with asymmetric stenosis on the plane of z = 0: (A) um by CFD, (B) um by DNN prediction, (C) vm by CFD, (D) vm by DNN prediction, (E) wm by CFD, (F) wm by DNN prediction, (G) cp,m by CFD, (H) cp,m by DNN prediction.
The 2D and 3D stenosed arteries are considered, and the present results show that the combination of CNN for extracting stenosis features and the fully connected DNN for the prediction of blood flows works well in capturing the flow details in stenosed arteries. The success of this combination can be attributed to the versatility of CNN in extracting features of complex images (Badrinarayanan et al., 2017), which can be easily extended to arbitrarily complex stenosis once the required dataset is obtained. The computation time by using full CFD simulation and the DNN to predict the blood flow is further presented in Table 3 for comparison. It shows that the blood flow in stenosed arteries can be obtained in a few seconds for 2D and about 1 minute for 3D after the model is trained. The prediction time is in seconds excluding the time of initializing and file I/O, and it is comparable to that of other similar methods e.g., Ref. (Liang et al., 2020). In some medical applications, we only need to reconstruct the wall shear stress or the pressure drop due to the stenosis, which requires even less computational time. Therefore, the trained DNN method is significantly more efficient than the CFD simulation, and may have a great potential in clinic applications. It should be noted that more training sets may be required when more factors are included. Specifically, if the stenosis length is varied, the training set will not increase and the data size increases linearly. If the inlet velocity is varied, the training dataset will increase linearly and each data will be the same size. Therefore, the training dataset will increase linearly when we include two or more factors. New datasets may be required for cases with different topologies.
Conclusion
This paper has introduced a fast prediction method of blood flow in stenosed arteries with a hybrid framework of machine learning and IB–LBM which incorporates the immersed boundary method, the MRT LBM and the DNN, and takes advantages of their strengths. Several validation cases have been conducted by training and testing a DNN for the fast flow prediction in stenosed arteries with the CFD generated data. The results show that the DNN can predict the mean flow fields accurately with the results being available within about 1 minute, which is improved at least 1,000 times compared with direct numerical simulation. In addition to parametrise the stenosis by using an analytical polynomial, a 2D and a 3D CNNs are constructed to extract the stenosis features from 2D and 3D images, respectively. The results show that the CNN has a good performance in representing the stenosis and can be straightforwardly extended to arbitrarily complex stenosis, as demonstrated by the 3D asymmetric stenosis. Although the stenosis is generated by an analytical model in this work, the versatility of the CNN makes it applicable to patient-specific geometries that can be modelled with more parameters.
This work has successfully demonstrated the superiority to use machine learning and CFD based data for the fast prediction of mean flow fields in complex stenosed arteries. The future work will be focused on more realistic problems to include the non-Newtonian fluid, the pulsatile flow and more complex stenosis to obtain a more versatile DNN model.
Data availability statement
The raw data supporting the conclusions of this article will be made available by the authors, without undue reservation.
Author contributions
LW has made contributions to the conception of the work, methodology, software development, data analysis, and writing of the work. DD has made contributions to methodology and revising of the work. F-BT has made contributions to the conception of the work, methodology, and revising of the work.
Funding
This work was supported by the Australian Research Council (project numbers DE160101098 and DP190101566), and conducted with the assistance of resources from the National Computational Infrastructure (NCI), which is supported by the Australian Government.
Conflict of interest
The authors declare that the research was conducted in the absence of any commercial or financial relationships that could be construed as a potential conflict of interest.
Publisher’s note
All claims expressed in this article are solely those of the authors and do not necessarily represent those of their affiliated organizations, or those of the publisher, the editors and the reviewers. Any product that may be evaluated in this article, or claim that may be made by its manufacturer, is not guaranteed or endorsed by the publisher.
References
Abadi M., Agarwal A., Barham P., Brevdo E., Chen Z., Citro C., et al. (2015). TensorFlow: Large-scale machine learning on heterogeneous systems. [Dataset]. Software available from tensorflow.org.
Abuouf Y., Ookawara S., Ahmed M. (2020). Analysis of the effect of guidewire position on stenosis diagnosis using computational fluid dynamics. Comput. Biol. Med. 121, 103777. doi:10.1016/j.compbiomed.2020.103777
Arzani A., Wang J.-X., D’Souza R. M. (2021). Uncovering near-wall blood flow from sparse data with physics-informed neural networks. Phys. Fluids 33, 071905. doi:10.1063/5.0055600
Badrinarayanan V., Kendall A., Cipolla R. (2017). Segnet: A deep convolutional encoder-decoder architecture for image segmentation. IEEE Trans. Pattern Anal. Mach. Intell. 39, 2481–2495. doi:10.1109/TPAMI.2016.2644615
Bukka S. R., Gupta R., Magee A. R., Jaiman R. K. (2021). Assessment of unsteady flow predictions using hybrid deep learning based reduced-order models. Phys. Fluids 33, 013601. doi:10.1063/5.0030137
Coenen A., Kim Y.-H., Kruk M., Tesche C., De Geer J., Kurata A., et al. (2018). Diagnostic accuracy of a machine-learning approach to coronary computed tomographic angiography–based fractional flow reserve: result from the machine consortium. Circ. Cardiovasc. Imaging 11, e007217. doi:10.1161/CIRCIMAGING.117.007217
Goldstein D., Handler R., Sirovich L. (1993). Modeling a no-slip flow boundary with an external force field. J. Comput. Phys. 105, 354–366. doi:10.1006/jcph.1993.1081
Guibert R., Mcleod K., Caiazzo A., Mansi T., Fernández M. A., Sermesant M., et al. (2014). Group-wise construction of reduced models for understanding and characterization of pulmonary blood flows from medical images. Med. Image Anal. 18, 63–82. doi:10.1016/j.media.2013.09.003
Guo Z., Zheng C. (2008). Analysis of lattice Boltzmann equation for microscale gas flows: relaxation times, boundary conditions and the knudsen layer. Int. J. Comput. Fluid Dyn. 22, 465–473. doi:10.1080/10618560802253100
Guo Z., Zheng C., Shi B. (2002). Non-equilibrium extrapolation method for velocity and pressure boundary conditions in the lattice Boltzmann method. Chin. Phys. 11, 366–374. doi:10.1088/1009-1963/11/4/310
Habibi M., Dawson S., Arzani A. (2020). Data-driven pulsatile blood flow physics with dynamic mode decomposition. Fluids 5, 111. doi:10.3390/fluids5030111
Hasegawa K., Fukami K., Murata T., Fukagata K. (2020). Machine-learning-based reduced-order modeling for unsteady flows around bluff bodies of various shapes. Theor. Comput. Fluid Dyn. 34, 367–383. doi:10.1007/s00162-020-00528-w
He X., Luo L.-S. (1997). Theory of the lattice Boltzmann method: From the Boltzmann equation to the lattice Boltzmann equation. Phys. Rev. E 56, 6811–6817. doi:10.1103/physreve.56.6811
Huang W.-X., Tian F.-B. (2019). Recent trends and progress in the immersed boundary method. Proc. Inst. Mech. Eng. Part C J. Mech. Eng. Sci. 233, 7617–7636. doi:10.1177/0954406219842606
Huang Q., Tian F.-B., Young J., Lai J. C. (2020). “A diffused interface immersed boundary–lattice Boltzmann method for simulation of channel flow,” in 22nd Australasian Fluid Mechanics Conference (The University of Queensland).
Huang Q., Tian F.-B., Young J., Lai J. C. (2021). Transition to chaos in a two-sided collapsible channel flow. J. Fluid Mech. 926, A15. doi:10.1017/jfm.2021.710
Husso M., Afara I., Nissi M., Kuivanen A., Halonen P., Tarkia M., et al. (2021). Quantification of myocardial blood flow by machine learning analysis of modified dual bolus MRI examination. Ann. Biomed. Eng. 49, 653–662. doi:10.1007/s10439-020-02591-0
Jin X., Cheng P., Chen W.-L., Li H. (2018). Prediction model of velocity field around circular cylinder over various reynolds numbers by fusion convolutional neural networks based on pressure on the cylinder. Phys. Fluids 30, 047105. doi:10.1063/1.5024595
Kim Y., Peskin C. S. (2007). Penalty immersed boundary method for an elastic boundary with mass. Phys. Fluids 19, 053103. doi:10.1063/1.2734674
Kissas G., Yang Y., Hwuang E., Witschey W. R., Detre J. A., Perdikaris P. (2020). Machine learning in cardiovascular flows modeling: Predicting arterial blood pressure from non-invasive 4D flow MRI data using physics-informed neural networks. Comput. Methods Appl. Mech. Eng. 358, 112623. doi:10.1016/j.cma.2019.112623
Köhler U., Marshall I., Robertson M. B., Long Q., Xu X. Y., Hoskins P. R. (2001). Mri measurement of wall shear stress vectors in bifurcation models and comparison with cfd predictions. J. Magn. Reson. Imaging. 14, 563–573. doi:10.1002/jmri.1220
Lee S., You D. (2019). Data-driven prediction of unsteady flow over a circular cylinder using deep learning. J. Fluid Mech. 879, 217–254. doi:10.1017/jfm.2019.700
Lee Y. W., Choi J. W., Shin E.-H. (2020). Machine learning model for predicting malaria using clinical information. Comput. Biol. Med. 129, 104151. doi:10.1016/j.compbiomed.2020.104151
Liang L., Mao W., Sun W. (2020). A feasibility study of deep learning for predicting hemodynamics of human thoracic aorta. J. Biomech. 99, 109544. doi:10.1016/j.jbiomech.2019.109544
Ma J., Wang Z., Young J., Lai J. C., Sui Y., Tian F.-B. (2020). An immersed boundary-lattice Boltzmann method for fluid-structure interaction problems involving viscoelastic fluids and complex geometries. J. Comput. Phys. 415, 109487. doi:10.1016/j.jcp.2020.109487
Mao X., Joshi V., Miyanawala T. P., Jaiman R. K. (2018). “Data-driven computing with convolutional neural networks for two-phase flows: Application to wave-structure interaction,” in Proceedings of the International Conference on Offshore Mechanics and Arctic Engineering – OMAE.
Mittal R., Iaccarino G. (2005). Immersed boundary method. Annu. Rev. Fluid Mech. 37, 239–261. doi:10.1146/annurev.fluid.37.061903.175743
Peng Y., Shu C., Chew Y.-T., Niu X., Lu X.-Y. (2006). Application of multi-block approach in the immersed boundary–lattice Boltzmann method for viscous fluid flows. J. Comput. Phys. 218, 460–478. doi:10.1016/j.jcp.2006.02.017
Peskin C. S. (2002). The immersed boundary method. Acta Numer. 11, 479–517. doi:10.1017/s0962492902000077
Ren Z., Dong D., Chen C., Li H., Ren Z., Dong D., et al. (2018). Self-paced prioritized curriculum learning with coverage penalty in deep reinforcement learning. IEEE Trans. Neural Netw. Learn. Syst. 29, 2216–2226. doi:10.1109/TNNLS.2018.2790981
Saxena A., Ng E. Y. K., Lim S. T. (2019). Imaging modalities to diagnose carotid artery stenosis: progress and prospect. Biomed. Eng. Online 18, 66–23. doi:10.1186/s12938-019-0685-7
Sekar V., Jiang Q., Shu C., Khoo B. C. (2019). Fast flow field prediction over airfoils using deep learning approach. Phys. Fluids 31, 057103. doi:10.1063/1.5094943
Sun X., Cao W., Liu Y., Zhu L., Zhang W. (2022). High reynolds number airfoil turbulence modeling method based on machine learning technique. Comput. Fluids 236, 105298. doi:10.1016/j.compfluid.2021.105298
Tang C., Zhu L., Akingba G., Lu X.-Y. (2015). Viscous flow past a collapsible channel as a model for self-excited oscillation of blood vessels. J. Biomech. 48, 1922–1929. doi:10.1016/j.jbiomech.2015.04.011
Tian F.-B., Luo H., Zhu L., Liao J. C., Lu X.-Y. (2011). An efficient immersed boundary-lattice Boltzmann method for the hydrodynamic interaction of elastic filaments. J. Comput. Phys. 230, 7266–7283. doi:10.1016/j.jcp.2011.05.028
Tian F., Lu X., Luo H. (2012). Onset of instability of a flag in uniform flow. Theor. Appl. Mech. Lett. 2, 022005. doi:10.1063/2.1202205
Tian F.-B., Zhu L., Fok P.-W., Lu X.-Y. (2013). Simulation of a pulsatile non-newtonian flow past a stenosed 2d artery with atherosclerosis. Comput. Biol. Med. 43, 1098–1113. doi:10.1016/j.compbiomed.2013.05.023
Tu C., Deville M., Dheur L., Vanderschuren L. (1992). Finite element simulation of pulsatile flow through arterial stenosis. J. Biomech. 25, 1141–1152. doi:10.1016/0021-9290(92)90070-h
Varghese S. S., Frankel S. H., Fischer P. F. (2007a). Direct numerical simulation of stenotic flows. part 1. steady flow. J. Fluid Mech. 582, 253–280. doi:10.1017/s0022112007005848
Varghese S. S., Frankel S. H., Fischer P. F. (2007b). Direct numerical simulation of stenotic flows. part 2. pulsatile flow. J. Fluid Mech. 582, 281–318. doi:10.1017/s0022112007005836
Wang L., Tian F.-B. (2018). Heat transfer in non-Newtonian flows by a hybrid immersed boundary–lattice Boltzmann and finite difference method. Appl. Sci. 8, 559. doi:10.3390/app8040559
Wang L., Tian F.-B. (2019). Numerical simulation of flow over a parallel cantilevered flag in the vicinity of a rigid wall. Phys. Rev. E 99, 053111. doi:10.1103/PhysRevE.99.053111
Wang Z., Luo K., Li D., Tan J., Fan J. (2018). Investigations of data-driven closure for subgrid-scale stress in large-eddy simulation. Phys. Fluids 30, 125101. doi:10.1063/1.5054835
Wang D., Luo X., Stewart P. (2021). Energetics of collapsible channel flow with a nonlinear fluid-beam model. J. Fluid Mech. 926, A2. doi:10.1017/jfm.2021.642
Wang L., Liu Z., Rajamuni M. (2022). Recent progress of lattice Boltzmann method and its applications in fluid-structure interaction. Proc. Institution Mech. Eng. Part C J. Mech. Eng. Sci.. in press, 095440622210775. doi:10.1177/09544062221077583
Wang L., Sun X., Bu T., Wang Q., Zhang H., Jia P., et al. (2021). Construction of a photothermal hydrogel platform with two-dimensional PEG@zirconium-ferrocene MOF nanozymes for rapid tissue repair of bacteria-infected wounds. Acta Biomater. 235, 342–355. doi:10.1016/j.actbio.2021.08.022
World Health Organization (2014). Global status report on noncommunicable diseases 2014. Geneva: World Health Organization. WHO/NMH/NVI/15.1.
Xu L., Tian F.-B., Young J., Lai J. C. (2018). A novel geometry-adaptive cartesian grid based immersed boundary–lattice Boltzmann method for fluid–structure interactions at moderate and high Reynolds numbers. J. Comput. Phys. 375, 22–56. doi:10.1016/j.jcp.2018.08.024
Xu L., Wang L., Tian F.-B., Young J., Lai J. C. (2019). “A geometry-adaptive immersed boundary–lattice Boltzmann method for modelling fluid–structure interaction problems,” in IUTAM symposium on recent advances in moving boundary problems in mechanics (Springer), 161–171.
Yang Z., Olszewski D., He C., Pintea G., Lian J., Chou T., et al. (2020). Machine learning and statistical prediction of patient quality-of-life after prostate radiation therapy. Comput. Biol. Med. 129, 104127. doi:10.1016/j.compbiomed.2020.104127
Zhu L., Zhang W., Kou J., Liu Y. (2019). Machine learning methods for turbulence modeling in subsonic flows around airfoils. Phys. Fluids 31, 015105. doi:10.1063/1.5061693
Zhu Y., Tian F.-B., Young J., Liao J. C., Lai J. C. (2021). A numerical study of fish adaption behaviors in complex environments with a deep reinforcement learning and immersed boundary–lattice Boltzmann method. Sci. Rep. 11, 1691. doi:10.1038/s41598-021-81124-8
Keywords: stenosis, immersed boundary-lattice Boltzmann method, machine learning, deep neural network, convolutional neural network
Citation: Wang L, Dong D and Tian F-B (2022) Fast prediction of blood flow in stenosed arteries using machine learning and immersed boundary-lattice Boltzmann method. Front. Physiol. 13:953702. doi: 10.3389/fphys.2022.953702
Received: 26 May 2022; Accepted: 25 July 2022;
Published: 26 August 2022.
Edited by:
Jung Hee Seo, Johns Hopkins University, United StatesReviewed by:
Huseyin Enes Salman, TOBB University of Economics and Technology, TurkeyYang Liu, Hong Kong Polytechnic University, Hong Kong SAR, China
Copyright © 2022 Wang, Dong and Tian. This is an open-access article distributed under the terms of the Creative Commons Attribution License (CC BY). The use, distribution or reproduction in other forums is permitted, provided the original author(s) and the copyright owner(s) are credited and that the original publication in this journal is cited, in accordance with accepted academic practice. No use, distribution or reproduction is permitted which does not comply with these terms.
*Correspondence: Fang-Bao Tian, Zi50aWFuQGFkZmEuZWR1LmF1