- 1School of Agriculture, Food and Ecosystem Sciences (SAFES), The University of Melbourne, Melbourne, VIC, Australia
- 2Herd Health Pty Ltd, Maffra, VIC, Australia
- 3Statistical Consulting Centre, The University of Melbourne, Melbourne, VIC, Australia
Introduction: Enteric methane (CH4) emissions from ruminant livestock production systems pose a significant challenge to efforts to mitigate global climate change. The novel feed additive 3-nitrooxypropanol (3-NOP) has the capacity to inhibit rumen methanogenesis and significantly reduce the volume of enteric CH4 emissions produced by livestock systems. However, heterogeneity in CH4 mitigation from 3-NOP supplementation prevents livestock producers from determining the actual impact of supplementation on CH4 emissions. This meta-analysis aimed to understand the variables responsible for the heterogeneity in CH4 mitigation from 3-NOP supplementation in confinement-fed beef and dairy cattle.
Methods: Using 30 in vivo studies (83 treatments) that continuously supplemented 3-NOP at a range of doses from 40mg to 338mg dose (mg 3-NOP/kg dry matter intake; DMI), a mixed-effects multistep regression examined the impact of 3-NOP supplementation on CH4 yield.
Results: On average, 3-NOP supplementation reduced CH4 yield by 25.9% in beef cattle and 26.4% in dairy cattle, at the recommended dose of 60mg 3-NOP/kg DMI. Results showed that the anti-methanogenic potential of 3-NOP was influenced by 3-NOP dose (mg 3-NOP/kg DMI) and DMI kg/head-1/day-1.
Discussion: Although studies showed a strong positive relationship between 3-NOP dose and CH4 emissions (P <0.0001), DMI was observed to have a greater influence of CH4 abatement than 3-NOP dose. This suggests that the volume and timing of CH4 production influences the availability of 3-NOP in the rumen during methanogenesis more than 3-NOP dose itself. This paper uses this understanding to develop equations that can estimate future CH4 abatement in real farm systems, allowing producers the capacity to quantify the impact of 3-NOP on their greenhouse gas emissions and receive recognition for avoided CH4 emissions. However, these equations are highly influenced by DMI and are only suitable for confinement-fed systems that consume an equal or greater volume of ration and are not a substitute for measuring CH4 emissions, which would provide producers with the actual volume of CH4 emissions avoided.
1 Introduction
In response to the growing climate crisis, ruminant livestock producers are under pressure to reduce their greenhouse gas emissions (GHGe) (3). Enteric methane (CH4) emissions contribute 6% of all anthropogenic GHGe (Ripple et al., 2014; Beauchemin et al., 2020), and also consume 2%–12% of ruminants’ gross energy intake, reducing the efficiency of livestock production (Johnson and Johnson, 1995). Inhibiting or reducing the volume of CH4 produced by ruminants would lessen the livestock industry’s contribution to climate change while increasing livestock productivity. Until recently, livestock system managers had few options to reduce emissions without reducing animal numbers, risking increased global emissions through leakage (Henderson and Verma, 2021). Currently, livestock systems can improve animal productivity and health, utilize genetic selection, incorporate legumes into pastures, and enhance the digestibility of diets (Black et al., 2021; Arndt et al., 2022) to achieve modest but cumulative reductions in GHGe. However, due to the potency and volume of CH4 produced by ruminants, these methods alone are insufficient to achieve the reductions in emissions required to limit global warming to 1.5°C (United Nations framework convention on climate change, 2015; Global Methane Pledge, 2021). Meeting emission reduction targets and industry supply chain commitments (Doran-Browne et al., 2018) requires safe, affordable, novel technologies capable of inhibiting or reducing the production of enteric CH4.
The feed additive 3-Nitrooxypropanol (Bovaer®; 3-NOP) is one such novel supplement. This additive can achieve reductions in enteric CH4 emissions of up to 88.8% (Almeida et al., 2023) in confinement-fed bovines. More than 90 peer-reviewed studies, including six meta-analyses (Dijkstra et al., 2018; Jayanegara et al., 2018; Kim et al., 2020; Kebreab et al., 2023; Martins et al., 2024; Orzuna-Orzuna et al., 2024) have consistently demonstrated reductions in enteric CH4 volume (g CH4/head-1/day-1) and yield (g CH4/kg dry matter intake [DMI]) of confinement-fed bovines, regardless of ration composition, production system, or animal type. The impact of inhibiting methanogenesis on ruminants and rumen function has been comprehensively summarized by existing meta-analyses. The most significant change occurs due to the increased volume of hydrogen gas (H2) in the rumen, which alters the volume and composition of volatile fatty acids and reduces rumen pH (Jayanegara et al., 2018; Kim et al., 2020; Yu et al., 2021; Martins et al., 2024; Orzuna-Orzuna et al., 2024; Pepeta et al., 2024). Studies also observed reductions in the populations of methanogenic archaea (Jayanegara et al., 2018; Yu et al., 2021), and bacteria responsible for producing volatile fatty acids (Kim et al., 2020; Orzuna-Orzuna et al., 2024). These changes were temporary, as 3-NOP is rapidly metabolized after consumption (Thiel et al., 2019), and excreted primarily through eructation and urine (Duin et al., 2016).
3-NOP has no mutagenic or genotoxic potential (Thiel et al., 2019) and has been approved by the Panel on Additives and Products or Substances used in Animal Feed (FEEDAP et al., 2021) at a recommended dose of 60 mg/kg DMI. Although 3-NOP is commercially available in Japan, Australia, the European Union, and the United States, it is only suitable for confinement-fed systems that can ensure 3-NOP is continuously consumed (Shephard et al., 2024), and only accessible to systems that can afford the cost of an additional input. While slow-release formulations (Muetzel et al., 2019) can reduce barriers to adoption in grazing systems, the cost of 3-NOP will likely remain prohibitive for many producers unless financial incentives are available to mitigate the ongoing expense. Financial incentives for reducing GHGe, however, would require producers to know the impact of supplementation on the volume of CH4 emissions avoided to receive compensation. This is difficult to achieve without directly measuring CH4 emissions and is complicated by the significant and unexplained heterogeneity in CH4 abatement observed in in vivo confinement-fed beef and dairy studies of 3-NOP.
Existing meta-analyses (Dijkstra et al., 2018; Jayanegara et al., 2018; Kim et al., 2020; Kebreab et al., 2023; Martins et al., 2024; Orzuna-Orzuna et al., 2024) have worked to identify this heterogeneity, understand its causes, and quantify the impact of 3-NOP supplementation on GHGe (Dijkstra et al., 2018; Kebreab et al., 2023). To date, dietary variables—neutral detergent fiber (NDF), crude fat, and starch—have been identified as capable of modifying the CH4 abatement achieved through 3-NOP supplementation. Identifying these dietary variables offers valuable insights into drivers of heterogeneity, but the underlying mechanisms influencing CH4 abatement remain unclear, as exploring them was beyond the scope of those studies. Existing meta-analyses also largely focused on studies of dairy cattle, which are more homogeneous and contain less diversity in ration composition and 3-NOP dose than beef cattle studies, and included studies where 3-NOP was pulse fed. Pulse-fed treatments used methods of delivery that prevented 3-NOP from being consistently consumed. This includes studies that used a rumen fistula (Reynolds et al., 2014), pellets (Kim et al., 2019; Van Wesemael et al., 2019), and grazing systems (Muetzel et al., 2019; Costigan et al., 2024; Muñoz et al., 2024).These limitations make it challenging to partition CH4 abatement effects into direct (i.e., 3-NOP dose) and indirect (i.e., diet composition) pathways and to understand the impact of 3-NOP on CH4 in previous meta-analyses. Consequently, farmers still lack clear answers about the impact of 3-NOP supplementation on enteric CH4 emissions in real livestock systems.
The dietary variables identified as capable of moderating the efficacy of 3-NOP are already known to influence CH4 production in ruminants (Johnson and Johnson, 1995). They affect both the volume of feed consumed and the duration of time feed spends in the rumen, producing enteric CH4. This suggests that the causes of heterogeneity in CH4 production may also influence heterogeneity in CH4 abatement from 3-NOP supplementation. This study hypothesizes that the main cause of heterogeneity is not related to 3-NOP dose but to indirect dietary variables that influence the volume and rate of CH4 produced per unit of intake, determining the availability of 3-NOP in the rumen during methanogenesis. Using previously identified dietary variables and applying basic principles of ruminant digestive function, we sought to further identify potential causes of heterogeneity, quantify their direct and indirect effects on 3-NOP abatement of CH4, and explain their influence on efficacy within the limitations of meta-analysis. Focusing on the rumen level allows this meta-analysis to utilize in vivo studies on beef and dairy cattle, increasing the diversity of systems and values present in the analysis. This provided further insight into the impact of differences in confinement-fed beef and dairy systems—such as 3-NOP dose, diet composition, and DMI—on the CH4 abatement of 3-NOP. This study addresses a significant gap that has not previously been explored, partitioning the impact of 3-NOP dose from modifiers and using an understanding of the rumen to inform the impact 3-NOP may have on livestock system GHGe in practice.
2 Methods
This meta-analysis used only published peer-reviewed articles capable of providing insight into the impact of supplementation with the novel feed additive 3-NOP on the production of enteric CH4 in adult ruminants.
2.1 Literature screening
The PRISMA protocol (Moher et al., 2010) was used to identify, screen, and assess the eligibility of peer-reviewed articles. Literature searches were conducted through the online citation databases SCOPUS (Elsevier, scopus.com), Web of Science (Thomson Reuters Science, webofknowledge.com), and EBSCO Information Services (research.ebsco.com), using the search terms: ((3nop) OR (3-nitrooxypropanol) OR (3-nop)) AND ((CH4) OR (methane)). Developed using the Population, Intervention, Comparison, and Outcome (PICO) research strategy (Santos et al., 2007), search terms sought to identify studies that documented the impact of 3-NOP supplementation on CH4e in ruminants. The literature search identified 93 novel peer-reviewed articles that met the PICO characteristics and were assessed for eligibility. For inclusion in the meta-analysis, studies were required to (1) report novel in vivo experiments, (2) observe bovine ruminants, and (3) measure enteric CH4 emissions. Excluded studies contained one or more of the following characteristics: (1) did not report the composition of the ruminant diet, (2) were unpublished or unavailable, (3) did not study adult bovines, (4) did not report a measure of variability or sufficient data to calculate one, and (5) pulse fed 3-NOP i.e. pellets. No restrictions were placed on language or year of publication, as no studies in languages other than English and no articles published before 2014 were identified. In total, 63 articles were excluded from the meta-analysis after screening (Supplementary Figure 1). Data from the remaining 30 articles were extracted and comprised the database for this meta-analysis (Table 1; Supplementary Table 1).

Table 1. Descriptive statistics for dietary composition and methane (CH4) emissions (yield and volume) for all cattle treatments included in this meta-analysis: beef and dairy combined (n=83), beef (n = 39), and dairy (n = 44).
2.2 Identification of variables
The rate of 3-NOP consumption and the composition of ruminant diets have consistently been identified as causes of heterogeneity (Martínez-Fernández et al., 2014; Vyas et al., 2016a; Dijkstra et al., 2018; Melgar et al., 2020b; van Gastelen et al., 2022; Kebreab et al., 2023; Ma et al., 2024b; Martins et al., 2024; Pedrini et al., 2024; Van Gastelen et al., 2024). However, considerable heterogeneity between studies supplemented with the same dose and diet (Supplementary Table 1) strongly suggests that additional causes of heterogeneity in CH4 abatement remain unidentified. Furthermore, the mechanism by which variables influence CH4 production in ruminants has yet to be established, which presents a challenge when partitioning the effect of 3-NOP dose on CH4 abatement. A directed acyclic graph (DAG) (Textor et al., 2017), depicting known environmental and dietary variables responsible for heterogeneity in CH4 production, was constructed to aid in the identification of the minimum set of variables to include in the analysis (alongside 3-NOP rate), as a means of controlling heterogeneity in estimates of 3-NOP efficacy across studies (Figure 1). The DAG (or causal map) focused on DMI, the largest determinant of CH4 (Charmley et al., 2016), with other variables capable of influencing DMI, and thus CH4 mapped accordingly. Other known influences on CH4 production included dietary components (such as soluble starch) and their impact on overall ration composition.

Figure 1. Directed acyclic graph identifying (1) environmental variables that indirectly influence CH4 production (CH4/kg DMI) through their influence on dietary variables; (2) dietary variables that directly influence the volume and rate of CH4 produced; and (3) variables that directly influence digestion and thus the efficacy of 3-NOP (mg 3-NOP/kg DMI). It should be noted that the absence of an arrow between variables is a more definitive statement about the absence of a relationship than the inclusion of an arrow suggesting a relationship.
2.3 Database development
Data from 30 articles (83 treatments), including 13 beef cattle studies (Romero-Perez et al., 2015; Vyas et al., 2016b, a, 2018; Martinez-Fernandez et al., 2018; Kim et al., 2019; Alemu et al., 2021a, b, 2023; Almeida et al., 2021; Zhang et al., 2021; Araújo et al., 2023; Pedrini et al., 2024), and 17 dairy cattle studies (Haisan et al., 2014, 2017; Lopes et al., 2016; Van Wesemael et al., 2019; Melgar et al., 2020b, a, 2021; van Gastelen et al., 2020, 2022; Schilde et al., 2021; Garcia et al., 2022; Maigaard et al., 2024a, 2024b; Kjeldsen et al., 2024; Ma et al., 2024a, b; Van Gastelen et al., 2024) met the criteria for this meta-analysis (Supplementary Table 1). Studies from Canada, Spain, the United States, Australia, Belgium, the Netherlands, Germany, Argentina, Brazil, Switzerland, and Denmark supplemented 3-NOP at a rate ranging from 40 mg/kg DMI (Melgar et al., 2020b) to 338mg 3-NOP/kg DMI (Martinez-Fernandez et al., 2018) for a minimum duration of 14 days (Lopes et al., 2016). CH4 emissions were measured using GreenFeed systems (45 treatments), respiration chambers (34 treatments), or the sulfur hexafluoride tracer gas technique (5 treatments) and were reported as CH4 yield (g CH4/kg DMI), and CH4 volume (g CH4/head-1/dayStudies formed two subgroups for analysis: beef cattle (13 studies; 39 treatments) and dairy cattle (17 studies; 44 treatments). We also analyzed all bovine studies combined (30 studies; 83 treatments).
The relative mean difference (RMD) of CH4 yield (g CH4/kg DMI), expressed as a percentage, was the outcome used for analysis. The RMD was calculated by dividing the mean difference between treatment and control values by the value of the control. The formula was therefore:
For studies where the average CH4 yield could not be calculated from the average CH4 volume (g CH4/head-1/day-1) and average DMI (kg/head-1/day-1) of the treatment, the last values measured were used for analysis.
2.4 Model development
The metafor package (version 4.2-0) in R (version 4.3.0) (Assink and Wibbelink, 2016), a mixed-effects meta-regression program, was used for analysis. The RMD (%) allowed all treatments to be meaningfully compared regardless of the volume of CH4 produced by control ruminants, which often varied significantly between studies, and the standard error of the mean (SEM) provided the approximate variance to weight studies (Supplementary Equation 1).
3-NOP rate was first included on its own without any additional explanatory variables for dairy cattle studies, beef cattle studies, and all bovine studies combined. This quantified the overall impact of 3-NOP consumption on RMD before all hypothesized explanatory variables were subsequently included. Explanatory variables identified by the DAG (Figure 1) were included using a multiple stepwise meta-regression. Variables were removed first in a backward stepwise manner and then added in a forward stepwise manner, ensuring that all remaining predictors were statistically significant (P<0.05).
3 Results and discussion
Across all studies, enteric CH4 was reduced by 3-NOP regardless of dose, animal type, and ration composition, providing further evidence of 3-NOP’s ability to inhibit enteric CH4 production. Studies showed a clear dose-related suppression response (P =<0.001), with greater abatement in CH4 observed at higher doses of 3-NOP (Figure 2). However, evidence suggested that other variables also significantly influenced reductions in CH4 emissions in addition to 3-NOP dose. This is demonstrated in Figure 2, where the dosage of 125mg 3-NOP/kg DMI showed the largest reduction in RMD, 88.8% (Almeida et al., 2023), also achieved reductions of 12.2% (Vyas et al., 2018), 36.7% (Haisan et al., 2014), 47.7% (Vyas et al., 2018) and 76.0% (Alemu et al., 2021b). This indicates that dose alone is not the sole determinant of CH4 reduction in ruminants supplemented with 3-NOP. While the different methods used to measure CH4 (i.e., respiration chambers, SF6 tracer, and GreenFeed) were suspected of contributing to heterogeneity, available evidence did not support this. Different methods yielded similar values (Ma et al., 2024b), suggesting that causes of heterogeneity primarily impact the volume of CH4 produced.

Figure 2. Relationship between 3-nitrooxypropanol (mg 3-NOP/kg DMI) and the relative mean difference (% RMD) in methane yield (g CH4/kg DMI) in beef and dairy cattle. Each point represents an individual treatment, with size proportional to the inverse of the square of the standard error of the mean (SEM). Studies with larger points therefore had a lower SEM and were weighted higher in the analysis than studies with smaller points.
We suspect that variables capable of directly influencing CH4 production in ruminants may also influence CH4 abatement from 3-NOP indirectly. The DAG (Figure 1) included variables that directly influence the volume and rate of CH4 produced (g CH4/head-1/day-1). This builds on previous research showing that variables influencing CH4 production also affect the efficacy of 3-NOP (Dijkstra et al., 2018; Kebreab et al., 2023). This analysis aims to identify new cause(s) of heterogeneity and improve understanding of the mechanism(s) by which variables influence the efficacy of 3-NOP. DMI (mean kg/d), NDF (% DM), and starch (% DM) were the dietary variables that directly influenced CH4 production by controlling the volume of feed consumed and the duration of time feed remained in the rumen. Each variable identified by the DAG was statistically significant (P =<0.0001) when analyzed individually with 3-NOP dose (P =<0.0001) in dairy studies, beef studies, and the combined dataset. However, starch (% DM) was not reported in all studies, and analysis therefore excluded nine studies (Vyas et al., 2016a; Haisan et al., 2017; Martinez-Fernandez et al., 2018; Kim et al., 2019; Melgar et al., 2020a; Alemu et al., 2021b; Garcia et al., 2022; Araújo et al., 2023) from the analysis of 3-NOP and starch.
Early meta-analyses combined beef and dairy studies (Dijkstra et al., 2018; Jayanegara et al., 2018), but as the number of 3-NOP publications increased, meta-analyses began focusing on beef (Orzuna-Orzuna et al., 2024) or dairy (Kebreab et al., 2023) cattle. Although beef and dairy cattle studies observed different outcomes from 3-NOP supplementation (Figures 2–4), the cause of heterogeneity was not attributed to animal type (P =0.8405) but rather the differences between beef and dairy systems, captured by treatments.

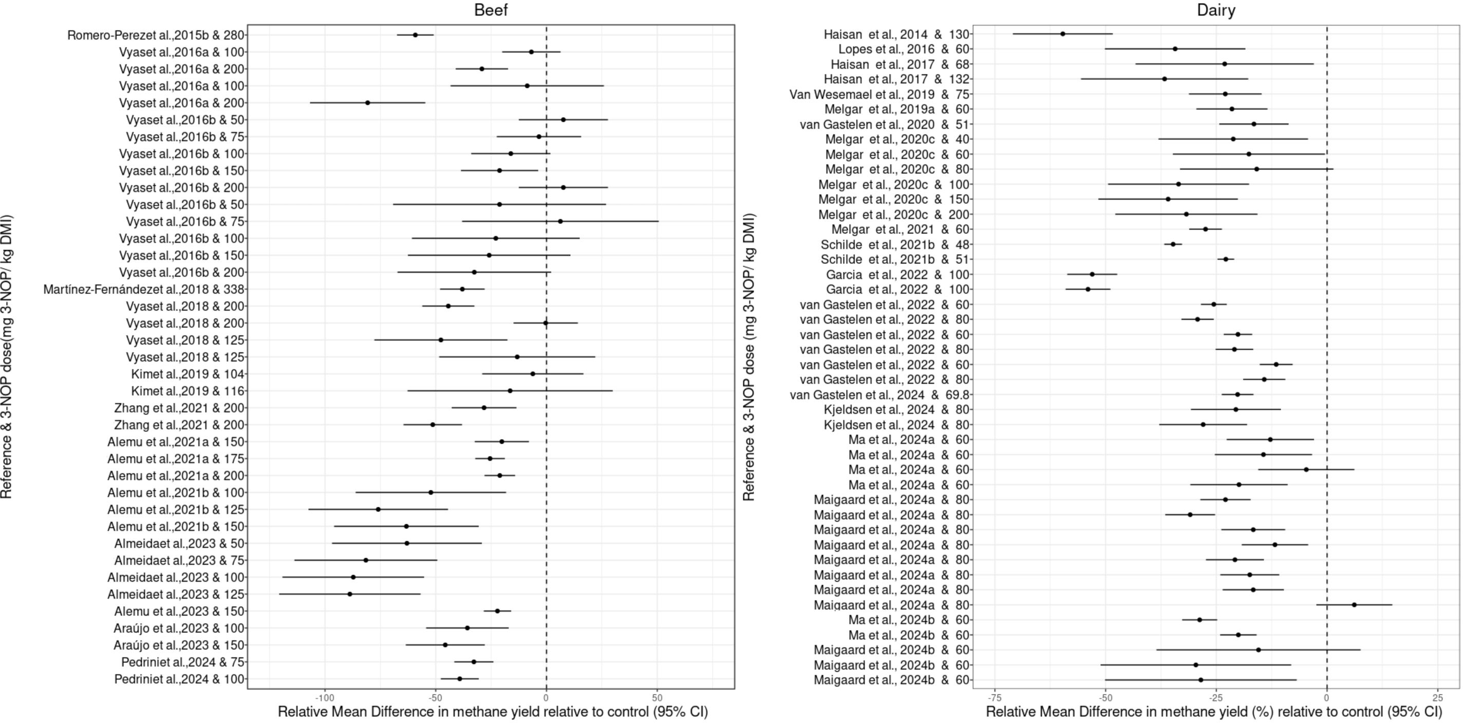
Figure 3. Relative mean difference in methane yield (g CH4/kg DMI) relative to control (95% CI) for beef and dairy cattle treatments.

Figure 4. Relationship between DMI (kg/head/day), 3-NOP dose (mg/kg DMI), and CH4 yield (RMD, %) in beef and dairy cattle included in this meta-analysis.
These differences—including 3-NOP dose (mg 3-NOP/kg DMI), ration composition (NDF, crude fat, starch), and DMI (kg/head-1/day-1), provide valuable insight into the cause(s) of heterogeneity. Combining dairy and beef cattle studies aided in further understanding the cause(s) and mechanism(s) that drive heterogeneity in ruminants. For example, beef cattle achieved higher reductions in CH4 yield (%) (Figure 2; Table 1), while dairy cattle obtained higher absolute reductions in CH4 emissions (g) (Table 1). With beef treatments receiving a higher mean dose of 3-NOP/kg DMI (140mg for beef cattle versus 77mg for dairy cattle; Table 1) and consuming a lower volume of DMI (8 kg/ head-1/day-1 for beef versus 21 kg/ head-1/day-1 for dairy; Table 1). The higher 3-NOP dose contributed to beef studies achieving greater relative reductions in CH4 emissions (%). Meanwhile, the high volume of feed consumed by dairy cattle resulted in larger reductions in total avoided emissions (g CH4). Due to dairy cattle producing a higher mean volume of CH4 (282g CH4/ head-1/day-1 compared to 98g CH4/head-1/day-1 for beef cattle; Table 1) and consuming a higher mean total dose of 3-NOP (1,623mg 3-NOP/ head-1/day-1) for dairy cattle and 1,208mg 3-NOP/ head-1/day-1 for beef cattle; Table 1). This suggests that CH4 abatement is not influenced by animal type but rather by 3-NOP dose and the volume of CH4 produced, which is determined by the volume of feed consumed and its composition (Charmley et al., 2016). The greater heterogeneity and variation observed in beef cattle studies (Figure 2; Table 1; Figure 3), which were significantly less homogeneous than their dairy counterparts, also supports the conclusion that heterogeneity is linked to production system rather than animal type. Diversity in ration composition, DMI, and 3-NOP dose (Table 1; Supplementary Table 1) in beef systems resulted in greater variability (Figure 3) and heterogeneity (Figure 2) than in dairy studies.
The multiple stepwise regression supports this observation. Only 3-NOP dose and DMI remained consistently significant (P =<0.05) during the stepwise regression when analyzed with other variables for beef, dairy, and the combined beef and dairy datasets. Using 3-NOP dose (mg 3-NOP/kg DMI), and DMI (kg/head-1/day-1), Equations 1-3 used the median values in studies as reference levels (Table 1) to estimate the predicted abatement in CH4 yield (% reduction) for beef, dairy, and beef and dairy cattle combined. Predicted 3-NOP-induced reductions in CH4 yield ranged from 24.9% (Equation 1) to 26.4% (Equation 3). Reductions in this range would avoid approximately 5g of CH4 from being released into the atmosphere for every kilogram of feed consumed- based on the average CH4 yield of 20.7g CH4/kg DMI (Charmley et al., 2016). While conservative, these values are within the range observed across the studies included in this meta-analysis (Figure 2). Increases in DMI (kg/head-1/day-1) and 3-NOP dose (mg/kg DMI) across all subgroups were positively correlated with increases in estimated reductions in CH4 yield (%).
Equation 1: Beef and dairy
Equation 2: Beef
Equation 3: Dairy
The average reductions across animal types were relatively consistent, but differences in DMI and 3-NOP dose produced different CH4 emissions for beef and dairy cattle. Beef cattle, which consumed a lower median volume of feed, were more sensitive to increases in DMI, with changes of 1 kg from 8kg/head-1/day-1, influencing reductions by ±8.8% per kilogram (Equation 2). Dairy cattle observed a comparatively more modest ±3.8% change in abatement for each kilogram of feed above 21kg/head-1/day-1 (Equation 3). Changes in 3-NOP dose, conversely, had a greater impact on dairy cattle. A 10 g change in 3-NOP dose resulted in a ±2.6% change in abatement in dairy cattle (Equation 3), compared with ±1.7% in beef cattle (Equation 2). While these equations can be used to estimate reductions in CH4 yield in confinement-fed bovines supplemented with 3-NOP, they are based on previously observed reductions and are not a definitive indication of future reductions. In addition to being a predictive tool, the application of these equations is limited to systems similar to those captured in existing studies: confinement-fed systems, where cattle consume a similar volume of DMI/head/day and receive the recommended dosage of 60 mg 3-NOP/kg DMI.
Previous meta-analyses that quantified the generalized anti-methanogenic effect of 3-NOP on CH4 yield focused heavily on dairy cattle. The most recent study reported a general reduction of 30.8% in dairy cattle (Kebreab et al., 2023), with NDF, crude fat and starch identified as modifiers of the general effect of 3-NOP (Dijkstra et al., 2018; Kebreab et al., 2023). These studies used a smaller number of articles and included treatments where 3-NOP was pulse fed.
Modeling has demonstrated that the pharmacokinetic effects of 3-NOP require the supplement to be continuously available in the rumen at CH4 suppressing concentrations to inhibit the production of enteric CH4 (Shephard et al., 2024). This cannot be achieved when 3-NOP is pulse fed because of its transient nature; delivery systems such as pellets are metabolized too rapidly to remain available in the rumen throughout the production of CH4 (Costigan et al., 2024; Muñoz et al., 2024; Shephard et al., 2024). Variation in 3-NOP delivery, combined with differences in ration composition, may have partly confounded the interaction between 3-NOP and other dietary variables. Many dietary variables, such as NDF and starch, influence CH4 production directly through the rate of digestion and indirectly through their capacity to influence the amount of feed consumed (Beckman and Weiss, 2005).
Regardless of animal type, dosage, ration composition, or production system, the evidence indicates that 3-NOP has significant capacity to effectively inhibit methanogenesis and reduce CH4 production in ruminants within the well-established range of doses. The novel inclusion of DMI, the exclusion of pulse-fed studies, and the combination of beef and dairy cattle studies in this analysis provided further insight into the causes and mechanisms that influence heterogeneity in CH4 abatement. This suggests that the efficacy of 3-NOP depends on its availability in the rumen during the production of CH4. While 3-NOP dose was a significant driver of availability, feed intake had a greater influence on availability and therefore efficiency (Equations 1-3). DMI determined both the volume of CH4 produced and the dose of 3-NOP consumed, which together controlled the concentration of 3-NOP in the rumen (Figure 4).
The dietary variables NDF and starch appeared to influence the heterogeneity of CH4 emissions indirectly by influencing the amount of feed consumed, and the rate it was digested (Charmley et al., 2016). This is the same mechanism through which these variables influence CH4 emissions across all ruminants. The greater sensitivity of all subgroups to changes in DMI rather than 3-NOP dose (Equations 1-3) further supports the conclusion that the key driver of CH4 production heterogeneity is primarily DMI. This limits the usefulness of Equations 1-3 to systems feeding bovines an equal or greater ration than those in the studies captured in this meta-analysis.
4 Conclusions
Analysis of all dairy and beef in vivo studies showed that the mechanisms responsible for heterogeneity in CH4 production in ruminants are also likely to produce heterogeneity in CH4 abatement when cattle are supplemented with 3-NOP. Previous observational studies suggested that the dietary variables NDF, starch, and crude protein influenced the efficacy of 3-NOP CH4 abatement. In our analysis, we included DMI—the largest determinant of CH4 production—and combined beef and dairy studies to create a larger, more diverse dataset. This eliminated the significance of all other dietary variables on CH4 abatement, suggesting that the common pathway through which most dietary variables influence CH4 abatement is their indirect effect on feed intake and, consequently, CH4 production.
Understanding the mechanisms that determine the efficacy of 3-NOP is important to maximize CH4 reductions, lower GHGe from livestock production, and minimize agriculture’s contribution to anthropogenic global warming. Equations 1-3 provide a method for producers to quantify GHGe avoided through 3-NOP supplementation in livestock systems, producing an average value based on existing studies. Further research should investigate how the relationship between DMI and 3-NOP can be optimized to increase CH4 abatement in the short term and inform the development of slow-release technologies for 3-NOP delivery.
Data availability statement
The original contributions presented in the study are included in the article/Supplementary Material. Further inquiries can be directed to the corresponding author.
Author contributions
AM: Data curation, Formal Analysis, Methodology, Writing – original draft, Writing – review & editing. RS: Formal Analysis, Methodology, Writing – original draft, Writing – review & editing. GH: Formal Analysis, Methodology, Writing – original draft, Writing – review & editing. RE: Conceptualization, Funding acquisition, Writing – original draft, Writing – review & editing.
Funding
The author(s) declare financial support was received for the research and/or publication of this article. This study was funded by Meat and Livestock Australia, The Australian Government Department of Climate Change, Energy, the Environment and Water.
Conflict of interest
Author RS was employed by the company Herd Health Pty Ltd.
The authors declare that this study received funding from Meat and Livestock Australia. The funder had the following involvement in the study: providing feedback during the early stages of analysis. They were not involved in the study design, collection, interpretation of data, the writing of this article, or the decision to submit it for publication.
Generative AI statement
The author(s) declare that no Generative AI was used in the creation of this manuscript.
Any alternative text (alt text) provided alongside figures in this article has been generated by Frontiers with the support of artificial intelligence and reasonable efforts have been made to ensure accuracy, including review by the authors wherever possible. If you identify any issues, please contact us.
Publisher’s note
All claims expressed in this article are solely those of the authors and do not necessarily represent those of their affiliated organizations, or those of the publisher, the editors and the reviewers. Any product that may be evaluated in this article, or claim that may be made by its manufacturer, is not guaranteed or endorsed by the publisher.
Supplementary material
The Supplementary Material for this article can be found online at: https://www.frontiersin.org/articles/10.3389/fanim.2025.1689264/full#supplementary-material
References
Alemu A., Gruninger R. J., Zhang X. M., O’Hara E., Kindermann M., and Beauchemin K. A. (2023). 3-Nitrooxypropanol supplementation of a forage diet decreased enteric methane emissions from beef cattle without affecting feed intake and apparent total-tract digestibility. J. Anim. Sci. 101, skad001. doi: 10.1093/jas/skad001, PMID: 36617172
Alemu A., Pekrul L., Shreck A., Booker C., McGinn S., Kindermann M., et al. (2021a). 3-nitrooxypropanol decreased enteric methane production from growing beef cattle in a commercial feedlot: implications for sustainable beef cattle production. Front. Anim. Sci. 2. doi: 10.3389/fanim.2021.641590
Alemu A., Shreck A. L., Booker C. W., McGinn S. M., Pekrul L. K. D., Kindermann M., et al. (2021b). Use of 3-nitrooxypropanol in a commercial feedlot to decrease enteric methane emissions from cattle fed a corn-based finishing diet. J. Anim. Sci. 99, skaa394. doi: 10.1093/jas/skaa394, PMID: 33515476
Almeida A. K., Cowley F., McMeniman J. P., Karagiannis A., Walker N., Tamassia L. F. M., et al. (2023). Effect of 3-nitrooxypropanol on enteric methane emissions of feedlot cattle fed with a tempered barley-based diet with canola oil. J. Anim. Sci. 101, skad237. doi: 10.1093/jas/skad237, PMID: 37429613
Almeida A. K., Hegarty R. S., and Cowie A. (2021). Meta-analysis quantifying the potential of dietary additives and rumen modifiers for methane mitigation in ruminant production systems. Anim. Nutr. 7, 1219–1230. doi: 10.1016/j.aninu.2021.09.005, PMID: 34754963
Araújo T. L. R., Rabelo C. H. S., Cardoso A. S., Carvalho V. V., Acedo T. S., Tamassia L. F. M., et al. (2023). Feeding 3-nitrooxypropanol reduces methane emissions by feedlot cattle on tropical conditions. J. Anim. Sci. 101, skad225. doi: 10.1093/jas/skad225, PMID: 37402612
Arndt C., Hristov A. N., Price W. J., McClelland S. C., Pelaez A. M., Cueva S. F., et al. (2022). Full adoption of the most effective strategies to mitigate methane emissions by ruminants can help meet the 1.5 °C target by 2030 but not 2050. Proc. Natl. Acad. Sci. 119, e2111294119. doi: 10.1073/pnas.2111294119, PMID: 35537050
Assink M. and Wibbelink C. J. M. (2016). Fitting three-level meta-analytic models in R: A step-by-step tutorial. Quant. Methods Psychol. 12, 154–174. doi: 10.20982/tqmp.12.3.p154
Beauchemin K. A., Ungerfeld E. M., Eckard R. J., and Wang M. (2020). Review: Fifty years of research on rumen methanogenesis: lessons learned and future challenges for mitigation. Animal 14, s2–s16. doi: 10.1017/S1751731119003100, PMID: 32024560
Beckman J. L. and Weiss W. P. (2005). Nutrient digestibility of diets with different fiber to starch ratios when fed to lactating dairy cows. J. Dairy Sci. 88, 1015–1023. doi: 10.3168/jds.S0022-0302(05)72769-7, PMID: 15738236
Black J. L., Davison T. M., and Box I. (2021). Methane emissions from ruminants in Australia: mitigation potential and applicability of mitigation strategies. Animals 11, 951. doi: 10.3390/ani11040951, PMID: 33805324
Charmley E., Williams S. R. O., Moate P. J., Hegarty R. S., Herd R. M., Oddy V. H., et al. (2016). A universal equation to predict methane production of forage-fed cattle in Australia. Anim. Prod. Sci. 56, 169. doi: 10.1071/AN15365
Costigan H., Shalloo L., Egan M., Kennedy M., Dwan C., Walsh S., et al. (2024). The effect of twice daily 3-nitroxypropanol supplementation on enteric methane emissions in grazing dairy cows. J. Dairy Sci. 107, 9197–9208. doi: 10.3168/jds.2024-24772, PMID: 38851571
Dijkstra J., Bannink A., France J., Kebreab E., and van Gastelen S. (2018). Short communication: Antimethanogenic effects of 3-nitrooxypropanol depend on supplementation dose, dietary fiber content, and cattle type. J. Dairy Sci. 101, 9041–9047. doi: 10.3168/jds.2018-14456, PMID: 30055923
Doran-Browne N., Wootton M., Taylor C., and Eckard R. (2018). Offsets required to reduce the carbon balance of sheep and beef farms through carbon sequestration in trees and soils. Anim. Prod. Sci. 58, 1648. doi: 10.1071/AN16438
Duin E. C., Wagner T., Shima S., Prakash D., Cronin B., Yáñez-Ruiz D. R., et al. (2016). Mode of action uncovered for the specific reduction of methane emissions from ruminants by the small molecule 3-nitrooxypropanol. Proc. Natl. Acad. Sci. 113, 6172–6177. doi: 10.1073/pnas.1600298113, PMID: 27140643
FEEDAP, Bampidis V., Azimonti G., Bastos M. de L., Christensen H., Dusemund B., et al. (2021). Safety and efficacy of a feed additive consisting of 3-nitrooxypropanol (Bovaer® 10) for ruminants for milk production and reproduction (DSM Nutritional Products Ltd). EFSA J. 19, e06905. doi: 10.2903/j.efsa.2021.6905, PMID: 34824644
Garcia F., Muñoz C., Martínez-Ferrer J., Urrutia N. L., Martínez E. D., Saldivia M., et al. (2022). 3-Nitrooxypropanol substantially decreased enteric methane emissions of dairy cows fed true protein- or urea-containing diets. Heliyon 8, e09738. doi: 10.1016/j.heliyon.2022.e09738, PMID: 35770150
Global Methane Pledge (2021).Clim. Clean air coalit. Available online at: https://www.ccacoalition.org/en/resources/global-methane-pledge (Accessed February 10, 2023).
Haisan J., Sun Y., Guan L. L., Beauchemin K. A., Iwaasa A., Duval S., et al. (2014). The effects of feeding 3-nitrooxypropanol on methane emissions and productivity of Holstein cows in mid lactation. J. Dairy Sci. 97, 3110–3119. doi: 10.3168/jds.2013-7834, PMID: 24630651
Haisan J., Sun Y., Guan L., Beauchemin K. A., Iwaasa A., Duval S., et al. (2017). The effects of feeding 3-nitrooxypropanol at two doses on milk production, rumen fermentation, plasma metabolites, nutrient digestibility, and methane emissions in lactating Holstein cows. Anim. Prod. Sci. 57, 282–289. doi: 10.1071/AN15219
Henderson B. and Verma M. (2021). Global assessment of the carbon leakage implications of carbon taxes on agricultural emissions (Paris: OECD Publishing). doi: 10.1787/fc304fad-en
Jayanegara A., Sarwono K. A., Kondo M., Matsui H., Ridla M., Laconi E. B., et al. (2018). Use of 3-nitrooxypropanol as feed additive for mitigating enteric methane emissions from ruminants: a meta-analysis. Ital. J. Anim. Sci. 17, 650–656. doi: 10.1080/1828051X.2017.1404945
Johnson K. A. and Johnson D. E. (1995). Methane emissions from cattle. J. Anim. Sci. 73, 2483–2492. doi: 10.2527/1995.7382483x, PMID: 8567486
Kebreab E., Bannink A., Pressman E. M., Walker N., Karagiannis A., van Gastelen S., et al. (2023). A meta-analysis of effects of 3-nitrooxypropanol on methane production, yield, and intensity in dairy cattle. J. Dairy Sci. 106, 927–936. doi: 10.3168/jds.2022-22211, PMID: 36494226
Kim H., Lee H. G., Baek Y.-C., Lee S., and Seo J. (2020). The effects of dietary supplementation with 3-nitrooxypropanol on enteric methane emissions, rumen fermentation, and production performance in ruminants: a meta-analysis. J. Anim. Sci. Technol. 62, 31–42. doi: 10.5187/jast.2020.62.1.31, PMID: 32082596
Kim S.-H., Lee C., Pechtl H. A., Hettick J. M., Campler M. R., Pairis-Garcia M. D., et al. (2019). Effects of 3-nitrooxypropanol on enteric methane production, rumen fermentation, and feeding behavior in beef cattle fed a high-forage or high-grain diet1. J. Anim. Sci. 97, 2687–2699. doi: 10.1093/jas/skz140, PMID: 31115441
Kjeldsen M. H., Weisbjerg M. R., Larsen M., Højberg O., Ohlsson C., Walker N., et al. (2024). Gas exchange, rumen hydrogen sinks, and nutrient digestibility and metabolism in lactating dairy cows fed 3-nitrooxypropanol and cracked rapeseed. J. Dairy Sci. 107, 2047–2065. doi: 10.3168/jds.2023-23743, PMID: 37863291
Lopes J. C., de Matos L. F., Harper M. T., Giallongo F., Oh J., Gruen D., et al. (2016). Effect of 3-nitrooxypropanol on methane and hydrogen emissions, methane isotopic signature, and ruminal fermentation in dairy cows. J. Dairy Sci. 99, 5335–5344. doi: 10.3168/jds.2015-10832, PMID: 27085412
Ma X., Räisänen S. E., Garcia-Ascolani M. E., Bobkov M., He T., Islam M. Z., et al. (2024a). Effects of 3-nitrooxypropanol (Bovaer10) and whole cottonseed on milk production and enteric methane emissions from dairy cows under Swiss management conditions. J. Dairy Sci. 107, 6817–6833. doi: 10.3168/jds.2023-24460, PMID: 38762115
Ma X., Räisänen S. E., Wang K., Amelchanka S., Giller K., Islam Mz., et al. (2024b). Evaluating GreenFeed and respiration chambers for daily and intraday measurements of enteric gaseous exchange in dairy cows housed in tiestalls. J. Dairy Sci. 107, 10913–10931. doi: 10.3168/jds.2024-25246, PMID: 39343233
Maigaard M., Weisbjerg M. R., Hellwing A. L. F., Larsen M., Andersen F. B., and Lund P. (2024b). The acute effects of rumen pulse-dosing of hydrogen acceptors during methane inhibition with nitrate or 3-nitrooxypropanol in dairy cows. J. Dairy Sci. 107, 5681–5698. doi: 10.3168/jds.2023-24343, PMID: 38608947
Maigaard M., Weisbjerg M. R., Johansen M., Walker N., Ohlsson C., and Lund P. (2024a). Effects of dietary fat, nitrate, and 3-nitrooxypropanol and their combinations on methane emission, feed intake, and milk production in dairy cows. J. Dairy Sci. 107, 220–241. doi: 10.3168/jds.2023-23420, PMID: 37690719
Martínez-Fernández G., Abecia L., Arco A., Cantalapiedra-Hijar G., Martín-García A. I., Molina-Alcaide E., et al. (2014). Effects of ethyl-3-nitrooxy propionate and 3-nitrooxypropanol on ruminal fermentation, microbial abundance, and methane emissions in sheep. J. Dairy Sci. 97, 3790–3799. doi: 10.3168/jds.2013-7398, PMID: 24731636
Martinez-Fernandez G., Duval S., Kindermann M., Schirra H. J., Denman S. E., and McSweeney C. S. (2018). 3-NOP vs. halogenated compound: Methane production, ruminal fermentation and microbial community response in forage fed cattle. Front. Microbiol. 9. doi: 10.3389/fmicb.2018.01582, PMID: 30131771
Martins L. F., Cueva S. F., Wasson D. E., Almeida C. V., Eifert C., De Ondarza M. B., et al. (2024). Effects of dose, dietary nutrient composition, and supplementation period on the efficacy of methane mitigation strategies in dairy cows: A meta-analysis. J. Dairy Sci. 107, 9289–9308. doi: 10.3168/jds.2024-24783, PMID: 39521484
Melgar A., Harper M. T., Oh J., Giallongo F., Young M. E., Ott T. L., et al. (2020a). Effects of 3-nitrooxypropanol on rumen fermentation, lactational performance, and resumption of ovarian cyclicity in dairy cows. J. Dairy Sci. 103, 410–432. doi: 10.3168/jds.2019-17085, PMID: 31733848
Melgar A., Lage C. F. A., Nedelkov K., Räisänen S. E., Stefenoni H., Fetter M. E., et al. (2021). Enteric methane emission, milk production, and composition of dairy cows fed 3-nitrooxypropanol. J. Dairy Sci. 104, 357–366. doi: 10.3168/jds.2020-18908, PMID: 33131815
Melgar A., Welter K. C., Nedelkov K., Martins C. M. M. R., Harper M. T., Oh J., et al. (2020b). Dose-response effect of 3-nitrooxypropanol on enteric methane emissions in dairy cows. J. Dairy Sci. 103, 6145–6156. doi: 10.3168/jds.2019-17840, PMID: 32278563
Moher D., Liberati A., Tetzlaff J., and Altman D. G. (2010). Preferred reporting items for systematic reviews and meta-analyses: The PRISMA statement. Int. J. Surg. 8, 336–341. doi: 10.1016/j.ijsu.2010.02.007, PMID: 20171303
Muetzel S., Lowe K., Janssen P. H., Pacheco D., Bird N., Walker N., et al. (2019). Towards the application of 3-nitrooxypropanol in pastoral farming systems. In Poster presented at the New Zealand Agricultural Climate Change Conference 8–9.
Muñoz C., Muñoz I. A., Rodríguez R., Urrutia N. L., and Ungerfeld E. M. (2024). Effect of combining the methanogenesis inhibitor 3-nitrooxypropanol and cottonseeds on methane emissions, feed intake, and milk production of grazing dairy cows. Animal 18, 101203. doi: 10.1016/j.animal.2024.101203, PMID: 38935983
Orzuna-Orzuna J. F., Godina-Rodríguez J. E., Garay-Martínez J. R., Granados-Rivera L. D., Maldonado-Jáquez J. A., and Lara-Bueno A. (2024). A meta-analysis of 3-nitrooxypropanol dietary supplementation on growth performance, ruminal fermentation, and enteric methane emissions of beef cattle. Fermentation 10, 273. doi: 10.3390/fermentation10060273
Pedrini C. A., MaChado F. S., Fernandes A. R. M., Cônsolo N. R. B., Ocampos F. M. M., Colnago L. A., et al. (2024). Performance, meat quality and meat metabolomics outcomes: efficacy of 3-nitrooxypropanol in feedlot beef cattle diets. Animals 14, 2576. doi: 10.3390/ani14172576, PMID: 39272361
Pepeta B. N., Hassen A., and Tesfamariam E. H. (2024). Quantifying the impact of different dietary rumen modulating strategies on enteric methane emission and productivity in ruminant livestock: A meta-analysis. Animals 14, 763. doi: 10.3390/ani14050763, PMID: 38473148
Reynolds C. K., Humphries D. J., Kirton P., Kindermann M., Duval S., and Steinberg W. (2014). Effects of 3-nitrooxypropanol on methane emission, digestion, and energy and nitrogen balance of lactating dairy cows. J. Dairy Sci. 97, 3777–3789. doi: 10.3168/jds.2013-7397, PMID: 24704240
Ripple W. J., Smith P., Haberl H., Montzka S. A., McAlpine C., and Boucher D. H. (2014). Ruminants, climate change and climate policy. Nat. Clim. Change 4, 2–5. doi: 10.1038/nclimate2081
Romero-Perez A., Okine E. K., McGinn S. M., Guan L. L., Oba M., Duval S. M., et al. (2015). Sustained reduction in methane production from long-term addition of 3-nitrooxypropanol to a beef cattle diet. J. Anim. Sci. 93, 1780–1791. doi: 10.2527/jas.2014-8726, PMID: 26020199
Santos C. M. D. C., Pimenta C. A. D. M., and Nobre M. R. C. (2007). The PICO strategy for the research question construction and evidence search. Rev. Lat. Am. Enfermagem 15, 508–511. doi: 10.1590/S0104-11692007000300023, PMID: 17653438
Schilde M., von Soosten D., Hüther L., Meyer U., Zeyner A., and Dänicke S. (2021). Effects of 3-nitrooxypropanol and varying concentrate feed proportions in the ration on methane emission, rumen fermentation and performance of periparturient dairy cows. Arch. Anim. Nutr. 75, 79–104. doi: 10.1080/1745039X.2021.1877986, PMID: 33641544
Shephard R., Whittem T., Macdonald A., Hepworth G., and Eckard R. (2024). A meta-analytical approach for estimating methane suppression from dietary additives in ruminants. Front. Anim. Sci. 5. doi: 10.3389/fanim.2024.1451266
Textor J., van der Zander B., Gilthorpe M. S., Liśkiewicz M., and Ellison G. T. H. (2017). Robust causal inference using directed acyclic graphs: the R package ‘dagitty.’ Int. J. Epidemiol. 45, 341. doi: 10.1093/ije/dyw341, PMID: 28089956
Thiel A., Schoenmakers A. C. M., Verbaan I. A. J., Chenal E., Etheve S., and Beilstein P. (2019). 3-NOP: Mutagenicity and genotoxicity assessment. Food Chem. Toxicol. 123, 566–573. doi: 10.1016/j.fct.2018.11.010, PMID: 30408540
United Nations framework convention on climate change (2015). “Paris agreement,” in report of the conference of the parties to the United Nations framework convention on climate change. (Bonn: UNFCCC). Available online at: https://heinonline.org/HOL/LandingPage?handle=hein.journals/intlm55&div=46&id=&page.
Van Gastelen S., Burgers E. E. A., Dijkstra J., De Mol R., Muizelaar W., Walker N., et al. (2024). Long-term effects of 3-nitrooxypropanol on methane emission and milk production characteristics in Holstein-Friesian dairy cows. J. Dairy Sci. 107, 5556–5573. doi: 10.3168/jds.2023-24198, PMID: 38395398
van Gastelen S., Dijkstra J., Binnendijk G., Duval S. M., Heck J. M. L., Kindermann M., et al. (2020). 3-Nitrooxypropanol decreases methane emissions and increases hydrogen emissions of early lactation dairy cows, with associated changes in nutrient digestibility and energy metabolism. J. Dairy Sci. 103, 8074–8093. doi: 10.3168/jds.2019-17936, PMID: 32600756
van Gastelen S., Dijkstra J., Heck J. M. L., Kindermann M., Klop A., de Mol R., et al. (2022). Methane mitigation potential of 3-nitrooxypropanol in lactating cows is influenced by basal diet composition. J. Dairy Sci. 105, 4064–4082. doi: 10.3168/jds.2021-20782, PMID: 35221072
Van Wesemael D., Vandaele L., Ampe B., Cattrysse H., Duval S., Kindermann M., et al. (2019). Reducing enteric methane emissions from dairy cattle: Two ways to supplement 3-nitrooxypropanol. J. Dairy Sci. 102, 1780–1787. doi: 10.3168/jds.2018-14534, PMID: 30594370
Vyas D., Alemu A. W., McGinn S. M., Duval S. M., Kindermann M., and Beauchemin K. A. (2018). The combined effects of supplementing monensin and 3-nitrooxypropanol on methane emissions, growth rate, and feed conversion efficiency in beef cattle fed high-forage and high-grain diets1. J. Anim. Sci. 96, 2923–2938. doi: 10.1093/jas/sky174, PMID: 29741701
Vyas D., McGinn S., Duval S., Kindermann M., and Beauchemin K. (2016a). Optimal dose of 3-nitrooxypropanol for decreasing enteric methane emissions from beef cattle fed high-forage and high-grain diets. Anim. Prod. Sci. 58, 1049–1055. doi: 10.1071/AN15705
Vyas D., McGinn S. M., Duval S. M., Kindermann M., and Beauchemin K. A. (2016b). Effects of sustained reduction of enteric methane emissions with dietary supplementation of 3-nitrooxypropanol on growth performance of growing and finishing beef cattle. J. Anim. Sci. 94, 2024–2034. doi: 10.2527/jas.2015-0268, PMID: 27285700
Yu G., Beauchemin K. A., and Dong R. (2021). A review of 3-nitrooxypropanol for enteric methane mitigation from ruminant livestock. Animals 11, 3540. doi: 10.3390/ani11123540, PMID: 34944313
Zhang X. M., Smith M. L., Gruninger R. J., Kung L., Vyas D., McGinn S. M., et al. (2021). Combined effects of 3-nitrooxypropanol and canola oil supplementation on methane emissions, rumen fermentation and biohydrogenation, and total tract digestibility in beef cattle. J. Anim. Sci. 99, skab081. doi: 10.1093/jas/skab081, PMID: 33755112
Keywords: inhibitor, greenhouse gas, mitigation, 3-NOP, net-zero
Citation: Macdonald A, Shephard R, Hepworth G and Eckard R (2025) Understanding heterogeneity in methane emissions from confinement-fed dairy and beef cattle supplemented with Bovaer®: a meta-analysis. Front. Anim. Sci. 6:1689264. doi: 10.3389/fanim.2025.1689264
Received: 20 August 2025; Accepted: 09 September 2025;
Published: 07 October 2025.
Edited by:
Majid Shakeri, United States Department of Agriculture, United StatesReviewed by:
Arash Omidi, Shiraz University, IranBulelani Pepeta, University of Pretoria, South Africa
Sezen Ocak Yetisgin, Ondokuz Mayıs University, Türkiye
Shalom Cohen, Metha Ai, Israel
Copyright © 2025 Macdonald, Shephard, Hepworth and Eckard. This is an open-access article distributed under the terms of the Creative Commons Attribution License (CC BY). The use, distribution or reproduction in other forums is permitted, provided the original author(s) and the copyright owner(s) are credited and that the original publication in this journal is cited, in accordance with accepted academic practice. No use, distribution or reproduction is permitted which does not comply with these terms.
*Correspondence: Richard Eckard, cmplY2thcmRAdW5pbWVsYi5lZHUuYXU=