ORIGINAL RESEARCH article
Front. Adolesc. Med.
Sec. Addiction in Adolescents
Volume 3 - 2025 | doi: 10.3389/fradm.2025.1694040
This article is part of the Research TopicGrand challenges in addiction in adolescents: understanding risks, influences, and interventions for resilience and recoveryView all articles
Does Screening Mode Matter? A Repeated Cross-Sectional Study of Computer Self-Administered Versus Clinician-Administered Screening of Youth Substance Use in Pediatric Primary Care
Provisionally accepted- 1University of British Columbia, Vancouver, Canada
- 2Division of Adolescent/Young Adult Medicine, Department of Medicine, Boston Children’s Hospital, Boston, United States
- 3Pediatrics, The Johns Hopkins University School of Medicine, Baltimore, United States
- 4CHADIS Inc, Baltimore, United States
- 5Harvard Medical School Department of Pediatrics, Boston, United States
- 6Department of Psychiatry and Behavioral Sciences, Boston Children’s Hospital, Boston, United States
Select one of your emails
You have multiple emails registered with Frontiers:
Notify me on publication
Please enter your email address:
If you already have an account, please login
You don't have a Frontiers account ? You can register here
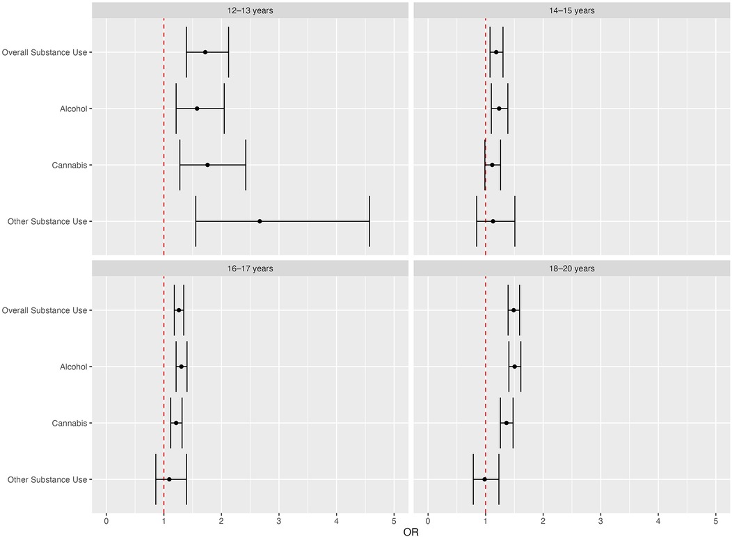
Introduction Universal youth substance use screening in pediatric primary care enables early detection and intervention, which, in turn, can help decrease risk of problematic substance use. Screening mode (electronic self-administered survey [SA] vs. clinician-administered interview [CA]) may influence whether substance use is reported, and therefore, clinical decisions about whether and how to intervene. Methods We performed a secondary data analysis of substance use screening responses collected between 2018-2022 from 12-to 20-year-olds seen at 314 U.S. pediatric practices utilizing the Comprehensive Health and Decision Information System (CHADIS) online clinical process support system. Patients responded to the CRAFFT, a well-validated adolescent substance use screening tool that measures past-12-month alcohol, cannabis, and other substance use ("anything else to get high"). We compared substance use rates by screening mode (SA vs. CA) using logistic regression modeling with generalized estimating equations to account for data clustering within practices and patients, controlling for US region, sex, submission year, and patient age in days. We stratified analyses by age group (12-13; 14-15; 16-17; 18-20 years) and sex (male vs. female). Results Data represented 201,142 screening responses among N=130,688 patients. Patients were 50.9% female; 31.1% were from the Northeast, 6.7% from the Midwest, 52.7% from the South, and 9.4% from the West. Of the screening responses, 24.6% were from 12-13-year-olds, 29.5% from 14-15-year-olds, 28.7% from 16-17-year olds, and 17.2% from 18-20-year-olds. Mode for the screening responses was 74.9% SA and 25.1% CA. Compared to CA screening, SA screening was associated with significantly higher adjusted odds of report of any substance use (adjusted odds ratio, 95% confidence interval by age group: 12-13 years 1.75, 1.43-2.15; 14-15 years 1.21, 1.11-1.33; 16-17 years 1.32, 1.24-1.41; 18-20 years 1.48, 1.39-1.58). Alcohol and cannabis, the most prevalent past-12-month substances used among all age groups, demonstrated similar patterns when examined individually. Report of other substance use only differed by screening mode among 12-13-year-olds, but overall, prevalence was low (0.1%-2.1%). Conclusion Electronic self-administered screening was associated with higher report of substance use compared to clinician-administered interview among youth being seen in primary care, suggesting that self-administered screening may improve substance use detection.
Keywords: screening, substance use, Primary Care, Pediatrics, behavioral health, Adolescent
Received: 27 Aug 2025; Accepted: 30 Sep 2025.
Copyright: © 2025 Gao, M. O'Connell, Howard, Sturner, Shrier and Harris. This is an open-access article distributed under the terms of the Creative Commons Attribution License (CC BY). The use, distribution or reproduction in other forums is permitted, provided the original author(s) or licensor are credited and that the original publication in this journal is cited, in accordance with accepted academic practice. No use, distribution or reproduction is permitted which does not comply with these terms.
* Correspondence: Sion Kim Harris, sion.harris@childrens.harvard.edu
Disclaimer: All claims expressed in this article are solely those of the authors and do not necessarily represent those of their affiliated organizations, or those of the publisher, the editors and the reviewers. Any product that may be evaluated in this article or claim that may be made by its manufacturer is not guaranteed or endorsed by the publisher.
