In the published article, there was an error. In the text, the dosage of the humic acid product was recorded as 0.005 mg/L. This was a calculation error, the correct dosage was 0.005 mL of humic acid in 1 L of water (5 mg/L).
A correction has been made to the Abstract. This sentence previously stated:
“Humic acid, an aqueous extract of oxidized lignite was added to water entering both stacked tray and jar type incubators at a dosage rate of 0.005 mg/L from fertilization until hatching.”
The corrected sentence appears below:
“Humic acid, an aqueous extract of oxidized lignite was added to water entering both stacked tray and jar type incubators at a dosage rate of 5 mg/L from fertilization until hatching.”
A correction has been made to the Materials and Methods, 2.1 Fish Facilities. This sentence previously stated:
“The treatment incubator trays received groundwater continuously dosed with 0.005 mg/L humic acid (trade name: AC Aqua, MTS Environmental Inc., Exeter, ON, Canada) using a peristaltic pump according to the manufacturer’s recommendation.
Eggs were maintained in the dark and the flow to each incubator tray was calibrated to 10 L/min. Similarly, during each of three consecutive weeks, fertilized eggs placed in the incubator jars were divided into two replicate groups of control (groundwater) and two replicate groups of treatment (groundwater continuously dosed with humic acid at 0.005 mg/L).”
The corrected sentence appears below:
“The treatment incubator trays received groundwater continuously dosed with 5 mg/L humic acid (trade name: AC Aqua, MTS Environmental Inc., Exeter, ON, Canada) using a peristaltic pump according to the manufacturer’s recommendation.
Eggs were maintained in the dark and the flow to each incubator tray was calibrated to 10 L/min. Similarly, during each of three consecutive weeks, fertilized eggs placed in the incubator jars were divided into two replicate groups of control (groundwater) and two replicate groups of treatment (groundwater continuously dosed with humic acid at 5 mg/L).”
A correction has been made to Table 1. This sentence previously stated:
Table 1
| Collection | Incubator Type | Group | Mean Survival to Eyed Stage (%) | Mean Survival to Hatch (%) |
|---|---|---|---|---|
| Week 1 | Tray | Control | 84.0 ± 5.3 | 68.8 ± 11.8 |
| Treatment | 90.7 ± 1.1 | 80.9 ± 1.7 | ||
| Jar | Control | -- | 54.1 ± 23.8 | |
| Treatment | -- | 33.4 ± 19.8 | ||
| Week 2 | Tray | Control | 82.8 ± 2.5 | 59.4 ± 5.6 |
| Treatment | 97.7 ± 0.5 | 74.7 ± 16.5 | ||
| Jar | Control | -- | 68.8 ± 16.5 | |
| Treatment | -- | 91.5 ± 4.7 | ||
| Week 3 | Tray | Control | 78.5 ± 4.6 | 38.5 ± 11.8 |
| Treatment | 98.0 ± 0.5 | 75.9 ± 9.7 | ||
| Jar | Control | -- | 89.9 ± 0.7 | |
| Treatment | -- | 62.7 ± 3.1 | ||
| Overall Mean | Tray | Control | 81.9 ± 4.6a | 55.5 ± 16.1a |
| Treatment | 95.5 ± 3.6b | 77.2 ± 10.4b | ||
| Jar | Control | -- | 70.9 ± 20.6 | |
| Treatment | -- | 62.5 ± 27.6 |
Percent survival (± standard deviation) of rainbow trout eggs collected weekly for three weeks at the eyed stage (24 days post fertilization) and hatch (42 days post fertilization) incubated at 9°C in stacked incubator trays and incubating jars exposed to groundwater (control) and humic acid at 5 mg/L (treatment).
“Table 1. Percent survival (± standard deviation) of rainbow trout eggs collected weekly for three weeks at the eyed stage (24 days post fertilization) and hatch (42 days post fertilization) incubated at 9°C in stacked incubator trays and incubating jars exposed to groundwater (control) and humic acid at 0.005 mg/L (treatment).”
The corrected sentence appears below:
A correction has been made to Figure 1. This sentence previously stated:
Figure 1

Alpha diversity (Shannon Diversity Index) of operational taxonomic units of all treatment groups using water filtered from rainbow trout eggs exposed to no topical agent (Control) or 5 mg/L humic acid (Treatment) and sampled over 0, 10, 20, 30 and 40 days using incubator trays or jars. (n = 9).
“Figure 1. Alpha diversity (Shannon Diversity Index) of operational taxonomic units of all treatment groups using water filtered from rainbow trout eggs exposed to no topical agent (Control) or 0.005 mg/L humic acid (Treatment) and sampled over 0, 10, 20, 30 and 40 days using incubator trays or jars. (n = 9)”
The corrected sentence appears below:
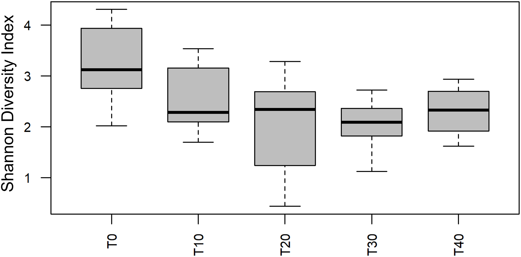
A correction has been made to Figure 2. This sentence previously stated:
Figure 2

Alpha diversity (Shannon Diversity Index) of operational taxonomic units over time using water filtered from rainbow trout eggs exposed to no topical agent (Control) or 5 mg/L humic acid (Treatment) and sampled over 0, 10, 20, 30 and 40 days. (n = 9).
“Figure 2. Alpha diversity (Shannon Diversity Index) of operational taxonomic units over time using water filtered from rainbow trout eggs exposed to no topical agent (Control) or 0.005 mg/L humic acid (Treatment) and sampled over 0, 10, 20, 30 and 40 days. (n = 9)”
The corrected sentence appears below:
A correction has been made to Figure 4. This sentence previously stated:
Figure 4

Alpha diversity (Shannon Diversity Index) of operational taxonomic units between incubator trays and jars as well as exposure to no topical agent (Control) or 5 mg/L humic acid (Treatment) using water filtered from rainbow trout eggs. In this case, time points were pooled, except 0, 10 and 20 day samples were removed to compare final effects. (n = 9).
“Figure 4. Alpha diversity (Shannon Diversity Index) of operational taxonomic units between incubator trays and jars as well as exposure to no topical agent (Control) or 0.005 mg/L humic acid (Treatment) using water filtered from rainbow trout eggs. In this case, time points were pooled, except 0, 10 and 20 day samples were removed to compare final effects. (n = 9)”
The corrected sentence appears below:
A correction has been made to Figure 6. This sentence previously stated:
Figure 6

Beta diversity of operational taxonomic units between incubator trays and jars as well as exposure to no topical agent (Control) or 5 mg/L humic acid (Treatment) using water filtered from rainbow trout eggs. Time points were pooled, except 0, 10 and 20 day samples were removed to compare final effects. NMDS; non-metric multidimensional scaling. (n = 9).
“Figure 6. Beta diversity of operational taxonomic units between incubator trays and jars as well as exposure to no topical agent (Control) or 0.005 mg/L humic acid (Treatment) using water filtered from rainbow trout eggs. Time points were pooled, except 0, 10 and 20 day samples were removed to compare final effects. NMDS; non-metric multidimensional scaling. (n = 9)”
The corrected sentence appears below:
A correction has been made to Figure 7. This sentence previously stated:
Figure 7

Relative abundance of operational taxonomic units (OTU) on the phyla level from water filtered from rainbow trout eggs exposed to no topical agent (Control) or 5 mg/L humic acid (Treatment) and sampled over 0, 10, 20, 30 and 40 days using incubator trays (t) or jars (j). (n = 9).
“Figure 7. Relative abundance of operational taxonomic units (OTU) on the phyla level from water filtered from rainbow trout eggs exposed to no topical agent (Control) or 0.005 mg/L humic acid (Treatment) and sampled over 0, 10, 20, 30 and 40 days using incubator trays (t) or jars (j). (n = 9)”
The corrected sentence appears below:
A correction has been made to Figure 8. This sentence previously stated:
Figure 8

Relative abundance of operational taxonomic units (OTU) on the genus level from water filtered from rainbow trout eggs exposed to no topical agent (Control) or 5 mg/L humic acid (Treatment) and sampled over 0, 10, 20, 30 and 40 days using incubator trays (t) or jars (j). (n = 9).
“Figure 8. Relative abundance of operational taxonomic units (OTU) on the genus level from water filtered from rainbow trout eggs exposed to no topical agent (Control) or 0.005 mg/L humic acid (Treatment) and sampled over 0, 10, 20, 30 and 40 days using incubator trays (t) or jars (j). (n = 9)”
The corrected sentence appears below:
A correction has been made to Figure 9. This sentence previously stated:
Figure 9

Linear discriminant analysis effect size (LEfSe) of indicator operational taxonomic units from water filtered from rainbow trout eggs exposed to no topical agent (Control) or 5 mg/L humic acid (Treatment). Samples over time and vessels were pooled and a Linear Discriminant Analysis (LDA) cutoff score of 3.0 was used. (n = 9).
“Figure 9. Linear discriminant analysis effect size (LEfSe) of indicator operational taxonomic units from water filtered from rainbow trout eggs exposed to no topical agent (Control) or 0.005 mg/L humic acid (Treatment). Samples over time and vessels were pooled and a Linear Discriminant Analysis (LDA) cutoff score of 3.0 was used. (n = 9)”
The corrected sentence appears below:
A correction has been made to Figure 10. This sentence previously stated:
Figure 10

Relative abundance of operational taxonomic units of (A) Comamonadaceae (Burkholderiales order), (B) Flavobacterium, and (C) Aeromonas from water filtered from rainbow trout eggs exposed to no topical agent (Control) or 5 mg/L humic acid (Treatment). Comparison of incubator trays and jars, while pooled over time. (n = 9).
“Figure 10. Relative abundance of operational taxonomic units of a) Comamonadaceae (Burkholderiales order), b) Flavobacterium, and c) Aeromonas from water filtered from rainbow trout eggs exposed to no topical agent (Control) or 0.005 mg/L humic acid (Treatment). Comparison of incubator trays and jars, while pooled over time. (n = 9)”
The corrected sentence appears below:
The authors apologize for these errors and state that this does not change the scientific conclusions of the article in any way. The original article has been updated.
Statements
Publisher’s note
All claims expressed in this article are solely those of the authors and do not necessarily represent those of their affiliated organizations, or those of the publisher, the editors and the reviewers. Any product that may be evaluated in this article, or claim that may be made by its manufacturer, is not guaranteed or endorsed by the publisher.
Summary
Keywords
rainbow trout, microbial community, fungus, eggs, aquaculture, 16s rDNA sequencing
Citation
Chiasson M, Kirk M and Huyben D (2023) Corrigendum: Microbial control during the incubation of rainbow trout (Oncorhynchus mykiss) eggs exposed to humic acid. Front. Aquac. 2:1252406. doi: 10.3389/faquc.2023.1252406
Received
03 July 2023
Accepted
14 July 2023
Published
24 July 2023
Volume
2 - 2023
Edited and reviewed by
Sevdan Yilmaz, Çanakkale Onsekiz Mart University, Türkiye
Updates
Copyright
© 2023 Chiasson, Kirk and Huyben.
This is an open-access article distributed under the terms of the Creative Commons Attribution License (CC BY). The use, distribution or reproduction in other forums is permitted, provided the original author(s) and the copyright owner(s) are credited and that the original publication in this journal is cited, in accordance with accepted academic practice. No use, distribution or reproduction is permitted which does not comply with these terms.
*Correspondence: Marcia Chiasson, marciach@uoguelph.ca
Disclaimer
All claims expressed in this article are solely those of the authors and do not necessarily represent those of their affiliated organizations, or those of the publisher, the editors and the reviewers. Any product that may be evaluated in this article or claim that may be made by its manufacturer is not guaranteed or endorsed by the publisher.