ORIGINAL RESEARCH article
Front. Artif. Intell.
Sec. Pattern Recognition
This article is part of the Research TopicLeveraging Foundation Models for Interactive and Adaptive Robot Policy LearningView all articles
Resource-Efficient Fine-Tuning of Large Vision-Language Models for Multimodal Perception in Autonomous Excavators
Provisionally accepted- 1Inje University, Gimhae, Republic of Korea
 - 2Kyungnam University, Changwon, Republic of Korea
 
Select one of your emails
You have multiple emails registered with Frontiers:
Notify me on publication
Please enter your email address:
If you already have an account, please login
You don't have a Frontiers account ? You can register here
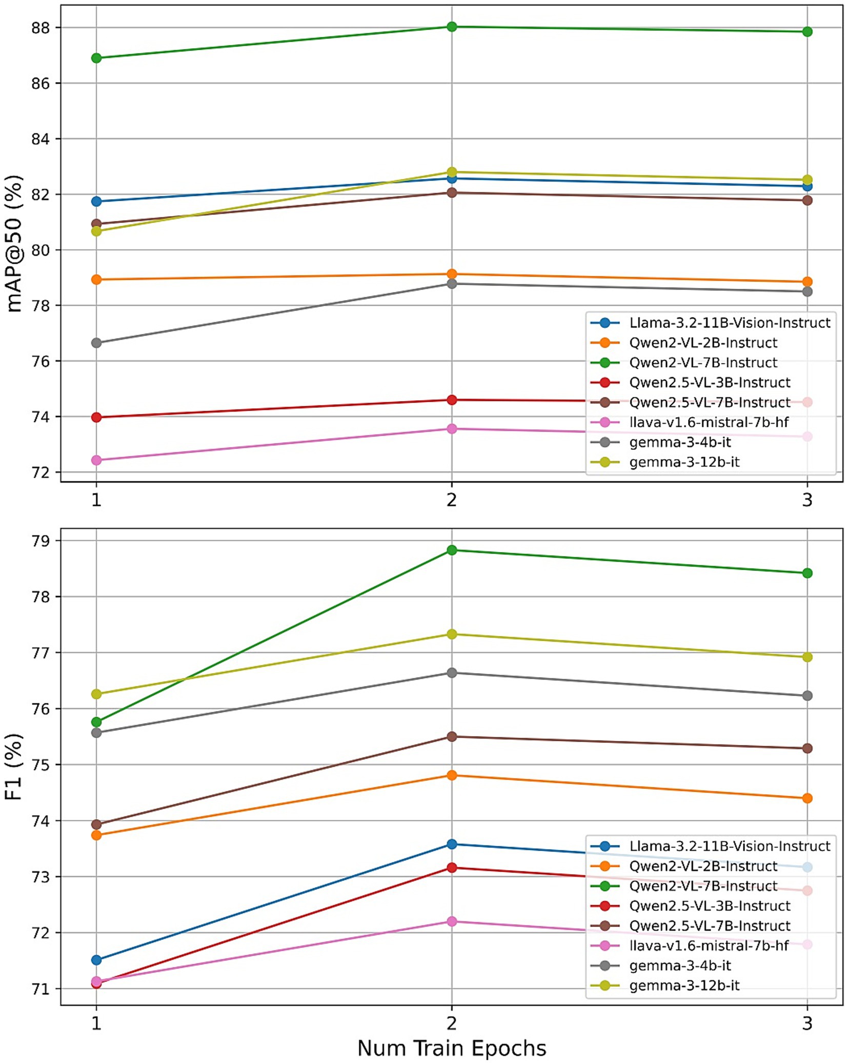
Recent advances in large vision-language models (LVLMs) have transformed visual recognition research by enabling multimodal integration of images, text, and videos. This fusion supports a deeper and more context-aware understanding of visual environments. However, the application of LVLMs to multitask visual recognition in real-world construction scenarios remains underexplored. In this study, we present a resource-efficient framework for fine-tuning LVLMs tailored to autonomous excavator operations, with a focus on robust detection of humans and obstacles, as well as classification of weather conditions on consumer-grade hardware. By leveraging Quantized Low-Rank Adaptation (QLoRA) in conjunction with the Unsloth framework, our method substantially reduces memory consumption and accelerates fine-tuning compared with conventional approaches. We comprehensively evaluate a domain-specific excavator-vision dataset using five open-source LVLMs. These include Llama-3.2-Vision, Qwen2-VL, Qwen2.5-VL, LLaVA-1.6, and Gemma 3. Each model is fine-tuned on 1000 annotated frames and tested on 2000 images. Experimental results demonstrate significant improvements in both object detection and weather classification, with Qwen2-VL-7B achieving an mAP@50 of 88.03%, mAP@[.50:.95] of 74.20%, accuracy of 84.54%, and F1 score of 78.83%. Our fine-tuned Qwen2-VL-7B model not only detects humans and obstacles robustly but also classifies weather accurately. These results illustrate the feasibility of deploying LVLM-based multimodal AI agents for safety monitoring, pose estimation, activity tracking, and strategic planning in autonomous excavator operations.
Keywords: autonomous construction equipment, large vision-language model, multimodallearning, object detection, quantized low-rank adaptation
Received: 07 Aug 2025; Accepted: 04 Nov 2025.
Copyright: © 2025 Nguyen, Park, Yoo and Yang. This is an open-access article distributed under the terms of the Creative Commons Attribution License (CC BY). The use, distribution or reproduction in other forums is permitted, provided the original author(s) or licensor are credited and that the original publication in this journal is cited, in accordance with accepted academic practice. No use, distribution or reproduction is permitted which does not comply with these terms.
* Correspondence: Jinhong  Yang, jinhong@inje.ac.kr
Disclaimer: All claims expressed in this article are solely those of the authors and do not necessarily represent those of their affiliated organizations, or those of the publisher, the editors and the reviewers. Any product that may be evaluated in this article or claim that may be made by its manufacturer is not guaranteed or endorsed by the publisher.
