Abstract
A healthy mix of younger and senior players is often desirable for any team involved in a sports-tournament. It is often argued that the experience of senior players and fitness of the younger players could complement each other. How an athlete performs is determined by the accumulation of experience that grows with age and physical fitness that declines with age. Therefore, fitness and experience are competing forces that move in opposite directions. We explore the age-range of peak-performance in the lifetime of a sportsperson where the marginal benefits from experience and fitness are on balance. Using a unique data-set of all one-day international (ODI) cricket matches played from 1971 to 2000, we find that there is an inverted U-shaped performance-age curve where performance first gets better with age, then reaches a peak before finally declining (when experience can no longer undo the effects of declining fitness). This peak-performance is attained for bowlers at around 22–26 years and for batters at about 27–30 years. These results remain robust to different specifications and controls. We employ a theoretical framework for policy analyses of actual selection decisions made during our period of study. These analyses build on the empirical section of our paper.
1 Introduction and motivation of study
It is often agreed that a great sports team is one that has the right mix of youth and experience—a team comprising only young (but fit) beginners lacking experience is likely to fail just as that comprising only senior players who have only experience but lack physical fitness. Best team performances are often consequences of harnessing the strengths of diverse age groups. This idea often resonates in the real world in remarkably many contexts of human endeavor well beyond the world of sports where team-effort is necessary to achieve a common goal. The youth contributes energy and seniority brings in experience.
We examine this fine balance in the sport of cricket, where the interplay between experience and fitness determines the team performance. Cricket players acquire experience as their careers progress. This is seen in the development of tactical acumen, the ability to strategize, analyze situations, and if needed, lead the team in difficult situations. These qualities are essential for on-field success (Connor et al., 2020; Crowther et al., 2023). However, experience is accumulated over time and one ages with time.
Physical fitness is expected to be inversely related with aging and therefore poses challenges to improve performance or even sustain a peak when (and if) attained. While experience confers strategic advantages, age-related declines in fitness can impact any player's ability to maintain previously attained performance levels. This age-performance relationship has been studied in the labor market (Kim and Lee, 2023; Borsch-Supan et al., 2021; Borsch-Supan and Weiss, 2016), for cognitively demanding tasks (Dumas, 2015; Hertzog, 2020; Kalwij and Jaegher, 2023; Kanfer and Ackerman, 2004; Lehman, 1953), and financial tasks (Agarwal et al., 2009; Eberhardt et al., 2019) among other fields of research. The link between age and performance has also been explored in certain other sports including road-cycling (Kholkine et al., 2023), hockey and golf (Berry et al., 1999), tennis and boxing (Lehman, 1953), running and swimming (Ericsson, 1990), 25 Olympic sports events, the game of chess (Berthelot et al., 2012), and basketball (Hach et al., 2023).1 The interplay between experience and fitness often shapes the performance trajectory of individual players, characterized by an initial ascent to peak performance followed by a gradual decline, leading to inverted-U shaped performance-curve, often also observed in various domains of human endeavor (Ericsson et al., 1993; Berthelot et al., 2019).
A senior player often takes a tactical approach to the game with strategic thought (Silva et al., 2020). Younger players are fitter with better reflexes that aid their approach to a sport (Schulz and Curnow, 1988). We econometrically look for the age (range) of peak-performance at which the fine balance between fitness and experience is attained. That sportsmen attain a peak performing age before their performance dips is an observation that even applies to cricket. We look at performance data for all players in One Day International (ODI hereafter) cricket matches played during 1971–2000 to find the age-range at which this peak occurs. In the section on the description of data, we provide detailed reasons for the choice of our period of study.
Santhanam and Balasubramanian (2009) observed that between the age of 32 and 34 years, the performance-levels of some of the greatest senior-cricketers (including Gordon Greenidge, Garfield Sobers, Adam Gilchrist, Sunil Gavaskar, Rahul Dravid, Vivian Richards and Sachin Tendulkar) declined significantly. They call it the “thirty-three effect”. Even for a top player like Sachin Tendulkar, Mirza (2023) notes that being fit “… when you're 40 and … putting your body through intense physical activity for 24 years couldn't have been easy.”
Schulz et al. (1994) and Bradbury (2009) report that performance peaks between the ages of 27–29 years in their research on baseball. In addition to studies that directly relate sports performance to fitness (Cureton, 1956; Lucifora and Simmons, 2003), there are studies which emphasize the role of experience, mental-ability and technical skills in improving performance (Saikia et al., 2019). These characteristics are seen in senior players who tend to better handle pressure.2 Raman (2009) analyzes how senior players employ elaborate skillsets to keep performing despite falling fitness-levels.3 Ganguly (2018) in his autobiography explains how he used his mental strength in an Indian Premier League (IPL) match in 2011, as a 39-year old sportsman.
“I was hardly in the right physical shape and tried my best to make up for it mentally. I kept visualizing my past performances. It was a nerve-racking situation.”
Our contribution to literature is threefold. First, the existing studies on cricket primarily focus on the age-performance relationship in the different formats of the more popular Twenty-20 cricket (Saikia et al., 2019, 2015), and test cricket—considered the gold standard of assessment of cricketer quality (Mangan, 2014). We focus on ODI cricket because it is mix of the pure and the popular formats of cricket and has strategic elements of both these extremes (with twenty-20 which is about extreme hard-hitting and test cricket which is demanding enough to test the mettle of a cricketer). Thus, ODI cricket is a beautiful game that attains a fine balance between aggression and tact. In addition, our primary reason to specifically look at ODI cricket has to do with the sheer volume of data in comparison to twenty-20 international cricket (a format that is only two-decades old) and test cricket which is played with a far lesser frequency in a year (in comparison to ODI cricket).4 The research by Jamil et al. (2023) that looks at bowlers' performances specifically in 2019 ODI cricket World Cup is the closest to ours. We look at both bowlers' and batters' performances for all ODI matches (including world cups) till 2000 (for cleanest results as explained in Section 3). Second, while previous studies mostly focus exclusively either on bowling performances (Crowther et al., 2023; Thorley, 2021; Jamil et al., 2023) or exclusively batting performances (Mangan, 2014), this study estimates the peak performing age of both batters and bowlers in ODI cricket. Finally, we provide a formal economic framework to explain the trade-off between youth and experience. As players begin their career, initially the marginal benefit from staying fit is greater than the marginal cost of inexperience. As a player ages initially, the marginal benefit of experience potentially outweighs the marginal cost of becoming less fit (and if fitness levels also get better, then the performance unambiguously gets better since experience-gain could complement fitness in this initial age-range). In trying to uncover these dynamics between fitness and experience using ODI cricket data, we estimate the age where the marginal benefit from experience equals the marginal costs of declining fitness. This information could aid team selection committees in finding the best mix of young and senior players for performing in tournaments. Experienced players know their responsibilities well and can help youngsters be strategic. At the same time, an infusion of youngsters can improve the overall average fitness of the team. In general, any team in any group-sport must find a judicious mix of youth and experience. Note that the duration of an ODI cricket match is by far the maximum (close to 8 h) among all other well-known team-sports.
These ideas are remarkably applicable to any work environment including those that specifically involve intergenerational workforce diversity. We often see an integration of years of experience (from Generation X and millennials) and youth full of energy (Generation Z), where the seniors bring in the pool of knowledge to tactfully handle or pre-empt any difficult situation whereas the youth is more adaptable to changes and willing to try new ideas (Lewis and Wescott, 2017). This synergy between experienced agents and younger talent is very crucial to build a culture of knowledge-sharing, adaptability, and collective-growth, positioning organizations for sustained success in an ever-evolving market landscape.
2 A model of optimal performance in ODI cricket
For simplicity, we consider two important factors in any sport—the ability to maintain peak fitness (youth) and experience (respectively called Y and X). The ability to draw value from experience (X) is V(x) and the ability to draw value from youth (Y) is U(y), which are essential ingredients (inputs) for sports-performance. Thus, talent is the ability to draw from experience and/or fitness. We assume the following:
-
a) V(0) = 0 and U(0) = 0
-
b) V′>0 and U′> 0
-
c) and (Experience increases with time (t) and youth (fitness) decreases)
Assumption (a) simply means that there is no value from experience if one has no experience, just as there is no value from youth if a player has no youth (say for he is on the verge of retirement).5 According to assumption (b), the value derived from experience increases with experience, and the younger players derive greater value from youth (i.e., when age is lower). Assumption (c) simply means experience increases and youth declines in time.
A description of ODI cricket is given in the Appendix. We assume that each ODI cricket player has a divine (non-negative) endowment of talent or unobserved ability (denoted by A). It can be argued that great players have higher endowments of talent than average players. The value that a player derives from experience (X) or youth (Y) (or both) depends on this endowment A, just like the amount of labor or capital (or both) that a firm can employ (for their productive value) will depend on the total costs or expenditure that the firm can afford. The greater the ability of an individual to derive value from fitness or experience (or both), we say that the more talented the individual is.
We thus represent the talent constraint (analogous to the iso-cost line) as: V(x)+U(y) = A, for a given level of talent or ability A (shown in Figure 1). The functional forms V and U have a bearing on the shape and the curvature of the talent constraint. The talent endowment A (> 0) in turn decides how high (in the north-east direction) the talent constraint will be. In Figure 1, the vertical intercept (D) represents a player's debut (maximum permissible youth and no experience) and the horizontal intercept (R) represents retirement (maximum permissible experience and no youth). Time is a unidirectional variable, so players involuntarily move from left to right along the talent constraint (clearly, nobody has the option of choosing a fitness level of their 20-year-old self when they are 30), which is shown by the arrows. It is here that our ‘talent-budget' differs from a traditional budget-line (or an iso-cost curve) where one could substitute X for Y or Y for X (i.e., move along the budget-line in either direction) at the given market-rate (represented by the price-ratio). An agent therefore strictly moves only from left to right along our “budget line”.
Figure 1

Talent constraint.
In addition, we impose that V″ ≤ 0 and U″ ≤ 0, to avoid for example, the potential absurdity that an individual may never need to retire if the value from experience perpetually increases at an increasing rate (potentially leading to “convex” budget-constraints). Thus, the value derived from experience increases in experience, but at a diminishing rate. This is analogous to a budget-constraint where the price of acquiring a good in the market progressively increases with increased quantities of it bought.
Viewing the above diagram from the perspective of a single player, we abstract away from the obvious positive externalities associated with experience. It is clear that the experience of a senior player could benefit everyone in the team and not just the player himself (who may in turn be relatively less-able to retain peak-fitness in comparison to the younger players). In Figure 1, we have also abstracted away from any discontinuity by assuming that each cricket player plays continuously without any breaks in his career.6 The model discussed so far is however, rich enough to incorporate temporary or permanent breaks (say) due to career-threatening or career-ending injuries. These cases are respectively covered in the two panels of Figure 2.
Figure 2

Talent constraint with career breaks.
In Figure 2a, a player accumulates experience up to point B after which there is a break in his career (say, due to an injury), so he “loses his youth” (by a magnitude of y0 – y1) for the duration of his career-break before returning to play until his retirement at R. Note that there is no necessary addition to his experience during his career-break. In Figure 2b, the player in question gains experience up to the point E after which his career comes to an abrupt end either due to an injury or for some other reason (so all youth is lost and E coincides with R on the horizontal axis marking the end of a player's active career). One very real example where individual players experienced an end of their careers involved the infamous match-fixing scandal in the period 1999–2000. This period witnessed a permanent suspension of several cricketers from a few nations that eventually therefore needed a mass-addition of fresh players selected to fill up the team-positions rendered vacant due to the suspended cricketers. This structural break around the year 2000 that caused a major disruption in the cricketing world (following which the continuing senior sportsmen and newly selected sportsmen played in cricket tournaments under tighter scrutiny) prevents any smooth data analysis from the end of the 1990s to the beginning of 2000s and therefore majorly contributes to our decision to only look at the time-period before 2000 for a meaningful analysis under mostly similar conditions. We will elaborate more on this in the discussion of our choice of time-period of study.
We now come to the development of performance indifference curves (ICs) for cricketers. We model performance (P) as a function of youth (Y) and experience (X) so that P = f(x, y). A given level of performance can be attained with varied combinations of youth and experience shown by the “performance indifference curves” (Figure 3).7 In Figures 3a, b, we provide a general representation to account for various possibilities. Just as in standard economic theory, we expect the ICs between youth and experience to slope downward in the region where both are productive (i.e., each contributes positively to performance). If there is “too much” of youth, (say beyond y0 in Figure 3a where the players are very young and bodies are still developing without yet any built-up stamina), then youth could potentially take away from performance (“over-bowled” young bowlers for instance, are likely to be prone to more injuries which could prevent them from maintaining their performance). One could make the same argument for experience if it becomes unproductive beyond the level x0. In the region of youth beyond y0 or experience beyond x0, the IC slopes upward. In Figure 3b, we present the possibility that too much experience, while not necessarily unproductive beyond x0 could cease to add to performance in any meaningful way.
Figure 3

Performance indifference curves.
In the real world, we do not usually observe a region with too much of both youth and experience since we do not expect very young people to have a great deal of experience. For now, in what follows, we will focus on the region where both youth (ability to maintain peak-fitness) and experience are “productive inputs”, we have downward-sloping, smooth and convex performance indifference curves (ICs). The higher ICs (again in the north-east direction) are associated with higher levels of performance. Note that these ICs will be vertically-biased (or flatter) particularly for bowlers (and even more so for fast-bowlers). This is because the relative value of fitness is higher for fast-bowlers than it is for batters. Similarly, performance ICs for batters will be horizontally-biased (or steeper). In Figure 4 we illustrate these ideas. Note that more experience for a given level of youth is likely to add to performance (indicating a movement to a higher performance IC). This explains why many players wish to avoid “resting out” through tournaments and prefer continued match-play since that could potentially help maintain form and consistency. On one occasion, when Virender Sehwag was a newcomer, he was assured a place in the team even if he underperformed batting in a position out of his then comfort-zone by Sourav Ganguly who was then the captain of the Indian team.
Figure 4

Performance indifference curves with productive youth and experience.
It is clear that these ICs are two-dimensional projections of performance measured along the third dimension. Better performing cricketers achieve a higher vertical measure of performance (again, measured along the third dimension) for any given amounts of youth and experience. Finally, there exists a critical value of experience and youth (fitness) where the performance peaks. This is the point of tangency between the talent constraint and the performance indifference curve (shown in Figure 5). In Figure 5, (x*, y*) is the point where the performance of a batter peaks and (x′, y′) is the corresponding point for a bowler. Under these conditions, the peak performance (P0) for a batter will take place at a higher value of experience and lower value of youth, and conversely for a bowler (P1). Starting from the point of debut (on the vertical intercept), the arrows show that as we go down, the benefits from experience outweigh the loss of youth, and thus, higher levels of performance are attained till a peak P0 or P1 is reached, beyond which, the loss of youth outweighs the benefits from experience.
Figure 5

Peak performance.
Finally, it should be noted that even after reaching the peak performance-level, a player might not consider retirement because one's own experience has positive externalities that other younger players (and by extension, the team as a whole) can benefit from—and these positive externalities in the aggregate, may outweigh the effects of lower fitness (in comparison to younger players) of the said player of experience. The argument is easily seen in an analogous setting where the above-mentioned experienced player would have in his own youth borrowed from the experience of those who were senior to himself. As has often been observed, seasoned players do assume mentorship roles, guiding younger teammates through their insights (Chopra, 2012)—this knowledge transfer (Funasaki et al., 2024) has proved to be very important time and again. In addition, when opponents focus most on the seasoned players (Doshi, 2016), younger teammates get the advantage of playing without pressure, just like Sehwag, a relatively younger player once said in relation to a more established senior player (Tendulkar):
“When I'm batting with Sachin Tendulkar, there's very less pressure on me because the opponents are all concentrating on getting him out”.8
Similarly, in any organization the experienced team-members can often take the pressure to let the youth flourish and grow to build their own experience (Argote et al., 2000). It is nonetheless clear that below-peak performance for those exceptionally talented senior players may still exceed the peak performances of (say) average or below-average young players. Thus, even if one were to completely abstract away from potential mentorship roles, those exceptionally talented senior cricketers may remain in the team simply on their own accord. Sachin Tendulkar for instance, may not have batted in 2012 (when he was almost 39 years old) as well as he did in his prime, but he still continued to remain in the team because he was still contributing significantly more runs to the team total in comparison to several younger players who eventually saw much shorter careers.
3 Data and descriptive statistics
It has often been argued that since 2000 cricket has progressively become a batter's game. Changes in the laws of the game (fielding restrictions, powerplay, free hits from illegal deliveries called “no-balls” and limits on bouncers in an over) along with the evolution of the quality of cricket bats have created new playing conditions (Noorbhai and Noakes, 2015). All these developments in addition to flatter pitches and shorter boundaries, have mostly supported the batters. Players who played before 2000 can no longer relate to the modern form of the game.9 For instance, when the former Indian captain Sourav Ganguly was asked to compare the teams that played in the early 1990s with that which played in the early 2000s, he elaborated on the pointlessness of the comparison in the following words (Ganguly, 2018):
“Two different generations can never be compared. The eras were different. The mindsets were different.”
Interestingly, this difference between what Ganguly counts as two separate eras were only about a decade apart. Given the regularity of additions to existing rules and changing playing conditions since 2000, we only look at ODI matches played before 2000 under more controlled and similar playing conditions to better gauge the pure effect of age on the performances of both batters and bowlers (i.e., when the rule-changes were less frequent).
Our choice of the time period between 1971 (when the first ODI match was ever played) and 2000 is primarily driven by three major reasons. First, the match-fixing scandal of 2000 needed an immediate solution that in turn required a major diversion of the resources of the International Cricket Council (ICC), along with the cricket boards of several countries including India and South Africa before the problem became more pronounced at a global level. This included the announcement of temporary and permanent suspensions of several cricketers in that year and led to an almost immediate selection of younger cricketers in a few countries. This was as good as a structural-break in ODI cricket (since several cricketing nations saw an almost-simultaneous reshuffling of the mix of players in their teams as we will elaborate more on later). Second (and in some ways, a consequence of the match-fixing episode) ODI cricket saw frequent change of rules as noted in an article titled “Cricket: ODI rules overwhelmingly favor batters” that appeared in a national daily of New Zealand that clearly states that “no major sport has tinkered with its rules as ceaselessly as one-day international cricket … Since 1999 many rules have been introduced and subsequently been scrapped …”.10 Third, and also noted in the above-mentioned article, with the advent of twenty-20 cricket (the first ever international match was played between Australia and New Zealand in 2005), both the other formats (ODI and tests) have witnessed a marked change in players' attitudes. For instance, Virender Sehwag's score of 319 runs in 304 balls (the fastest test-triple-hundred till then) in a test match against South Africa in 2008 makes the influence of twenty-20 cricket (where trying to hit every single ball for a boundary is the norm) evident in even test cricket (let alone ODIs). Note that the talks for this new format of cricket initiated well in the late 1990s possibly explaining why players like Sanath Jayasuriya, Gary Kirsten, and Romesh Kaluwitharana revolutionized aggressive batting during the world cup of 1996 (following which the average strike-rate observed during 1998–2000 was 65.7 runs per 100 balls which is almost 20 runs higher than the average strike-rate of 45.9 observed during 1971–73). In addition we observe clear structural breaks for instance, in the average number of boundaries (fours and sixes). The average number of boundaries per match during 1971–99 was 32.55. Within this period, the average number of boundaries during the last 6 years (1994–99) was 35.45 (only 2.9 boundaries per match higher on an average in comparison to the entire period). The average number of boundaries per match during 2001-03 was 40.21 (almost five boundaries more than the average during just the preceding 5 years).
For our study, we focus on 210 cricketers who played ODI matches during 1971–2000.11 We consider only cricketers who have played more than 25 matches and have careers spanning at least 5 years with at most one break-period of at least 1 year (in the Appendix we argue that our selected sample is fairly representative of the population of cricketers that played during our study period—see Supplementary Figure A2). The reason for our criterion for at most one-break period of over a year of international cricket is that we want the experience data to be as continuous as possible (the previous section models experience as a continuous variable). The data consists of 22,114 (14,112 for batters and 8,002 for bowlers) observations and has been compiled from Wisden, Cricinfo and ESPN. Table 1 gives the description of variables used (a brief description of ODI cricket is provided in the Appendix).
Table 1
| Dependent variables | Description |
|---|---|
| Runs | Total runs scored by a batter in a particular match |
| Strike-rate | Average runs scored for every 100 balls |
| Wickets | Total wickets taken by a bowler in a particular match |
| Economy-rate | Average number of runs conceded for every over bowled |
| Independent | Description |
| variables | |
| Age | Age of the ith player in his jth match |
| Country | A dummy for the country represented by the ith player |
| Opponent | A dummy for the opponent country an ODI match is played against |
| Batter | A dummy for whether the ith player is a batter |
| Bowler | A dummy for whether the ith player is a bowler |
| Wicket-keeper | A dummy for whether the ith player is a wicket-keeper |
| All-rounder | A dummy for whether the ith player assumed at least two of the above roles |
| Fast-bowler | A dummy for whether the ith bowler is a fast-bowler |
| ODI workload | Number of ODI matches played by the ith player in the year of the jth match |
| Test workload | Number of test matches played by the ith player in the year of the jth match |
| Balls faced | Number of balls faced by the ith batter in his jth match |
| Balls bowled | Number of overs bowled by the ith bowler in his jth match |
| Venue | A dummy for the venue country of a match |
| Year of match | A dummy for the year a match was played in |
| Experience | ODI matches played by the ith player before his jth match |
List of variables used.
For any given match we look at the number of runs scored and the number of wickets claimed respectively as key performance indicators for batters and bowlers. Other measures such as the strike-rate (a measure of how quickly a batter scores his runs and is defined as average runs scored per 100 balls faced) and the economy-rate (the number of runs given away for every six deliveries bowled) had only become more relevant towards the very extreme end of our period of study when the rate at which runs were scored or given away actually began to matter in this limited-over format. In any case, we provide results on these measures in the Appendix. Table 2 provides the descriptive statistics. We are interested in the following hypothesis.
Table 2
| Variables | Average | Min | Max |
|---|---|---|---|
| Runs | 28.08 | 0 | 194 |
| Strike-rate | 63.67 | 0 | 400 |
| Wickets | 1.23 | 0 | 7 |
| Economy-rate | 4.19 | 0 | 24 |
| Age (in years) | 28.34 | 14 | 42 |
| ODI matches played by a cricketer in a year | 8.88 | 0 | 41 |
| Test matches played by a cricketer in a year | 5.16 | 0 | 18 |
| Proportion of batters (%) | 38.10 | - | - |
| Proportion of bowlers (%) | 33.80 | - | - |
| Proportion of all-rounders (%) | 28.10 | - | - |
Descriptive statistics.
H 0: The average performance of an ODI cricket player is independent of age of the player.
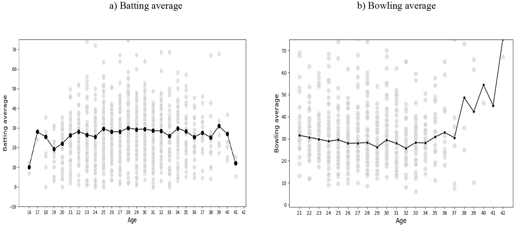
We begin with a preliminary look at the average batting and bowling performances [measured respectively on the vertical axes of panels (a) and (b)] by age (on the horizontal axis). In Figure 6a, each point in gray represents the batting average of a player at a given age. For instance, if player i scored m runs and was dismissed k times during all the matches he played when he was 21 years old, then his batting average at the age of 21 is m/k which is represented by one dot in gray. We similarly look at other batters' averages when they were 21 and represent them with other gray dots. The average of all these average runs scored by all players in our data at their age of 21 is uniquely represented by the black dot—this represents the expected batting average of a batter at the age of 21. We similarly look at the expected batting averages at other ages for all players in our sample and immediately see that there are potential reasons to reject our null hypothesis H0 since the batting averages clearly vary with time. We do a similar analysis for bowlers and work out the expected bowling average for each age-value (number of runs conceded to the opponent divided by the number of wickets claimed) and display the same in Figure 6b—we continue to see potential reasons to reject H0.
Figure 6

Batting and bowling averages (individual and overall).
Note that higher batting averages for batters and lower bowling averages for bowlers represent better performance. As a first step, we do a crude smooth-curve-fitting exercise on the exact data in Figure 7.
Figure 7

Crude fit of batting averages and bowling averages.
It seems that average batting improves with age till it reaches a peak-age before declining as a player ages further. This is also true for average bowling performance. To further look into the specific ages of peak performances, we now turn to regressions.
4 Analysis of results
We begin with the regression (Equation 1), below
Here, yij denotes the performance outcome of player i in his jth match. For batters, we look at runs scored by batter i in his jth match. For bowlers, the key dependent variable is the number of wickets claimed. Xij is the vector of player-specific and match-specific covariates associated with the coefficient vector λ. uij denotes the stochastic error term. The key variable of interest is Age. We also include Age2 to account for the non-linear effects of age on the performance of a player based on our observations in Figures 6, 7. For now, we do not take experience as a separate independent variable because for any given player, age and experience are likely to be correlated (experience could only increase as a player ages). Further, as pointed out in text footnote 6, some players might have a break in their career, defining experience for such players may not be free from ambiguity. We however, also note that players who start their careers earlier are expected to have more experience at a younger age relative to others who start their careers later (for instance, the Indian cricketer Sachin Tendulkar started his career in 1989 at the age of 16 whereas the Sri Lankan cricketer Sanath Jayasuriya who also debuted in 1989 was 20 years old—hence we will expect Tendulkar to have more experience than Jayasuriya at a comparable age). We exploit this variation across players and separately include both age and experience in some of our regression specifications (mostly deferred to the Appendix) that largely lead us to very similar conclusions (as we will discuss later).
In the above regression (1) we also need to account for the fact that some players are high-ability performers while others not so much in terms of their intrinsic abilities (Baker and Wattie, 2018). Menon (2012) defines what it is to have sheer talent:
“It is what you can't learn, hone or teach…a skill can be learned, talent can't…talent is Garry Sobers, talent is Jimi Hendrix…”
To the extent that more talented players derive greater benefit from experience (borrowing from our theoretical model), one would expect the main regressors (including age) to be correlated with unobserved ability or talent (i.e. more talented players evolve better with age in comparison with average players). In order to difference out the effects of these unobserved abilities (or talent), we run a fixed-effects regression shown in the specification (Equation 2).
Where Ai denotes the intrinsic talent/ability of player i (our player-specific fixed effect). This is where the fixed-effects specification (Equation 2) becomes useful. The term Ai above represents the player-specific fixed-effects and represents the talent endowment (or unobserved ability) discussed in Section 2. We now discuss the regression results.
4.1 Effect of age on the performance of batters
Table 3 reports the regression results where the dependent variable is the runs scored by the ith batter in his jth match. Column 1 reports the crude least-squares estimates for Equation 1, and the regression results for Equation 2, are reported in columns 2, 3, and 4 (with progressively more controls).
Table 3
| Independent variable | Least squares (1) | Fixed-effects (2) | Fixed-effects (3) | Fixed-effects (4) |
|---|---|---|---|---|
| Age | 3.0235*** (0.5499) | 5.8535*** (0.7748) | 5.7432*** (0.7645) | 0.9919* (0.5534) |
| Age-squared | −0.0499*** (0.0095) | −0.1000*** (0.0134) | −0.0983*** (0.0133) | −0.0184** (0.0072) |
| All-rounder | −1.7905*** (0.5924) | – | – | – |
| Balls faced | – | – | – | 0.7456*** (0.0133) |
| Constant | −16.3148** (7.8487) | −55.811*** (11.0134) | −50.7993*** (10.7075) | −14.414*** (13.8646) |
| Observations | 14,112 | 14,112 | 14,112 | 14,112 |
| R-squared | 0.0026 | 0.0018 | 0.0048 | 0.8197 |
| Player fixed-effects | No | Yes | Yes | Yes |
| Country/ opponent dummies | No | No | Yes | Yes |
| Year of the match dummies | No | No | No | Yes |
| Experience | No | No | No | Yes |
| Workload | No | No | No | Yes |
Determinants of runs scored.
*, **, *** report significance levels at the 10%, 5%, and 1% respectively. Robust standard errors are reported in the parentheses.
We see that Age is associated with a significantly positive coefficient in each of the four columns above and the coefficient for Age2 is (again significantly) negative. We therefore infer an inverted U-shaped relation between age and performance just as seen in Figure 7. We reject the hypothesis H0 and infer that performance first increases to reach a peak with respect to age before it eventually diminishes as fitness-levels significantly decline (Kalen et al., 2021; Rey et al., 2022). We also include information on whether a batter also contributed to bowling or wicket-keeping as a preliminary control for general workload (in column 1). The significantly negative coefficient of the “all-rounder” dummy variable (as defined in Table 1) suggests that involvement in a game beyond batting, generally has a crowding out effect on the ability to bat. Note that there are exceptions to this rule since Kapil Dev, Richard Hadlee, Ian Botham and Imran Khan were exceptionally gifted all-rounders.
Since different countries have varied cultural emphasis on different sports, we also include country (represented by the player) dummies and opponent-country dummies in columns 3 and 4. For instance, Holland has a weaker culture for cricket in comparison with Australia just as Brazil has a more pronounced culture for football in comparison with India (Adelman, 1986; Kirsch, 1991). Home-field advantages may affect the performance of players through many factors like familiarity with the home-ground and home-conditions (Barnett and Hilditch, 1993; Moore and Brylinsky, 1995; Pollard, 2002; Morley and Thomas, 2005). To account for these effects we also included venue-dummies as regressors. These venue-country dummies however, were found to be highly correlated with (a linear combination of) the country-dummy or the opponent-country dummy. This is because in any ODI cricket match, more often than not one of the two competing countries is also the host country (more specifically, country dummy + opponent dummy = country host dummy + opponent host dummy). World cup matches where the host is often a third country are exceptions to this rule, but the world cup tournament happens once in 4 years and this relative infrequency does not significantly reduce the strength of the linear relation discussed here.
During our period of study (1971–2000), the game of ODI cricket experienced a few regulatory changes (introduction of day-night cricket, changes in number of overs in 1987, fielding restrictions introduced in 1996, and the Duckworth and Lewis method in 1998). These changes may have affected the outcomes (Silva et al., 2015). We include year-of-match dummies to account for these effects (column 4). The significant coefficients on the age variable tell the same story.
In column 4, we also further include controls for experience and workload. Experience is measured in terms of the number of ODI matches played by the ith batter leading up to his jth match. We also include an experience-squared term to account for any non-linear effects. Both of these regression terms are statistically insignificant and do not contribute to the main results (possibly due to the correlation of experience with age). For workload, we first individually included the number of test and ODI matches played in the year of player i's jth match (see Table 1). While the number of test matches has no significant effect on batting-performance, the number of ODI matches played is associated with better batting performance (captured in a significant positive coefficient). This may hint that only relevant experience in ODI cricket matters in ODI performance. However, there is a potential endogeneity issue associated with the inclusion of ODI workload. Performance in a particular match (and by extension, in a given tournament) could determine the chances of selection (and hence workload) in the following matches (or tournaments) up to an immediate time-period. In the fixed-effects regression of column 4 therefore, only the test-match related workload is retained (which remains insignificant). Finally, note that the R-squared value in column 4 is significantly higher than it is in the previous three columns—the number of balls faced contributes most of the explanatory power to observed variation in runs scored (also associated with a significantly positive coefficient).
When a batter starts his ODI career, his age-performance relationship is positive. Overtime this performance-curve reaches a peak and the performance dips thereafter. After the peak, though the batter is more experienced, his physical capabilities decline (Saikia et al., 2019). Based on our regression coefficients that suggest an inverted U-shaped relationship, it is possible to determine the age at which this peak occurs by finding the age consistent with the global maximum of the performance-curve. According to our regressions for runs, the age at which the peak hits is between 27 and 30 years. Our findings are consistent with a top international batter, Rahul Dravid's self-assessment. He once said (Ugra, 2012): “…I was playing my best cricket, at 28–29.” We next examine the results for bowlers.
4.2 Effect of age on the performance of bowlers
Table 4 shows the effect of age on the number of wickets claimed. We generally observe the same results. Age is associated with a statistically significant positive coefficient and age-squared is associated with a statistically significant negative coefficient.
Table 4
| Independent variable | Least squares (1) | Fixed–effects (2) | Fixed–effects (3) | Fixed–effects (4) |
|---|---|---|---|---|
| Age | 0.104*** (0.028) | 0.0915** (0.0412) | 0.0928** (0.0414) | 0.1287 (0.0847) |
| Age–squared | −0.0019*** (0.0004) | −0.0018** (0.0007) | −0.0018** (0.0007) | −0.0029** (0.0013) |
| All–rounder | −0.0944*** (0.0296) | – | – | – |
| Overs bowled | – | – | – | 0.1564*** (0.0065) |
| Constant | −0.0796 (0.3998) | 0.1294 (0.5708) | 0.5465 (0.5986) | 0.4887 (1.8743) |
| Observations | 8,002 | 8,002 | 8,002 | 8,002 |
| R–squared | 0.0043 | 0.003 | 0.0005 | 0.0198 |
| Player fixed–effects | No | Yes | Yes | Yes |
| Country/ opponent dummies | No | No | Yes | Yes |
| Year of the match dummies | No | No | No | Yes |
| Workload | No | No | No | Yes |
| Experience | No | No | No | Yes |
| Bowler–type | No | No | No | Yes |
Determinants of wickets claimed.
*, **, *** report significance levels at the 10%, 5%, and 1% respectively. Robust standard errors are reported in the parentheses.
Based on this, we infer that on an average, bowlers attain a peak at a younger age relative to batters—somewhere between 22 to 26 years. This might be because bowling (especially fast bowling) requires speed, power and other skills that typically peak in an individual's early twenties (Chomik and Jacinto, 2021; Noakes and Durandt, 2000). So, the complementarity between fitness and experience is higher for bowlers than for batters. These results are also consistent with the economic framework developed in Section 2. We also include a dummy variable called Fast-Bowler (= 0 for spinners) to account for bowler-type in column 4, but the insignificance of that variable indicates that the age of peak performance for fast bowlers is not qualitatively different from that for spinners. Experience and workload (introduced in Table 1) in column 4 are treated in a manner similar to the previous set of regressions reported in Table 3. The results remain largely robust to the introduction of new variables and alternate specifications.
4.3 A final robustness check
So far, we have only looked at exactly one measure for batting and bowling performances. We now extend our analysis to cover strike rate (for batters) and economy rate (for bowlers). These variables are defined below.12
In the Appendix, we look at a joint-estimation of regressions with runs and strike-rate as dependent variables on our exogenous regressors for the batters. For bowlers, we look at a joint-estimation of regressions where the dependent variables (wickets and the economy-rate) are regressed on all exogenous variables. The idiosyncratic error-terms from the regressions with runs scored and strike-rate as dependent variables could potentially be correlated. This is because a batter who wishes to score high, must also score runs quickly (i.e., have a high strike-rate) given a limited number of overs. The approach to batting is often player-specific. Similarly, bowlers do not mind giving away more runs as long as they can get quick wickets. On the other hand, tighter bowling (i.e., with a lower economy rate) is often less rewarding in terms of wickets claimed because of the low-risk approach. The approach to bowling depends on an individual bowler. As a robustness check, we perform a joint estimation of runs-scored and strike-rate on all other exogenous variables (column 1), and also of economy-rate and wickets (column 2). The joint estimation results are reported in the Appendix, which remain consistent with the previous findings—runs scored and wickets taken continue to peak within the age-ranges discussed previously. Strike-rate peaks at around 30 years. It is believable that economy-rate gets better with age since bowlers who are more experienced tend to develop tighter ways of bowling (with experience) and introduce the necessary variation in their bowling to keep the run-rate of the opposition low.
5 A concluding remark with a retrospective policy-analysis
Finally, borrowing from the theory and the empirical sections of this paper, we do a policy analysis of actual selection decisions taken during our study period. Former Indian captain Sourav Ganguly had only one (international) career-break during our period of study that exceeded 1 year (and hence he is included in our sample of cricketers as per our sample-selection criteria). More specifically, he made his ODI debut in 1992 and was immediately dropped by the selectors from subsequent tournaments. He faced a career-break for about 4 years before making an international comeback in 1996 after which he remained on the side for each of the 5 years till the end of our sample period (1996, 1997, 1998, 1999, and 2000). In fact, he captained the Indian team in the period 1999–2005. Following the suspension of a few players (including the previous captain) on account of match-fixing, Ganguly was entrusted with the task of building a new team with fresh and young players who were eventually instrumental in winning the 2011 world cup for India (although Ganguly himself retired a few years before 2011). This included players like Yuvraj Singh (the player of the tournament in this 2011 world cup) and MS Dhoni (who captained the world-cup winning Indian team in 2011) along with other great players such as Virender Sehwag (who was known for his explosive batting style).
Based on Figure 8, it is clear that the decision to re-introduce Ganguly into ODI cricket in 1996 was a great move on the part of the Indian selectors. Although Ganguly's personal peak occurred in 2000 when he touched a batting average of almost 50 runs (he was 28 at that time—consistent with our empirical findings and represented by a tangency point of peak-performance in Figure 8), he continued to play (mostly as the captain of the team) beyond his personal peak. Note that the youth level declines from y1992 to y1996, and eventually to y2000 along the Youth axis—one's youth declines with increasing years. Thus, in this case the youth level at (say) 1992 was much higher than the youth level at 2000 so y1992 > y2000. Ganguly's key role in mentorship and the process of team building could be seen in the careful selection of new players and the decision to back them with the assurance that they will be retained despite some initial performance setbacks (if any). This aided the new players to express themselves in their sport freely without the fear of being thrown out of the team. The end result was a more aggressive Indian team that was far different from the underdogs of the early 1990s. Even younger players who were not directly mentored by Ganguly found him inspiring—they pushed each other and bettered their own performances and this culture eventually evolved into positively-reinforcing cohort-effects—to the extent that some of the Indian cricketers today openly take pride in maintaining their fitness levels.
Figure 8

Selection of Sourav Ganguly in 1996 was a great decision.
The story of Imran Khan (Figure 9) was not so significantly different. He decided to retire in 1987 but was requested by the (then) President of Pakistan to resume his play from 1988. He ended up captaining the Pakistan cricket team that won the world cup in 1992. Note that his personal peak bowling was observed in 1975 (represented by the tangency in Figure 9—right before he turned 24), but under his leadership, the careers of younger players like Wasim Akram and Waqar Yunis flourished—these were players who eventually went on to make great contributions to Pakistani cricket. Wasim Akram was the “man of the match” in the final match of world cup 1992.
Figure 9

Imran Khan's comeback was key to the success of Pakistani cricket.
Since Sourav Ganguly was primarily a batter, his performance ICs are steeper than that of Imran Khan who was primarily a bowler (the steepness of ICs can be compared between Figures 8, 9). Consistent with the discussion of Section 2 and the empirical analyses that follow, we see that Imran Khan's performance peaked at a younger age than Sourav Ganguly's. What is interesting to note here is a key difference—Sourav Ganguly made a comeback before his performance peaked in ODI cricket, but Imran Khan's made a comeback after his performance peaked in ODI cricket. Both of these case studies are interesting in their own right.
The study shows that both batters and bowlers playing ODI cricket attain a peak in their careers. This peak is where the trade-off between fitness and experience balance each other out. Bowlers have a different performance trajectory in comparison with batters and retire at an earlier age (Brown et al., 2021). The physical demands required for a bowler are much more as compared to a batter. Thus, the deterioration of fitness also happens quicker for bowlers. Moreover in recent years, with more batter-favoring rules, the bowler's margin for error has been reduced even further. This has necessitated the bowlers to upscale their skills (Douglas and Tam, 2010).
This research offers insights for cricket team selection committees. We make a case for a healthy mix of young and senior players with aligned interests. The Australian cricket team that has won the maximum number of world cups has clearly employed an optimal mix of both youth and experience. More specifically, there has always been a significant proportion of players who have previously won a world cup and a healthy proportion of younger players who are both fit and talented. For every subsequent world cup, the former newcomers among the previous world cup winners become the experienced seniors who guide the new players. This story continues with the Australian team to date making it the most successful ODI team (with six world cups) among all the cricket-playing nations.
Performance involves the cognizance of the relevant trade-offs involved (Careau and Wilson, 2017). In the labor market, senior employees may lack physical and mental fitness for mundane daily jobs (Salthouse, 2012) which could be costly to employers. However, they possess the appropriate experience required for advisory or managerial roles and can also facilitate knowledge transfer. Similarly, senior cricket players, though less fit, can provide the right performance space to younger players. They can transfer game-specific knowledge to the younger players to boost their confidence by sharing their own experiences. One of the best Indian batters, Rahul Dravid, in an interview with Sambit Bal in 2004 summarizes the above thought in the following words13:
“It is the confidence of doing well consistently, and the maturity gathered over the years. With experience you learn to trust your game more than you did as a youngster. I have looked at all areas of my game and worked hard on all of them. I have really worked on my physical fitness.”
Statements
Data availability statement
The raw data supporting the conclusions of this article will be made available by the corresponding author, without undue reservation.
Author contributions
VJ: Conceptualization, Data curation, Formal analysis, Investigation, Methodology, Resources, Software, Validation, Writing – original draft, Writing – review & editing. SB: Conceptualization, Formal analysis, Methodology, Resources, Supervision, Validation, Visualization, Writing – original draft, Writing – review & editing. PK: Conceptualization, Investigation, Methodology, Project administration, Resources, Supervision, Validation, Visualization, Writing – original draft, Writing – review & editing.
Funding
The author(s) declare that no financial support was received for the research, authorship, and/or publication of this article.
Acknowledgments
The authors are grateful to Ayush Sudarsan for assisting Vipra Jain with the herculean task of compiling/cleaning the entire dataset from various sources over a period of several months—this aided the quality of empirics done by Vipra Jain. The remaining authors were responsible for the research idea and the theory. The authors thank Marie Claire Villeval, Matthew Rablen, Ronald Wendner, Johan Gustafsson, Arti Kalro, Souvik Banerjee, Sarthak Gaurav, Shubh Verma, Soumita Ganguly, and Pooja Sanjay Kadam for their valuable inputs. Sincere gratitude is extended to two referees who provided valuable feedback to give this research article its final shape. This article is fondly dedicated to Kaushik Basu, not only for the volume of his experience from which each author of this article has immensely benefited, but also for the youthful enthusiasm with which he contributed ideas to this research agenda.
Conflict of interest
The authors declare that the research was conducted in the absence of any commercial or financial relationships that could be construed as a potential conflict of interest.
Publisher’s note
All claims expressed in this article are solely those of the authors and do not necessarily represent those of their affiliated organizations, or those of the publisher, the editors and the reviewers. Any product that may be evaluated in this article, or claim that may be made by its manufacturer, is not guaranteed or endorsed by the publisher.
Supplementary material
The Supplementary Material for this article can be found online at: https://www.frontiersin.org/articles/10.3389/frbhe.2024.1492735/full#supplementary-material
Footnotes
1.^ See Allen and Hopkins (2015), Berthelot et al. (2015), and Marck et al. (2019), and the citations therein.
2.^ South African cricketer Graeme Smith is an excellent example (see: https://www.espncricinfo.com/story/older-wiser-leader-360426).
3.^ Many experienced cricket players like Chris Gayle, Virat Kohli, Mahendra Singh Dhoni and others have excelled in various Indian Premier League (IPL) seasons (see: https://www.espncricinfo.com/story/indian-premier-league-2011-the-ipl-xi-517150).
4.^ During our period of study, about 28 test matches were played per year on an average. This is almost half that of the average number of ODI matches (about 55) played per year during the same period.
5.^ We are only looking at men's ODI cricket. Female cricket was not well established during our period of study and hence we do not have sufficient number of data points for meaningful analysis.
6.^ In the real-world such gaps are very common. Former Indian captain Sourav Ganguly, for instance, debuted in international cricket in 1992 but did not play international cricket for next four years and rejoined the Indian team in 1996. However, he continued his career in the national, domestic and state level matches during these four years. Thus, claiming that experience was zero for these four intervening years is not necessarily accurate (even though it is unambiguously not international experience). For simplicity, we assume that players have no break in their career. We will later discuss why we have avoided international cricketers with frequent and long career-breaks (in the subsection on data description).
7.^ We can also think of youth and experience as inputs and performance as output.
8.^ This quote can be found in: https://www.bcci.tv/articles/2022/news/93456#:~:text=When%20I'm%20batting%20with,concentrating%20on%20getting%20him%20out
9.^ Also, the audience today looks forward to new batting records rather than new bowling records since the former are more frequent than the latter and the global audience has formed its expectations accordingly (see: https://www.financialexpress.com/archive/on-the-elements-of-anti-marketing/1163105/).
10.^ The article can be accessed through the following link: https://www.nzherald.co.nz/sport/cricket-odi-rules-overwhelmingly-favour-batters/PKS5IIBDZGADBP7XWIYWACM4ZE/#:~:text=Since%201999%20many%20rules%20have%20been%20introduced,given%20the%20option%20of%20when%20to%20implement
11.^ The first ever ODI match was played on January 5, 1971 between Australia and England in Melbourne.
12.^ Note that economy rate is defined as the average runs given away per ‘over' bowled. Since the definition of an “over” was standardized in the latter part of the 1970s (to be equal to six consecutive deliveries by a bowler), we suitably modify our definition of economy-rate as above so that these figures remain comparable for all bowlers in our study period.
13.^ See https://www.espncricinfo.com/story/the-dravid-method-134464 for reference.
References
1
Adelman M. L. (1986). A Sporting Time: New York City and the Rise of Modern AthleticsChampaign, IL: University of Illinois Press, 1820–1870.
2
Agarwal S. Driscoll J. C. Gabaix X. Laibson D. (2009). The age of reason: financial decisions over the life cycle and implications for regulation. Brookings Pap. Econ. Act.2, 51–117. 10.1353/eca.0.0067
3
Allen S. V. Hopkins W. G. (2015). Age of peak competitive performance of elite athletes: a systematic review. Sports Med.45, 1431–1441. 10.1007/s40279-015-0354-3
4
Argote L. Ingram P. Levine J. M. Moreland R. L. (2000). Knowledge transfer in organizations: learning from the experience of others, Organiz. Behav. Human Deci. Proc.82, 1–8. 10.1006/obhd.2000.2883
5
Baker J. Wattie N. (2018). Innate talent in sport: separating myth from reality. Curr. Issues Sport Sci.3, 1–9. 10.36950/2018ciss006
6
Barnett V. Hilditch S. (1993). The effect of an artificial pitch surface on home team performance in football (soccer). J. Royal Statist. Soc. Series A, 156, 39–50. 10.2307/2982859
7
Berry S. M. Reese C. S. Larkey P. D. (1999). Bridging different eras in sports. J. Am. Statist. Assoc.94, 661–676. 10.1080/01621459.1999.10474163
8
Berthelot G. Johnson S. Noirez P. Antero J. Marck A. Desgorces F. D. et al . (2019). The age-performance relationship in the general population and strategies to delay age related decline in performance. Arch. Public Health77, 1–9. 10.1186/s13690-019-0375-8
9
Berthelot G. Len S. Hellard P. Tafflet M. Guillaume M. Vollmer J. C. et al . (2012). Exponential growth combined with exponential decline explains lifetime performance evolution in individual and human species. GeroSci. Offici. J. Am. Aging Assoc.34, 1001–1009. 10.1007/s11357-011-9274-9
10
Berthelot G. Sedeaud A. Marck A. Antero J. Schipman J. Sauliere G. et al . (2015). Has athletic performance reached its peak?Sports Med.45, 1263–1271. 10.1007/s40279-015-0347-2
11
Borsch-Supan A. Hunkler C. Weiss M. (2021). Big data at work: age and labor productivity in the service sector. J. Econ. Ageing19:100319. 10.1016/j.jeoa.2021.100319
12
Borsch-Supan A. Weiss M. (2016). Productivity and age: evidence from work teams at the assembly line. J. Econ. Ageing7, 30–42. 10.1016/j.jeoa.2015.12.001
13
Bradbury J. C. (2009). Peak athletic performance and ageing: evidence from baseball, Journal of Sports Sci.27, 599–610. 10.1080/02640410802691348
14
Brown T. W. Gough L. A. Kelly A. L. (2021). Performance trajectories of bowlers and batters from youth level to senior professional status in cricket. Int. J. Perf. Analy. Sport22, 1–15. 10.1080/24748668.2021.1993028
15
Careau V. Wilson R. S. (2017). Performance trade-offs and ageing in the ‘world's greatest athletes'. Proc. Royal Soc. B284:20171048. 10.1098/rspb.2017.1048
16
Chomik R. Jacinto M. (2021). “Peak performance age in sport,” in The Australian Research Council Centre of Excellence in Population Ageing Research (CEPAR) (Sydney, NSW: The Australian Research Council Centre of Excellence in Population Ageing Research (CEPAR)). Available at: https://cepar.edu.au/sites/default/files/peak-performance-age-sport.pdf
17
Chopra A. (2012). “A cricketer most evolved,” in Rahul Dravid: Timeless Steel, ed. S. Bal (1st ed) (Mumbai: The Walt Disney Company (India) Private Limited), 174.
18
Connor J. D. Renshaw I. Farrow D. (2020). Defining cricket batting expertise from the perspective of elite coaches. PLoS ONE15:e0234802. 10.1371/journal.pone.0234802
19
Crowther R. H. Renshaw I. Spratford W. A. Sayers M. G. Gorman A. D. (2023). Previous experiences can influence individual cricket spin bowlers' perceptions of affordances in the performance landscape, Psychol. Res.87, 1729–1742. 10.1007/s00426-022-01769-6
20
Cureton T. K. (1956). Relationship of physical fitness and athletic performance and sports. JAMA.162, 1139–1149. 10.1001/jama.1956.02970290035010
21
Doshi A. (2016). Tendulkar in Wisden: An Anthology. London: Bloomsbury Publishing.
22
Douglas M. J. Tam N. (2010). Analysis of team performances at the ICC World Twenty20 Cup. Int. J. Perform. Analys. Sport10, 47–53. 10.1080/24748668.2010.11868500
23
Dumas J. A. (2015). What is normal cognitive aging? Evidence from task-based functional neuroimaging. Curr. Behav. Neurosci. Reports2, 256–261. 10.1007/s40473-015-0058-x
24
Eberhardt W. de Bruin W. B. Strough J. (2019). Age differences in financial decision making: the benefits of more experience and less negative emotions. Behav. Deci. Making32, 79–93. 10.1002/bdm.2097
25
Ericsson K. A. (1990). Successful Aging: Perspectives From the Behavioral Sciences. Cambridge: Cambridge University Press.
26
Ericsson K. A. Krampe R. T. Tesch-Römer C. (1993). The role of deliberate practice in the acquisition of expert performance. Psychol. Rev.100, 363–406. 10.1037//0033-295X.100.3.363
27
Funasaki K. Inoue Y. Takahashi Y. Shirai K. Okada Y. (2024). Knowledge sharing among coaches: expert power and social cognitive theory perspectives. Eur. Sport Managem. Quart.2014, 1–20. 10.1080/16184742.2023.2299253
28
Ganguly S. (2018). A Century is Not Enough: My Roller Coaster Ride to Success. London: Juggernaut Books.
29
Hach B. R. Gaina L. I. Stanescu D. Gusita B. (2023). “The impact of age on NBA player's performances: a data mining approach,” in Institute of Electrical and Electronics Engineers 17th International Symposium on Applied Computational Intelligence and Informatics (SACI) (Timisoara: Institute of Electrical and Electronics Engineers), 65–70. 10.1109/SACI58269.2023.10158605
30
Hertzog C. (2020). Aging and peak human performance: a glance back. J. Gerontol. Ser. B: Psychol. Sci.75, 1621–1624. 10.1093/geronb/gbaa057
31
Jamil M. Harkness A. Mehta S. Phatak A. Memmert D. Beato M. (2023). Investigating the impact age has on within-over and death bowling performance in international level 50-over cricket. Res. Sports Med.31, 171–180. 10.1080/15438627.2021.1954515
32
Kalen A. Ferreiros A. P. Costa P. B. Rey E. (2021). Effects of age on physical and technical performance in National Basketball Association (NBA) players. Res. Sports Med.29, 277–288. 10.1080/15438627.2020.1809411
33
Kalwij A. Jaegher K. D. (2023). The age-performance relationship for a cognitive-intensive task: Empirical evidence from chess grandmasters. Sports Econ. Rev.2:100010. 10.1016/j.serev.2023.100010
34
Kanfer R. Ackerman P. L. (2004). Aging, adult development, and work motivation, Acad. Managem. Rev.29, 440–458. 10.5465/amr.2004.13670969
35
Kholkine L. Latre S. Verdonck T. de Leeuw A. W. (2023). Age of peak performance in professional road cycling. J. Sports Sci.41, 298–306. 10.1080/02640414.2023.2208998
36
Kim H. Lee B. S. (2023). Aging workforce, wages, and productivity: do older workers drag productivity down in Korea?J. Econ. Ageing24:100444. 10.1016/j.jeoa.2023.100444
37
Kirsch G. B. (1991). Massachusetts Baseball and Cricket, Sports in Massachusetts: Historical Essays.Westfield, MA, Institute for Massachusetts Studies, 1840–1870.
38
Lehman H. C. (1953). Age and Achievement, Princeton NJ: Princeton University Press.
39
Lewis L. F. Wescott H. D. (2017). Multi-generational workforce: four generations united in lean. J. Busin. Stud. Quart.8, 1–14. Available at: https://www.proquest.com/docview/18803658772
40
Lucifora C. Simmons R. (2003). Superstar effects in sport: evidence from Italian Soccer, J. Sports Econ.4, 35–55. 10.1177/1527002502239657
41
Mangan J. (2014). “Ageing and Test cricket averages: a statistical note,” in Australian Institute for Business and Economics Working Paper Series (Brisbane, QLD: Australian Institute for Business and Economics).
42
Marck A. Antero J. Berthelot G. Johnson S. Sedeaud A. Leroy A. et al . (2019). Age-related upper limits in physical performances. J. Gerontol.: Series A, 74, 591–599. 10.1093/gerona/gly165
43
Menon S. (2012). “The talent myth,” in S. Bal (Ed.), Rahul Dravid: Timeless Steel (1st ed), (Mumbai: The Walt Disney Company (India) Private Limited), 174.
44
Mirza S. (2023). “Beyond cricket,” in Sachin @ 50: Celebrating a Maestro, ed. B. Majumdar (1st ed) (Noida: Simon and Schuster India), 124.
45
Moore J. C. Brylinsky J. (1995). Facility familiarity and the home advantage. J. Sport Behav.18, 302–311.
46
Morley B. Thomas D. (2005). An investigation of home advantage and other factors affecting outcomes in English one-day cricket matches. J. Sports Sci.23, 261–268. 10.1080/02640410410001730133
47
Noakes T. D. Durandt J. J. (2000). Physiological requirements of cricket. J. Sports Sci.18, 919–929. 10.1080/026404100446739
48
Noorbhai M. H. Noakes T. D. (2015). Advances in cricket in the 21st century: science, performance and technology. Afric. J. Phys. Health Educ. Recreat. Dance21, 1310–1320. Available at: https://hdl.handle.net/10520/EJC1822983
49
Pollard R. (2002). Evidence of a reduced home advantage when a team moves to a new stadium. J. Sports Sci.20, 969–973. 10.1080/026404102321011724
50
Raman W. V. (2009). There's no substitute for skill. Sportstar31:24. Available at: https://sportstar.thehindu.com/magazine/theres-no-substitute-for-skill/article29706006.ece4
51
Rey E. Lorenzo-Martinez M. Lopez-Del C. R. Resta R. Lago-Penas C. (2022). No sport for old players. A longitudinal study of aging effects on match performance in elite soccer. J. Sci. Med. Sport25, 535–539. 10.1016/j.jsams.2022.03.004
52
Saikia H. Bhattacharjee D. Bhattacharjee A. Lemmer H. (2015). Longitudinal linear mixed effect model: an application in analyzing age effects in Twenty20 cricket. Thailand Statist.13, 223–42. Available at: https://ph02.tci-thaijo.org/index.php/thaistat/article/download/37774/31385/
53
Saikia H. Bhattacharjee D. Mukherjee D. (2019). Cricket Performance Management. Cham: Springer Nature.
54
Salthouse T. (2012). Consequences of age-related cognitive declines. Annual Rev. Psychol.63, 201–226. 10.1146/annurev-psych-120710-100328
55
Santhanam V. Balasubramanian S. (2009). If Cricket is Religion, Sachin is God. Gurgaon: HarperCollins Publishers India.
56
Schulz R. Curnow C. (1988). Peak performance and age among superathletes: track and field, swimming, baseball, tennis, and golf. J. Gerontol.: Psychol. Sci.43, 113–120. 10.1093/geronj/43.5.P113
57
Schulz R. Musa D. Staszewski J. Siegler R. S. (1994). The relationship between age and major league baseball performance: implications for development. Psychol. Aging9, 274–86. 10.1037//0882-7974.9.2.274
58
Silva A. F. Conte D. Clemente F. M. (2020). Decision-making in youth team-sports players: a systematic review. Int. J. Environm. Res. Public Health17:3803. 10.3390/ijerph17113803
59
Silva R. M. Manage A. B. W. Swartz T. (2015). A study of the powerplay in one-day cricket. Eur. J. Operat. Res.244:3. 10.1016/j.ejor.2015.02.004
60
Thorley J. (2021). Bowled over or over bowled? Age-related changes in the performance of bowlers in Test match cricket. Int. J. Sports Sci. Coach.16, 1138–1151. 10.1177/17479541211001726
61
Ugra S. (2012). “When you've played at the top, it's hard to settle for second-best,” in Rahul Dravid: Timeless Steel, ed. S. Bal (1st ed) (Mumbai: The Walt Disney Company (India) Private Limited), 174.
Summary
Keywords
aging, experience, group performance, trade-offs, sports economics
Citation
Jain V, Banerjee S and Kothari P (2024) Trade-off between fitness and experience: insights from historical data on ODI cricket. Front. Behav. Econ. 3:1492735. doi: 10.3389/frbhe.2024.1492735
Received
07 September 2024
Accepted
04 November 2024
Published
28 November 2024
Volume
3 - 2024
Edited by
Romain Gauriot, Deakin University, Australia
Reviewed by
Sarah Jewell, University of Reading, United Kingdom
Sundar Ponnusamy, Monash University, Australia
Updates
Copyright
© 2024 Jain, Banerjee and Kothari.
This is an open-access article distributed under the terms of the Creative Commons Attribution License (CC BY). The use, distribution or reproduction in other forums is permitted, provided the original author(s) and the copyright owner(s) are credited and that the original publication in this journal is cited, in accordance with accepted academic practice. No use, distribution or reproduction is permitted which does not comply with these terms.
*Correspondence: Vipra Jain 214080014@iitb.ac.in
†ORCID: Vipra Jain orcid.org/0009-0009-0550-4404
Subrato Banerjee orcid.org/0000-0003-1218-8533
Priyanka Kothari orcid.org/0000-0003-0931-878X
Disclaimer
All claims expressed in this article are solely those of the authors and do not necessarily represent those of their affiliated organizations, or those of the publisher, the editors and the reviewers. Any product that may be evaluated in this article or claim that may be made by its manufacturer is not guaranteed or endorsed by the publisher.