ORIGINAL RESEARCH article
Front. Bioeng. Biotechnol.
Sec. Biomechanics
4 pedicle screw mono-segment versus 6 pedicle screw short-segment fixation in the Treatment of Thoracolumbar Endplate Fractures: Finite Element Analysis and Clinical Follow-Up
Provisionally accepted- 1The Second affiliated hospital of Inner Mongolia Medical University, Hohhot, China
- 2Inner Mongolia Medical University, Hohhot, China
Select one of your emails
You have multiple emails registered with Frontiers:
Notify me on publication
Please enter your email address:
If you already have an account, please login
You don't have a Frontiers account ? You can register here
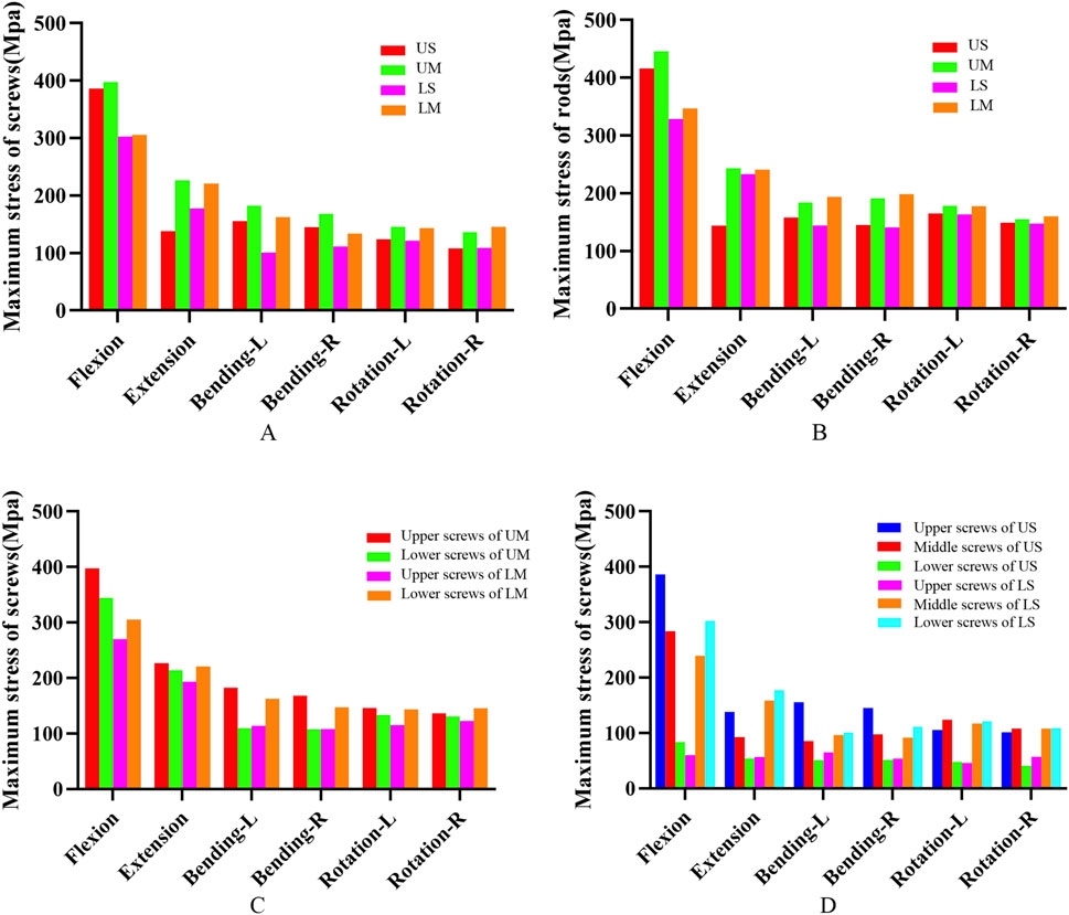
Objective: To compare the finite element analysis and clinical follow-up of posterior 4 pedicle screw mono-segment and 6 pedicle screw short-segment pedicle screw fixation techniques in the treatment of thoracolumbar endplate fractures of the spine. Methods: 1.The finite element method was used to analyze the treatment of thoracolumbar upper endplate or lower endplate burst fractures with posterior 4 pedicle screw mono-segment and 6 pedicle screw short-segment pedicle screw fixation techniques (UM: upper endplate fracture+mono-segment pedicle screw fixation [UEPF+MPSF], US: upper endplate fracture+short-segment pedicle screw fixation [UEPF+SPSF], LM: lower endplate fracture+mono-segment pedicle screw fixation [LEPF+MPSF], LS: lower endplate fracture+short-segment pedicle screw fixation [LEPF+SPSF]). 2.A retrospective analysis was conducted on 77 patients with mild to moderate thoracolumbar spine fractures of type A3.1 admitted from October 2019 to October 2024. Among them, 38 patients underwent posterior 4 pedicle screw mono-segment, and 39 patients underwent posterior 6 pedicle screw short-segment fixation. The perioperative performance, clinical functional performance, and imaging performance were compared between the two groups. Results: 1.Finite element analysis and prediction based on specific models: In fractures of the same type, the range of motion (ROM) in all directions of 4 pedicle screw mono-segment fixation showed a trend of higher values compared with 6 pedicle screw short-segment fixation, while the von Mises stress of adjacent intervertebral discs and adjacent facet joints showed a trend of lower values compared with 6-screw short-segment fixation. The 6 pedicle screw short-segment fixation model predicted that the maximum displacement of the fixed segment, the mobility of the fixed segment, and the mobility of the injured vertebra were smaller than those of 4 pedicle screw mono-segment fixation. The peak von Mises stress values of screws in the US, UM, LS, and LM groups were 386.61 Mpa, 397.60 Mpa, 302.63 Mpa, and 305.59 Mpa, respectively; the peak von Mises stress values of rods in these groups were 416.22 Mpa, 446.18 Mpa, 329.03 Mpa, and 347.47 Mpa, respectively. The stress of the injured vertebra in 6 pedicle screw short-segment fixation showed a trend of lower values compared with 4 pedicle screw mono-segment fixation……
Keywords: finite element analysis (FEA), clinical outcomes, Retrospective study, Mesh convergence, Finite element mesh
Received: 06 Aug 2025; Accepted: 31 Oct 2025.
Copyright: © 2025 Liu, He, Li, Yang and Xing. This is an open-access article distributed under the terms of the Creative Commons Attribution License (CC BY). The use, distribution or reproduction in other forums is permitted, provided the original author(s) or licensor are credited and that the original publication in this journal is cited, in accordance with accepted academic practice. No use, distribution or reproduction is permitted which does not comply with these terms.
* Correspondence: Wenhua Xing, xwhspine@126.com
Disclaimer: All claims expressed in this article are solely those of the authors and do not necessarily represent those of their affiliated organizations, or those of the publisher, the editors and the reviewers. Any product that may be evaluated in this article or claim that may be made by its manufacturer is not guaranteed or endorsed by the publisher.
