ORIGINAL RESEARCH article
Front. Bioeng. Biotechnol.
Sec. Synthetic Biology
Efficient production of functional cholera toxin B subunit using geminiviral replicons in Nicotiana benthamiana
Provisionally accepted- National Institute of Agricultural Sciences, Wanju-gun, Republic of Korea
Select one of your emails
You have multiple emails registered with Frontiers:
Notify me on publication
Please enter your email address:
If you already have an account, please login
You don't have a Frontiers account ? You can register here
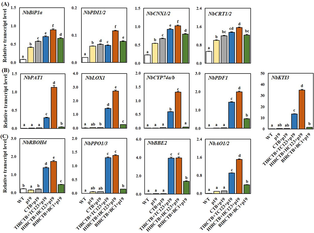
The cholera toxin B subunit (CTB) has the potential to be a carrier molecule and an effective adjuvant for mucosal vaccines because of its ability to enhance immune responses to antigens. CTB proteins have been expressed in plant-based expression systems. In this study, we used geminiviral replicon systems to transiently express CTB in Nicotiana benthamiana. We developed a high-level expression system that uses combinations of the replication machinery of geminivirus, including tomato yellow leaf curl virus (TYLCV), honeysuckle yellow vein virus (HYVV), and beet mild curly top virus (BMCTV). These were named TIR+TC123, HIR+HC123, and BIR+BC1, respectively. The plant-optimized CTB gene was cloned into each geminivirus IR-carrying vector and co-infiltrated into N. benthamiana leaves. Immunoblot analysis verified the synthesis and assembly of CTB into pentamers. The highest CTB protein level, approximately 2.5 mg/g fresh weight (22% of total soluble protein), was observed on day 5 in the BMCTV combination in N. benthamiana. CTB transiently expressed in plants using geminivirus-based viral vector systems demonstrated enhanced protein expression levels and a strong affinity for GM1-ganglioside. This suggests that the CTB subunits form an active pentamer, implying its potential as an adjuvant for mucosal vaccines.
Keywords: Cholera toxin B, Geminivirus-based deconstructed vectors, transient expression, Nicotiana benthamiana, er stress
Received: 27 Aug 2025; Accepted: 03 Nov 2025.
Copyright: © 2025 Kim, Lee, Lee, Lee and Lee. This is an open-access article distributed under the terms of the Creative Commons Attribution License (CC BY). The use, distribution or reproduction in other forums is permitted, provided the original author(s) or licensor are credited and that the original publication in this journal is cited, in accordance with accepted academic practice. No use, distribution or reproduction is permitted which does not comply with these terms.
* Correspondence: Kyeong-Ryeol Lee, realdanny@korea.kr
Disclaimer: All claims expressed in this article are solely those of the authors and do not necessarily represent those of their affiliated organizations, or those of the publisher, the editors and the reviewers. Any product that may be evaluated in this article or claim that may be made by its manufacturer is not guaranteed or endorsed by the publisher.
