ORIGINAL RESEARCH article
Front. Bioeng. Biotechnol.
Sec. Biomaterials
Impact of Storage Techniques on Ovine Temporomandibular Joint Discs Composition and Physicochemical Properties
Provisionally accepted- 1Center for Rapid and Sustainable Product Development, Polytechnic Institute of Leiria, Marinha Grande, Portugal
- 2Instituto Politecnico de Lisboa Instituto Superior de Engenharia de Lisboa, Lisbon, Portugal
- 3Universidade de Lisboa Instituto de Bioengenharia e Biociencias, Lisbon, Portugal
- 4Universidade do Porto Instituto de Ciencias Biomedicas Abel Salazar, Porto, Portugal
- 5Instituto Politecnico de Coimbra, Coimbra, Portugal
Select one of your emails
You have multiple emails registered with Frontiers:
Notify me on publication
Please enter your email address:
If you already have an account, please login
You don't have a Frontiers account ? You can register here
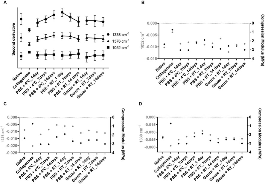
The temporomandibular joint disc plays a vital role in daily activities, and when it is compromised, it significantly impairs oral health and quality of life. The use of animal tissues for decellularized tissue engineering applications has been gaining interest, and an appropriate method for storing these tissues before processing has yet to be explored. This study characterizes the native temporomandibular ovine disc and compares storage protocols aimed at maintaining its morphology, biochemical content, and mechanical and thermal properties. Three storage protocols were tested: (i) freezing at -20°C in phosphate-buffered saline (PBS) and thawing at 4°C (PBS+4°C); (ii) freezing at -20°C in PBS and thawing at room temperature (RT) (PBS+RT); and (iii) wrapping the discs in PBS-embedded gauze, freezing at -20°C, and thawing at RT (Gauze+RT). Protocols were evaluated for short-term storage at 1, 7, and 14 days, and compared with a native and a collagenase-treated disc. All conservation protocols induced changes, though less pronounced than the enzymatic degradation. The PBS+4°C and PBS+RT highlighted contrasting biochemical and mechanical outcomes, and thermal analysis revealed alterations to collagen structure. The Gauze+RT protocol preserved the biochemical content over time but exhibited a higher compression modulus on day 14. These results highlight how crucial it is to select adequate conservation techniques when preparing the TMJ disc for future studies.
Keywords: Temporomandibular Joint Disc, Ovine model, Biochemical composition, Freezing time storage, Extracellular Matrix
Received: 14 Oct 2025; Accepted: 19 Nov 2025.
Copyright: © 2025 Trindade, Calado, Silva, Maurício, Alves and Moura. This is an open-access article distributed under the terms of the Creative Commons Attribution License (CC BY). The use, distribution or reproduction in other forums is permitted, provided the original author(s) or licensor are credited and that the original publication in this journal is cited, in accordance with accepted academic practice. No use, distribution or reproduction is permitted which does not comply with these terms.
* Correspondence: Daniela Trindade, daniela.trindade@ipleiria.pt
Disclaimer: All claims expressed in this article are solely those of the authors and do not necessarily represent those of their affiliated organizations, or those of the publisher, the editors and the reviewers. Any product that may be evaluated in this article or claim that may be made by its manufacturer is not guaranteed or endorsed by the publisher.
