Your new experience awaits. Try the new design now and help us make it even better

ORIGINAL RESEARCH article

Front. Cardiovasc. Med., 13 January 2025

Sec. Clinical and Translational Cardiovascular Medicine

Volume 11 - 2024 | https://doi.org/10.3389/fcvm.2024.1460354

This article is part of the Research TopicNovel Translational Advances in Artificial Intelligence for Diagnosis and Treatment of Cardiovascular DiseasesView all 8 articles

Contrastive learning with transformer for adverse endpoint prediction in patients on DAPT post-coronary stent implantation


Fang Li,&#x;Fang Li1,†Zenan Sun,&#x;Zenan Sun2,†Ahmed abdelhameedAhmed abdelhameed1Tiehang DuanTiehang Duan1Laila RasmyLaila Rasmy2Xinyue HuXinyue Hu1Jianping HeJianping He2Yifang DangYifang Dang2Jingna FengJingna Feng1Jianfu LiJianfu Li1Yichen WangYichen Wang3Tianchen LyuTianchen Lyu4Naomi BraunNaomi Braun4Si PhamSi Pham5Michael GharacholouMichael Gharacholou6DeLisa FairweatherDeLisa Fairweather6Degui ZhiDegui Zhi2Jiang BianJiang Bian4Cui Tao

Cui Tao1*
  • 1Department of Artificial Intelligence and Informatics, Mayo Clinic, Jacksonville, FL, United States
  • 2McWilliams School of Biomedical Informatics, University of Texas Health Science Center at Houston, Houston, TX, United States
  • 3Division of Hospital Medicine, Perelman School of Medicine, University of Pennsylvania, Philadelphia, PA, United States
  • 4Health Outcomes and Biomedical Informatics, University of Florida Health, Gainesville, FL, United States
  • 5Department of Cardiothoracic Surgery, Mayo Clinic, Jacksonville, FL, United States
  • 6Department of Cardiovascular Medicine, Mayo Clinic, Jacksonville, FL, United States

Background: Effective management of dual antiplatelet therapy (DAPT) following drug-eluting stent (DES) implantation is crucial for preventing adverse events. Traditional prognostic tools, such as rule-based methods or Cox regression, despite their widespread use and ease, tend to yield moderate predictive accuracy within predetermined timeframes. This study introduces a new contrastive learning-based approach to enhance prediction efficacy over multiple time intervals.

Methods: We utilized retrospective, real-world data from the OneFlorida + Clinical Research Consortium. Our study focused on two primary endpoints: ischemic and bleeding events, with prediction windows of 1, 2, 3, 6, and 12 months post-DES implantation. Our approach first utilized an auto-encoder to compress patient features into a more manageable, condensed representation. Following this, we integrated a Transformer architecture with multi-head attention mechanisms to focus on and amplify the most salient features, optimizing the representation for better predictive accuracy. Then, we applied contrastive learning to enable the model to further refine its predictive capabilities by maximizing intra-class similarities and distinguishing inter-class differences. Meanwhile, the model was holistically optimized using multiple loss functions, to ensure the predicted results closely align with the ground-truth values from various perspectives. We benchmarked model performance against three cutting-edge deep learning-based survival models, i.e., DeepSurv, DeepHit, and SurvTrace.

Results: The final cohort comprised 19,713 adult patients who underwent DES implantation with more than 1 month of records after coronary stenting. Our approach demonstrated superior predictive performance for both ischemic and bleeding events across prediction windows of 1, 2, 3, 6, and 12 months, with time-dependent concordance (Ctd) index values ranging from 0.88 to 0.80 and 0.82 to 0.77, respectively. It consistently outperformed the baseline models, including DeepSurv, DeepHit, and SurvTrace, with statistically significant improvement in the Ctd-index values for most evaluated scenarios.

Conclusion: The robust performance of our contrastive learning-based model underscores its potential to enhance DAPT management significantly. By delivering precise predictive insights at multiple time points, our method meets the current need for adaptive, personalized therapeutic strategies in cardiology, thereby offering substantial value in improving patient outcomes.

1 Introduction

Coronary artery disease (CAD), the leading cause of death globally, affects around 200 million people worldwide and results in around nine million fatalities annually (1). It remains the most common prevalent heart condition in both the United States and worldwide (2, 3). In 2019, CAD was identified as the single largest contributor to global mortality, highlighting its critical impact on population health (4). Patients with CAD can significantly improve their prognosis through early revascularization, primarily percutaneous coronary intervention (PCI), with drug-eluting stent (DES) implantation as its core part. Following PCI, current guidelines recommend patients receive dual antiplatelet therapy (DAPT), a regimen combining aspirin and a P2Y12 receptor inhibitor, to reduce risks of myocardial infarction (MI) and stent thrombosis. However, the management of DAPT poses a great challenge as shorter durations may fail to prevent the recurrence of ischemic conditions, whereas prolonged usage can heighten the bleeding risk. Hence, DAPT remains one of the most intensively investigated interventions in cardiovascular medicine (5). The decision-making process regarding the treatment duration requires a thoughtful evaluation of the trade-offs between ischemic and bleeding risks (6).

To support clinical decision-making, the cardiovascular community has developed various risk-predictive scores. Notably, the DAPT score (7, 8) and the PRECISE-DAPT score (9, 10) are prominent tools derived from clinical trials, designed to aid in determining the optimal duration of DAPT. The DAPT score focuses on the benefits of extending DAPT beyond 1 year (12–30 months), whereas the PRECISE-DAPT assesses the risks and benefits of long (12–24 months) vs. short (3–6 months) DAPT durations. Both scores utilize a manageable number of predictors, providing convenience in assisting clinical practice. However, their performance is relatively modest, with c-scores around 0.70 for risk stratifications (7, 9). Additionally, the clinical trial-based derivation source poses some restrictions, applicable only to a fixed time window and a predefined medication regimen. As treatment strategies evolve, there has been a shift towards more personalized and flexible DAPT regimens, such as de-escalation or abbreviation (11, 12), facilitated by the adoption of newer-generation stents and more effective antiplatelet medications. Concurrently, the availability of extensive healthcare data has paved the way for AI-based innovations in risk assessment (13, 14). Numerous studies have utilized machine learning techniques, such as XGBoost and Random Forest, to predict the risks of adverse events following PCI or acute coronary syndrome (ACS) (1518). However, among these studies, very few focused specifically on DAPT management. To address this gap, we previously developed AI-DAPT (19), an approach using the Light Gradient Boosting Machine (LGBM) classifier (20) to dynamically forecast adverse outcomes post-PCI with various DAPT durations. While this model demonstrated strong performance, it represents an earlier generation of machine learning methods that primarily depend on structured decision trees.

In pursuit of further advancement, our current research has turned to the transformative capabilities of transformer-based models, which are revolutionizing various fields with their superior ability to handle complex patterns and data relationships. Transformer, popularized by their application in natural language processing (NLP) through models like the generative pre-trained transformer (GPT), operates on the principle of self-attention mechanisms that process input data in parallel. This allows for significantly improved efficiency and depth in modeling the temporal dynamics and interactions, which are critical for accurate survival analysis in clinical settings. In this study, we introduce a cutting-edge approach by combining transformer architecture with contrastive learning—a technique that enhances learning efficiency by contrasting pairs of similar and dissimilar data points (21). The Contrastive learning process involves minimizing a contrastive loss function that decreases the distance between similar data points while increasing the distance between dissimilar data points (21). It has been explored in biomedical research recently. Chen et al. proposed a deep multi-view contrastive learning model using multi-omics data for cancer subtype identification (22). Park et al. utilized deep contrastive learning for efficient molecular property prediction (23). Kokilepersaud et al. developed a contrastive learning-based model to classify the biomarkers in optical coherence tomography scans (24). The contrastive element allows the model to focus on critical features that differentiate outcomes (25, 26), making it especially adept at handling the complexities of post-PCI risk assessment. By leveraging the advanced AI framework, we aim to substantially enhance the accuracy, reliability, and flexibility of risk prediction after DES implantation, facilitating effective, personalized DAPT duration management in CAD patients.

2 Materials and methods

2.1 Data source and study cohort

We utilized the real-world clinical data from the OneFlorida+ Clinical Research Consortium, an integral part of the national PCORnet effort (27, 28). The dataset encompasses longitudinal EHRs for approximately 16.8 million individuals in Florida dating back to 2012 and provides a broad spectrum of patient information, encapsulating demographics, diagnoses, medications, procedures, and lab tests, among others. Our study was approved by the University of Florida Institutional Review Board (IRB) under IRB202000875 and the Mayo Clinic IRB under ID24-001183.

A total of 66,870 adult patients who underwent DES implantation between 2012 and 2020 were identified as potential inclusion for this study. The index date was designated as the date when a patient received the first DES implantation, labeled as time 0. Patients were excluded if they met any of the following criteria: (1) age >95 years at the index date; (2) absence of essential data such as gender or race among their whole records, or missing diagnosis or medication record after the index date; (3) absence of P2Y12 inhibitor record after the index date; (4) follow-up less than 1 month after the index date (Figure 1).

Figure 1
www.frontiersin.org

Figure 1. Study cohort selection.

2.2 Endpoints and characteristics

This study primarily focused on two endpoints: ischemia and bleeding. The primary ischemic endpoint was a composite of acute ischemic heart disease, ischemic stroke, and coronary revascularization. The primary bleeding endpoint consisted of a spectrum from minor to severe spontaneous bleeding as well as blood transfusion. The details of definitions and validation of the phenotyping algorithms could refer to our previous study (19).

Following the approach of the PRECISE-DAPT score, we excluded endpoints occurring during the hospital stay, which were largely related to invasive procedures. Regarding 7 days being the upper limit of current hospitalization trends in patients with ACS, we started event prediction on the 8th day after the initial invasive procedure (the index visit). DAPT exposure was defined as the combinational antiplatelet therapy with aspirin and a P2Y12 receptor inhibitor (clopidogrel, prasugrel, or ticagrelor). Due to the over-the-counter availability, aspirin may not necessarily be included as a prescription in the EHR data. Regarding this, we assumed that all patients were on aspirin regardless of whether the aspirin information was captured in their records or not.

This study examined patient characteristics potentially associated with the development of the adverse endpoints, comprising: (1) sociodemographic information, including the age at the index visit, sex, and race/ethnicity; (2) medical history and risk factors, encompassing a range of factors such as prior incidents (bleeding, myocardial infarction [MI], stroke, coronary artery bypass graft surgery [CABG]), lifestyle factors (alcohol abuse, smoking), health conditions (anemia, atrial fibrillation, cancer, chronic kidney disease [CKD], congestive heart failure [CHF], diabetes mellitus, dyslipidemia, hypertension, liver disease, peripheral vascular disease [PVD], and venous thromboembolism [VTE]); (3) concomitant medications, including angiotensin-converting enzyme inhibitors (ACEIs), angiotensin receptor blockers (ARBs), beta-blockers, calcium antagonists, non-steroidal anti-inflammatory drugs (NSAIDs), and statins. The definitions of the comorbidities and generic name sets of the medications were mainly based on the Elixhauser Comorbidity Index, Epocrates Web Drugs, and related studies. The standard terminologies referenced in this study included the International Classification of Diseases, Ninth and Tenth Revision, Clinical Modification (ICD-9-CM, ICD-10-CM) for diagnoses, the ICD procedure coding system (ICD-9-PCS and ICD-10-PCS), Current Procedural Terminology, 4th Edition (CPT-4), and the Healthcare Common Procedure Coding System (HCPCS) for procedures.

2.3 Predictive modeling

2.3.1 Contrastive learning with transformer

In this work, we proposed a unified framework for adverse endpoint prediction for patients on DAPT post-PCI. Our approach began with a lower-level auto-encoder (encoder-decoder) model which extracted compressed features from the embedding matrix to reduce dimensionality, which served as input to the multi-head attentional transformer. We performed contrastive learning on the transformer for the improvement of discriminative power and robustness in the parameter space. Specifically, we performed simultaneous optimization for both the event classification and cumulative risk prediction tasks. Given the inherent variability of patient data from different subjects, leverage of the heterogeneous prediction tasks enhances the model's generalization ability towards the noise and variance in the data. The model parameters are optimized with contrastive triplet loss, which seeks to minimize the distance between pairs of samples with the same label and, at the same time maximize the distance between paired samples of different classes. Optimization of this multi-task contrastive target encourages the model to extract meaningful representations that are versatile across the different prediction tasks. Specifically, our model comprises modules of input, autoencoder, transformer encoder, contrastive learning network, and multi-task learning for output. The architecture overview is depicted in Figure 2.

1. Input Module. We used the one-hot encoding method to create an embedding lookup table for all codes, then converted values of categorical variables (such as gender and disease) to high-dimensional vectors. We performed standardization transformation for numerical variables (such as age) to achieve a mean of 0 and standard deviation of 1 and then initialized them with a random embedding. As a result, each feature will have an embedding vector with the same size. After that, we concatenated both types of embedding vectors to construct a complete embedding matrix. Each patient's embedding is a 2-dimensional array with an M × N shape, where M is the number of features and N is the embedding size. This embedding matrix was the output of this Input Module.

2. Autoencoder Module. Autoencoder is an unsupervised artificial neural network that learns efficient representations of data by compressing input into a lower-dimensional latent space and then reconstructing the original input from this representation. The autoencoder has three parts: an encoder, a bottleneck, and a decoder.

• Encoder: Learns the hidden features of the input data and then compresses it into a smaller dimension.

• Bottleneck: Stores the learned representation. It is usually used for further model training and prediction.

• Decoder: Reconstructs the compressed data to the original dimension. It outputs a synthetic embedding matrix that should be as similar as the input data.


Figure 2
www.frontiersin.org

Figure 2. Study framework. DAPT, dual antiplatelet therapy; MSE, mean square error; PCH, piecewise constant hazard.

We used mean squared error (MSE) loss (LMSE) to optimize the loss between the input and the reconstructed data:

LMSE=1N(hihi)2

Where N is the total number of samples, hi is the ith input and hi is the ith reconstructed data. The output of this module is the learned representation from the bottleneck.

3. Transformer Encoder Module. Transformer is a popular deep-learning model introduced by Vaswani et al. in 2017 (29). The encoder from the transformer is the pivotal component within the transformer architecture that has emerged as a cornerstone in various machine-learning tasks. It employs an attention mechanism to let the network focus on relevant parts of the input sequence, enhancing its ability to capture long-range dependencies and contextual information. Therefore, the learned representation from the attentive encoder is calculated by:

Attention(Q,K,V)=softmax(QKTdk)V

Where Q is the matrix of all query vectors, K is the matrix of all key vectors, V is the matrix of all value vectors, and dk is the dimension of the key vectors. All query, key, and value matrices are transformed from the input embedding. The softmax(QKTdk) calculates the normalized attention scores matrix (or relevant scores matrix) between each feature. The higher attention scores imply greater relevance and force the model to focus on certain parts of the input sequence while generating each output element. As a result, the learned representation is obtained by multiplying the attention score matrix with the value matrix.

4. Contrastive Learning Module. Contrastive learning is a self-supervised technique that learns representations by contrasting similar and dissimilar samples. Maximizing agreement between positive pairs (samples from the same class) and minimizing agreement between negative pairs (samples from different classes) enhances the model's ability to discriminate samples from different classes. In this project, we used the triplet loss (Ltriplet) to minimize the distance between the embedding of positive pairs while maximizing the distance between the embedding of negative pairs. We modified the Ltriplet below:

Ltriplet=max(||f(xit)f(xi+)||22+β||f(xit)f(xi)||22,0)

Where f(xit) is the embedding of the ith random selected target sample, f(xi+) and f(xi) represent the averages of embeddings from either the same or different classes of the target sample, respectively.

5. Output Module—Cumulative Risk Prediction. We utilized the shared representation learning network to perform multiple tasks using a shared feature representation. This strategy allows the model to learn new knowledge from different tasks and hence improve model performance. In this project, we designed two distinct tasks: event classification and cumulative risk prediction. The event classification is optimized by the binary cross entropy loss (LBCE) and the risk prediction is updated by the piecewise constant hazard loss function (Lpc) (30).

LBCE=1Ni=1Nyilog(p(yi))+(1yi)log(1p(yi))
LPC=1Ni=1N(dilogλκ(ti)(xi)λκ(ti)(xi)ρ(ti)j=1κ(ti)1λj(xi))

The goal of the piecewise constant hazard loss function Lpc is to evaluate and minimize the discrepancy between the predicted hazard rates (the model's estimate of the risk at any given time) and the actual observed data, including both event occurrences and censored observations. By minimizing this hazard loss, the model learns to predict the risk of events over time while appropriately handling censored data for robust and accurate survival predictions. The loss function consists of three key parts: (1) Maximizing the likelihood of actual events: dilogλκ(ti)(xi): This term accounts for the likelihood of observing the event at time ti. If the event is observed (i.e., di = 1), this term contributes positively to the likelihood of the predicted hazard rate; (2) Penalizing for survival time predictions: λκ(ti)(xi)ρ(ti): This term penalizes the model for incorrect predictions of survival times. The duration of the interval ρ(ti) scales the predicted hazard rate, reflecting the fact that the event's timing is influenced by how long an individual survives; (3) Penalizing for cumulative risks from earlier intervals: j=1κ(ti)1λj(xi)ρj: This sum represents the cumulative hazard over previous intervals, accounting for the risk an individual faces in earlier time periods. It helps to adjust for the fact that hazard rates earlier in the study period influence the probability of survival at later times. In this context, ti is the observed time for the i-th subject; di is event indicator for the i-th subject, specifically, di=1 if the event occurred at time ti, di=0 if the data is censored (i.e., the event didn't happen by time ti); κ(ti) is the index of the time interval containing ti; λκ(ti)(xi) is the predicted hazard rate for the i-th subject in the interval κ(ti), based on the covariates xi and it represents the instantaneous risk at time ti; ρ(ti) is duration of the interval that contains ti; λj(xi) is the predicted hazard rate for earlier intervals (where j<κ(ti)).

As a result, the final loss function Ltotal is defined as:

Ltotal=aLMSE+bLBCE+cLpc

Where a, b, and c are learned coefficients to balance between each loss function.

2.3.2 Baseline models

We chose three cutting-edge deep learning-based survival models as our baselines: DeepSurv, DeepHit, and SurvTRACE. The LGBM was selected as the backbone model in our previous research (19). Since it is a classification model and does not align with the regression nature of the survival analysis, it was not included as a baseline in this study.

DeepSurv is a modern implementation of the Cox proportional hazards (CPH) model using a deep neural network architecture (31). It uses a multi-layer perceptron architecture to handle survival data, capturing both linear and nonlinear effects from features, and modeling the relationship between covariates and the hazard function. The model takes baseline data as input, processing it through several hidden layers with weights θ. Each layer consists of fully connected nodes with nonlinear activation functions, followed by dropout for regularization. The final layer is a single node that performs a linear combination of the hidden features. The network's output is the predicted log-risk function ĥθ(x) (31). A limitation of this model is that it is based on the proportional hazards assumption, which means that the ratio of hazards between individuals is constant over time.

DeepHit is another advanced deep-learning survival model that directly learns the distribution of first-hitting times (32, 33). It comprises a single shared sub-network and a family of cause-specific sub-networks enabling the prediction of a joint distribution of survival times and events. This structure allows it to seamlessly handle multiple competing events using the same features. DeepHit does not assume proportional hazards but it is more complex than DeepSurv and may require more computational resources and data.

SurvTRACE is a state-of-the-art deep learning survival model that leverages a transformer-based architecture to handle complex relationships in the data better to improve model performance (34). Transformer architecture's attention mechanism helps engineer automatic feature learning and increase interpretability. It can handle competing events and multi-task learning through a shared representation network.

2.3.3 Evaluation metrics

We utilized the time-dependent concordance (Ctd) index (34, 35) to measure the performance of cumulative bleeding risk prediction. The traditional concordance index (C-index) evaluates a model's capability to rank the survival times of different individuals accurately. It is determined by the proportion of all possible pairs of individuals for which the model's predictions and the actual outcomes are concordant. The Ctd-index extends this concept by considering survival status at various time points. More specifically, the Ctd-index assesses the model's ability to predict the order of survival times over time by accounting for the censored nature of survival data. In addition to ignoring the bias introduced by the distribution of censoring times, we adapt the inverse probability of censoring weights to obtain a more reliable and robust measure of a model's predictive performance in the presence of censored data. As a result, a meaningful Ctd-index typically ranges from 0.5 to 1.0. A higher value indicates better model performance in ranking survival time or time-to-event outcomes.

We also applied the bootstrapping method to generate a new sampling distribution for model performance evaluation. Specifically, we performed 500 trials to select samples with replacements from the testing set randomly. In each trial, the sample size matched the original testing set size, and the Ctd-index was calculated. The 95% confidence interval (CI) for the Ctd-index was determined using the 2.5th and 97.5th percentiles of the 500 Ctd-index values. To evaluate the significance of the differences between our proposed model and the baselines, we employed Welch's t-test (assuming unequal variance) to compare the Ctd-index values derived from the bootstrap samples between our model and baselines.

2.3.4 Model calibration

To assess the predictive reliability of our model, we plotted calibration curves and calculated the Brier scores. A well-calibrated model demonstrates that its predicted probability closely aligns with the actual likelihood of the event happening. The Brier score is a metric commonly used to evaluate the calibration of probabilistic forecasts, by calculating the mean squared difference between the predicted probabilities of an event and the actual outcomes. A lower Brier score indicates better accuracy, with 0 being a perfect score.

2.4 Statistical analysis

For descriptive analysis of demographic and clinical characteristics, categorical variables are reported as count (%) and continuous variables as mean (standard deviation, SD). We used the chi-square test for categorical variables and the Kruskal-Wallis test for continuous variables to assess the differences between patients who experienced events and those who did not within 1–24 months. A two-sided p ≤ 0.05 was considered statistically significant. Welch's t-test was applied to compare model performance, as detailed in the Evaluation metrics section.

3 Results

3.1 Baseline characteristics

A total of 19,713 adult patients, who underwent DES implantation with more than 1-month records after coronary stenting, were identified as the final cohort from OneFlorida+. Of them, 5,088 (26.5%) experienced ischemic events and 3,150 (16.4%) encountered bleeding events within the first year post-DES implantation. The average age of the cohort was 60.4 years with a standard deviation of 11.8. Among them, 12,036 (61.6%) were males.

Regarding the ischemic event, as shown in Table 1, patients with the event were younger than those without the event (59.4 vs. 63.0, p < 0.0001). Most clinical characteristics were significantly more prevalent in patients with ischemic events than the non-event group. Notably, 66.4% of patients in the ischemic event group presented with acute ischemic heart disease, compared to only 27.9% in the non-event group (p < 0.0001). In terms of medical history, prior conditions like bleeding, ischemic heart disease, and stroke, were more prevalent in the ischemic event group, all showing statistical significance (p < 0.05). For comorbidities and risk factors, there was higher prevalence in the ischemic group for conditions like hypertension (92.5% vs. 87.6%), diabetes (62.4% vs. 51.1%), dyslipidemia (93.3% vs. 86.4%), chronic heart failure (CHF) (57.4% vs. 35.6%), anemia (46.1% vs. 29.5%), atrial fibrillation (20.5% vs. 16.2%), smoking (46.4% vs. 34.1%), and alcohol use (10.7% vs. 7.0%) than the non-ischemic group. Interestingly, the prevalence of cancer did not differ significantly (14.4% vs. 14.3%, p = 0.83) between the two groups. For medication use, only beta-blockers and statins showed no significant difference while other medications, including the use of ACEI, ARB, calcium antagonists, NSAIDs, and PPIs demonstrated significant differences.

Table 1
www.frontiersin.org

Table 1. Baseline characteristics for patients with vs without events (ischemic and bleeding) from 0 to 12 months in the selected cohort of oneFlorida dataset (N = 19,713).

Regarding bleeding events, patients who experienced a bleeding event were older than those who did not (62.9 vs. 61.9, p = 0.0001). Similar to the ischemic event findings, most diagnostic characteristics were more prevalent in patients with bleeding events, except for prior CABG, which showed no significant difference. For medication use in the context of bleeding events, except for ACEIs and PPIs, which showed no significant difference between the event and non-event groups, there is a significantly higher usage of ACEIs, beta-blockers, calcium antagonists, NSAID, and statin drugs in the event group vs. non-event group.

3.2 Model performance

We assessed the performance of our proposed model against several baselines using the Ctd-index at multiple time intervals post-PCI, specifically in 1, 2, 3, 6, and 12 months.

For the ischemic event prediction, our model consistently outperformed the baseline models (DeepSurv, DeepHit, and SurvTRACE) (as shown in Table 2). Initially, in the first month, the Ctd-index for our model was 0.88, higher than DeepSurv (0.84), DeepHit (0.87), and SurvTRACE (0.87). This trend continued with Ctd-index scores in the second month (0.85), third month (0.84), sixth month (0.83), and 12th month (0.80), consistently surpassing the corresponding baseline values. Notably, the performance advantage was more pronounced in shorter prediction windows.

Table 2
www.frontiersin.org

Table 2. Model performance (with 95% CI) across different prediction intervals for the ischemic eventa.

For the bleeding event prediction, similarly, our model demonstrated superior performance (as shown in Table 3). In 1 month, our model achieved a Ctd-index of 0.82, surpassing DeepSurv (0.79), DeepHit (0.81), and SurvTRACE (0.80). This superiority persisted through the 2nd-month (0.81), 3rd-month (0.82), 6th-month (0.82), and 12th-month (0.77) evaluations, generally outperforming all baselines. For both ischemic and bleeding event predictions, the superiority of our model was statistically significant with most p-values less than 0.001.

Table 3
www.frontiersin.org

Table 3. Model performance (with 95% CI) across different prediction intervals for the bleeding eventa.

The weights assigned to the loss function are as follows: For ischemic event prediction, the weights are 0.3 for LMSE, 0.14 for LBCE, and 0.95 for LPC; For bleeding event prediction, the weights are 0.9 for LMSE, 0.14 for LBCE, and 0.89 for LPC. More hyper-parameters of the model are detailed in Supplementary Table S1.

3.3 Calibration curves

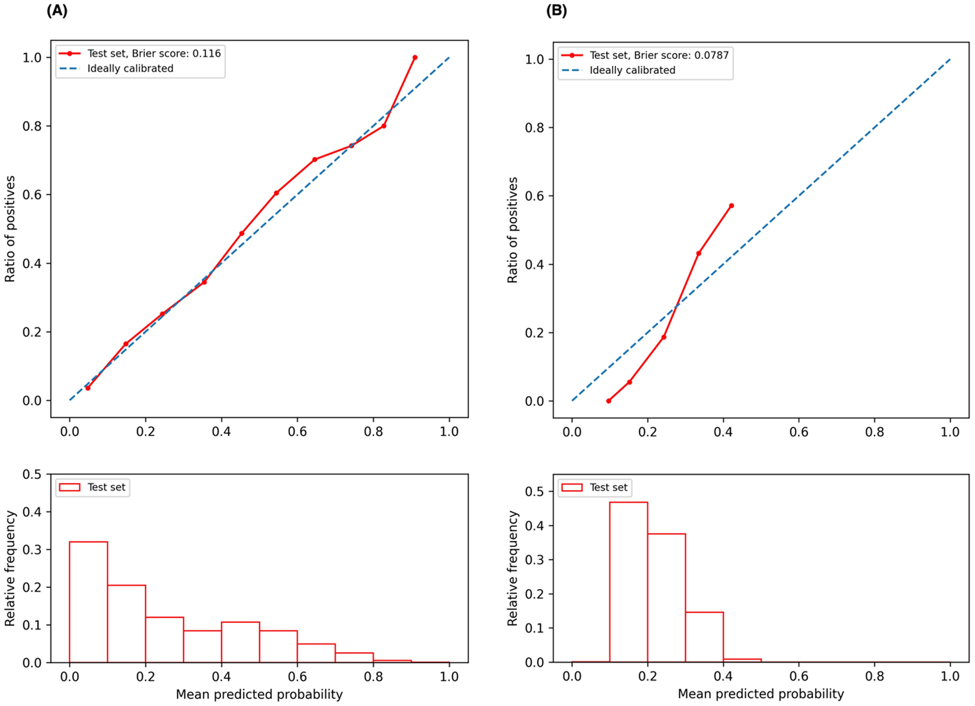
We plotted the model calibration curve to assess how well the predicted probabilities of the endpoints align with the actual observed frequencies at the end of 12 months. In Figure 3, the line chart (top) shows the ratio of actual positives in each interval of predicted probabilities, while the histogram (bottom) depicts the relative frequency of predicted probabilities. Figure 3A demonstrates that the predicted probability of ischemic events accurately reflects the actual likelihood, as the predicted probability (red solid line) closely follows the actual likelihood (blue dashed line). The predicted probability for ischemic events ranges from 0 to 1, with a descending frequency. Figure 3B shows the calibration curve for bleeding events, with predicted probabilities mostly between 0.1 and 0.5.

Figure 3
www.frontiersin.org

Figure 3. Calibration curves. (A) Calibration curve for ischemic event prediction at the end of 12 months; (B) calibration curve for bleeding event prediction at the end of 12 months.

4 Discussion

Our study demonstrates significant advancements in the field of post-PCI risk assessment for DAPT duration management. The transformer-based architecture coupled with auto-encoder and contrastive learning is adept at processing complex, large-scale datasets while capturing intricate patterns that are often missed by traditional machine learning models. This capability is crucial for understanding the complex dynamics of patient data post-PCI, allowing for a more accurate analysis of adverse endpoint risks. Moreover, our model performance is bolstered by the use of multiple loss functions that concurrently optimize different aspects of the prediction task. This multi-objective approach allows for a more balanced model that does not overly prioritize one predictive goal over another, thus maintaining a holistic view of the patient's risk profile.

By integrating the survival analysis mechanism, our model allows flexibility in risk assessment at any specific time point within the first year after PCI. This feature is particularly beneficial as it supports dynamic risk evaluation, adapting to the evolving clinical status of patients over time. Our model not only forecasts the probability of adverse events on the index date but also adjusts these predictions as new data becomes available, offering a robust tool for continuous patient monitoring.

The practicality of our model in clinical environments is facilitated by its requirement for a limited number of input features. These features, encompassing patients' demographics, clinical presentations, medical history, and concurrent medications, have been carefully chosen to balance comprehensiveness with easy data collection. This selectivity ensures that the model remains both user-friendly and efficient, minimizing the burden on healthcare providers while still capturing the necessary data to assess patient risk accurately. The ability of our model to provide timely and tailored risk assessments holds promise to enhance personalized treatment strategies. For instance, by identifying patients at higher risk of complications at any point within the year post-PCI, clinicians can tailor the duration of DAPT and other therapeutic interventions. This approach not only aims to optimize patient outcomes by preventing over or under-treatment but also contributes to the broader goals of personalized medicine, where treatment plans are customized to individual patient needs.

The strengths of our predictive model are multifaceted: (1) Excellent Predictive Accuracy. Our model consistently outperforms the state-of-art deep learning-based survival models, as demonstrated in Tables 2, 3, where most p-values are <0.05. Specifically, the model achieves C-index ranging from 0.88 to 0.80 for ischemic prediction and 0.82–0.77 for bleeding prediction across different prediction intervals. In comparison, the DAPT score achieves a C-index of 0.70 for ischemia and 0.68 for bleeding (7), indicating our model improves predictive accuracy by over 10%. (2) Enhanced Flexibility and Dynamic Prediction Capability: Unlike clinical trial-derived scores which often lack adaptability, our model is built on real-world data, enabling it to accommodate patients' evolving clinical status over time. Leveraging a deep survival infrastructure supported by the piecewise constant hazard loss, the model allows for dynamic risk evaluation at any specific time point within the prediction window following PCI. As new evidence emerges and clinical guidelines evolve, encompassing considerations for shorter DAPT duration, treatment de-escalation, and monotherapy (11, 3639), there is an increasing need for more granular and personalized predictions. Our AI-driven approach, trained on large-scale data, captures the subtle nuances and delivers precise, individualized risk assessments, making it well-suited for addressing these emerging clinical demands.

The calibration curve serves as an essential diagnostic tool for understanding our predictive model's performance. Specifically, the calibration curve for predicting ischemic events (Figure 3A, red line) closely aligns with the ideal line (Figure 3A, blue dashed line) across much of the predicted probability spectrum, indicating that our model is well-calibrated for predicting ischemic events over a broad range of probabilities. Conversely, for bleeding event predictions, the calibration curve deviates from the ideal scenario at lower probabilities (approximately 0.1–0.2), where the red line lies below the ideal line (Figure 3B), suggesting that the model tends to underestimate the risk of bleeding events at these lower probability values. As the predicted probabilities increase to about 0.3, the calibration curve approaches the ideal line, indicating an improvement in predictive accuracy. However, at higher probabilities, the curve extends above the ideal line, implying that the model overestimates the risk of bleeding events at these higher probabilities. The accompanying histogram shows that the predicted probabilities for bleeding events are predominantly clustered within the 0.1–0.4 range. This clustering suggests a conservative prediction behavior by the model, likely cautious about assigning higher probabilities for bleeding events. This pattern could be attributed to an inherent class imbalance in our dataset, with the ratio of the event to the non-event being approximately 5.25 in our study cohort. To enhance model calibration and performance, especially in different probability bins, it is beneficial to address the class imbalance issue. Techniques such as the Synthetic Minority Over-sampling Technique (SMOTE) (40) or adjusting the dataset to a more balanced distribution could potentially refine the model's accuracy across the full range of predicted probabilities.

Despite several strengths, our study has some limitations. A primary challenge derives from the quality of the EHR data, which is inherently prone to the issues of incompleteness and missingness. Specifically, crucial information such as stent characteristics, the severity of bleeding, and stent thrombosis were not available from the structured EHR data alone. Future research would benefit from incorporating information extracted from clinical notes, to enhance the robustness of our model. Another limitation relates to the loss of follow-up information. Some patients returned for follow-up long after their initial visit, potentially due to the prescriptions being auto-filled for several months or because they received care at other hospitals. To manage this, we implemented a 6-month window threshold. If DAPT medications were prescribed within this timeframe, patients were assumed to have continued their DAPT regimen. This assumption requires further validation, either through additional patient data or confirmation by clinical expertise. Furthermore, our study primarily utilized ICD codes to define features and outcomes. Although these codes were carefully selected based on previous research and reviewed by our clinician collaborators, continuous verification of the reliability of these codes is necessary to strengthen the conclusions drawn from our findings. In addition, this study utilizes the multi-institution, diverse dataset from the OneFlorida+ Clinical Research Consortium, which encompasses approximately 16 million patients across the Southeast—including Florida, Georgia, and Alabama (27, 28)—serving as a robust and representative resource for model development, given its scale, diversity, and regional significance. While we believe this dataset currently satisfies the needs for developing and evaluating the proposed algorithm, we plan to pursue external validation using other high-quality datasets if available in the future, to further test the model's generalizability across broader populations.

For future efforts, first, we will leverage all medical codes, instead of the selected features, as another version of the input, seeking to further enhance the model performance. Our model is inherently designed to handle complex and high-dimensional data and is well-suited to learn from the intricacies presented in raw medical codes. Second, given the limitations of structured data, we plan to incorporate higher-quality, multimodal data, such as clinical notes and medical imaging, to augment input information. Clinical notes often contain rich, contextual information that can complement structured data, while medical imaging can provide crucial insights into a patient's condition that are not captured in traditional data formats. By integrating these diverse data sources, we aim to create a more comprehensive and accurate representation of patient profiles. Third, to effectively harness these multimodal data, we will upgrade our model to support multimodality learning (41). This approach will enable the model to simultaneously process and learn from different types of data, improving its predictive capabilities and robustness. Fourth, in addition to focusing on data and model improvements, we will align our research goals more closely with the evolving clinical needs. Beyond optimization of treatment durations, we also plan to explore dual-single antiplatelet succession strategies, which involve investigating the effectiveness of transitioning patients between different treatment regimens, potentially improving outcomes by tailoring strategies to individual needs and responses. By pursuing these future efforts, we hope to develop more powerful and versatile AI solutions that can provide valuable insights to clinicians, thus facilitating better patient care and outcomes. Fifth, the focus of this current paper is to develop and evaluate the AI model. To enhance its accessibility and maximize its utility to the wider community, we plan to create a user-friendly website, which allows for both manual input of the commonly available clinical variables and the upload of comprehensive patient records, to enable efficient and accurate risk calculations. Furthermore, to demonstrate the model's functionality and strengths—such as accommodating dynamic input and delivering flexible predictions—the model can be potentially embedded as an API into our EHR systems to evaluate its usability and real-world performance.

5 Conclusion

In this study, we introduce a new, effective method for predicting risks in patients receiving DAPT following PCI. Our transformer-based model, enhanced by contrastive learning, consistently outperforms existing deep survival models. This model enhances flexibility in prediction, substantially aiding the clinical decision-making process. Moving forward, it is essential to prioritize the enhancement of data quality and modality to boost both the accuracy and clinical applicability of AI models. Our methodology provides a robust foundation for developing more precise and personalized antiplatelet therapy strategies, offering significant potential to improve patient outcomes and save lives.

Data availability statement

The dataset for this study is not publicly available due to privacy and ethical restrictions. Data supporting the findings of this study can be accessed through the OneFlorida+ clinical research network. A data request can be submitted via https://onefloridaconsortium.org/, and a data use agreement will be needed.

Ethics statement

The studies involving humans were approved by the University of Florida IRB under IRB202000875 and the Mayo Clinic IRB under ID24-001183. The studies were conducted in accordance with the local legislation and institutional requirements. Written informed consent for participation was not required from the participants or the participants' legal guardians/next of kin in accordance with the national legislation and institutional requirements.

Author contributions

FL: Conceptualization, Data curation, Formal Analysis, Investigation, Methodology, Project administration, Resources, Software, Writing – original draft, Writing – review & editing, Visualization, Funding acquisition, Supervision. ZS: Formal Analysis, Investigation, Methodology, Software, Visualization, Writing – original draft, Conceptualization. AA: Investigation, Methodology, Software, Writing – original draft, Writing – review & editing. TD: Investigation, Methodology, Software, Visualization, Writing – original draft. LR: Conceptualization, Methodology, Writing – review & editing. XH: Data curation, Investigation, Visualization, Writing – original draft. JH: Data curation, Formal Analysis, Writing – original draft. YD: Data curation, Formal Analysis, Visualization, Writing – original draft. JF: Formal Analysis, Resources, Writing – original draft. JL: Methodology, Writing – review & editing. YW: Data curation, Formal Analysis, Writing – review & editing. TL: Data curation, Resources, Writing – original draft. NB: Data curation, Resources, Writing – original draft. SP: Writing – review & editing, Formal Analysis. MG: Writing – review & editing, Formal Analysis. DF: Formal Analysis, Writing – review & editing. DZ: Funding acquisition, Writing – review & editing. JB: Funding acquisition, Resources, Writing – review & editing. CT: Conceptualization, Funding acquisition, Resources, Supervision, Writing – review & editing, Project administration.

Funding

The author(s) declare financial support was received for the research, authorship, and/or publication of this article. This study was supported by the American Heart Association under Award No. 19GPSGC35180031.

Conflict of interest

The authors declare that the research was conducted in the absence of any commercial or financial relationships that could be construed as a potential conflict of interest.

The author(s) declared that they were an editorial board member of Frontiers, at the time of submission. This had no impact on the peer review process and the final decision.

Publisher's note

All claims expressed in this article are solely those of the authors and do not necessarily represent those of their affiliated organizations, or those of the publisher, the editors and the reviewers. Any product that may be evaluated in this article, or claim that may be made by its manufacturer, is not guaranteed or endorsed by the publisher.

Supplementary material

The Supplementary Material for this article can be found online at: https://www.frontiersin.org/articles/10.3389/fcvm.2024.1460354/full#supplementary-material

References

1. British Heart Foundation. Global heart & circulatory diseases factsheet. Available oneline at: https://www.bhf.org.uk/-/media/files/for-professionals/research/heart-statistics/bhf-cvd-statistics-global-factsheet.pdf (Accessed June 06, 2024).

Google Scholar

2. CDC. About coronary artery disease (CAD). Heart Disease (2024). Available online at: https://www.cdc.gov/heart-disease/about/coronary-artery-disease.html (Accessed June 09, 2024).

Google Scholar

3. Martin SS, Aday AW, Almarzooq ZI, Anderson CAM, Arora P, Avery CL, et al. 2024 heart disease and stroke statistics: a report of US and global data from the American Heart Association. Circulation. (2024) 149:e347–913. doi: 10.1161/CIR.0000000000001209

PubMed Abstract | Crossref Full Text | Google Scholar

4. World Health Organization. The top 10 causes of death. Available online at: https://www.who.int/news-room/fact-sheets/detail/the-top-10-causes-of-death (Accessed June 09, 2024).

Google Scholar

5. Valgimigli M, Bueno H, Byrne RA, Collet J-P, Costa F, Jeppsson A, et al. 2017 ESC focused update on dual antiplatelet therapy in coronary artery disease developed in collaboration with EACTS: the task force for dual antiplatelet therapy in coronary artery disease of the European Society of Cardiology (ESC) and of the European Association for Cardio-Thoracic Surgery (EACTS). Eur Heart J. (2018) 39:213–60. doi: 10.1093/eurheartj/ehx419

PubMed Abstract | Crossref Full Text | Google Scholar

6. Levine GN, Bates ER, Bittl JA, Brindis RG, Fihn SD, Fleisher LA, et al. 2016 ACC/AHA guideline focused update on duration of dual antiplatelet therapy in patients with coronary artery disease: a report of the American College of Cardiology/American Heart Association Task Force on clinical practice guidelines: an update of the 2011 ACCF/AHA/SCAI guideline for percutaneous coronary intervention, 2011 ACCF/AHA guideline for coronary artery bypass graft surgery, 2012 ACC/AHA/ACP/AATS/PCNA/SCAI/STS guideline for the diagnosis and management of patients with stable ischemic heart disease, 2013 ACCF/AHA guideline for the management of ST-elevation myocardial infarction, 2014 AHA/ACC guideline for the management of patients with non-ST-elevation acute coronary syndromes, and 2014 ACC/AHA guideline on perioperative cardiovascular evaluation and management of patients undergoing noncardiac surgery. Circulation. (2016) 134:e123–55. doi: 10.1161/CIR.0000000000000404

PubMed Abstract | Crossref Full Text | Google Scholar

7. Yeh RW, Secemsky EA, Kereiakes DJ, Normand S-LT, Gershlick AH, Cohen DJ, et al. Development and validation of a prediction rule for benefit and harm of dual antiplatelet therapy beyond 1 year after percutaneous coronary intervention. JAMA. (2016) 315:1735–49. doi: 10.1001/jama.2016.3775

PubMed Abstract | Crossref Full Text | Google Scholar

8. American College of Cardiology. DAPT risk calculator. Available online at: https://tools.acc.org/daptriskapp/#!/content/calculator/ (Accessed June 10, 2024).

Google Scholar

9. Costa F, van Klaveren D, James S, Heg D, Räber L, Feres F, et al. Derivation and validation of the predicting bleeding complications in patients undergoing stent implantation and subsequent dual antiplatelet therapy (PRECISE-DAPT) score: a pooled analysis of individual-patient datasets from clinical trials. Lancet. (2017) 389:1025–34. doi: 10.1016/S0140-6736(17)30397-5

PubMed Abstract | Crossref Full Text | Google Scholar

10. Valgimigli M, Van Klaveren D, James S, Heg D, Räber L, Feres F, et al. PRECISE-DAPT Webcalculator. Available online at: http://www.precisedaptscore.com/predapt/webcalculator.html (Accessed June 10, 2024).

Google Scholar

11. Ge Z, Kan J, Gao X, Raza A, Zhang J-J, Mohydin BS, et al. Ticagrelor alone versus ticagrelor plus aspirin from month 1 to month 12 after percutaneous coronary intervention in patients with acute coronary syndromes (ULTIMATE-DAPT): a randomised, placebo-controlled, double-blind clinical trial. Lancet. (2024) 403:1866–78. doi: 10.1016/S0140-6736(24)00473-2

PubMed Abstract | Crossref Full Text | Google Scholar

12. Gorog DA, Ferreiro JL, Ahrens I, Ako J, Geisler T, Halvorsen S, et al. De-escalation or abbreviation of dual antiplatelet therapy in acute coronary syndromes and percutaneous coronary intervention: a consensus statement from an international expert panel on coronary thrombosis. Nat Rev Cardiol. (2023) 20:830–44. doi: 10.1038/s41569-023-00901-2

PubMed Abstract | Crossref Full Text | Google Scholar

13. Krittanawong C, Kaplin S, Sharma SK. Chapter 6—Artificial intelligence on interventional cardiology. In: Krittanawong C, editor. Artificial Intelligence in Clinical Practice. Cambridge: Academic Press (2024). p. 51–63. doi: 10.1016/B978-0-443-15688-5.00040-1

Crossref Full Text | Google Scholar

14. Ben Ali W, Pesaranghader A, Avram R, Overtchouk P, Perrin N, Laffite S, et al. Implementing machine learning in interventional cardiology: the benefits are worth the trouble. Front Cardiovasc Med. (2021) 8:711401. doi: 10.3389/fcvm.2021.711401

PubMed Abstract | Crossref Full Text | Google Scholar

15. Niimi N, Shiraishi Y, Sawano M, Ikemura N, Inohara T, Ueda I, et al. Machine learning models for prediction of adverse events after percutaneous coronary intervention. Sci Rep. (2022) 12:6262. doi: 10.1038/s41598-022-10346-1

PubMed Abstract | Crossref Full Text | Google Scholar

16. Galimzhanov A, Matetic A, Tenekecioglu E, Mamas MA. Prediction of clinical outcomes after percutaneous coronary intervention: machine-learning analysis of the national inpatient sample. Int J Cardiol. (2023) 392:131339. doi: 10.1016/j.ijcard.2023.131339

PubMed Abstract | Crossref Full Text | Google Scholar

17. Shi B, Wang H-Y, Liu J, Cai Z, Song C, Yin D, et al. Prognostic value of machine-learning-based PRAISE score for ischemic and bleeding events in patients with acute coronary syndrome undergoing percutaneous coronary intervention. J Am Heart Assoc. (2023) 12:e025812. doi: 10.1161/JAHA.122.025812

PubMed Abstract | Crossref Full Text | Google Scholar

18. Călburean P-A, Grebenișan P, Nistor I-A, Pal K, Vacariu V, Drincal R-K, et al. Prediction of 3-year all-cause and cardiovascular cause mortality in a prospective percutaneous coronary intervention registry: machine learning model outperforms conventional clinical risk scores. Atherosclerosis. (2022) 350:33–40. doi: 10.1016/j.atherosclerosis.2022.03.028

PubMed Abstract | Crossref Full Text | Google Scholar

19. Li F, Rasmy L, Xiang Y, Feng J, Abdelhameed A, Hu X, et al. Dynamic prognosis prediction for patients on DAPT after drug-eluting stent implantation: model development and validation. J Am Heart Assoc. (2024) 13:e029900. doi: 10.1161/JAHA.123.029900

PubMed Abstract | Crossref Full Text | Google Scholar

20. Microsoft Corporation. LightGBM 4.0.0 documentation. Available online at: https://lightgbm.readthedocs.io/en/stable/ (Accessed June 18, 2024).

Google Scholar

21. Chen T, Kornblith S, Norouzi M, Hinton G. A simple framework for contrastive learning of visual representations. In: Iii HD, Singh A, editors. Proceedings of the 37th International Conference on Machine Learning. Proceedings of Machine Learning Research, PMLR; 2020 Jul 13–18. p. 1597–607.

Google Scholar

22. Chen W, Wang H, Liang C. Deep multi-view contrastive learning for cancer subtype identification. Brief Bioinform. (2023) 24:1–10. doi: 10.1093/bib/bbad282

Crossref Full Text | Google Scholar

23. Park YJ, Kim H, Jo J, Yoon S. Deep contrastive learning of molecular conformation for efficient property prediction. Nat Comput Sci. (2023) 3:1015–22. doi: 10.1038/s43588-023-00560-w

PubMed Abstract | Crossref Full Text | Google Scholar

24. Kokilepersaud K, Corona ST, Prabhushankar M, AlRegib G, Wykoff C. Clinically labeled contrastive learning for OCT biomarker classification. IEEE J Biomed Health Inform. (2023) 27:4397–408. doi: 10.1109/JBHI.2023.3277789

PubMed Abstract | Crossref Full Text | Google Scholar

25. Wanyan T, Honarvar H, Jaladanki SK, Zang C, Naik N, Somani S, et al. Contrastive learning improves critical event prediction in COVID-19 patients. Patterns (N Y). (2021) 2:100389. doi: 10.1016/j.patter.2021.100389

PubMed Abstract | Crossref Full Text | Google Scholar

26. Zhang Y, Jiang H, Miura Y, Manning CD, Langlotz CP. Contrastive learning of medical visual representations from paired images and text. In: Lipton Z, Ranganath R, Sendak M, Sjoding M, Yeung S, editors. Proceedings of the 7th machine learning for healthcare conference. Proceedings of Machine Learning Research, PMLR; 2022 Aug 05–06. p. 2–25.

Google Scholar

27. Li Q, Yang X, Xu J, Guo Y, He X, Hu H, et al. Early prediction of Alzheimer’s disease and related dementias using real-world electronic health records. Alzheimers Dement. (2023) 19:3506–18. doi: 10.1002/alz.12967

PubMed Abstract | Crossref Full Text | Google Scholar

28. OneFlorida+ Clinical Research Network. Data summary. Available online at: https://onefloridaconsortium.org/data/ (Accessed March 14, 2023).

Google Scholar

29. Vaswani A, Shazeer N, Parmar N, Uszkoreit J, Jones L, Gomez AN, et al. Attention is all you need. In: von Luxburg U, Guyon I, Bengio S, Wallach H, Fergus R, editors. 31st Conference on Neural Information Processing Systems (NIPS); 2017 December 04; Long Beach, CA, United States. New York: Curran Associates Inc. (2017). p. 1–11.

Google Scholar

30. Kvamme H, Borgan Ø. Continuous and discrete-time survival prediction with neural networks. Lifetime Data Anal. (2021) 27:710–36. doi: 10.1007/s10985-021-09532-6

Crossref Full Text | Google Scholar

31. Katzman JL, Shaham U, Cloninger A, Bates J, Jiang T, Kluger Y. Deepsurv: personalized treatment recommender system using a cox proportional hazards deep neural network. BMC Med Res Methodol. (2018) 18:24. doi: 10.1186/s12874-018-0482-1

PubMed Abstract | Crossref Full Text | Google Scholar

32. Lee C, Zame W, Yoon J, van der Schaar M. Deephit: a deep learning approach to survival analysis with competing risks. AAAI. (2018) 32:2314–21. doi: 10.1609/aaai.v32i1.11842

Crossref Full Text | Google Scholar

33. Lee C, Yoon J, Schaar M van der. Dynamic-deephit: a deep learning approach for dynamic survival analysis with competing risks based on longitudinal data. IEEE Trans Biomed Eng (2020) 67:122–33. doi: 10.1109/TBME.2019.2909027

PubMed Abstract | Crossref Full Text | Google Scholar

34. Wang Z, Sun J. SurvTRACE: transformers for survival analysis with competing events. Proceedings of the 13th ACM International Conference on Bioinformatics, Computational Biology and Health Informatics. BCB ‘22. New York, NY, USA: Association for Computing Machinery (2022). p. 1–9.

Google Scholar

35. Nagpal C, Li X, Dubrawski A. Deep survival machines: fully parametric survival regression and representation learning for censored data with competing risks. IEEE J Biomed Health Inform. (2021) 25:3163–75. doi: 10.1109/JBHI.2021.3052441

PubMed Abstract | Crossref Full Text | Google Scholar

36. Li Y, Li J, Wang B, Jing Q, Zeng Y, Hou A, et al. Extended clopidogrel monotherapy vs DAPT in patients with acute coronary syndromes at high ischemic and bleeding risk: the OPT-BIRISK randomized clinical trial. JAMA Cardiol. (2024) 9:523–31. doi: 10.1001/jamacardio.2024.0534

PubMed Abstract | Crossref Full Text | Google Scholar

37. Kuno T, Watanabe A, Shoji S, Fujisaki T, Ueyama H, Takagi H, et al. Short-term DAPT and DAPT DE-escalation strategies for patients with acute coronary syndromes: a systematic review and network meta-analysis. Circ Cardiovasc Interv. (2023) 16:e013242. doi: 10.1161/CIRCINTERVENTIONS.123.013242

PubMed Abstract | Crossref Full Text | Google Scholar

38. Valgimigli M, Spirito A, Sartori S, Angiolillo DJ, Vranckx P, de la Torre Hernandez JM, et al. 1- or 3-month DAPT in patients with HBR with or without oral anticoagulant therapy after PCI. JACC Cardiovasc Interv. (2023) 16:2498–510. doi: 10.1016/j.jcin.2023.08.014

PubMed Abstract | Crossref Full Text | Google Scholar

39. Lee KS, Chatterjee A, Acharya D. De-escalation of DAPT after ACS: escalating the odds of getting it right. J Am Coll Cardiol. (2021) 78:778–80. doi: 10.1016/j.jacc.2021.06.030

PubMed Abstract | Crossref Full Text | Google Scholar

40. Chawla NV, Bowyer KW, Hall LO, Kegelmeyer WP. SMOTE: synthetic minority over-sampling technique. J Artif Intell Res. (2002) 16:321–57. doi: 10.1613/jair.953

Crossref Full Text | Google Scholar

41. Ngiam J, Khosla A, Kim M, Nam J, Lee H, Ng A. Multimodal deep learning. ICML. (2011):689–96.

Google Scholar

Keywords: dual antiplatelet therapy, contrastive learning, transformer, predictive modeling, adverse endpoint, drug-eluting coronary artery stent implantation, survival analysis

Citation: Li F, Sun Z, abdelhameed A, Duan T, Rasmy L, Hu X, He J, Dang Y, Feng J, Li J, Wang Y, Lyu T, Braun N, Pham S, Gharacholou M, Fairweather D, Zhi D, Bian J and Tao C (2025) Contrastive learning with transformer for adverse endpoint prediction in patients on DAPT post-coronary stent implantation. Front. Cardiovasc. Med. 11:1460354. doi: 10.3389/fcvm.2024.1460354

Received: 5 July 2024; Accepted: 19 December 2024;
Published: 13 January 2025.

Edited by:

Dobrin Vassilev, University of Ruse, Bulgaria

Reviewed by:

Tommaso Gori, Johannes Gutenberg University Mainz, Germany
Weishen Pan, Cornell University, United States

Copyright: © 2025 Li, Sun, abdelhameed, Duan, Rasmy, Hu, He, Dang, Feng, Li, Wang, Lyu, Braun, Pham, Gharacholou, Fairweather, Zhi, Bian and Tao. This is an open-access article distributed under the terms of the Creative Commons Attribution License (CC BY). The use, distribution or reproduction in other forums is permitted, provided the original author(s) and the copyright owner(s) are credited and that the original publication in this journal is cited, in accordance with accepted academic practice. No use, distribution or reproduction is permitted which does not comply with these terms.

*Correspondence: Cui Tao, dGFvLmN1aUBtYXlvLmVkdQ==

These authors share first authorship

Disclaimer: All claims expressed in this article are solely those of the authors and do not necessarily represent those of their affiliated organizations, or those of the publisher, the editors and the reviewers. Any product that may be evaluated in this article or claim that may be made by its manufacturer is not guaranteed or endorsed by the publisher.