ORIGINAL RESEARCH article
Front. Cardiovasc. Med.
Sec. Intensive Care Cardiovascular Medicine
This article is part of the Research TopicExtracorporeal Organ Support: Innovations and Challenges in Critical CareView all 13 articles
Variations in central venous oxygen saturation and central venous-to-arterial carbon dioxide tension difference to define fluid responsiveness: a prospective observational study
Provisionally accepted- 1Ningbo No.2 Hospital, Ningbo, China
- 2Ningbo Yinzhou No.2 Hospital, Ningbo, China
Select one of your emails
You have multiple emails registered with Frontiers:
Notify me on publication
Please enter your email address:
If you already have an account, please login
You don't have a Frontiers account ? You can register here
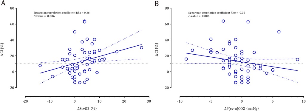
Introduction: Fluid-induced variations in central venous oxygen saturation (ΔScvO2) and central venous to arterial carbon dioxide tension difference [ΔP(cv-a)CO2] have been proposed to define fluid responsiveness. This study aimed to determine whether their diagnostic accuracies are affected by baseline values or oxygen consumption (VO2) responsiveness. Materials and methods: This prospective observational study enrolled mechanically ventilated patients with circulatory shock. Hemodynamic variables and blood gas analysis were measured before and after a fluid challenge. Fluid responsiveness and VO2 responsiveness were defined as a ≥10% increase in cardiac index and VO2, respectively. The diagnostic accuracy was assessed using the area under the receiver operating characteristic curve (AUC), with subgroup analyses based on baseline ScvO2 and P(cv-a)CO2 values and VO2 responsiveness. Results: Out of 58 patients enrolled, 30 were fluid responders. The fluid-induced changes in cardiac index were significantly correlated with ΔScvO2 (rho = 0.36, P = 0.006) and ΔP(cv-a)CO2 (rho = -0.35, P = 0.006). ΔScvO2 and ΔP(cv-a)CO2 defined fluid responsiveness with AUC values of 0.76 [95% confidence interval (CI): 0.63 to 0.86, P < 0.001] and 0.72 (95% CI: 0.59 to 0.83, P < 0.001), respectively. A cutoff value of 5% for ΔScvO2 and -2 mmHg for ΔP(cv-a)CO2 yielded positive predictive values of 88% and 75%, and negative predictive values of 63% and 61%, respectively. The gray zones for ΔScvO2 (-3 to 4.6%) and ΔP(cv-a)CO2 (-2.7 to 1 mmHg) comprised 51.7% and 48.3% of the patients, respectively. In the subgroup analyses, ΔScvO2 potentially exhibited better accuracy for assessing fluid responsiveness in VO2 non-responders (AUC of 0.91, 95% CI: 0.78 to 0.98; 40 patients) and patients with a baseline ScvO2 < 70% (AUC of 0.84, 95% CI: 0.67 to 0.95; 32 patients). Meanwhile, the diagnostic accuracy of ΔP(cv-a)CO2 was slightly improved in VO2 non-responders (AUC of 0.78, 95% CI: 0.62 to 0.90; 40 patients) and patients with a baseline P(cv-a)CO2 ≥ 6 mmHg (AUC of 0.78, 95% CI: 0.62 to 0.90; 39 patients). Conclusion: ΔScvO2 and ΔP(cv-a)CO2 are potential indicators of fluid responsiveness in mechanically ventilated patients with circulatory shock, especially those with abnormal baseline values or VO2 unresponsiveness.
Keywords: central venous oxygen saturation, Central venous-to-arterial carbon dioxide tension difference, fluid responsiveness, Volume expansion, Oxygen Consumption, oxygen delivery, mechanical ventilation, Hypotension
Received: 14 May 2025; Accepted: 31 Oct 2025.
Copyright: © 2025 Zhou, Fang, Xu, Pan, Wang, Pan, Xu and Chen. This is an open-access article distributed under the terms of the Creative Commons Attribution License (CC BY). The use, distribution or reproduction in other forums is permitted, provided the original author(s) or licensor are credited and that the original publication in this journal is cited, in accordance with accepted academic practice. No use, distribution or reproduction is permitted which does not comply with these terms.
* Correspondence:
Tao Pan, pantao0924@163.com
Zhaojun Xu, nbey_icu@163.com
Bixin Chen, nbsdeyyicu@163.com
Disclaimer: All claims expressed in this article are solely those of the authors and do not necessarily represent those of their affiliated organizations, or those of the publisher, the editors and the reviewers. Any product that may be evaluated in this article or claim that may be made by its manufacturer is not guaranteed or endorsed by the publisher.
