SYSTEMATIC REVIEW article
Front. Cardiovasc. Med.
Sec. Coronary Artery Disease
Association between prognostic nutritional index and the clinical outcomes of patients with acute myocardial infarction: a systematic review and meta-analysis
Provisionally accepted- The 983rd Hospital of Joint Logistic Support Force of PLA, Tianjin, China
Select one of your emails
You have multiple emails registered with Frontiers:
Notify me on publication
Please enter your email address:
If you already have an account, please login
You don't have a Frontiers account ? You can register here
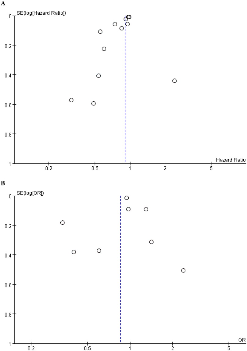
Background: Emerging data suggest a correlation between the prognostic nutritional index (PNI) and the clinical outcomes of patients with acute myocardial infarction. Despite these findings, the overall conclusions remain inconclusive. Methods: A comprehensive literature search was conducted in PubMed, Embase, Web of Science, and the Cochrane Library, covering the period to October 31, 2024, Examining the relationship between PNI and clinical outcomes in AMI patients. The outcomes included mortality due to acute myocardial infarction, major adverse cardiovascular events (MACE), in-hospital mortality, and acute kidney injury. These outcomes were using hazard ratios (HR) and corresponding 95% confidence intervals (CI). Sensitivity and subgroup analysis were used to assess the stability of the results and potential sources of heterogeneity. All analyses were performed using Review Manager 5.4 and STATA 15.0. Results: Our analysis included twelve retrospective cohort studies and two prospective studies. Demonstrated a correlation between PNI values and mortality (HR=0.91, 95% CI: 0.91–0.85; p<0.0001). No significant association between the PNI and the incidence of MACE in patients with AMI (HR=0.85, 95% CI: 0.66-1.11; p=0.23). Sensitivity and subgroup analysis confirmed the stability of the results. Conclusion: PNI has a strong link to lower mortality rates in patients with AMI, higher the PNI values correspond to lower mortality risk. No significant relationship between PNI and MACE was observed.PNI could be an important factor in individualized managenent of AMI patients in clinical settings.
Keywords: Prognostic nutritional index (PNI), Acute myocardial infarction (AMI), prognostic value of survival, Meta-analysis, Systematic review
Received: 19 Jun 2025; Accepted: 27 Oct 2025.
Copyright: © 2025 Wang, Jia and Yu. This is an open-access article distributed under the terms of the Creative Commons Attribution License (CC BY). The use, distribution or reproduction in other forums is permitted, provided the original author(s) or licensor are credited and that the original publication in this journal is cited, in accordance with accepted academic practice. No use, distribution or reproduction is permitted which does not comply with these terms.
* Correspondence: Tao Yu, 755325750@qq.com
Disclaimer: All claims expressed in this article are solely those of the authors and do not necessarily represent those of their affiliated organizations, or those of the publisher, the editors and the reviewers. Any product that may be evaluated in this article or claim that may be made by its manufacturer is not guaranteed or endorsed by the publisher.
