SYSTEMATIC REVIEW article
Front. Cardiovasc. Med.
Sec. General Cardiovascular Medicine
This article is part of the Research TopicRedefining Heart Failure: Personalized Treatment Paradigms for HFpEFView all articles
Comparison of Sarcopenia Prevalence and Prognostic Features Between HFrEF and HFpEF: A Systematic Review and Meta-Analysis
Provisionally accepted- 1Department of Cardiology, First Affiliated Hospital, Zhejiang Chinese Medical University, Hangzhou, China
- 2Department of Geriatrics, First Affiliated Hospital, Zhejiang Chinese Medical University, Hangzhou, China
Select one of your emails
You have multiple emails registered with Frontiers:
Notify me on publication
Please enter your email address:
If you already have an account, please login
You don't have a Frontiers account ? You can register here
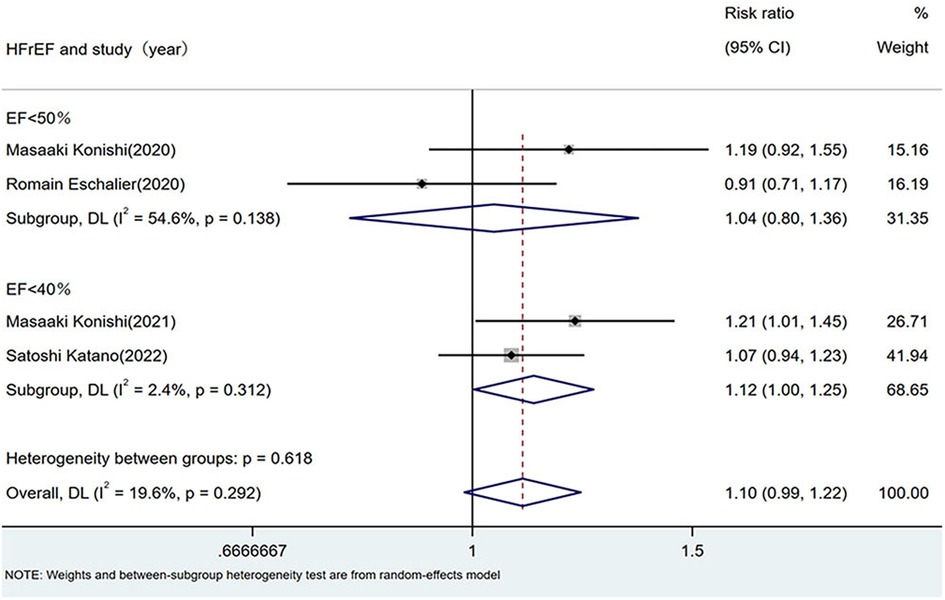
Background: Sarcopenia is closely associated with heart failure (HF); however, no prior meta-analysis has specifically addressed its relation with different ejection fraction phenotypes. This study investigated the prevalence of sarcopenia in patients with HF with reduced ejection fraction (HFrEF) versus those with preserved ejection fraction (HFpEF), compared their prevalence rates, and explored the prognostic outcomes associated with sarcopenia in these phenotypes. Methods: PubMed, Cochrane, and Embase databases were searched from their inception to February 2025. Studies reporting the prevalence or prognosis of sarcopenia in patients with HF and defined ejection fraction phenotypes were included. Two authors independently assessed study quality using the Newcastle–Ottawa Scale and Agency for Healthcare Research and Quality. Meta-analyses were conducted using Stata 17, with random-effects models applied to heterogeneous data. Results: Twenty studies were included: 17 on sarcopenia prevalence in HFrEF, four in HFpEF, four comparing the prevalence between phenotypes, and two comparing prognoses. A meta-analysis of studies directly comparing HFrEF and HFpEF found no significant difference in sarcopenia prevalence (fixed-effect model: RR = 1.12, 95% CI: 1.01– 1.23; I² = 23%, p = 0.273). Prognostic comparisons between patients with sarcopenic HFrEF and HFpEF also showed no significant difference (hazard ratio = 1.57, 95% CI: 0.66–3.77; I² = 79%, p = 0.029). Conclusion: In epidemiology, the prevalence of sarcopenia was higher in patients with HFrEF than in those with HFpEF. However, Among studies that include a comparison of the prevalence rates of HFrEF and HFpEF with sarcopenia, meta-analyses have indicated that the ejection fraction phenotype is neither associated with the prevalence of sarcopenia in HF nor with poor outcomes in patients with HF and sarcopenia.
Keywords: Heart Failure, Sarcopenia, ejection fraction, meta ‐ analysis, Systematic review
Received: 22 Jul 2025; Accepted: 03 Nov 2025.
Copyright: © 2025 Xiong, Yang, Zhou, Wang, Dai and Wang. This is an open-access article distributed under the terms of the Creative Commons Attribution License (CC BY). The use, distribution or reproduction in other forums is permitted, provided the original author(s) or licensor are credited and that the original publication in this journal is cited, in accordance with accepted academic practice. No use, distribution or reproduction is permitted which does not comply with these terms.
* Correspondence:
Jin Dai, dannis606@163.com
Xiao Wang, 20053010@zcmu.edu.cn
Disclaimer: All claims expressed in this article are solely those of the authors and do not necessarily represent those of their affiliated organizations, or those of the publisher, the editors and the reviewers. Any product that may be evaluated in this article or claim that may be made by its manufacturer is not guaranteed or endorsed by the publisher.
