CLINICAL TRIAL article
Front. Cardiovasc. Med.
Sec. Coronary Artery Disease
This article is part of the Research TopicCoronary Physiology in the Spotlight: Advancing Diagnosis and Treatment in CAD and Microvascular DiseaseView all 9 articles
Combined Prognostic Value of AI-Derived CT-FFR and High-Risk Plaque Characteristics in Patients with Newly Diagnosed Chronic Coronary Syndrome: A Prospective Cohort Study
Provisionally accepted- Hebei Medical University, Shijiazhuang, China
Select one of your emails
You have multiple emails registered with Frontiers:
Notify me on publication
Please enter your email address:
If you already have an account, please login
You don't have a Frontiers account ? You can register here
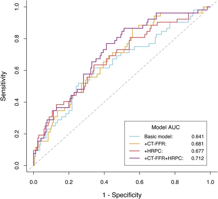
While coronary computed tomography angiography (CTA) is widely used for diagnosing chronic coronary syndrome (CCS), its potential for assessing physiological function and plaque vulnerability—through AI-derived fractional flow reserve (CT-FFR) and high-risk plaque characteristics (HRPC)—is not fully leveraged in clinical practice. The combined prognostic value of these non-invasive tools in newly diagnosed CCS patients remains underexplored. To evaluate the individual and combined prognostic value of AI-based CT-FFR and HRPC in predicting major adverse cardiovascular events (MACE) in patients with newly diagnosed CCS. In this observational cohort study, 222 inpatients newly diagnosed with CCS who were admitted for non-acute chest pain and underwent coronary CTA were included. Patients were stratified into four groups based on their CT-FFR and HRPC values. Kaplan-Meier survival curves and multivariate Cox proportional hazards models were used to assess the predictive value of CT-FFR and HRPC for MACE. Model performance was evaluated using the C-index, area under the receiver operating characteristic curve (AUC), net reclassification improvement (NRI), and integrated discrimination improvement (IDI). Vessels with CT-FFR ≤ 0.8 had a higher prevalence and number of HRPC compared to those with CT-FFR > 0.8. Over a median follow-up period of 22 months, 52 patients (23.4%) experienced MACE. Both CT-FFR ≤ 0.8 (hazard ratio [HR] 2.62, 95% confidence interval [CI] 1.06–6.47; P = 0.036) and HRPC ≥ 2 (HR 2.39, 95% CI 1.20– 4.77; P = 0.014) independently predicted MACE. Patients with both CT-FFR ≤ 0.8 and HRPC ≥ 2 had a 6.06-fold increased risk of MACE compared to those with CT-FFR > 0.8 and HRPC < 2 (P = 0.017). Combining CT-FFR and HRPC significantly improved the predictive accuracy of risk models, reflected in increases in C-index, AUC, NRI, and IDI (P ≤ 0.038), providing superior predictive performance compared to using either metric alone. The combined use of AI-derived CT-FFR and HRPC significantly improves risk stratification in patients with newly diagnosed CCS, offering better predictive accuracy for adverse cardiovascular events. This enhanced risk assessment could enable clinicians to identify high-risk patients more effectively and tailor management strategies accordingly. Further multicenter studies are warranted to validate these findings across diverse populations.
Keywords: Coronary heard disease, FFR, CT- Computed tomography, high risk plaque features, prognosis
Received: 27 Jul 2025; Accepted: 17 Nov 2025.
Copyright: © 2025 Zhang, Fu, Xu, He, Guan, You, Lyu, Jin, Bai, Lu, Cao, Zheng and ZHENG. This is an open-access article distributed under the terms of the Creative Commons Attribution License (CC BY). The use, distribution or reproduction in other forums is permitted, provided the original author(s) or licensor are credited and that the original publication in this journal is cited, in accordance with accepted academic practice. No use, distribution or reproduction is permitted which does not comply with these terms.
* Correspondence:
Zelong Cao, caozelong@hebmu.edu.cn
Liang Zheng, zhengliang@tongji.edu.cn
MINGQI ZHENG, mzheng@hebmu.edu.cn
Disclaimer: All claims expressed in this article are solely those of the authors and do not necessarily represent those of their affiliated organizations, or those of the publisher, the editors and the reviewers. Any product that may be evaluated in this article or claim that may be made by its manufacturer is not guaranteed or endorsed by the publisher.
