ORIGINAL RESEARCH article
Front. Cardiovasc. Med.
Sec. Cardiovascular Imaging
Fractal analysis of left ventricular trabeculae in hypertensive patients with heart failure: a 3.0 T cardiac magnetic resonance study
Provisionally accepted- 1Second Affiliated Hospital of Nanchang University, Nanchang, China
- 2Zhengzhou University, Zhengzhou, China
Select one of your emails
You have multiple emails registered with Frontiers:
Notify me on publication
Please enter your email address:
If you already have an account, please login
You don't have a Frontiers account ? You can register here
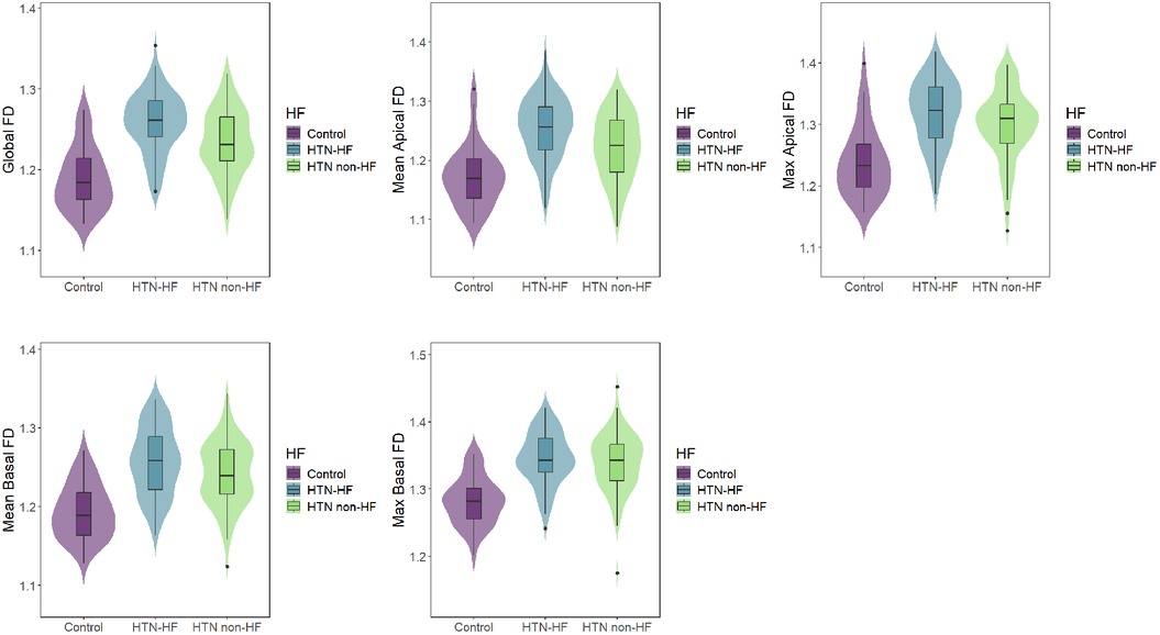
Abstract Background: Endocardial trabecular hyperplasia due to hemodynamic stress reflects phenotypic variability in disease progression. Employing fractal analysis, this study quantified left ventricular (LV) myocardial trabecular complexity in hypertensive patients with and without heart failure (HF) to evaluate its diagnostic utility for HF. Methods: This study retrospectively enrolled 146 hypertensive patients (77 with HF, 69 without), grouped into HTN-HF (n=77) and HTN non-HF (n=69); additionally, 34 healthy controls were recruited. Clinical data and cardiac MRI parameters were compared. Fractal dimension (FD) values were calculated on the LV short-axis cine images using fractal analysis. Logistic regression analysis was performed to determine predictors. Results:
Keywords: Heart Failure, Hypertension, Left ventricular myocardial trabecular, fractal analysis, magnetic resonance imaging.
Received: 15 Sep 2025; Accepted: 30 Oct 2025.
Copyright: © 2025 Xie, Zhao, Deng, Ren, Yu, Feng, Zhang, Gong and Liu. This is an open-access article distributed under the terms of the Creative Commons Attribution License (CC BY). The use, distribution or reproduction in other forums is permitted, provided the original author(s) or licensor are credited and that the original publication in this journal is cited, in accordance with accepted academic practice. No use, distribution or reproduction is permitted which does not comply with these terms.
* Correspondence: 
Lianggeng  Gong, gong111999@126.com
Hui  Liu, liuhuiimage@qq.com
Disclaimer: All claims expressed in this article are solely those of the authors and do not necessarily represent those of their affiliated organizations, or those of the publisher, the editors and the reviewers. Any product that may be evaluated in this article or claim that may be made by its manufacturer is not guaranteed or endorsed by the publisher.
