ORIGINAL RESEARCH article
Front. Cardiovasc. Med.
Sec. General Cardiovascular Medicine
Assessing the Timing of Invasive Intervention in NSTE-ACS: Insights from a Meta-Analysis and Sequential Trial Evaluation
Provisionally accepted- 1Capital Medical University, Beijing, China
- 2Chinese Academy of Medical Sciences and Peking Union Medical College, Beijing, China
Select one of your emails
You have multiple emails registered with Frontiers:
Notify me on publication
Please enter your email address:
If you already have an account, please login
You don't have a Frontiers account ? You can register here
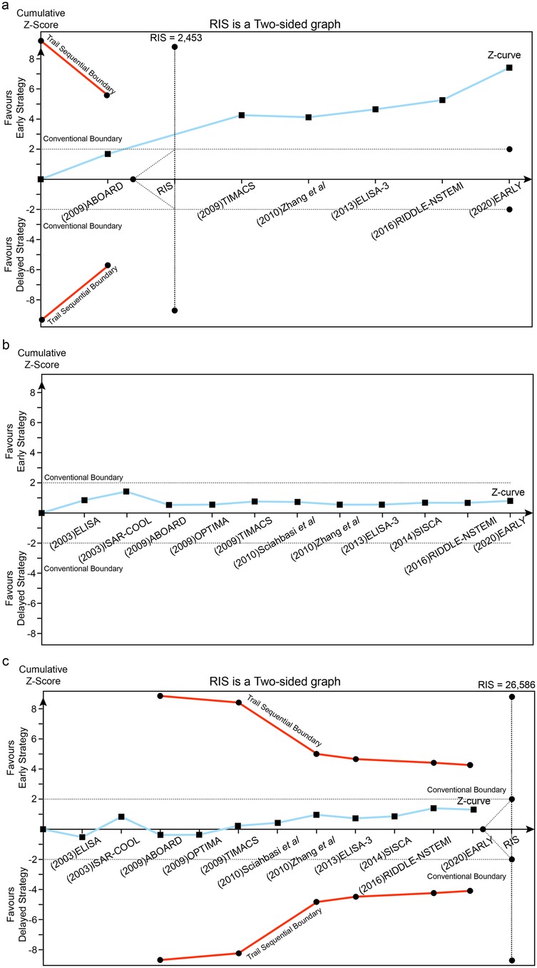
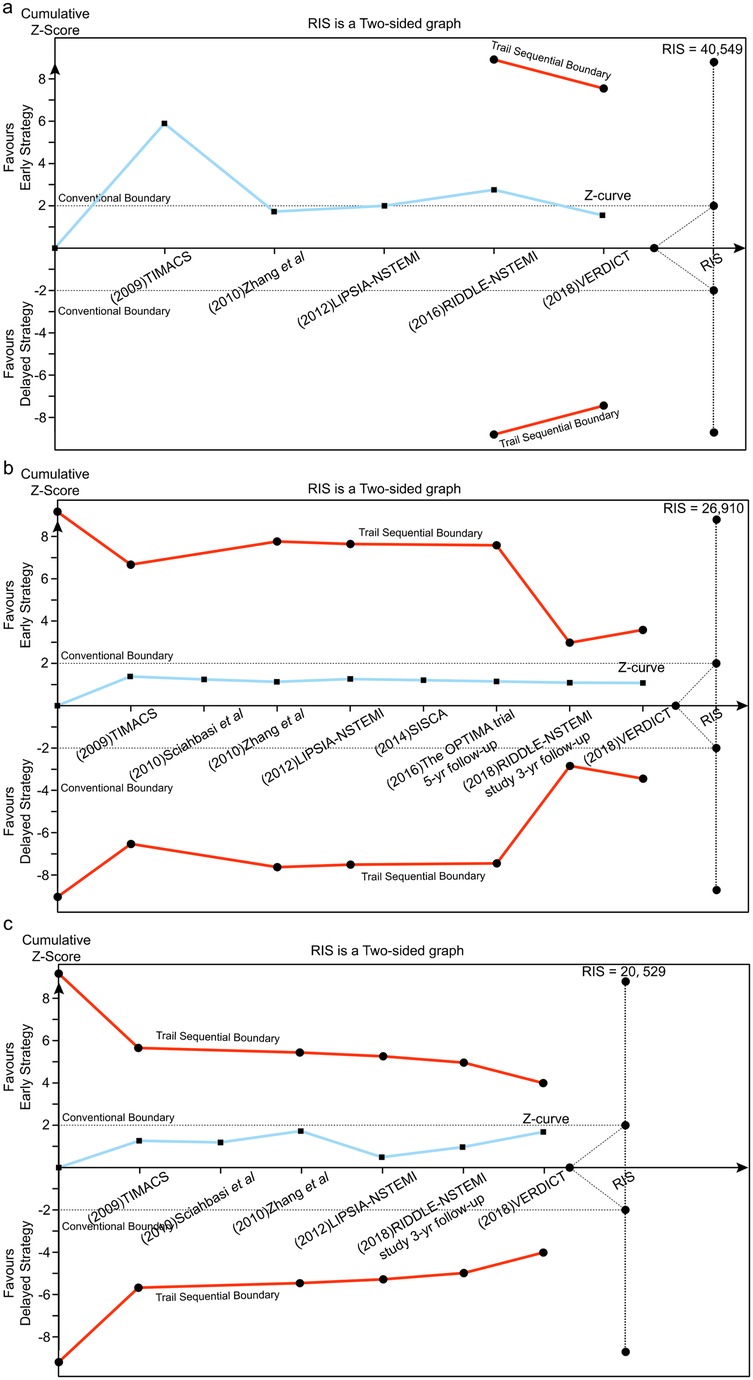
Background Invasive approaches are commonly recommended for treating patients with non-ST-elevation acute coronary syndromes (NSTE-ACS) to lower the risk of death caused by myocardial infarction (MI). However, the timing for implementing relevant interventions remains challenging to be determined, largely due to poorly understanding of the long-term clinical outcomes. Methods A meta analysis with trial sequential analysis (TSA) was conducted to evaluate the impact of timing on the outcomes of invasive interventions for NSTE-ACS patients. A comprehensive search of PubMed and EMBASE databases identified 14 randomized controlled trials (RCTs), encompassing 16 studies with a total of 9,436 patients, in which two trials have additional long-term follow-up studies. Based on the timing of catheterization, all studies were categorized into two groups: early intervention group (median intervention time <24 hours; range from 0.5 to 9.3 hours) and delayed intervention group (median intervention time ≥24 hours; range from 18.3 to 86 hours). Clinical outcomes were assessed for primary endpoints (all-cause death or MI) and secondary endpoints (recurrent ischemia, requiring cardiac revascularization or major bleeding) respectively. Results Early intervention did not significantly reduce all-cause mortality or the incidence of MI compared with delayed intervention. The frequency of revascularization and major bleeding were also similar between the two groups. A significant reduction was observed for the incidence of recurrent ischemia in early intervention group. Further analyses confirmed those findings across both short-term follow-up (30 days) and mid-to-long-term follow-up (180 days to 5 years). TSA provided additional evidence supporting the protective benefit of early intervention for recurrent ischemia but not for others. Conclusions For patients with NSTE-ACS, early invasive treatment does not reduce all-cause mortality or incidence of MI but is associated with a lower frequency of recurrent ischemia.
Keywords: NSTE-ACS, Meta-analysis, Myocardial Infarction, Trial sequential analysis, Recurrent ischemia
Received: 24 Sep 2025; Accepted: 04 Nov 2025.
Copyright: © 2025 Yang, Ge and Wang. This is an open-access article distributed under the terms of the Creative Commons Attribution License (CC BY). The use, distribution or reproduction in other forums is permitted, provided the original author(s) or licensor are credited and that the original publication in this journal is cited, in accordance with accepted academic practice. No use, distribution or reproduction is permitted which does not comply with these terms.
* Correspondence: Wei Yang, 369zhxl@163.com
Disclaimer: All claims expressed in this article are solely those of the authors and do not necessarily represent those of their affiliated organizations, or those of the publisher, the editors and the reviewers. Any product that may be evaluated in this article or claim that may be made by its manufacturer is not guaranteed or endorsed by the publisher.
