ORIGINAL RESEARCH article
Front. Cardiovasc. Med.
Sec. Cardiac Rhythmology
Construction and Validation of a Regularized Logistic Regression Model for Predicting Late Recurrence After Ablation in Persistent Atrial Fibrillation: A Clinical Parameter Approach
Provisionally accepted- 1Department of Cardiology, No.363 hospital, Chengdu, China
- 2Chengdu Second People's Hospital, Chengdu, China
Select one of your emails
You have multiple emails registered with Frontiers:
Notify me on publication
Please enter your email address:
If you already have an account, please login
You don't have a Frontiers account ? You can register here
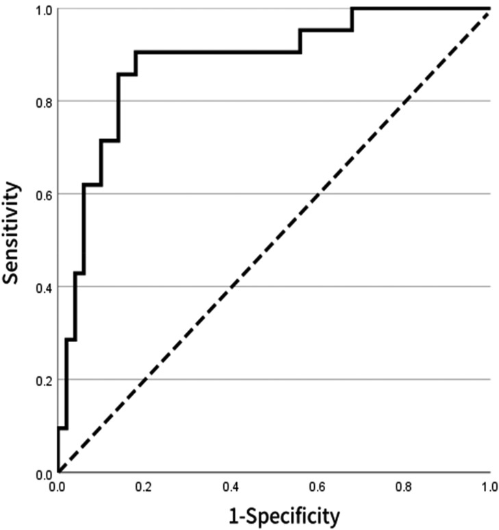
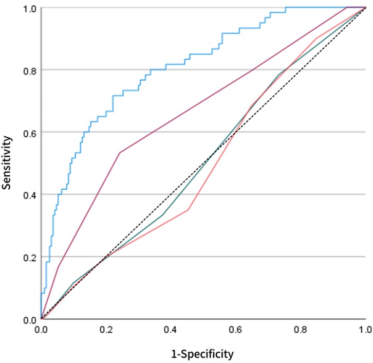
Background: Patients with persistent atrial fibrillation (PsAF) exhibit a high recurrence rate following catheter ablation, and there is a lack of individualized prediction tools based on clinical parameters. Objective: To develop and validate a regularized logistic regression model for predicting long-term recurrence risk (>3 months post-procedure) in PsAF patients following catheter ablation. Methods: This study enrolled 300 consecutive PsAF patients undergoing their first radiofrequency catheter ablation (RFCA) from January 2023 to December 2024 in our cardiology department. The first 250 patients were assigned to the training set for model development and internal validation, while the remaining patients served as an independent external validation cohort. Demographic, echocardiographic, laboratory, and procedural parameters were collected. Feature selection was performed using LASSO regression, followed by the construction of a multivariate logistic regression prediction model and a corresponding nomogram. Model performance was evaluated using ROC curves, C-index, and calibration curves. Internal validation was conducted via bootstrap resampling, and external validation was performed on the 50-patient cohort. Results: LASSO regression identified the following predictors: sex, AF duration, preoperative serum calcium, D-dimer, LDL-c, TSH, additional ablation sites, termination mode, early recurrence of atrial fibrillation (ERAF), and creatinine difference. Multivariate analysis revealed pharmacologic termination (OR=0.248, P=0.014), ERAF (OR=21.188, P<0.001), and creatinine difference (OR=0.976, P=0.002) as independent predictors. The model demonstrated superior discriminative ability (AUC=0.808) compared to MB-LATER (0.663), APPLE (0.506), and CHA₂DS₂-VASc (0.494). Internal validation yielded a C-index of 0.803 with good calibration, while external validation maintained high performance (AUC=0.882). Conclusion: The regularized logistic regression model incorporating clinical parameters accurately predicts long-term recurrence risk post-ablation in PsAF patients, outperforming traditional risk scoring systems and showing significant potential for clinical application.
Keywords: Persistent atrial fibrillation, Catheter Ablation, Recurrence, Regularized Logistic Regression, Prediction model
Received: 26 Sep 2025; Accepted: 20 Nov 2025.
Copyright: © 2025 Cui, Bin, Xie and Ning. This is an open-access article distributed under the terms of the Creative Commons Attribution License (CC BY). The use, distribution or reproduction in other forums is permitted, provided the original author(s) or licensor are credited and that the original publication in this journal is cited, in accordance with accepted academic practice. No use, distribution or reproduction is permitted which does not comply with these terms.
* Correspondence: Liang Ning, ningliang151760@outlook.com
Disclaimer: All claims expressed in this article are solely those of the authors and do not necessarily represent those of their affiliated organizations, or those of the publisher, the editors and the reviewers. Any product that may be evaluated in this article or claim that may be made by its manufacturer is not guaranteed or endorsed by the publisher.
