ORIGINAL RESEARCH article
Front. Clim.
Sec. Climate Monitoring
The roots of Amazonia's droughts and floods: Complex interactions of Pacific and Atlantic sea-surface temperatures
Provisionally accepted- 1INCT do Valor Ambiental da Amazônia - VALAMB, Instituto Nacional de Pesquisas da Amazonia, Manaus, Brazil
- 2Instituto Nacional de Pesquisas da Amazonia, Manaus, Brazil
Select one of your emails
You have multiple emails registered with Frontiers:
Notify me on publication
Please enter your email address:
If you already have an account, please login
You don't have a Frontiers account ? You can register here
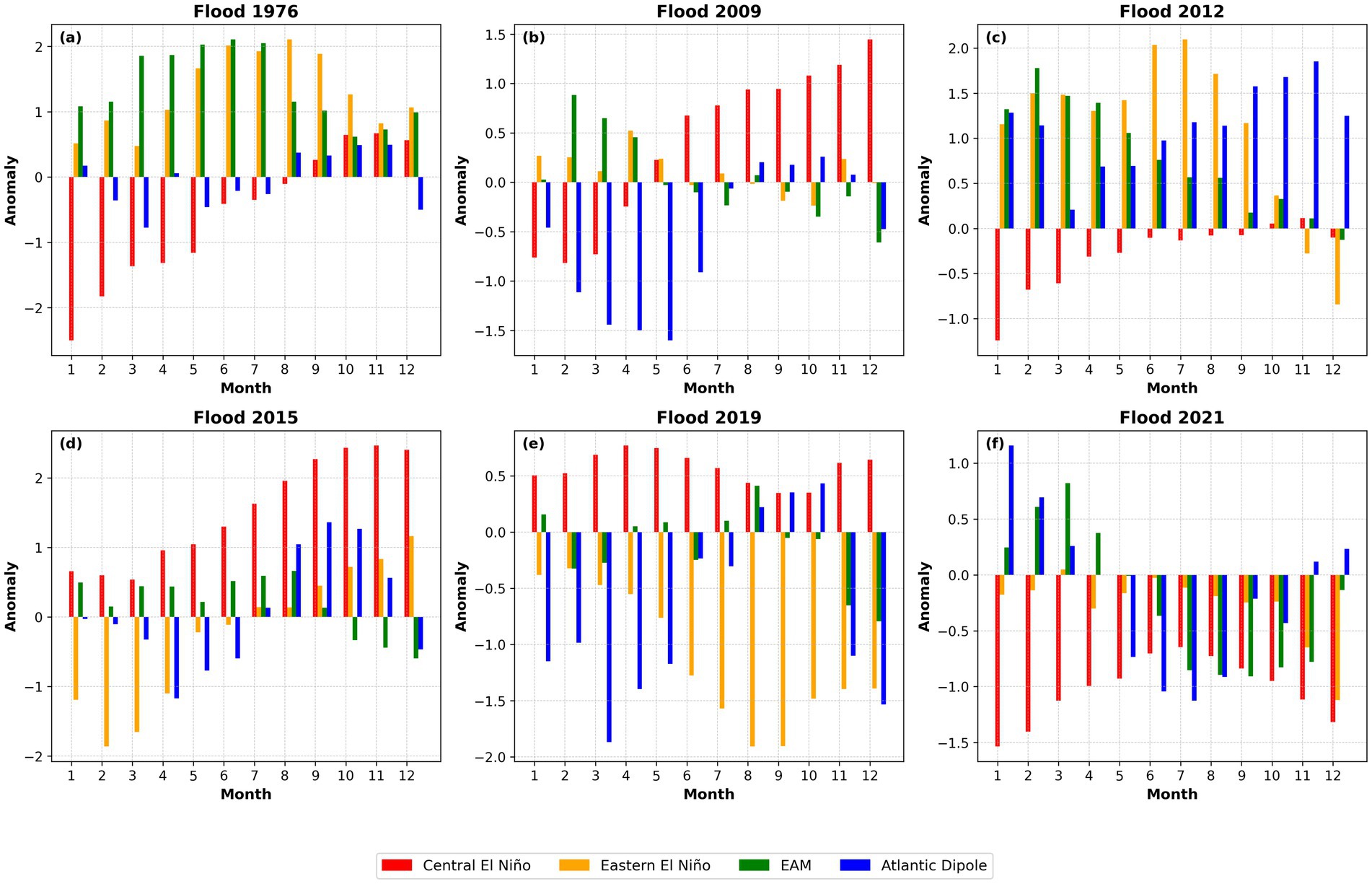
The relationship between sea surface temperatures (SST) and climate events in the Amazon is more complex than suggested by traditional climate models, involving the of multiple oceanic drivers and spatially and temporally heterogeneous responses across the basin. The first EOF mode in the tropical Pacific corresponds to Central El Niño events, featuring basin-wide positive SST anomalies with 2 to 8 year cycles. The second mode relates to Eastern El Niño events, showing localized positive anomalies in the Niño 1+2 region and opposing negative anomalies in northern and southern Pacific, with shorter 1 to 4 year oscillations. In the tropical Atlantic, the main EOF mode is the Equatorial Atlantic Mode (EAM), characterized by basin-wide negative SST anomalies on 2 to 4 year cycles. The second Atlantic mode is the Positive Atlantic Dipole, distinguished by opposing SST anomalies in the northern and southern tropics, varying between 6 months and 1 year. Correlation analyses between these climate modes and the Palmer Drought Severity Index (PDSI) show that Central El Niño strongly influences Amazon droughts year-round, especially in northern and central sub-basins like Japurá, Negro, Trombetas-Uatumã, and Paru-Jari. The impact of the Eastern El Niño is milder and spatially heterogeneous, with opposite effects particularly evident in the Upper Negro sub-basin. The cold phase of the EAM favors wetter rainy seasons but can induce moisture reduction during the transition to 1 the dry season, especially when combined with other seasonal forcings. When the Positive Atlantic Dipole occurs in the rainy season, Japurá and Negro basins become wetter, but other sub-basins face moderate drought. This oceanic pattern promotes drier conditions, bringing forward the onset of the dry season in practically all sub-basins. Our results demonstrate that Pacific and Atlantic oceanic patterns play complementary roles, with Central El Niño driving widespread and prolonged droughts, while Atlantic modes modulate the of extreme events, often amplifying or attenuating the impacts depending on the sub-basin considered. This enhanced understanding of coupled ocean-atmosphere interactions is essential for improving climate prediction, water resource management, and adaptation strategies in the face of increasing hydroclimatic extremes in the Amazon Basin.
Keywords: Amazon sub-basins, climate, Enso, Atlantic dipole, Hydroclimate
Received: 29 Jun 2025; Accepted: 28 Oct 2025.
Copyright: © 2025 Silva and Fearnside. This is an open-access article distributed under the terms of the Creative Commons Attribution License (CC BY). The use, distribution or reproduction in other forums is permitted, provided the original author(s) or licensor are credited and that the original publication in this journal is cited, in accordance with accepted academic practice. No use, distribution or reproduction is permitted which does not comply with these terms.
* Correspondence: Rosimeire Araújo Silva, cientistadedados2020@gmail.com
Disclaimer: All claims expressed in this article are solely those of the authors and do not necessarily represent those of their affiliated organizations, or those of the publisher, the editors and the reviewers. Any product that may be evaluated in this article or claim that may be made by its manufacturer is not guaranteed or endorsed by the publisher.
