ORIGINAL RESEARCH article
Front. Clim.
Sec. Climate Risk Management
This article is part of the Research TopicFrom Melting Ice to Scorching Heatwaves: A Global Call for Multidisciplinary Solutions Toward Climate Resilience and a Sustainable, Greener FutureView all 4 articles
Rainfall Temporal Variability and Drought Analysis by Means of the Standardized Precipitation Index in Ganganagar District, Rajasthan, India
Provisionally accepted- 1Dr. S. & S. S. Ghandhy Government Engineering College, Surat, Surat, India
- 2National Research Council of Italy, Italy, Italy
- 3Sardar Vallabhbhai National Institute of Technology, Surat, India
- 4Scientist, Planning and Development Department, Govt of Bihar, Bihar, India
Select one of your emails
You have multiple emails registered with Frontiers:
Notify me on publication
Please enter your email address:
If you already have an account, please login
You don't have a Frontiers account ? You can register here
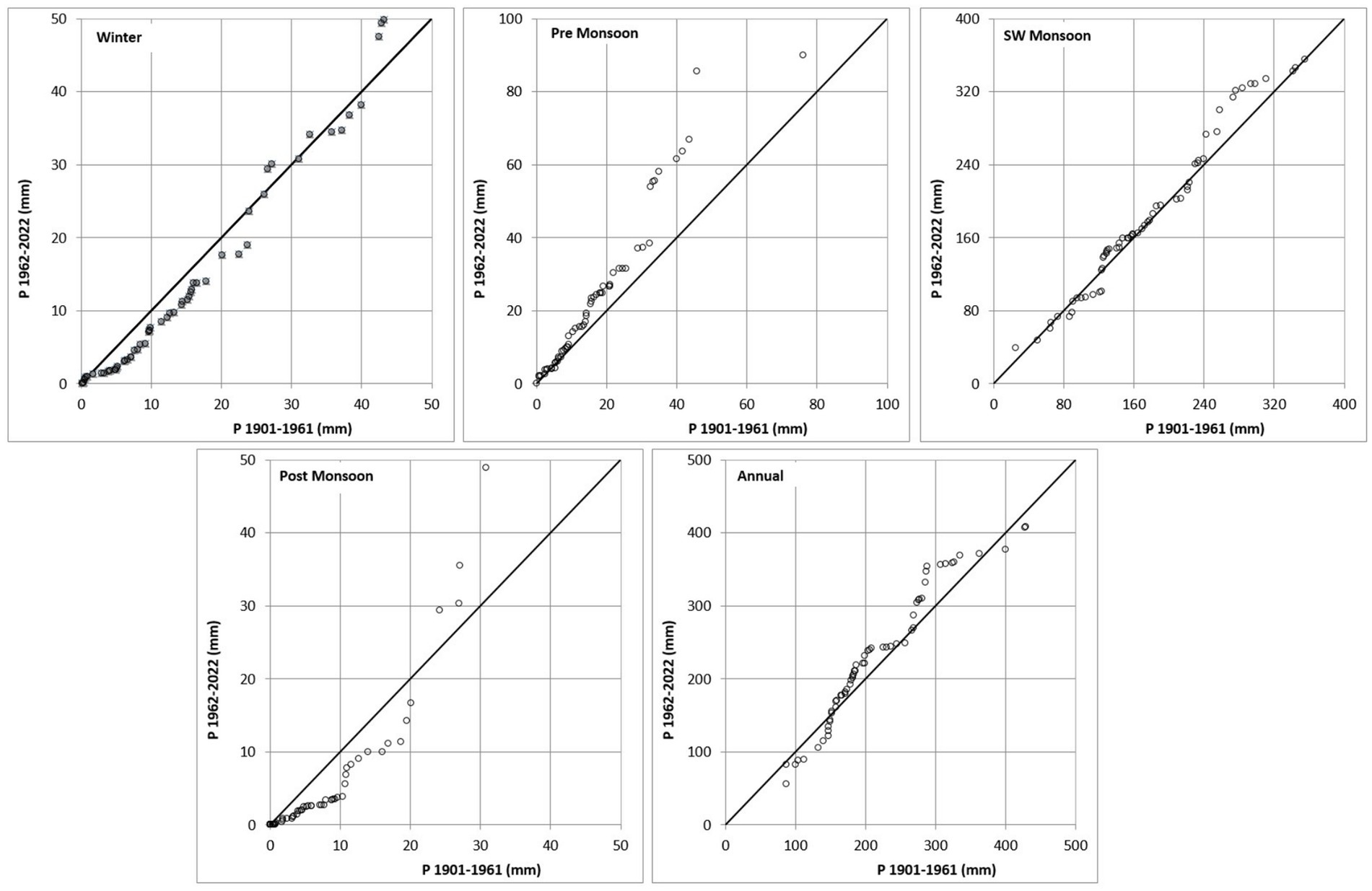
Drought, a prolonged manifestation of deficient precipitation, represents one of the most pressing hydro-meteorological hazards with cascading effects on agriculture, hydrology, the economy, ecosystems, and society at large. In the context of intensifying climate extremes, —ranging from melting ice in polar regionsPolar Regions to scorching heatwaves in arid landscapes, — understanding localized drought dynamics becomes essential for advancing global climate resilience. This study examines the temporal characteristics and severity of drought events in the Ganganagar district of Rajasthan, India, using the Standardized Precipitation Index (SPI). A 121122-year record of monthly precipitation (1901–20212022) was analyzed across multiple timescales (3-, 6-, 9-, and 12-month) to evaluate drought frequency, duration, and intensity. The analysis identified 46 moderate to severe drought events at the 3-month scale and 32 at the 12-month scale, with the most prolonged episode lasting 21 months (2000–2002). The frequency of extreme droughts was found to be higher in the post-1970 period, coinciding with increasing inter-annual rainfall variability. Although long-term linear trends in severity were not statistically significant, the 12-month SPI revealed decadal-scale oscillations linked to large-scale monsoon variability, while the 3-month SPI effectively captured agricultural drought episodes impacting seasonal crop yields. These findings provide a quantitative basis for drought monitoring, enabling policymakers to align agricultural planning, irrigation scheduling, and contingency measures with identified high-risk periods. Under projected climate scenarios indicating a 5–10% reduction in mean rainfall and more frequent extreme events in Northwest India, the recurrence of multi-year droughts could severely stress the region's canal-based irrigation system and groundwater reserves. By situating local hydro-climatic assessments within the broader context of global climate extremes, this study underscores the need for integrated water resource management, climate-informed agricultural adaptation, and region-specific policy interventions to strengthen resilience in the face of an uncertain climate future.
Keywords: Climate Extremes, Drought analysis, precipitation, rainfall variability, Standardized Precipitation Index
Received: 09 Sep 2025; Accepted: 07 Nov 2025.
Copyright: © 2025 Mehta, Caloiero, Yadav and Kumar. This is an open-access article distributed under the terms of the Creative Commons Attribution License (CC BY). The use, distribution or reproduction in other forums is permitted, provided the original author(s) or licensor are credited and that the original publication in this journal is cited, in accordance with accepted academic practice. No use, distribution or reproduction is permitted which does not comply with these terms.
* Correspondence: Darshan Mehta, darshanmehta2490@gmail.com
Disclaimer: All claims expressed in this article are solely those of the authors and do not necessarily represent those of their affiliated organizations, or those of the publisher, the editors and the reviewers. Any product that may be evaluated in this article or claim that may be made by its manufacturer is not guaranteed or endorsed by the publisher.
