- 1COPELABS, Universidade Lusófona, Lisboa, Portugal
- 2Center of Technology and Systems (UNINOVA-CTS) and LASI, Caparica, Portugal
- 3Department of Electronics and Communication Engineering, Chennai Institute of Technology, Chennai, India
- 4CIET/DEEE, Faculty of Engineering, Sri Lanka Institute of Information Technology, Colombo, Sri Lanka
This paper analyzes the channel estimation of rate splitting multiple access (RSMA) wireless network through the full-duplex amplify-and-forward (AF) relay. Basically, full-duplex transmission can improve temporal efficiency, however the loop interference is an unavoidable problem that occurs in the strong user of this proposed network. The orthogonal frequency division multiplexing (OFDM) system is used to provide high data rate communication, assuming the presence of phase noise (PN) in local oscillators. Using the least square (LS) estimate, the channel coefficients of the proposed RSMA relay network are estimated. In addition, convex optimization techniques are applied to estimate the phase noise components of this network. The problem is formulated by optimizing phase noise under transmit power constraints. We analyze the Bit Error Rate (BER) performance of the proposed network under binary phase shift keying (BPSK) modulation and 16-quadrature amplitude modulation (QAM). Simulation results demonstrate that channel estimation achieves better performance after the PN compensation.
1 Introduction
Sixth generation (6G) wireless communication signifies a paradigm shift, promising to revolutionize connectivity and emerging in an era of truly immersive and intelligent experiences (Zeydan et al., 2024; Chaudhary et al., 2025). In the context of the 6G wireless network, the proposed RSMA-OFDM model accompanied by a full duplex relay can significantly enhance data rate, network reliability, and latency. Rate splitting multiple access (RSMA) is the promising technology proposed in 5G wireless networks. In this concept, the transmitter divides user messages into public and private streams. The users share a common code book that encrypt the common components of all messages into a public stream. During the same time, the private message is separately encoded and transformed into a private stream. Finally, both public and private streams are combined through linear precoding (Park et al., 2023). At the receiver end, each user can decode the public stream using successive interference cancelation (SIC). After removing the public stream, the user can decode its own private stream while considering the private stream of another user as interference (Chrysologou et al., 2024). In RSMA systems, the interference between the users is effectively mitigated especially in scenarios with strong interference channels. This is achieved (Şahin et al., 2023) by carefully designing the power allocation and rate splitting strategies to balance the trade-off between maximizing the sum rate and ensuring fair allocation among users. Additionally, RSMA can enhance the robustness of the system by minimizing the channel estimation errors, as the common message can be decoded reliably even with imperfect channel knowledge. In downlink transmission (Khisa et al., 2022), RSMA has recently been envisioned as a more formidable and powerful generic multiple access method. Cooperative relay (Lin et al., 2024) is another promising technique that is used to improve network coverage and performance. In this approach, intermediate nodes, known as relays, assist in the transmission of data between the source and destination nodes. Basically, two types of relaying strategies are used in wireless systems, such as the amplify and forward (AF) relay and the decode and forward (DF) relay (Mustari et al., 2024). In full duplex DF relaying, the source node sends the data to the relay node and, at the same time, the relay node sends the decoded data to the destination node. In full duplex AF relay node, source node sends the data to the relay node and at the same time, relay node send the amplified signal to the destination node. In traditional (Gao et al., 2023) half-duplex systems, a device can transmit or receive signals at a given time, which limit the temporal efficiency.
Full-duplex (FD) communication is the highly demanded data transmission scheme for 5G networks by eliminating the traditional time-division duplex (TDD) or frequency-division duplex (FDD) constraints. FD communication (Su et al., 2023) can potentially double the spectral efficiency of wireless networks and allows simultaneous transmission and reception using the same frequency. However, the challenge with full-duplex transmission lies in reducing self-interference (Skouroumounis and Krikidis, 2023). Cooperative relaying can improve network resilience by providing alternative communication routes, reducing the impact of node failures or congestion (Mohammadi et al., 2023). In addition, it can mitigate the effects of fading and interference, leading to improved signal quality and higher data rates (Al Amin and Shin, 2021).
Orthogonal frequency division multiplexing (OFDM) scheme is a multi-carrier modulation technique that is used in wireless broadband communication to overcome the multipath fading effect. OFDM scheme is used to convert the frequency selective fading channel into a set of parallel flat fading channels (Abed, 2023). OFDM provides the necessary modulation and demodulation techniques to handle the frequency-selective nature of wireless channels, while RSMA allows flexible resource allocation and interference management among multiple users (Şahin et al., 2023). OFDM-RSMA allows for flexible resource allocation and interference management, enabling the system to adapt to varying channel conditions and user demands. Furthermore, it can improve the quality of service for users with different traffic requirements, making it suitable for various applications such as IoT, vehicular communication, and high-speed data transmission (Huai et al., 2024). This combination can significantly improve spectral efficiency, data rates, and overall system performance in various wireless applications. The ongoing research (Jafarkhani et al., 2024) is focused on developing advanced techniques to overcome these challenges and fully realize the potential of OFDM-RSMA in future wireless networks.
1.1 Related work
The integration of FD communication with other advanced technologies, such as cooperative communication and multiple-input, multiple-output (MIMO) can further enhance network performance (Nguyen et al., 2021). FD cooperative communication can enable efficient relaying and interference management, improving network coverage and reliability (Hwang et al., 2022). Similarly, FD-MIMO systems can take advantage of spatial diversity to improve both transmission and reception, leading to significant capacity gains (Qamar et al., 2024). Using a two-phase training protocol, the channel can be estimated in the OFDM modulated two-way relay network (Ashraf et al., 2021). However, in this method, channel estimation can be performed without considering phase noise components. In (Flores et al., 2022; Zhang and Ge, 2021), the preamble-based channel estimation is performed using the least minimum mean square error (LMMSE) in OFDM-based AF relay networks. RSMA with rate splitting has received significant attention for its capacity to improve spectral efficiency in various interference scenarios. In (Mishra et al., 2022) a novel framework has been proposed for downlink transmission in Massive MIMO systems using RSMA precoder design strategy and power allocation schemes to optimize different network utility functions, demonstrating that RSMA significantly improves spectral efficiency and robustness to pilot contamination compared to conventional linear precoding techniques. Pilot symbol aided channel estimation techniques is proposed in cooperative diversity network, however, the network is analyzed under flat fading environment (Omar and Ma, 2021). Using LMMSE, the complex fading channel coefficients are estimated on orthogonal and non-orthogonal AF relaying protocols (Kundu and McKay, 2021). Two time slots cooperative channel estimation is proposed in the presence of frequency offsets (Akhtar et al., 2020) further, pilot designs for the AF relay and the DF relay are derived and Pairwise Error Probability (PEP) is analyzed using optimal power allocation. Pilot symbol aided channel estimation is performed using Minimum Mean Square Error (MMSE) estimator in OFDM system, furthermore, in this case, the channel can be estimated under a hilly terrain environment and a typical urban environment with Doppler spread (Essai Ali, 2021). Using the full block pilot symbol, we estimate the channel in the OFDM-based Wireless Local Area Network (WLAN) system in the frequency domain (Mashhadi and Gündüz, 2021). Using self-interference channel sparsity, a compression sensing-based channel estimation technique is proposed in the full duplex MIMO communication system (Kim et al., 2021). Kalman filter (Tang et al., 2020) based channel estimation is performed in a MIMO millimeter wave full duplex communication system. The paper (Bazzi and Chafii, 2025) demonstrate a method to significantly reduce the dynamic range in bistatic ISAC systems by effectively managing path interference through optimized RIS configurations. Future research should explore the integration of Rate-Splitting Multiple Access (RSMA) to further enhance spectral efficiency and address complex interference scenarios within these low dynamic range systems. By combining the concept of full duplex transmission and cooperative relaying, and OFDM scheme with RSMA, a new OFDM-based full duplex AF-RSMA relaying model is proposed, and the channel can be estimated using LS estimation.
A significant advancement has been made in relay-assisted RSMA-OFDM systems, particularly with respect to performance optimization and interference management. However, a noticeable research gap persists in the context of accurate and efficient channel estimation for full-duplex relay scenarios. Existing studies often rely on simplified channel models or neglect the impact of self-interference inherent in full-duplex operation. Furthermore, the complexities introduced by RSMA’s multiuser superposition and the dynamic nature of relay channels present challenges that have not been fully addressed. This work aims to bridge these gaps by developing a novel channel estimation technique for full-duplex relay-assisted RSMA-OFDM networks, thus improving system performance and reliability under realistic channel conditions.
1.2 Major contributions
The development of wireless communication systems has been driven by the unwavering demand for faster data speeds and spectrum efficiency. Researchers and developers are investigating cutting edge methods to optimize the utilization of existing spectrum to meet the unquenchable need for seamless connectivity. Full duplex communication is a promising technology that doubles spectral efficiency by allowing simultaneous transmission and reception on the same frequency band effectively. However, full duplex systems are vulnerable to self-interference, which can substantially reduce the system performance. To address this challenge, Relay-aided communication provides a promising solution, where a relay node assists in transmission between the source and destination nodes. Using RSMA and OFDM, we can further enhance the spectral efficiency and robustness against channel impairments. However, accurate CSI is crucial for efficient resource allocation and signal processing in these complex systems.
The major contributions of this paper are:
The remaining part of the study explains the mathematical model of the received signal in Section 2 which describes the system model of the proposed full duplex AF relay network. In Section 3, Signal-to-Interference plus Noise Ratio (SINR) expressions for the received signal at relay and destination nodes are explained. Channel estimation and phase noise estimation along with BER analysis is explained in Section 4. The simulation results are explained in Section 5 and the concluding remarks are given in Section 6.
Notations: Vectors and scalars in the time and frequency domain are denoted by
2 System model
Consider the system model that consists of two users such as strong user and weak user and one base station as shown in Figure 1. In the proposed system, the base station (BS) subsequently segments the message
Assume that the system is operating in full duplex mode so that the base station sends the transmit data to the strong user and at the same time the strong user transmits the data to the weak user. Hence, the temporal efficiency of the proposed system can be improved. However, loop interference occurred at the relay node due to the simultaneous transmission between BS to the strong user and strong user to weak user.

Figure 1. Figure illustrates the system model of a RSMA-based full-duplex AF relay network. In this setup, a source node (i.e., BS) transmits signals to a destination node (i.e., weak user) with the assistance of a full-duplex relay (i.e., strong user). The strong user simultaneously transmits and receives signals, leading to loop interference. Direct link communication between the BS and weak user also exists, however this link act as an interference due to different time slot transmission. Strong user amplifies the received signal from the BS and forwards it to the weak user, while also dealing with interference from its own transmission.
2.1 Phase noise model
In this model, the phase noise which is generated from the local oscillator is modeled as a Gaussian random variable and assumed that it affects at the strong user, the weak user, and the BS received signal. PN creates the random phase drift on each OFDM sample, and they can be modeled as a common phase error and inter-carrier interferences (Kumaran et al., 2013).
At time instant n, the phase noise
where k
2.2 Strong user and weak user received signal
The OFDM signal carries information over N sub-carriers and v cyclic prefix symbols are added and cyclic prefix length v is chosen greater than the channel length L in order to suppress the interference of the symbols (ISI). Let, P = N +
The frequency domain signal received by the strong user per sub-carrier can be written as (Rajkumar et al., 2015)
where
In matrix form, the strong user received signal in the frequency domain can be written as
where
where
The amplification factor
where
By substituting (6) into (4), the average strong user power can be determined as
where
By recursively substituting
where
Note that the second term is loop interference and its channel coefficient is the combination of
3 Signal to interference plus noise ratio (SINR) analysis
In this section, signal-to-interference plus noise ratio (SINR) of the proposed RSMA-OFDM based full duplex AF is analyzed at strong user and weak user nodes in the presence of phase noise. The CFR components between BS to strong user
where the numerator term represents the power of the public signal, the first term in the denominator represents the residual interference that occurred due to phase noise,
where
Since the phase noise matrix is orthonormal, its average value can be determined as
Finally, the simplified expression of SINR between the base station and the strong user can be written as Equation 16
After successful decoding of the public message of the strong user, it can be removed from the total received signal using successive interference cancellation (SIC). Then, the strong user decodes its own private message, while considering the private message of the weak user as interference. Thus, the SINR of the strong user private message can be written as Equation 17
Similarly, using (9), SINR of the weak user public message received signal can be written as Equation 18
Where the numerator term represents the transmitted power of the weak user public message and the denominator first term represents the residual interference of phase noise,
where
After removing the public message of weak user, the private message of the weak user can be decoded while treating the strong user private message as an interference, hence, the SINR of the weak user private message can be written as Equation 21
In the AF relay network model, the overall SNR is dependent on the minimum SNR of the strong user and the SNR of the weak user (Rabiei et al., 2008). Therefore, the overall SNR of the OFDM based AF relay network can be expressed as in Equation 22.
4 Performance analysis
In this section, channel estimation of the RSMA based AF relay network is analyzed by considering phase noise impairments. The least square (LS) estimation technique is used to estimate the overall channel gain, which is from BS to strong user and from strong user to weak user. After the estimation of the channel gain, PN can be estimated using convex optimization where the estimated channel gain is used. Finally, using the estimated channel gain and PN, BER of the proposed RSMA based full-duplex relay network is derived.
4.1 Channel estimation of the proposed RSMA based relay networks
With the assumption that phase noise components
By substituting
where
4.2 PN estimation of the proposed RSMA based relay networks
Using convex optimization, the PN estimation of the proposed RSMA-OFDM based AF relay network is derived. Simulations for PN estimation is performed using cvx tool such as sdpt3 and sedumi. By applying the quadratic form maximization, problem for PN estimation can be formulated as given by (Rabiei et al., 2008)
where
4.3 BER of the proposed RSMA relay networks
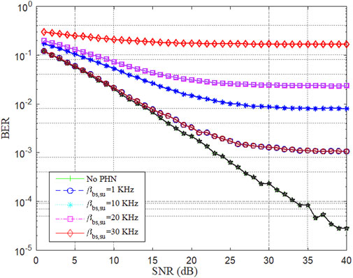
In this section, the BER analysis of the proposed RSMA-OFDM based full duplex AF relay networks is analyzed in the presence of the various phase noise bandwidths. The number of sub-carriers used in the OFDM scheme is 64. Comb type pilot carrier is used in OFDM scheme, hence the pilot carrier is inserted at equal intervals, and in this model the pilot carrier is inserted at every 10 sub carriers to estimate the channel gain. After removing the pilot carriers from the OFDM symbol, the BER can be calculated using OFDM data carriers. Furthermore, BER performance is analyzed using modulation techniques such as binary phase shift keying (BPSK) and 16 quadrature amplitude modulation (QAM).
where
5 Numerical results
In this section, the CIR of the proposed full duplex AF relay network is analyzed in the presence of phase noise. Further, BER performance of the proposed RSMA based AF relay network is analyzed. Monte Carlo simulations of 1,000 used to evaluate the BPSK and 16-QAM modulation data signals. OFDM signal sampling interval of
Figure 2 Shows the efficacy of the proposed channel estimation scheme in mitigating the adverse effects of phase noise on the RSMA-OFDM-based full-duplex AF relay network in the presence of phase noise components. The proposed scheme exhibits superior performance in terms of channel MSE and SNR compared to conventional methods. The impact of varying phase noise bandwidths on the system performance is investigated, revealing the robustness of the proposed scheme against phase noise impairments. Simulation results can be achieved for various phase noise level percentages (PLPs),

Figure 2. Channel estimation performance of the proposed RSMA-based full duplex AF relay network with different phase noise bandwidths. The plot shows the MSE of least square channel estimates as a function of SNR for phase noise bandwidths of 1 kHz and 10 kHz. Channel estimation is performed over two links such as from BS to SU and also for the overall channel link from BS to SU and from SU to WU.
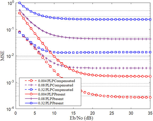
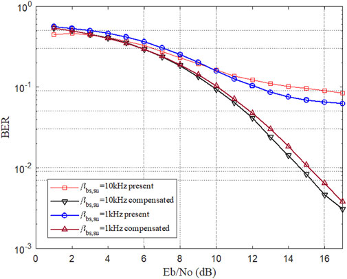
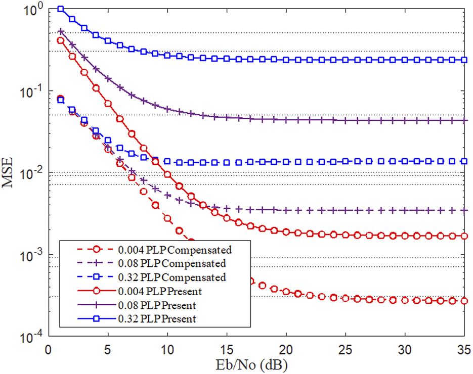
Figure 3 Illustrates the effectiveness of the proposed channel estimation scheme in reducing the MSE of the estimated channel coefficients in the RSMA full-duplex AF relay network. The simulation results are analyzed with PLP levels of

Figure 3. Figure illustrates the MSE performance of a RSMA aided full-duplex AF relay network under the various PLP values. In this figure, channel estimation of the proposed network is compared with the phase noise and after compensation of phase noise using convex optimization.
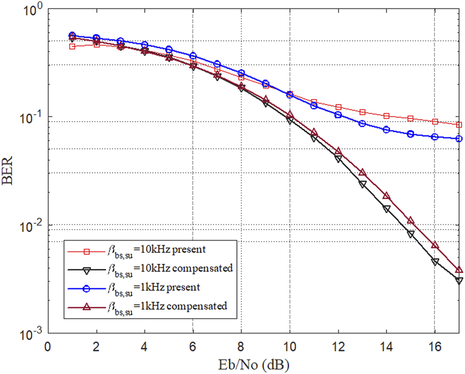
Figure 4 Shows a significant improvement in the BER performance of the proposed full-duplex RSMA AF relay network using BPSK. At 20dB SNR, the BER of the network is

Figure 4. Figure illustrates the BER performance of the proposed full duplex relay network employing RSMA with AF relaying and BPSK modulation. The plot depicts the BER as a function of the SNR for various phase noise bandwidths.
In Figure 5 The proposed full-duplex RSMA-AF relay network the use of 16-QAM modulation demonstrates a significant improvement in BER performance. At 8 dB SNR, the BER of the network is

Figure 5. Figure illustrates the BER performance of the proposed full duplex relay network employing RSMA and AF relaying, utilizing 16-QAM modulation. The plot depicts the BER as a function of the SNR at various phase noise bandwidths.
In Figure 6 The RSMA-based AF relay network, enhanced by SIC, exhibits substantial improvements in BER performance. By iteratively decoding and subtracting interfering users, SIC effectively mitigates inter-user interference. The proposed channel estimation technique further optimizes SIC performance by providing accurate channel estimates, enabling more reliable interference cancellation. This synergy between RSMA, SIC, and the proposed channel estimation scheme significantly boosts the BER performance, especially in scenarios with high user density and severe channel impairments.

Figure 6. Figure illustrates the BER performance proposed RSMA based AF relay networks. In this simulation, it is assumed that interference is negligible. Simulation results compared for the weak user and strong user and validated with theoretical values.
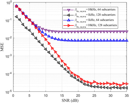
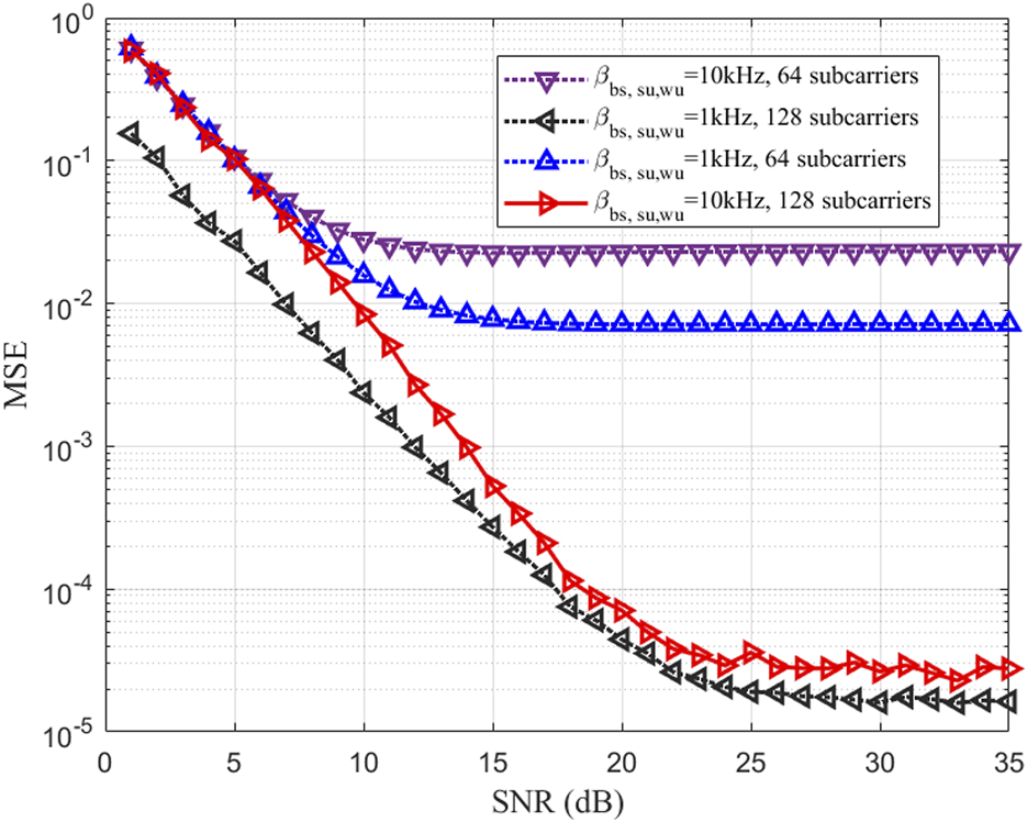
Figure 7 shows the MSE comparison between RSMA-OFDM with 64 sub-carries and 128 sub-carriers. The general phase noise bandwidth

Figure 7. Figure illustrates the MSE performance comparison between OFDM systems employing 64 and 128 subcarriers, respectively. The plot depicts the MSE as a function of Independent Variable, e.g.,SNR in dB, showcasing the impact of varying the number of subcarriers on the channel estimation accuracy. Specifically, the figure highlights the trade-off between spectral efficiency and estimation precision, demonstrating how increasing the number of subcarriers affects the MSE under the given channel conditions and relaying protocol. The results provide valuable insights into optimizing the OFDM system parameters for enhanced performance in the proposed RSMA-OFDM framework.
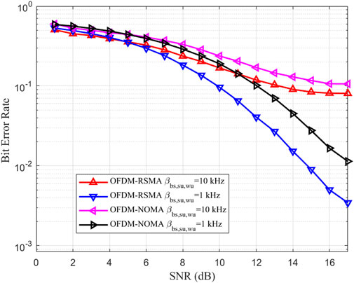
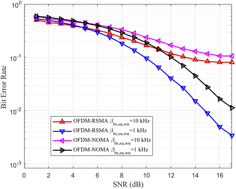
In Figure 8, BER performance of the OFDM-RSMA based wireless network is compared with OFDM-NOMA using 16-QAM modulation. In this simulation, phase noise bandwidth parameters such as

Figure 8. Figure illustrates the BER performance of the strong user in an RSMA-OFDM system specifically employing 16-QAM, compared against a traditional OFDM-NOMA scheme. The plot demonstrates the BER as a function of the SNR, highlighting the achievable data reliability for the strong user under both RSMA and NOMA frameworks. The analysis aims to showcase the potential advantages of RSMA in enhancing the strong user’s BER performance, particularly in scenarios involving full-duplex relays, by utilizing its flexibility in managing interference and allocating resources, as opposed to the power domain multiplexing approach of NOMA.
6 Conclusion
The channel estimation of the RSMA based full duplex AF relay network is analyzed in the presence of phase noise components. Using LS estimation, analytic expression for channel estimation of proposed RSMA based AF relay network is derived. Using convex optimization, phase noise components are estimated and sedumi, sdtp matlab tool used for convex function and after successful estimation of phase noise it can be compensated from the actual received signal. The simulation results demonstrate that significant improvements in BER and channel estimation after compensation of RF impairments. Further, BER performance of the proposed network is analyzed with different phase noise bandwidths. In conclusion, this research investigates efficient channel estimation techniques for RSMA-OFDM based full-duplex AF relay networks. This work contributes to the advancement of full-duplex relay networks, enabling higher data rates and improved system performance.
Data availability statement
The raw data supporting the conclusions of this article will be made available by the authors, without undue reservation.
Author contributions
UC: Methodology, Validation, Visualization, Writing – original draft, Writing – review and editing. SR: Supervision, Visualization, Writing – review and editing. DJ: Formal Analysis, Funding acquisition, Investigation, Project administration, Resources, Supervision, Validation, Visualization, Writing – review and editing.
Funding
The author(s) declare that financial support was received for the research and/or publication of this article. This work was supported, in part, by the European Commission via Marie Skłodowska-Curie Actions (MSCA) as part of the project REMARKABLE (No. 101086387), by the Scheme for Promotion of Academic and Research Collaboration (SPARC), Government of India, via grant no. SPARC/2024-2025/NXTG/P3524, by the Sri Lanka Institute of Information Technology through the grant PVC(R&I)/RG/2024/12, by the COFAC - Cooperativa de Formação e Animação Cultural, C.R.L. (University of Lusófona University), via the project PortuLight (COFAC/ILIND/COPELABS/2/2023), by the national funds through FCT - Fundação para a Ciência e a Tecnologia - as part of the projects URLLC-UAV (2023.08191.CEECIND), UNINOVA-CTS (UIDB/00066/2020) and COPELABS (no. UIDB/04111/2020).
Conflict of interest
The authors declare that the research was conducted in the absence of any commercial or financial relationships that could be construed as a potential conflict of interest.
Generative AI statement
The author(s) declare that no Generative AI was used in the creation of this manuscript.
Any alternative text (alt text) provided alongside figures in this article has been generated by Frontiers with the support of artificial intelligence and reasonable efforts have been made to ensure accuracy, including review by the authors wherever possible. If you identify any issues, please contact us.
Publisher’s note
All claims expressed in this article are solely those of the authors and do not necessarily represent those of their affiliated organizations, or those of the publisher, the editors and the reviewers. Any product that may be evaluated in this article, or claim that may be made by its manufacturer, is not guaranteed or endorsed by the publisher.
References
Abed, G. A. (2023). A new approach to improve transmitting and receiving timing in orthogonal frequency division multiplexing (OFDM) systems. Iraqi J. Comput. Sci. Math. 4 (2), 83–96. doi:10.52866/ijcsm.2023.02.02.007
Akhtar, M. W., Hassan, S. A., Saleem, S., and Jung, H. (2020). Stbc-aided cooperative noma with timing offsets, imperfect successive interference cancellation, and imperfect channel state information. IEEE Trans. Veh. Technol. 69 (10), 11 712–11 727. doi:10.1109/tvt.2020.3017249
Al Amin, A., and Shin, S. Y. (2021). Capacity analysis of cooperative NOMA-OAM-MIMO based full-duplex relaying for 6G. IEEE Wirel. Commun. Lett. 10 (7), 1395–1399. doi:10.1109/lwc.2021.3068654
Ashraf, N., Sheikh, S. A., Khan, S. A., Shayea, I., and Jalal, M. (2021). Simultaneous wireless information and power transfer with cooperative relaying for next-generation wireless networks: a review. IEEE Access 9, 71 482–71 504. doi:10.1109/access.2021.3078703
Bazzi, A., and Chafii, M. (2025). Low dynamic range for RIS-Aided bistatic integrated sensing and communication. IEEE J. Sel. Areas Commun. 43, 912–927. doi:10.1109/jsac.2025.3531533
Chaudhary, U., Ali, M. F., Kumar, A., Sharma, A., and Jayakody, D. N. K. (2025). Unleashing the power of wireless communication in healthcare by empowering patient care and connectivity: a comprehensive survey. IEEE Access 13, 117239–117299. doi:10.1109/access.2025.3578344
Chrysologou, A. P., Tegos, S. A., Diamantoulakis, P. D., Chatzidiamantis, N. D., Sofotasios, P. C., and Karagiannidis, G. K. (2024). On the coexistence of heterogeneous services in 6G networks: an imperfection-aware rsma framework. IEEE Trans. Commun. 72, 7152–7167. doi:10.1109/tcomm.2024.3403502
Essai Ali, M. H. (2021). Deep learning-based pilot-assisted channel state estimator for OFDM systems. IET Commun. 15 (2), 257–264. doi:10.1049/cmu2.12051
Flores, A. R., De Lamare, R. C., and Mishra, K. V. (2022). “Rate-splitting meets cell-free MIMO communications,” in 2022 IEEE international conference on communications workshops (ICC workshops) (IEEE), 657–662.
Gao, C., Yang, B., Zheng, D., Jiang, X., and Taleb, T. (2023). Cooperative jamming and relay selection for covert communications in wireless relay systems. IEEE Trans. Commun. 72, 1020–1032. doi:10.1109/tcomm.2023.3327272
Huai, Q., Yuan, W., Wu, Y., and Fan, P. (2024). Cross-domain transmission scheme for uplink OTFS-RSMA based on heterogeneous mobile user grouping. IEEE Commun. Lett. 28, 1181–1185. doi:10.1109/lcomm.2024.3374347
Hwang, D., Yang, J., Nam, S. S., Joung, J., and Song, H.-K. (2022). Cooperative non-orthogonal multiple access transmission through full-duplex and half-duplex relays. IEEE Wirel. Commun. Lett. 12 (2), 351–355. doi:10.1109/lwc.2022.3226751
Jafarkhani, H., Maleki, H., and Vaezi, M. (2024). Modulation and coding for NOMA and RSMA. Proc. IEEE 112, 1179–1213. doi:10.1109/jproc.2024.3472501
Khisa, S., Almekhlafi, M., Elhattab, M., and Assi, C. (2022). Full duplex cooperative rate splitting multiple access for a MISO broadcast channel with two users. IEEE Commun. Lett. 26 (8), 1913–1917. doi:10.1109/lcomm.2022.3173894
Kim, T., Min, K., and Park, S. (2021). Self-interference channel training for full-duplex massive MIMO systems. Sensors 21 (9), 3250. doi:10.3390/s21093250
Kumaran, V. S., Rajkumar, S., and Thiruvengadam, S. (2013). Performance analysis of orthogonal frequency division multiplexing based bidirectional relay network in the presence of phase noise. Am. J. Appl. Sci. 10 (11), 1335–1344. doi:10.3844/ajassp.2013.1335.1344
Kundu, N. K., and McKay, M. R. (2021). Channel estimation for reconfigurable intelligent surface aided miso communications: from lmmse to deep learning solutions. IEEE Open J. Commun. Soc. 2, 471–487. doi:10.1109/ojcoms.2021.3063171
Lin, W., Yan, Y., Li, L., Han, Z., and Matsumoto, T. (2024). Semantic-Forward relaying: a novel framework toward 6G cooperative communications. IEEE Commun. Lett. 28, 518–522. doi:10.1109/lcomm.2024.3352916
Liu, P., Bar-Ness, Y., and Zhu, J. (2006). “Effects of phase noise at both transmitter and receiver on the performance of ofdm systems,” in 2006 40th annual conference on information sciences and systems (IEEE), 312–316.
Mashhadi, M. B., and Gündüz, D. (2021). Pruning the pilots: deep learning-based pilot design and channel estimation for MIMO-OFDM systems. IEEE Trans. Wirel. Commun. 20 (10), 6315–6328. doi:10.1109/twc.2021.3073309
Mishra, A., Mao, Y., Thomas, C. K., Sanguinetti, L., and Clerckx, B. (2022). Mitigating intra-cell pilot contamination in massive MIMO: a rate splitting approach. IEEE Trans. Wirel. Commun. 22 (5), 3472–3487. doi:10.1109/twc.2022.3218897
Mohammadi, M., Mobini, Z., Galappaththige, D., and Tellambura, C. (2023). A comprehensive survey on full-duplex communication: current solutions, future trends, and open issues. IEEE Commun. Surv. and Tutorials 25, 2190–2244. doi:10.1109/comst.2023.3318198
Mustari, N., Karabulut, M. A., Shah, A. S., and Tureli, U. (2024). Cooperative thz communication for uavs in 6G and beyond. Green Energy Intelligent Transp. 3 (1), 100131. doi:10.1016/j.geits.2023.100131
Nguyen, B. C., Hoang, T. M., Tran, P. T., Nguyen, T. N., Phan, V.-D., Minh, B. V., et al. (2021). Cooperative communications for improving the performance of bidirectional full-duplex system with multiple reconfigurable intelligent surfaces. IEEE Access 9, 134 733–134 742. doi:10.1109/access.2021.3114713
Omar, M. S., and Ma, X. (2021). Pilot symbol aided channel estimation for OCDM transmissions. IEEE Commun. Lett. 26 (1), 163–166. doi:10.1109/lcomm.2021.3124627
Park, J., Lee, B., Choi, J., Lee, H., Lee, N., Park, S.-H., et al. (2023). Rate-splitting multiple access for 6G networks: ten promising scenarios and applications. IEEE Netw. 38, 128–136. doi:10.1109/mnet.2023.3321518
Qamar, F., Kazmi, S. H. A., Ariffin, K. A. Z., Tayyab, M., and Nguyen, Q. N. (2024). Multi-antenna arrays based massive-MIMO for B5G/6G: State-of-the-art, challenges and future research directions.
Rabiei, P., Namgoong, W., and Al-Dhahir, N. (2008). “Frequency domain joint channel and phase noise estimation in OFDM WLAN systems,” in 2008 42nd asilomar conference on signals, systems and computers (IEEE), 928–932.
Rajkumar, S., and Thiruvengadam, S. (2015). “Performance analysis of OFDM based full duplex cognitive af relay network in the presence of narrowband interference,” in 2015 IEEE international conference on signal processing, informatics, communication and energy systems (SPICES) (IEEE), 1–5.
Rajkumar, S., Senthilkumaran, V., and Thiruvengadam, S. (2015). Outage analysis of OFDM-based cognitive af relay network in the presence of narrowband interference. ETRI J. 37 (3), 460–470. doi:10.4218/etrij.15.0114.0300
Şahin, M. M., Dizdar, O., Clerckx, B., and Arslan, H. (2023). Multicarrier rate-splitting multiple access: superiority of OFDM-RSMA over OFDMA and OFDM-NOMA. IEEE Commun. Lett. 27, 3088–3092. doi:10.1109/lcomm.2023.3310937
Skouroumounis, C., and Krikidis, I. (2023). Fluid antenna-aided full duplex communications: a macroscopic point-of-view. IEEE J. Sel. Areas Commun. 41, 2879–2892. doi:10.1109/jsac.2023.3292959
Su, Y., Gao, H., and Zhang, S. (2023). Secure massive MIMO system with two-way relay cooperative transmission in 6G networks. EURASIP J. Wirel. Commun. Netw. 2023 (1), 73. doi:10.1186/s13638-023-02280-1
Tang, R., Zhou, X., and Wang, C. (2020). Kalman filter channel estimation in 2× 2 and 4 × 4 stbc MIMO-OFDM systems. IEEE Access 8, 189 089–189 105. doi:10.1109/access.2020.3027377
Zeydan, E., Arslan, S., and Turk, Y. (2024). 6G wireless communications for industrial automation: scenarios, requirements and challenges. J. Industrial Inf. Integration 42, 100732. doi:10.1016/j.jii.2024.100732
Keywords: wireless comm unication, RsmA, OFDM, full duplex transmision, channel estimation
Citation: Chaudhary U, Rajkumar S and Jayakody DNK (2025) Channel Estimation of full-duplex relay-assisted RSMA-OFDM based wireless networks. Front. Commun. Netw. 6:1567879. doi: 10.3389/frcmn.2025.1567879
Received: 28 January 2025; Accepted: 01 May 2025;
Published: 03 October 2025.
Edited by:
Rosdiadee Nordin, Sunway University, MalaysiaReviewed by:
Mehran Behjati, Sunway University, MalaysiaAhmad Bazzi, New York University Abu Dhabi, United Arab Emirates
Copyright © 2025 Chaudhary, Rajkumar and Jayakody. This is an open-access article distributed under the terms of the Creative Commons Attribution License (CC BY). The use, distribution or reproduction in other forums is permitted, provided the original author(s) and the copyright owner(s) are credited and that the original publication in this journal is cited, in accordance with accepted academic practice. No use, distribution or reproduction is permitted which does not comply with these terms.
*Correspondence: Urvashi Chaudhary, dXJ2YXNoaS5paXRkQGdtYWlsLmNvbQ==