Abstract
This paper introduces a novel statistical simulator designed to model propagation in two-way diffuse power (TWDP) fading channels. The simulator employs two zero-mean stochastic sinusoids to simulate specular components, while a sum of sinusoids is used to model the diffuse one. Using the developed simulator, the autocorrelation and cross-correlation functions of the quadrature components, as well as the autocorrelation of the complex and squared envelope, are derived for the first time in literature for channels experiencing TWDP fading. The statistical properties of the proposed simulator are thoroughly validated through extensive simulations, which closely align with the theoretical results.
1 Introduction
Mobile radio channel simulators are widely used as cost-effective alternatives to field trials, providing reproducible solutions for rapid performance evaluation by accurately replicating the statistical properties of real-world communication channels Xiao et al. (2006). Consequently, numerous small-scale fading simulators have been proposed to date for modeling various channel conditions, typically relying on filtering or sum-of-sinusoids (SoS) approaches, which are designed to capture both the first- and second-order statistics of signals following specific characteristics.
Among these, the earliest SoS simulators were designed for frequency non-selective Rayleigh channels Jakes and Cox (1994); Pop and Beaulieu (2001); Zheng and Xiao (2002); Xiao et al. (2006); Alimohammad et al. (2009); Wang et al. (2012). They are commonly used to model non-line-of-sight (NLOS) propagation conditions, where no strong specular components exist between the transmitter and the receiver. As a result, such signals consist solely of a diffuse component composed of many low-power scattered waves. Consequentially, corresponding small-scale fading simulators are created by representing the received signal as a superposition of a finite number of sinusoids, mostly with random amplitudes, frequencies, and/or phases. Thereby, to capture the statistical properties of signals received under the described conditions, Clark introduced a mathematical model assuming that the receiver receives scattered waves with equal amplitudes, but with random angles of arrival (AoA) and random phases, mutually independent and uniformly distributed over Clarke (1968). Clark’s model has been validated through numerous measurements Skima et al. (2014) and has become a reference model for modeling propagation in NLOS conditions. As such, it has been used as the foundation of many Rayleigh SoS simulators, which, based on different assumptions about the behavior of sinusoidal phases and AoAs, aim to reproduce statistical properties of the Clark’s model, simultaneously maximizing computational efficiency by minimizing the number of employed sinusoids Skima et al. (2014).
The simulators mentioned above are also employed to model low-power scattered waves within Rician simulators, which are designed to simulate channels where the received signal consists of one strong specular component (typically line-of-sight, LoS) alongside a diffuse component. As a result, many Rician SoS simulators have been proposed to date, each exhibiting more or less desired statistical properties and specific computational efficiencies Xiao et al. (2006); Alimohammad et al. (2009); Wang et al. (2012).
However, to date, little attention has been given to the development of small-scale fading simulators that account for more than one dominant specular component, such as those required for two-wave with diffuse power (TWDP) fading channels. In these channels, the received signal contains two strong specular components in addition to numerous low-power scattered waves, which can lead to unique propagation characteristics including a bimodal distributed envelope (Maric et al., 2021; Figure 4) and phase (Maric and Njemcevic, 2025; Figure 4) characteristics and, under the certain conditions, performance worse than those observed in Rayleigh channels (Maric et al., 2021; Figure 5), which cannot be modeled using the existing simulators.
These, propagation conditions have been empirically validated in a variety of emerging wireless communication scenarios. For instance, TWDP fading has been observed in mmWave 5G networks utilizing directional antennas or antenna arrays Rappaport et al. (2015), as well as in wireless sensor networks operating in cavity environments Frolik (2007). Furthermore, ray-tracing simulations have confirmed the suitability of the TWDP model for characterizing outdoor mmWave propagation in train-to-infrastructure Zöchmann et al. (2019a) and vehicle-to-vehicle Zöchmann et al. (2019b) communication scenarios, particularly at 60 GHz in urban environments. Indoor mmWave measurement campaigns Zöchmann et al. (2019) have also demonstrated that the TWDP model accurately captures indoor propagation behavior. Additionally, TWDP fading has been shown to provide the best fit for near-body mmWave communication channels, both in the front and back body regions Mavridis et al. (2015). Moreover, similar fading conditions have been reported in static sensor networks placed within cavity environments, including buses, aircrafts Frolik (2007), and even inside large transport helicopters Frolik (2008). Accordingly, it is desirable to create a flexible and accurate channel simulator that can be effectively used for performance evaluation and validation of analytical expressions, derived for various designs of digital communication systems operating over the channels with TWDP fading.
Consequently, in this paper, the SoS-based simulator for modeling propagation in TWDP channels is proposed, being primary focused on generating correlated signal samples of TWDP multipath fading process. In the proposed simulator, the specular components are modeled as zero-mean stochastic sinusoids with pre-determined angles of arrival and random initial phases, while the diffuse component is simulated using the NLOS model proposed in Xiao et al. (2006). The simulator is used to derive the autocorrelation and cross-correlation functions of the quadrature components, as well as the autocorrelation of the complex envelope and its square, for signals propagating in TWDP channels. The statistical properties of the proposed simulator are compared with those calculated for the reference model, demonstrating excellent agreement between them.
Accordingly, we developed a SoS simulator capable of generating realistic TWDP fading waveforms, enabling the accurate evaluation of second-order statistics such as the level crossing rate (LCR) and average fade duration (AFD), which can be utilized for the design and optimization of channel coding schemes, interleaving strategies, and diversity techniques in channels exhibiting TWDP fading.
2 The reference TWDP channel model
TWDP model assumes that the normalized envelope of the received signal consists of two specular and diffuse components, so the normalized TWDP signal can be expressed as Durgin et al. (2002):where and are magnitudes of the specular components which remain constant over the local stationary interval, and are assumed to be independent and identically distributed (i.i.d.) uniform random variables, is the zero-mean Gaussian-distributed diffuse component with an average power equals to and is the average power of the overall TWDP fading process.
In order to simulate the above defined TWDP fading process, let’s assume communication scenario in which the receiver moves with constant velocity vector (as illustrated in Figure 1) and in which the signal propagates from the transmitter to the receiver via two single-bounce specular reflections, as well as diffuse reflections from local scatterers in the vicinity of the receiver.
FIGURE 1

Channel model - illustration of specular reflections.
Due to the motion of the receiver, the instantaneous phase of each specular component’s phase, for , changes in time as:where the angle of arrival can be considered as time invariant only during the local stationarity interval, i.e., . Within this interval, the instantaneous phase of each specular component, for , can be approximated as (Wolfram Research, 2025; 01.01.06.0001.01):where is the signal’s wavelength, is maximum Doppler frequency, is the velocity of phase change as in (Golsmith, 2005; Equation 2.3), and is propagation path length. Thus, the normalized baseband fading process of the received signal can be described as:where the uniformity of the specular components’ phases can be achieved by adopting uniform distribution of , regardless the chosen . Under these conditions, the specular components can be modeled as zero-mean stochastic sinusoids with predetermined angles of arrival and random initial phases, which accurately capture their physical characteristics Xiao et al. (2006).
Considering the aforementioned and the fact that the specular and scattered components are all zero-mean with mutually independent initial phases, the autocorrelation of the TWDP complex envelope’s in-phase component, , can be obtained by ensemble averaging, as:where is the statistical expectation operator, is the time lag and is the autocorrelation function of the scattered waves’ in-phase component, whose value depends on a chosen NLOS model. The autocorrelation of the quadrature component , cross-correlations of the in-phase and quadrature components and , and the autocorrelation of the complex envelope , can be obtained in a similar manner, and here, the general expressions are not presented for brevity. Finally, the autocorrelation of the squared envelope, can be expressed as Equation 6;where is the autocorrelation of the scattered waves’ quadrature component, and are their cross-correlations, while is the autocorrelation of the scattered waves’ squared envelope, all dependent on underlying model chosen to simulate the behavior of the scattered waves.Within the isotropic scattering environment and under the narrow-band flat fading assumption, the diffuse component can be mathematically modeled using Clark’s model, as a superposition of sinusoids. As such, it can be expressed as Xiao et al. (2006):where is the number of scattered propagation paths, while and are the angle of arrival and the initial phase of -th path, respectively, assumed to be mutually independent and uniformly distributed over for all Clarke (1968).
So, in case when ideal Clark’s model is used to model diffuse component, when , the reference expression for autocorrelation of the TWDP complex envelope’s in-phase component can be obtained by inserting (Pätzold and Laue, 1998; Equation 2b) into Equation 5, as:where is the zero-order Bessel function of the first kind. Under the same assumptions, the reference expressions for autocorrelation of the quadrature component, the cross-correlations of the in-phase and quadrature components, as well as the autocorrelations of the complex envelope and its square, can be obtained in a similar manner, by appropriately normalizing results given by (Skima et al., 2014, Equations 4a–4f), as:
Note that the derived expressions represent the statistical correlation properties of non-realizable stochastic reference model for the TWDP channel (since they are derived for ). Nevertheless, these results are crucial, as they serve as the benchmark for evaluating the performance of any proposed TWDP simulator Pätzold and Hogstad (2006), which should aim to reproduce these properties as accurately as possible Patel et al. (2005).
3 The TWDP channel simulator
Based on the described reference model, the TWDP channel simulator is constructed following previously derived assumptions about the characteristics of the specular components. However, to simulate diffuse component using finite number of sinusoids, a detailed literature overview is performed, reveling the existence of many different models Jakes and Cox (1994); Pop and Beaulieu (2001); Zheng and Xiao (2002); Xiao et al. (2006); Alimohammad et al. (2009); Wang et al. (2012), etc. Among these, the model proposed by (Xiao et al., 2006, Equations 6a-6c, 7) (where in Equation 7 is defined as and and are statistically independent and uniformly distributed over ) is chosen due to its favorable simulation time, simplicity and pretty accurate correlation statistics Patel et al. (2005). So, based on the assumption that the initial phases of the specular components are random and independent from the initial phases of the scattered waves, chosen model is used to obtain autocorrelation and cross-correlation functions of the simulated TWDP signal, as:
where and are defined as Xiao et al. (2006):
Obviously, the autocorrelation and cross-correlation functions given by Equation 10a; Equation 10b; Equation 10c do not depend on the number of sinusoids , and they exactly match the desired second-order statistics of the reference TWDP model, given by Equation 8; Equation 9a; Equation 9b; Equation 9c. However, the autocorrelation function of the squared envelope, given by Equation 10d, differs from that calculated for the reference model. Despite this, it asymptotically approaches the desired autocorrelation Equation 9d as the number of sinusoids approaches infinity, and good approximation can be obtained even for relatively small number of sinusoids (e.g., ) for most combinations of , , and (see Section 4.1 for detailed explanation).
It is important to note that the proposed simulator exhibits several key characteristics. First and foremost, it is wide-sense stationary (WSS), as its mean value remains constant and its autocorrelation function depends solely on the time difference , i.e., Pätzold and Hogstad (2006). Furthermore, by analyzing the derived correlation functions (Equations 10a-d), it can be shown that the results obtained by using proposed simulator can be reduced to those presented in [Xiao et al. (2006), Equations 12a–12d], which were calculated using a Rician fading simulator, when (with and ).
In addition, the proposed simulation model can be directly applied to generate uncorrelated fading waveforms for scenarios involving frequency-selective TWDP fading channels, MIMO systems, and diversity combining techniques, since , obtained by combining Equation 1 and Equation 7:where and are mutually independent and uniformly distributed on for all , and , retains all the statistical properties of defined by Equation 1, and and and are uncorrelated for all .
4 Numerical results
Verification of the proposed TWDP fading simulator is performed by comparing simulation results for finite with those of the theoretical limits when approaches infinity, for many different combinations of specular components’ magnitudes , and diffuse component’s strength . Thereby, in this section, instead of using specific values of , and , common TWDP parameters and , defined as: and , for , are used to describe specific propagation conditions in TWDP channels, in order to clearly perceive the impact of different fading severities on TWDP correlation characteristics.
Accordingly, the simulations are conducted for many different combinations of TWDP fading parameters and , while : , and (, and ), and (, and ), and and (, and ) and different combinations of AoAs ( and ). Throughout the simulations performed, the number of sinusoids is chosen to be and all the ensemble averages for the simulation results are based on 500 random trials (as suggested in Xiao et al., 2006). Also, the normalized sampling period and maximum Doppler frequency are chosen to be (where is the sampling period) and Hz, respectively.
4.1 Evaluation of correlation properties
Although extensive simulations are performed to evaluate TWDP correlation statistics, due to the space limitations, only simulation results obtained for the real and imaginary part of the autocorrelation of the complex envelope, together with the autocorrelation function of the envelope square, are shown in Figures 2a–c.
FIGURE 2

Correlation properties of TWDP complex envelope process. (α1=π/4, α2=2π/3). (a) The real part of the autocorrelation function of TWDP complex envelope. (b) The imaginary part of the autocorrelation function of TWDP complex envelope. (c) The autocorrelation function of TWDP squared envelope.
The corresponding statistics of the TWDP reference model given by Equations 9c, 9d are also included in the figures for comparison purpose, showing perfect match between simulated and theoretically obtained results in all cases except for the autocorrelation of the squared envelope in channel undergoing Rayleigh fading, as expected. Namely, in case when the strength of the diffuse component is large within the overall signal strength (i.e., when is close to 0), the term in Equation 10d becomes significant, producing notable difference between theoretical and simulated squared envelope autocorrelations. However, it is important to stress that the observed difference is the consequence of the model chosen to simulate diffuse component and can be reduced by using the one with more favorable characteristics. However, the scope of this paper was not to find the most accurate nor the most computationally efficient simulator. So underlying Rayleigh simulator is chosen from Xiao et al. (2006) mostly due to its simplicity and the fact that it has published results related to correlation functions obtained for Rician channels, which provide a reference point for verification of the results obtained using our simulator in case when TWDP fading collapses to Rician or Rayleigh. Accordingly, obtained results given in Figure 2 for Rayleigh and Rician fading are compared with those presented in (Xiao et al., 2006; Figures 3–5), showing a perfect match between all curves obtained for the same set of parameters.
4.2 Evaluation of envelope PDF
Figure 3 shows the fading envelope PDF obtained using the proposed TWDP simulator with the specified set of simulation parameters, along with the results from the analytical expression for the TWDP envelope PDF given in Maric et al. (2021). Although better agreement between the simulated and theoretical results can be achieved by increasing , the figure shows that the results obtained using proposed simulator agree very well with the theoretical ones, even for a small number of sinusoids .
FIGURE 3

TWDP envelope PDF (, ).
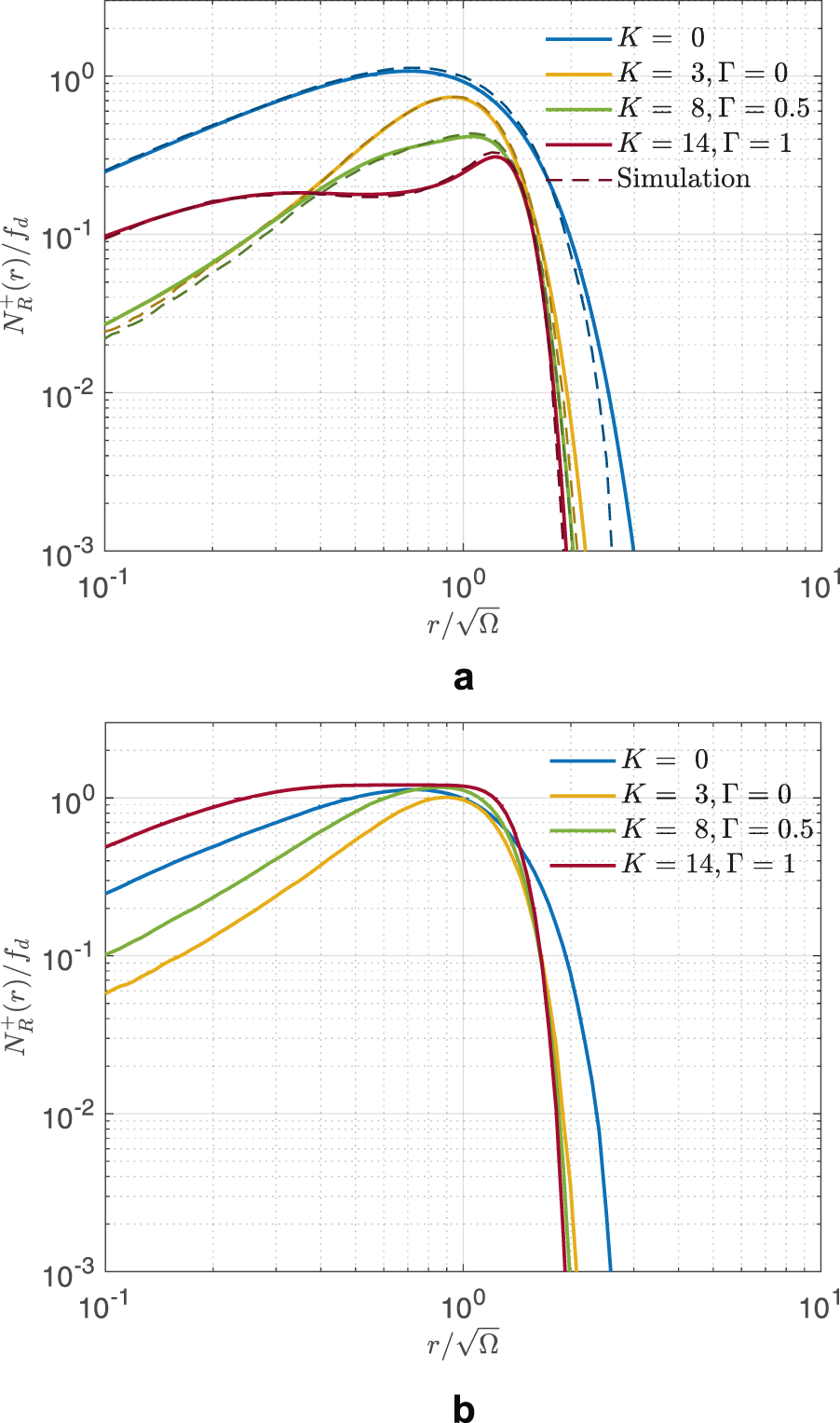
4.3 Evaluation of LCR
The simulation results of the normalized level crossing rate (LCR) for the proposed TWDP simulator are shown in Figures 4a,b. In Figure 4a, the results obtained using the proposed simulator are presented alongside those calculated using the analytical expression (Rao et al., 2014, Equation 36) derived for specific combination of AoAs in TWDP channels (i.e., when and ), showing excellent agreement in all considered cases. However, the expression (Rao et al., 2014, Equation 36) can only be used to obtain the LCR when both specular components arrive perpendicular to the direction of motion. For all other cases, no tools have been published to date for LCR evaluation. Therefore, the proposed simulator is the first tool that enables LCR evaluation for arbitrary TWDP parameters and AoAs.
FIGURE 4

TWDP envelope LCR for different channel setups. (a) TWDP LCR (α1=π/2, α2=-π/2). (b) Simulated TWDP LCR (α1=π/4, α2=2π/3).
For demonstration purpose, LCRs obtained using proposed simulator are plotted in Figure 4b, for different TWDP parameters and arbitrary AoAs, showing substantially different behaviors compared to the perpendicular cases presented in Figure 4a.
5 Conclusion
In this paper, the SoS-based TWDP channel simulator is proposed, enabling us to simulate Rayleigh, better-than-Rayleigh and worse-than-Rayleigh fading conditions. The simulator is constructed by using two zero-mean stochastic sinusoid with pre-selected Doppler frequencies and random initial phases, while the diffuse component is modeled using one of the existing Rayleigh channel simulators. For the described channel, analytical expressions for the autocorrelation and cross-correlation functions of quadrature components, as well as the autocorrelation of the complex envelope and its square, are first derived for the reference TWDP model. These expressions are then compared with those obtained using the proposed simulator for various combinations of channel and environmental parameters, demonstrating excellent agreement between them. Additionally, the proposed simulator is used to obtain diagrams of the envelope PDF and the LCR, which closely match those calculated using the existing analytical expressions. Since Rayleigh and Rician models are spatial cases of TWDP model itself, the results obtained using the proposed simulator (for specific sets of TWDP parameters) are finally compared to those from the literature obtained using the existing Rician/Rayleigh simulators, also showing the perfect match between them.
Accordingly, for the first time in the literature, a simulator is provided for accurate evaluation of first- and second-order statistics of signals propagating in channels with TWDP fading. As such, it can serve as a valuable tool for optimizing the design of interleaver/deinterleaver and channel coding/decoding units in these channels, thereby contributing to the overall enhancement of wireless communication system performance in such environments.
Statements
Data availability statement
The original contributions presented in the study are included in the article/supplementary material, further inquiries can be directed to the corresponding author.
Author contributions
AM: Conceptualization, Formal Analysis, Software, Writing – original draft, Writing – review and editing. PN: Formal analysis, Software, Conceptualization, Writing – original draft, Writing – review and editing.
Funding
The author(s) declare that financial support was received for the research and/or publication of this article. This work was founded by Ministry of Science, Higher Education, and Youth of Canton Sarajevo, Bosnia and Herzegovina, under the grant 27-02-35-33087-23/24 (ASPK5GMM).
Conflict of interest
The authors declare that the research was conducted in the absence of any commercial or financial relationships that could be construed as a potential conflict of interest.
Generative AI statement
The author(s) declare that no Generative AI was used in the creation of this manuscript.
Publisher’s note
All claims expressed in this article are solely those of the authors and do not necessarily represent those of their affiliated organizations, or those of the publisher, the editors and the reviewers. Any product that may be evaluated in this article, or claim that may be made by its manufacturer, is not guaranteed or endorsed by the publisher.
References
1
Alimohammad A. Fard S. Cockburn B. Schlegel C. (2009). Compact Rayleigh and Rician fading simulator based on random walk processes. Commun. IET3, 1333–1342. 10.1049/iet-com.2008.0297
2
Clarke R. H. (1968). A statistical theory of mobile-radio reception. Bell Syst. Tech. J.47, 957–1000. 10.1002/j.1538-7305.1968.tb00069.x
3
Wolfram Research (2025). Wolfram function site. Available online at: https://functions.wolfram.com.
4
Durgin G. Rappaport T. de Wolf D. (2002). New analytical models and probability density functions for fading in wireless communications. IEEE Trans. Commun.50, 1005–1015. 10.1109/TCOMM.2002.1010620
5
Frolik J. (2007). A case for considering hyper-Rayleigh fading channels. IEEE Trans. Wirel. Commun.6, 1235–1239. 10.1109/twc.2007.348319
6
Frolik J. (2008). On appropriate models for characterizing hyper-Rayleigh fading. IEEE Trans. Wirel. Commun.7, 5202–5207. 10.1109/t-wc.2008.070968
7
Golsmith A. (2005). Wireless communications. USA: Cambridge University Press.
8
Jakes W. C. Cox D. C. (1994). Microwave mobile communications. Wiley-IEEE Press.
9
Maric A. Kaljic E. Njemcevic P. (2021). An alternative statistical characterization of TWDP fading model. Sensors21, 7513. 10.3390/s21227513
10
Maric A. Njemcevic P. (2025). On the conditional phase distribution of the TWDP multipath fading process. arXiv. 10.48550/arXiv.2502.03385
11
Mavridis T. Petrillo L. Sarrazin J. Benlarbi-Delaï A. De Doncker P. (2015). Near-body shadowing analysis at 60 GHz. IEEE Trans. Antennas Propag.63, 4505–4511. 10.1109/tap.2015.2456984
12
Patel C. Stuber G. Pratt T. (2005). Comparative analysis of statistical models for the simulation of Rayleigh faded cellular channels. IEEE Trans. Commun.53, 1017–1026. 10.1109/TCOMM.2005.849735
13
Pätzold M. Hogstad B. (2006). Classes of sum-of-sinusoids Rayleigh fading channel simulators and their stationary and ergodic properties-Part I. WSEAS Trans. Math.5, 222–230.
14
Pätzold M. Laue F. (1998). Statistical properties of Jakes’ fading channel simulator. VTC ’98. 48th IEEE Vehicular Technology Conference 2, 712–718. 10.1109/VETEC.1998.683675
15
Pop M. Beaulieu N. (2001). Limitations of sum-of-sinusoids fading channel simulators. IEEE Trans. Commun.49, 699–708. 10.1109/26.917776
16
Rao M. Lopez-Martinez F. J. Goldsmith A. (2014). “Statistics and system performance metrics for the two wave with diffuse power fading model,” in 2014 48th annual conference on information sciences and systems (CISS), 1–6. 10.1109/CISS.2014.6814106
17
Rappaport T. Heath R. Daniels R. Murdock J. (2015). Millimeter wave wireless communications. Upper Saddle River, NJ, USA: Prentice Hall.
18
Skima M. A. Ghariani H. Lahiani M. (2014). A multi-criteria comparative analysis of different Rayleigh fading channel simulators. AEU - Int. J. Electron. Commun.68, 550–560. 10.1016/j.aeue.2014.01.001
19
Wang J. Ma X. Teng J. Cui Y. (2012). Efficient and accurate simulator for Rayleigh and Rician fading, Transactions of Tianjin University, 18, 243–247. 10.1007/s12209-012-1888-1
20
Xiao C. Zheng Y. R. Beaulieu N. C. (2006). Novel sum-of-sinusoids simulation models for Rayleigh and Rician fading channels. IEEE Trans. Wirel. Commun.5, 3667–3679. 10.1109/TWC.2006.256990
21
Zheng Y. Xiao C. (2002). Improved models for the generation of multiple uncorrelated Rayleigh fading waveforms. IEEE Commun. Lett.6, 256–258. 10.1109/LCOMM.2002.1010873
22
Zöchmann E. Blumenstein J. Marsalek R. Rupp M. Guan K. (2019a). “Parsimonious channel models for millimeter wave railway communications,” in 2019 IEEE Wireless Communications and Networking Conference (WCNC), 1–6. 10.1109/WCNC.2019.8885923
23
Zöchmann E. Caban S. Mecklenbräuker C. F. Pratschner S. Lerch M. Schwarz S. et al (2019). Better than Rician: modelling millimetre wave channels as two-wave with diffuse power. EURASIP J. Wirel. Commun. Netw., 2019. 10.1186/s13638-018-1336-6
24
Zöchmann E. Hofer M. Lerch M. Pratschner S. Bernadó L. Blumenstein J. et al (2019b). Position-specific statistics of 60 GHz vehicular channels during overtaking. IEEE Access7, 14216–14232. 10.1109/access.2019.2893136
Summary
Keywords
TWDP fading, sum-of-sinusoids (SOS), channel simulation, level crossing rate (LCR), wireless channel
Citation
Maric A and Njemcevic P (2025) On the simulation and correlation properties of TWDP fading process. Front. Commun. Netw. 6:1587497. doi: 10.3389/frcmn.2025.1587497
Received
04 March 2025
Accepted
30 April 2025
Published
02 July 2025
Volume
6 - 2025
Edited by
Jules M. Moualeu, University of the Witwatersrand, South Africa
Reviewed by
Seong Ki Yoo, Coventry University, United Kingdom
Ahmad Bazzi, New York University Abu Dhabi, United Arab Emirates
Updates
Copyright
© 2025 Maric and Njemcevic.
This is an open-access article distributed under the terms of the Creative Commons Attribution License (CC BY). The use, distribution or reproduction in other forums is permitted, provided the original author(s) and the copyright owner(s) are credited and that the original publication in this journal is cited, in accordance with accepted academic practice. No use, distribution or reproduction is permitted which does not comply with these terms.
*Correspondence: Almir Maric, almir.maric@etf.unsa.ba
Disclaimer
All claims expressed in this article are solely those of the authors and do not necessarily represent those of their affiliated organizations, or those of the publisher, the editors and the reviewers. Any product that may be evaluated in this article or claim that may be made by its manufacturer is not guaranteed or endorsed by the publisher.