Abstract
Introduction:
Mobility significantly influences the evaluation of wireless communication systems, particularly in real-time soldier health monitoring across isolated and dynamic environments where reliable communication is vital.
Methods:
This study investigates the performance of Long Range Wide Area Network (LoRaWAN) under varying mobility conditions, focusing on the simultaneous movement of soldier-mounted nodes and Unmanned Aerial Vehicle (UAV)—mounted gateways. Using a simulation-based approach, four mobility models—Static, Random, Linear, and Gauss-Markov—are evaluated in terms of signal strength, energy consumption, and data rate. The study aims to identify optimal configurations for LoRaWAN communication in military settings by assessing the impact of mobility, transmission intervals, UAV altitude, and speed.
Results:
Results demonstrate that the Linear mobility model ensures superior connectivity and network stability for UAV-mounted gateways, achieving a Data Extraction Rate (DER) of up to 99% with consistently reliable signal quality. Additionally, a UAV altitude of 20 meters (m), speed of 25 meters per second (mps), and a transmission interval of 600 seconds (s) yield an effective balance between energy efficiency and communication accuracy.
Discussion:
This work highlights the importance of optimizing LoRaWAN performance under simultaneous node and gateway mobility, a factor often overlooked in prior studies. The findings contribute to the development of robust, mobility-aware communication strategies for real-time military health monitoring using Internet of Medical Things (IoMT) devices. Future work may explore more complex mobility scenarios, environmental influences, and adaptive transmission schemes to further enhance system responsiveness in emergency medical conditions.
1 Introduction
Mobility plays a vital role in modern wireless communication systems, especially where real-time data transfer is required in dynamic and unpredictable environments. In the context of Internet of Medical Things (IoMT), Long Range Wide Area Network (LoRaWAN) has become a leading communication technology, offering a robust and scalable solution for remote health monitoring in distributed environments. It surpasses traditional networks like Wi-Fi and cellular by offering extended communication ranges and significantly lower power consumption. Its resilience against interference ensures dependable connectivity, making it ideal for wearable devices that continuously monitor vital signs such as heart rate, oxygen saturation, temperature, and blood pressure, particularly in widely dispersed or constrained environments Veerasamy et al. (2023).
Mobility models describe how nodes move and interact within a network. Neglecting these models can cause packet loss, increased latency, and communication disruptions, which degrade network performance and hinder practical deployment. Several studies have explored how mobility affects connectivity and signal quality in LoRaWAN networks, as seen in Sobhi et al. (2023) and Nouar et al. (2024). Specifically, some research has focused on the mobility of nodes with stationary gateways (Al mojamed, 2021; Sobhi et al. 2023), while other works have investigated the effects of moving gateways serving static nodes (Xiong et al., 2023; Saraereh et al., 2020).
Despite increasing interest in IoMT-based solutions, the comprehensive impact of mobility on network performance remains insufficiently explored, particularly in scenarios involving simultaneous movement of both sensor nodes and gateways. This gap is especially critical in high-risk military operations, where reliable communication is vital for mission success, and continuous soldier health monitoring is essential for real-time vital sign surveillance and prompt medical intervention. Moreover, conducting large-scale field experiments in military contexts poses significant challenges, including restricted access, high operational costs, and unpredictable environmental conditions, making practical trials difficult to implement. Consequently, simulation-based approaches have emerged as effective and cost-efficient alternatives for evaluating diverse mobility models and network scenarios with repeatability and control.
This study addresses these challenges by integrating LoRaWAN-based health monitoring systems with gateways mounted on Unmanned Aerial Vehicles (UAVs) to support soldiers operating in remote, dynamic, and potentially hazardous environments. It methodically investigates how mobility influences communication performance, accuracy of health data transmission, and the overall effectiveness of emergency response mechanisms within military contexts. Utilizing the advanced graphical capabilities and proven reliability of the Objective Modular Network Testbed in C++ (OMNeT++), this study conducts comprehensive simulations to evaluate network performance across diverse mobility scenarios, thereby capitalizing on the established effectiveness of simulation frameworks in modeling IoT and LoRaWAN environments.
The primary objectives of this study are as follows:
To investigate the impact of mobility on the performance of LoRaWAN-based health monitoring systems for soldiers.
To assess the effectiveness of UAV-mounted gateways in enhancing real-time data transfer and emergency response in dynamic military environments.
To explore the interaction between soldier-mounted sensors and UAV-mounted gateways and its effect on network performance.
The remainder of this paper is structured as follows: Section 2 presents a detailed analysis of the relevant literature, focusing on previous studies involving LoRaWAN in mobility models and healthcare, and identifying existing research gaps. Section 3 outlines the research methodology, including the proposed system architecture, simulation framework, and parameter configurations. Section 4 provides an in-depth analysis of the results, examining the effects of node and gateway mobility on LoRaWAN performance. Finally, Section 5 summarizes the key findings and offers recommendations for future research directions.
2 Related work
The related work area concentrates on previous research on LoRaWAN technology, its applications in medical facilities, and the challenges posed by mobility in dynamic situations to provide a solid foundation for this examination. LoRaWAN enables several systems to gather critical data from IoMT devices and transmit it in real-time, over long distances, while using minimal energy. For instance, the authors of Abubeker and Baskar (2023) used a LoRaWAN system to enhance the monitoring and management of patients with severe pneumonia in the intensive care unit (ICU). The authors of Rajesh et al. (2024) described the comprehensive design and deployment of a LoRa-based remote health monitoring system, to improve patient care and streamline healthcare operations. The study by of Rajeswari et al. (2025) aimed to improve healthcare monitoring for the elderly using LoRaWAN technology. Additionally, the study by Iman et al. (2024) proposed a healthcare system that effectively monitors patients in remote places by fusing smart textiles with LoRa wireless technology.
By providing long-range, low-power connections that guarantee consistent and dependable data transfer under a range of operational scenarios, LoRaWAN technology gives access to real-time health monitoring of soldiers. The inventors of Jain et al. (2020) introduced a new wearable device that tracks the vital signs and positions of the soldiers in real-time using a LoRa communication module. This technology increases the operational awareness of command units by providing them with continuous health data. Likewise, the work in Bandopadhaya et al. (2020) established a comprehensive health monitoring system that is used in hostile settings. The system seeks to provide ongoing monitoring of critical health data to facilitate timely medical action with the least latency.
Additionally, by developing a system for real-time health surveillance and soldiers’ position tracking, the authors in Veerasamy et al. (2023) employed LoRaWAN technology to improve combat medical care. Vital health indicators are continuously monitored by the system to facilitate timely medical care in an emergency. By creating a strong communication system, the research by Devi et al. (2023) aimed to improve soldiers’ effectiveness and safety in battle. They overcome the limitations of traditional communication methods, which usually have problems with power consumption and range. The authors of Mane and Patil (2024) presented a system that uses a modern framework using LoRaWAN to enhance military health monitoring and battlefield awareness by alerting medical professionals about vital signs.
In Benkahla et al. (2019), the authors offered a new technique called Enhanced Adaptive Data Rate (E-ADR) to improve adaption and overcome the limitations of the conventional Adaptive Data Rate (ADR) in LoRaWAN. Even though the suggested plan successfully handles end-device mobility, it ignores the possible influence of mobile gateways on network performance. Due to this neglect, the relationships between end devices and moving gateways, which have a substantial impact on communication dependability, signal quality, and the efficiency of the entire network, are not thoroughly investigated.
In particular, several studies have examined mobility, exploring how LoRa nodes movement impacts the performance in terms of critical metrics such as latency, energy efficiency, and packing ratio. The study of Al mojamed (2021) investigated how mobility affects the performance of LoRaWAN. By offering a comprehensive analysis of how mobility affects LoRaWAN network performance, the article improves the area of IoT. In general, the study is accurate and clear, but does not consider movement about the gateways. Furthermore, the study of Sobhi et al. (2023) suggested a solution for a mobile gateway structure installed in a car that is intended to collect data effectively in isolated locations with little or no connectivity access. Although the mobility of gateways is examined in this study, more research is required to determine the best practices to control gateway mobility in diverse scenarios.
Likewise, the authors in Nouar et al. (2024) examined the effects of various mobility models on the efficiency of LoRaWAN networks, which are essential for IoT applications. Despite their widespread use, these models might not account for every movement pattern that might arise in practical situations. Important factors including bandwidth, packet size, transmission intervals, and spreading factors affect how effective LoRaWAN-based monitoring systems are. In Lopes et al. (2025), the authors investigated how network performance was affected by lowering packet transmission intervals and increasing node density. The results showed that more nodes and shorter intervals resulted in more packet collisions, which in turn reduced data extraction rates and network efficiency. Additionally, studies by Lavric and Popa (2018) demonstrated that spreading factor and bandwidth tuning have a significant impact on network capacity. The fact that more nodes can operate effectively without lowering data flow when these parameters are set appropriately demonstrates the importance of adaptive parameter selection.
The complications brought about by the changing terrain of military operations are mostly ignored in a lot of current research, which concentrates on static or limited mobility models. Reliable real-time health monitoring is crucial for prompt medical intervention and general military readiness, making this mistake especially serious. The proposed system evaluates how these dynamic interactions impact network performance, dependability, and data accuracy in real-time health monitoring scenarios by implementing mobility-aware design ideas into practice. This method is unusual and important because it only considers the simultaneous mobility of nodes and gateways, which has not been fully explored in previous literature assessments. This integration shows that we understand the impact of mobility on network efficacy and significantly improves the chances of timely medical treatment in challenging situations.
To clearly demonstrate the distinctions and contributions of the proposed research in comparison to existing studies, Table 1 presents a comparative overview of key aspects, including the focus of evaluation, application area, system architecture, and overall contribution. This comparison highlights the comprehensive mobility analysis and the targeted focus on soldier health monitoring within UAV-assisted dynamic environments, which distinguishes this study from prior work.
TABLE 1
| Aspect | Existing studies | Proposed research |
|---|---|---|
| Focus of Evaluation | General network performance, energy efficiency, long-range connectivity (Benkahla et al., 2019; Sobhi et al., 2023) | Soldier health monitoring, impact of mobility, UAV specifications |
| Application Area | Medical IoT, remote patient monitoring, elderly healthcare Abubeker and Baskar (2023); Rajeswari et al. (2025) | Military soldier health monitoring with UAV mobility |
| System Architecture | Emphasis on static or sparse environments with limited mobility considerations (Sobhi et al., 2023) | Mobile, UAV-assisted environment with dynamic mobility models |
| Contribution | Focus on energy efficiency and long-range connectivity in static or semi-dynamic environments (Benkahla et al., 2019) | Comprehensive comparison of mobility models in soldier health scenarios considering simultaneous node and gateway mobility |
Comparison between existing studies and proposed research.
3 Methodology
The research develops a LoRaWAN framework to assess system performance for soldier health monitoring, with the main emphasis on the effect of nodes and gateway mobility on network stability and reliability. Because assessment in actual military settings might be difficult, a simulation-based approach was selected to provide adaptability, variability, and accuracy.
3.1 Proposed system
With an emphasis on situations suitable for soldiers in combat environments, this research assesses LoRaWAN for real-time health monitoring under mobility conditions. LoRaWAN uses its low-power, long-range characteristics to enable communication between soldiers and the Internet, as illustrated in Figure 1.
FIGURE 1

Framework for LoRaWAN communication of soldier health monitoring.
Wearable IoMT devices monitor critical health metrics, including heart rate, body temperature, oxygen saturation, and hydration levels. These devices attached to soldiers collect vital health data that are transmitted to nearby LoRaWAN gateways. These gateways operate as a link, sending data over the Internet to network servers. For real-time monitoring, emergency response, or even decision-making, the servers send health indicators to command centers or medical specialists. This study intends to consider military mobility and the integration of mobile gateways mounted on UAVs to enhance the functioning, especially in remote areas. The use of UAVs adds a feature to the proposed system by increasing coverage, enhancing data relay in harsh environments, and guaranteeing ongoing communication in combat conditions where conventional fixed infrastructure might not be adequate.
The backhaul connection between the mobile gateways and the central network server is essential for reliable end-to-end communication. Mobile gateways commonly use wireless backhaul technologies such as LTE/5G cellular networks or satellite links, particularly in tactical or remote environments that lack fixed infrastructure. Mobility introduces challenges such as fluctuating signal quality, handover delays, and potential temporary disconnections due to environmental obstacles or network coverage variability. These effects can degrade throughput and increase latency, affecting the responsiveness of the system. To mitigate such issues, buffering strategies, adaptive data compression, and multi-path backhaul configurations (e.g., combined LTE and satellite links) are effective methods to enhance robustness. Realistic modeling of these backhaul characteristics is critical for accurate system evaluation, especially in defense and emergency applications where communication continuity is paramount (Sawad et al., 2023).
This communication architecture enables continuous health monitoring and prompt medical emergency response, ensuring efficient and reliable data transmission even in challenging circumstances. Soldiers employ portable IoMT devices as LoRa nodes to continuously gather health data and UAVs as dynamic LoRaWAN gateways, ensuring continuous connectivity in a variety of challenging and demanding circumstances (Figure 2). Although this figure depicts multiple UAVs that function as LoRaWAN gateways, it is important to note that the simulation carried out in this study is based on a single UAV gateway scenario. The illustration is intended to conceptually demonstrate the scalability and extensibility of the proposed architecture, highlighting its potential applicability in multi-gateway deployments for practical, large-scale implementations.
FIGURE 2

Mobility of soldiers and UAVs equipped with LoRaWAN gateways.
3.2 Mobility model
In this study, the UAV-mounted LoRaWAN gateway follows a predefined mobility pattern to reflect realistic operational behavior in military scenarios. In addition to the Static model, the performance of LoRaWAN communication networks is affected by three well-known mobility models: Gauss-Markov, Random Waypoint, and Linear. The Static mobility model represents scenarios where LoRaWAN gateways remain stationary, such as fixed base stations or command centers. This model serves as a baseline to assess network performance without the influence of mobility. In military contexts, static gateways are pertinent in established bases or checkpoints where infrastructure remains constant (Augustin et al., 2016).
The Linear mobility model simulates UAV gateways moving along predetermined, straight paths, reflecting missions like border patrols or reconnaissance. Such predictable trajectories are common in military operations, where UAVs follow specific routes to ensure systematic coverage and communication relay (Mozaffari et al., 2017). The Random Waypoint model captures unpredictable UAV movements, suitable for dynamic military scenarios like search and rescue or surveillance in unfamiliar terrains. This model reflects the necessity for UAVs to adapt paths spontaneously due to unforeseen obstacles or mission changes. The Gauss–Markov model introduces smooth, temporally correlated movements, ideal for simulating UAVs that require a balance between predictability and adaptability. This model is pertinent for missions where UAVs must adjust their paths gradually in response to environmental factors or mission updates. The Random Waypoint and Gauss–Markov mobility models have ability to represent irregular, adaptive, and context-driven movement patterns align closely with the UAV navigation in high-risk environments (Naser and Wheeb, 2022).
The gateway is assumed to stay stationary in the Static mobility model. Despite its frequent use for simplicity, this model cannot adequately represent the dynamic nature of UAVs and soldiers’ movements. A study by Taleb et al. (2023) offers light on the shortcomings of static networks, especially concerning network coverage when nodes are dispersed across large areas. In a Linear mobility model, devices move along a predetermined route, primarily a straight line. This model mimics situations for a UAV equipped with a LoRaWAN gateway travels along preset routes to guarantee constant surveillance of the mission area during soldier health monitoring. The research by Temene et al. (2022) shows how Linear mobility improves signal quality for wireless sensor networks.
Random Waypoint model mimics the behavior of soldiers moving wildly by simulating random node mobility behaviors. The application of LoRaWAN in mobile IoT scenarios, including bicycle rentals, fleet surveillance, and animal monitoring, is examined in a paper by Al mojamed (2021), emphasizing the potential for identifying and tracking movable objects randomly. Accordingly, this model is used to simulate the movement of soldiers which could not be determined and is assumed to be random. Gauss–Markov mobility model defines node movement by updating the speed and direction at each time step based on a weighted combination of the previous speed and direction, along with a Gaussian random variable to introduce controlled randomness and temporal correlation. It combines randomness and predictability settings to be suitable for systems where devices exhibit consistent movement with some degree of random fluctuation (Gorawski and Grochla, 2014). It is possible to control the level of unpredictability in the model by setting to a value between 0 and 1. Increasing the value of delivers output closer to the Linearity model (Nouar et al., 2024).
3.3 Network configuration
Many crucial factors determine how well LoRaWAN monitors health in real time. To achieve optimal communication performance, these parameters are adjusted to ensure the reliability of health data transfer. The following LoRaWAN parameters are necessary for the network configuration (Luo et al., 2021):
3.3.1 Spreading factor (SF)
Range and data rate are balanced by adjusting the Spreading Factor (SF). SF determines the rate at which data is conveyed. It displays the number of chips required for each symbol during the modulation process. Larger SF values are selected for long-range communication under challenging circumstances, while lower SF values are used for higher data throughput in controlled areas. A higher SF enhances communication range in health monitoring systems, which is crucial for guaranteeing that data from soldiers at different distances can be properly transferred to UAVs. To optimize for coverage while preserving sufficient data throughput, SF must be adjusted because it also slows down the data rate.
3.3.2 Coding rate (CR)
Coding Rate (CR) defines the error correction capability in a transmission. It is the ratio of error correction bits to the total number of bits transmitted. The degree of error correction required determines which CR is used. A greater CR is employed in potentially interference-prone environments to ensure the reliability of health data transfer, even in noisy environments to guarantee the dependability of health data transfer in potentially loud areas, such as conflict zones. In healthcare applications, where data integrity might mean the difference between life and death, CR is critical.
3.3.3 Bandwidth (BW)
Bandwidth (BW) refers to the width of the frequency band used for communication, which directly influences both the data rate and transmission range. A wider bandwidth enables higher data rates but often reduces communication range. In LoRaWAN, commonly used bandwidths include 125 kHz, 250 kHz, and 500 kHz. A 125 kHz bandwidth offers an optimal balance between data rate and range, making it well-suited for wide-area coverage. The 250 kHz option provides higher data rates with a moderate range, ideal for scenarios requiring faster communication with less coverage. In contrast, 500 kHz supports the highest data rates but significantly reduces receiver sensitivity, resulting in a shorter transmission range. This trade-off is not solely about energy consumption; rather, it involves a complex balance between throughput, range, and sensitivity. For real-time health monitoring in mission-critical defense environments, bandwidth must be carefully selected to handle multiple concurrent transmissions from IoMT devices without causing congestion or data loss.
3.3.4 Transmission power (TP)
Transmission power (TP) is the electrical energy required by the device to transmit data. Increasing TP enhances signal strength, communication range, and the ability to get beyond interference and obstacles in military environments where dependable long-range communication is essential. Nevertheless, this advantage comes at a far higher energy cost. Battery-operated devices that are located in isolated or difficult-to-reach locations may not be able to be replaced or recharged on regular intervals. Therefore, high TP is useful for ensuring connectivity in challenging terrain, but it must be carefully balanced against conserving power and functional lifespan.
Accordingly, significant variables in the network setup of IoMT-based health monitoring systems need to be optimized. Effective real-time communication in a variety of operating settings can be ensured by managing dependability, data rate, range, and energy use. This optimization becomes even more important during times of conflict, when communication must be maintained over vast, often isolated terrains under dynamic and unexpected conditions. The accuracy and speed of health data delivery are directly impacted by the deliberate alteration of transmission parameters, node placement, and mobility patterns; ultimately, these factors enhance field crew health and survival and enable mission-critical decisions.
3.4 Simulation setup
This study uses Framework for LoRa (FloRa), which is developed to simulate LoRaWAN in OMNeT++ Varga (2001), to accurately represent the operations of the LoRaWAN protocol layers and channels. OMNeT++ is chosen for this study due to its advanced graphical simulation capabilities and other noteworthy advantages over rival simulators Khairullah et al. (2025). LoRaSim is appropriate for first evaluations because it has an easy-to-use interface. However, it is less fit for large-scale simulations due to its restricted scalability and flexibility. Moreover, PhySimulator focuses on the physical layer and provides detailed assessments of signal strength and quality; nevertheless, it is unable to recreate network protocols and higher communication levels (Almuhaya et al., 2021). Network Simulator 3 (NS-3) is a widely used discrete-event network simulator, known for its robust support for a variety of networking protocols. Its scalability and flexibility make it a preferred choice for simulating large-scale networks, as demonstrated in several studies such as Wheeb et al. (2023). Nevertheless, it can be more challenging to configure and provides fewer sophisticated graphical capabilities than OMNeT++ (da Silva et al., 2021).
As mentioned in Bouras et al. (2020), OMNeT++ offers an adaptable, graphical, and modular framework that makes it possible to simulate complex LoRaWAN networks with more freedom. It is perfect for simulating dynamic, large-scale scenarios due to its software interface, scalability, and high-level network topology modeling services. The FloRa module and OMNeT++ are utilized because of their strong LoRaWAN network modeling capabilities, which mimic real-world communication patterns. They are ideal for assessing system performance due to their dynamic LoRa nodes and gateways. The FloRa module is suitable for evaluating communication reliability in defensive applications since it allows precise LoRaWAN simulations with adjustable and flexible settings (Slabicki et al., 2018).
To assess the performance of LoRaWAN in monitoring soldier health, a simulated battlefield environment is proposed measuring 200 by 1,000 m. This rectangular area represents a realistic operational field where communication and mobility challenges can be effectively analyzed. As shown in Figure 3, a UAV-mounted LoRaWAN gateway is centrally deployed to collect health data from randomly distributed IoMT sensor nodes attached to soldiers. Because many real-world operating situations, especially in defense and border surveillance contexts, follow rectangular and elongated spatial layouts, the proposed dimensions are chosen for this investigation. Geopolitical frontiers, military patrol routes, and national borders—all of which are frequently delineated by Linear or rectangular shapes—are frequently to blame for this. Thus, it is anticipated that these dimensions, as opposed to the conventional square or compact simulation regions commonly employed in civilian studies, more closely depict deployment areas for mobile IoMT systems in military applications. A more accurate assessment of LoRaWAN performance in mobility-aware situations with distributed sensor nodes and UAV-mounted gateways is made possible by this hypothesis-driven decision.
FIGURE 3
![Diagram of a LoRa network labeled “LoRaNetworkTest“ on a light green background. It includes five nodes labeled IoRaNodes[0] to IoRaNodes[4] and one gateway labeled IoRaGW[0]. Node icons are distributed around the gateway.](https://www.frontiersin.org/files/Articles/1621431/xml-images/frcmn-06-1621431-g003.webp)
Simulation area (200 m 1,000 m) with a central gateway and mobile nodes.
People are considered nodes in network simulations that represent more than one mobility model. The Random Waypoint (RWP) model, one of the most frequently used models, has each node (e.g., soldier) begin at a random position and travel at a random speed to a random destination. Many researchers use this model to simulate erratic movement, especially in broad spaces (Pramanik et al., 2015). The mobility of the soldiers in the simulation ranges with random movements from 0.97 to 1.81 mps, which is consistent with the average walking speeds found in outdoor environments, as stated by Murtagh et al. (2021).
The scenario is simulated by assuming that the LoRaWAN gateway is mounted on a UAV at an altitude of 60 m. This is compatible with the standard deployment of UAVs in military use for communication relay and monitoring, as described in Saraereh et al. (2020). The UAVs are designed for flying at 5 to 15 mps, which is a realistic speed range for low-to medium-altitude situations, as explained in Xiong et al. (2023) and Saraereh et al. (2020). The UAV continuously traverses the area to maintain connectivity, ensuring real-time data collection from IoMT sensor nodes. Its movement is governed by predefined mobility models to optimize network coverage and minimize packet loss, facilitating seamless communication in dynamic soldier environments.
The payload of the packet consists of 20 bytes of health data that is transmitted from the IoMT sensors to the gateway. As examined in Azhar Muzafar et al. (2022), the payload size is predicated on the constraints for healthcare systems utilizing LoRaWAN. Based on Lauridsen et al. (2017), the 868 MHz frequency band is widely used for LoRaWAN communications and is well-suited for military applications due to its long-range capability, low power consumption, and inherent resilience to interference enabled by Chirp Spread Spectrum (CSS) modulation. A bandwidth of 125 kHz is a common setting in LoRaWAN communications for balancing range and data rate due to the narrowband modulation (Povalac et al., 2023). Devices can optimize performance and energy efficiency by modifying their Spreading Factor (SF) in response to communication circumstances due to adaptive SF selection. For example, devices can dynamically select the best SF between 7 and 12 for optimum transmission dependability (Kim et al., 2020).
A trade-off is made by choosing a Coding Rate (CR) 4/8, which prioritizes dependability above data throughput. This balancing is beneficial when longer communication distances are needed or in high-interference conditions (Gaddam and Rai, 2018). In LoRaWAN deployments, a typical Transmission Power (TP) of 14 dBm is used to adjust power consumption, practical range, and regulatory compliance (Seye et al., 2018). The initial transmission interval used in this study is 1800 s, as recommended by the survey by Al mojamed (2021), which combines this interval with mobility models for IoT solutions. Table 2 provides a summary of the simulation parameters used in this research.
TABLE 2
| Parameters | Value |
|---|---|
| Simulation time | 1 day |
| Spreading Factor (SF) | 7–12 |
| Packet size | 20 bytes |
| Frequency | 868 MHz |
| Bandwidth | 125 KHz |
| Coding Rate (CR) | 4/8 |
| Transmission Power (TP) | 14 dBm |
| Simulation area | |
| Number of nodes | 100, 200, 300, 400, 500 |
| Interval | 1800 s |
| Repetition | 10 times |
The main simulation parameters.
In this system, the reliability of critical health data transmission is ensured through a multifaceted strategy that addresses packet loss effectively. Acknowledgment and retransmission protocols are employed to detect and recover lost packets, thereby maintaining data integrity. ADR optimization dynamically adjusts key transmission parameters based on network conditions, ensuring a robust and efficient communication link. Additionally, the use of data redundancy further safeguards vital health metrics, such as heart rate, against transmission failures. Together, these mechanisms provide a resilient framework for consistent and accurate health monitoring, even in challenging or dynamic operational environments.
Expanding the operational area in UAV-enabled soldier health monitoring system necessitates a multi-UAV collaborative routing strategy. This involves dynamic coordination among UAVs to optimize coverage, minimize collision risk, and maintain robust connectivity with soldier-mounted IoMT devices. Multi-UAV routing techniques—such as coordinated area partitioning and swarm-based mobility control—have demonstrated significant improvements in network scalability, fault tolerance, and communication reliability over vast terrains (Cheng et al., 2024).
In practical deployments, the selection of operational parameters such as bandwidth is also constrained by regional regulations. These regulations dictate the permissible frequency bands, duty cycles, transmission powers, and channel plans, which significantly influence system design and performance. Compliance with regional regulatory frameworks is essential to ensure legal operation and coexistence with other wireless systems, especially in mission-critical applications such as soldier health monitoring.
3.5 Performance metrics
Assessing a number of performance measures is crucial to determine the effectiveness and productivity of LoRaWAN in diverse models with varying parameters. These measurements aid in comprehending its strengths, weaknesses, and applicability for emergency response in healthcare systems for emergency response.
3.5.1 Data extraction rate (DER)
The capacity of the system to preserve data integrity and reduce packet loss is reflected in the Data Extraction Rate (DER), which gauges how well data is extracted from devices. It can be described as the ratio of the total data created by all devices to the amount of meaningful data that the gateway receives successfully, defined in Equation 1:where is the amount of useful data successfully received by the gateway . is the total amount of data generated by the node . is the total number of nodes in the network (Lavric and Popa, 2018).
DER is an essential performance metric in LoRaWAN-based IoMT systems that ensures dependable data transport by lowering packet loss and retransmissions. The conquest of IoMT-based healthcare systems depends on optimizing DER since it increases network efficiency, prolongs battery life, and ensures a timely and accurate flow of health data. The ability to transfer data reliably despite network movement and oscillations is indicated by a higher DER. In dynamic environments, like military operations, poor DER might jeopardize patient safety by resulting in data loss, increased energy consumption, and delayed medical interventions.
3.5.2 Received signal strength indicator (RSSI)
Received Signal Strength Indicator (RSSI) is used to evaluate the quality of the communication link between LoRa devices and gateways. The RSSI value can be represented by Equation 2:where is considered as the received power (in milliwatts, mW) and as the reference power (1 mW). A stronger signal is indicated by a higher RSSI value, which could result in less energy consumption because there would be fewer replays and more dependable data transfer. A lower RSSI value indicates a weaker signal, which could compromise the dependability of data transfer and necessitate many retransmissions to ensure data integrity. Increased transmission activity leads to delays and higher energy consumption for battery-powered devices that are used in remote or limited resources locations (Kwasme and Ekin, 2019).
The quality of communication between IoMT devices and gateways is determined by RSSI, a crucial metric in LoRaWAN-based IoMT systems. A robust signal is indicated by a high RSSI value, which reduces the possibility of packet loss and the need for retransmissions, thereby assisting in energy conservation, which is crucial for battery-operated devices in remote or military environments. However, a low RSSI value indicates a weak signal, which could cause delays in the delivery of vital health data, as well as more transmission failures and energy usage. Maintaining an ideal RSSI in dynamic and mobile applications guarantees consistent connectivity, improves data transmission effectiveness, and facilitates prompt medical treatments. For IoMT-based healthcare systems to function better in general, minimize energy waste and guarantee reliable communication, RSSI optimization is essential.
3.5.3 Energy consumption (EC)
Energy Consumption (EC) measures the amount of power needed to send or receive data across the network. During a transmission or receiving occurrence, the energy used is determined by Equations 3, 4: where is considered as a transmission power (in watts), a transmission time (in seconds), as reception power (in watts), and as a reception time (in seconds).
The average energy used by every node in the network can be calculated as shown in Equation 5 to determine the average energy consumption:where and represent the transmission and reception energy of node , respectively, and denotes the total number of nodes in the network in Joules (J).
This metric is crucial for determining the battery life of LoRa devices, particularly in applications that use real-time health monitoring. In rural regions, LoRa devices must have a longer lifespan due to lower energy consumption (Bouguera et al., 2018). Since IoMT devices are often battery powered and deployed in remote or military environments, excessive energy usage can lead to frequent battery depletion, reducing operational effectiveness, and increasing maintenance costs. High transmission power, frequent retransmissions due to poor signal quality, limiting the ability to function over extended periods. The reliability of real-time health monitoring is increased by utilizing adaptive power management strategies, cutting down on unnecessary data transmissions, and maximizing energy usage through efficient transmission configurations. Consequently, maintaining IoMT-based healthcare systems requires effective energy management, which guarantees continuous data collection and timely medical interventions without using excessive quantities of energy.
3.5.4 Collision probability (CP)
Collision probability (CP) is an important metric that calculates collisions that occur because devices transmit at the same time in LoRaWAN networks. It measure the likelihood that collisions will happen when two or more devices are simultaneously broadcasting. In dense IoMT environments, when several health nodes are operating simultaneously, this phenomenon is very prevalent. The number of active nodes, transmission frequency, data rates, and spreading factor distribution are some of the characteristics that affect CP. A higher CP often leads to reduce connection efficiency and cause more data loss. CP can be quantitatively modeled using Equation 6 to estimate the probability of collisions:where is the transfer time for each packet (in seconds) and is the packet delivery rate. The probability of collisions increases with longer transmission times or higher delivery of packets rates, which can seriously impair network performance. Reducing collisions is necessary to improve the accuracy of data transmission (Ferre, 2017).
The higher the CP, the greater the problem of power consumption and delay, which is a bottleneck in real-time health monitoring systems. Adaptive strategies like frequency hopping and listen-before-talk protocols can help reduce interference and CP in addition to appropriate transmission scheduling. Since low CP ensures efficient data transfer, reduces energy consumption, and enhances the reliability of communication between IoMT devices and gateways, it is crucial for the proper operation of healthcare systems.
Large amounts of health data are efficiently provided in real-time for military health monitoring, where timely data access is crucial, due to high productivity. However, when multiple devices are being used, insufficient throughput can result in data transfer delays. In addition to possibly erasing important medical data, this may cause delayed reaction times. In healthcare, throughput optimization facilitates continuous and dependable monitoring by maintaining effective communication, improving system performance, and guaranteeing that the IoMT network can manage the enormous volume of data yielded by several devices.
The primary methodology outlines the approach used to evaluate LoRaWAN performance under mobility conditions, as well as the design of the proposed system architecture. It describes the essential system components and the simulation procedures to replicate dynamic and realistic operational scenarios. These concurrently executed qualities provide a strong basis for assessing system effectiveness and guiding future enhancements to boost scalability, energy efficiency, and reliability in critical applications.
4 Results and discussion
The main insights drawn from the simulation experiments are presented in this section, along with a thorough examination of how different elements affect the overall performance. Understanding how mobility, transmission parameters, and network configuration affect communication dependability and data accuracy—factors that are particularly crucial for real-time health monitoring in dynamic and resource-constrained environments—is made possible by the findings. This study thoroughly evaluates the effectiveness of LoRaWAN in soldier health monitoring systems that are configured in changing circumstances while taking into account mobility models of 100 LoRa nodes and a single gateway.
4.1 Mobility models
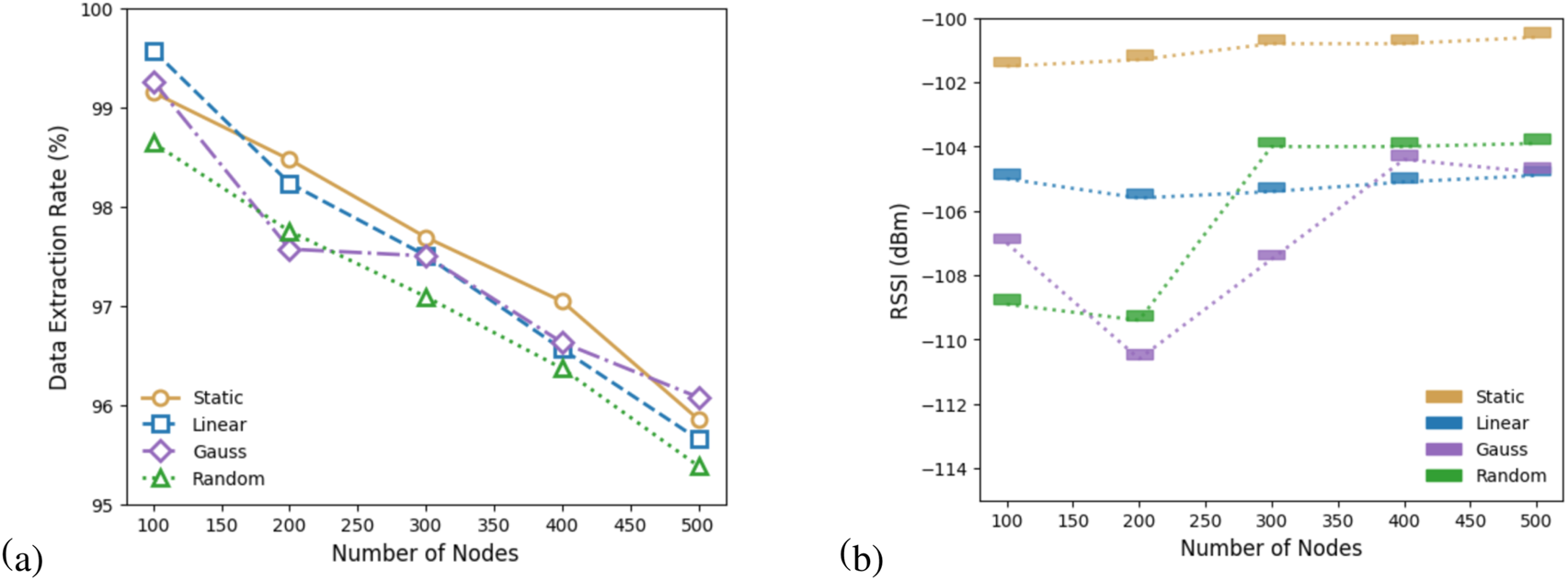
Understanding mobility models and their impact on the network is critical to help improve network performance in general, especially in military applications concerned with health. When it comes to facilitating swift and dependable data transfer for soldier health monitoring in real-time monitoring, analyzing these models can yield important insights into their distinct benefits and drawbacks. The way that UAV movement patterns impact network dependability varies significantly depending on the mobility model. The performance of LoRaWAN communication networks is evaluated under three widely recognized mobility models—Linear, Gauss-Markov, and Random Waypoint—in addition to a static scenario. These models simulate various movement patterns of sensor nodes and gateways in dynamic environments. Figure 4 shows the relative effects of each mobility model on important performance metrics, particularly DER and RSSI. The data clearly shows that using a Linear mobility pattern leads to a higher DER, highlighting its viability for real-time health monitoring initiatives within defense contexts.
FIGURE 4

Mobility Models: (a) DER vs Number of Nodes; (b) RSSI vs Number of Nodes. The figure displays the performance of various mobility models in terms of DER and RSSI as the number of nodes is varied.
In dynamic circumstances, RSSI values may vary in dynamic circumstances, such as while soldiers are moving, because of interference, physical barriers, or changes in distance. This may affect the quality of the communication link, which requires dynamic changes in transmission parameters to guarantee consistent and reliable monitoring. The ADR algorithm dynamically adjusts SF and BW based on real-time RSSI and other link quality metrics. For example, if the RSSI falls below a certain threshold (e.g., −105 dBm), the system increases the SF from 9 to 12 to enhance the robustness of communication and extend the range. This adjustment is typically managed through a control loop that continuously monitors RSSI, packet loss rate, and energy consumption, triggering parameter updates to balance reliability, data rate, and power efficiency, which are crucial factors when soldiers move through complex terrains.
Since the Static model works without movements, there is less signal deterioration because the nodes continue to communicate with the gateway consistently. The network can transport data efficiently even with more nodes, as evidenced by the DER values, which range from 0.991 to 0.958. Signal strength is robust and consistent across the system, as indicated by RSSI values, which vary marginally between −101.5 dBm and −100.6 dBm. Nevertheless, this model provides a benchmark to measure communication efficiency in stationary situations.
However, DER values show a slightly lower value for the Linear model compared to the Static model, while performance is still comparatively strong. With DER values ranging from 0.995 to 0.956, the Linear movement of the gateway outperforms the Static model with fewer nodes and deteriorates as the number of nodes grows. RSSI readings vary from −105.0 dBm to −104.9 dBm, indicating some degradation due to the minor signal fluctuations. Nonetheless, the system maintains a solid connection and seems fairly efficient, guaranteeing the reliability of data collection.
More substantial disruptions are introduced by the Random Waypoint model, whose DER values range from 0.986 to 0.953. The DER values noticeably declines as a result of the unpredictable gateway movement, which causes additional signal interruptions. The higher signal instability is shown by RSSI values, which range from −108.9 dBm to −103.9 dBm. As the number of nodes increases, the DER declines while the RSSI rises, highlighting the challenges of maintaining efficient communication in highly dynamic environments.
When compared to the static and Linear models, the DER values in the Gauss-Markov model show an approximate decrease, ranging from 0.992 to 0.960. The RSSI readings indicate a moderate drop in signal strength, ranging from −107.0 dBm to −104.4 dBm. Despite performing better in DER than the Random Waypoint Model, this model usually has lower RSSI values, indicating a more noticeable impact on signal strength.
In the Gauss—Markov and Random mobility models, the observed RSSI changes between 100 and 300 nodes could be caused by differences in gateway reachability, geographical clustering, and increased interference. In these models, nodes may momentarily group in particular areas, resulting in decreased RSSI and increased signal attenuation. Signal stability is improved and interference is reduced when the network grows beyond 300 nodes because of the more uniform distribution. On the other hand, the Linear model features a more stable node distribution and relatively stable RSSI performance due to its more consistent mobility pattern.
In general, the Static mobility model yields a consistently high DER and exhibits minimal variation in RSSI, reflecting highly stable communication links. This performance can be attributed to the fixed positions of both nodes and the gateway, which minimize signal fluctuations and virtually eliminate packet loss. Under the Linear mobility model, DER also remains robust, indicating that predictable, structured movement patterns support sustained communication performance. The alignment of mobility between nodes and the gateway ensures high data integrity and limited signal degradation. In contrast, the Random Waypoint and Gauss-Markov models demonstrate comparatively lower DER and increased RSSI variability, particularly at higher node densities. The unpredictable and dynamic nature of node movement in these models leads to transient link disruptions, which negatively impact network reliability and signal stability.
Since defense scenarios are remote and unpredictable and systems do not require a fixed gateway to monitor soldiers, the static method is not comparable. DER and RSSI values do not significantly alter the Linear model. This idea keeps a steady moving strategy, which guarantees few signal disruptions. Because of its high data extraction efficiency and dependable signal quality, it is a great choice for applications that call for responsible communication in relatively dynamic conditions.
The findings demonstrate that for gateways installed on UAVs, the Linear mobility model greatly improves network connectivity and reliability. This enhancement comes from the predictable flight path, which minimizes interference from irregular movements and encourages improved signal consistency. The stability provided by a linear model facilitates the prompt and reliable delivery of health information in military operations, when continuous real-time data transmission is essential. Therefore, in dynamic field conditions, implementing planned and structured UAV mobility patterns can greatly improve the adaptability and dependability of soldier health monitoring systems. Thus, the Linear mobility model is selected as the optimal approach for UAV-mounted gateways due to its alignment with the predictable and structured flight paths typically followed during mission-oriented operations. This model achieves high DER and stable RSSI, underscoring its effectiveness in ensuring reliable communication.
The trajectory of UAVs directly influences network connectivity and overall performance by affecting coverage, signal stability, and data integrity. Structured paths, such as linear or predefined routes, facilitate predictable coverage and sustained communication links, minimizing packet loss and interference. In dynamic or obstructed environments—such as urban or battlefield terrains–unforeseen obstacles may disrupt predefined paths. To address this, recent studies advocate for adaptive mobility frameworks that enable UAVs to switch between mobility models based on real-time environmental feedback. For instance, integrating obstacle detection mechanisms and dynamic path planning allows UAVs to alternate between Linear and Random mobility patterns, maintaining optimal connectivity and mission continuity. Furthermore, incorporating autonomous obstacle avoidance algorithms and real-time trajectory recalculations enhances communication resilience, ensuring uninterrupted data transmission in complex terrains (Stodola et al., 2025).
4.2 Transmission interval
The transmission interval plays a critical role in determining the trade-off between energy consumption and the timeliness of health data delivery. This analysis investigates the impact of different transmission intervals on the reliability and consistency of data reception from LoRaWAN nodes. Proper calibration of these intervals is essential to ensure energy-efficient operation while maintaining uninterrupted, real-time health monitoring—an imperative in mission-critical military applications where timely data can directly influence medical response effectiveness. The effectiveness of LoRaWAN networks for applications involving health monitoring is greatly influenced by the selection of transmission intervals. The duration between successive data transfers from an end device to the gateway is called a transmission interval. The IoT devices must send data at predetermined intervals for monitoring applications.
The period between data transmissions is adjusted to suit the need until a balance is achieved between transmissions quickly at low power consumption. For instance, sensors frequently send data at regular intervals to give continuous updates for monitoring (Alghamdi et al., 2022; Okafor et al., 2024). In a soldier health monitoring scenario, frequent updates are essential for real-time monitoring, especially in emergencies. A too-short interval could lead to increased energy consumption due to more frequent transmissions, which would shorten the operational lifetime of the devices in harsh conditions. In contrast, long periods between sending health data can lead to a unaware deterioration of the condition, especially in critical cases.
To provide timely data gathering for efficient monitoring, a study of (Al mojamed, 2021) uses 1800 s as a transmission interval to monitor mobile sensors of IoT systems. This transmission interval is used but is considered long for monitoring the health of soldiers in harsh locations. Therefore, the transmission interval is attempted to be shorter while balancing energy consumption, as shown in Figure 5. This figure illustrates how extending the transmission interval leads to better DER and fewer packet collisions, suggesting that dependability increases as energy usage lowers. During critical situations, nodes might benefit from shorter intervals for more frequent data updates, while maintaining longer intervals during less active periods could optimize battery life. This dual approach ensures continuous monitoring of soldiers, enhancing real-time awareness of their health status.
FIGURE 5

Transmission Interval Variation: (a) DER vs Transmission Interval; (b) EC vs Transmission Interval. The figure illustrates the effect of transmission interval variation across different numbers of nodes.
As noted, DER values may improve as transmission intervals increase because nodes transmit less frequently, and energy consumption decreases concurrently, lengthening battery life. However, selecting the most appropriate transmission interval requires striking a balance between app demands and network productivity. DER is impacted by the transmission interval, but it is also impacted by SF and BW, which affect CP and Time-on-Air (ToA). ADR optimizes efficiency by dynamically modifying SF according to network conditions. More collisions result from higher SF (SF = 12), whereas lower SF (SF = 7) lessens congestion and lowers ToA.
In contrast to SF = 7, which uses the channel for 40 s, SF = 12 uses 800 s for 500 nodes, greatly reducing the likelihood of a collision. ADR improves network efficiency in LoRaWAN-based soldier health monitoring by striking a balance between energy usage and data dependability. The payload size of 20 bytes per packet is typically transmitted by each LoRa node, encompassing health data from IoMT devices. This packet size is designed to accommodate key health parameters such as temperature, heart rate, blood pressure, and oxygen saturation, which are common in real-time health monitoring systems. According to research like Azhar Muzafar et al. (2022), the needs of healthcare systems that use LoRaWAN for effective data transmission limit the payload size determination.
The most balanced option among the assessed periods is 600 s (10 min), which offers a favorable balance between DER and energy usage. The DER values for 100 nodes, 300 nodes, and 500 nodes at this interval are 0.982, 0.946, and 0.906, respectively. The optimal interval of 600 s is chosen based on its energy efficiency. The current energy usage estimates for 100 nodes, 300 nodes, and 500 nodes are 11.2, 11.6, and 12.4 J, respectively. Longer intervals (900 s or more) marginally improve DER, but sending data is delayed and this is not suitable for health applications that need continuous instant updates. Shorter intervals (e.g., 300 s) lead to significantly higher energy, which may not be suitable for applications in rural or remote areas like combat zones.
An increased transmission interval (up to 600 s) results in a slight increase in DER approximately 1%–2%, as nodes transmit less often, reducing collisions and energy drain. Beyond 600 s, DER begins to slightly decline, suggesting diminishing returns in reliability gains. The energy usage decreases markedly 8% with longer intervals, confirming that less frequent transmissions extend device battery life without substantially compromising data integrity. This trade-off informs strategies for balancing real-time monitoring needs with energy efficiency.
A structured transmission schedule with nodes transmitting data at a frequency that prevents excessive packet collisions is made possible by the transmission interval of 600 s. This is especially crucial for defense and emergency applications, as soldiers’ health monitoring in real time requires balancing energy efficiency and reliable data transfer to prolong gadget lifetime. While longer intervals lower transmission energy but may postpone the delivery of vital health data, shorter intervals result in more frequent data transfers and higher energy usage because of increased radioactivity. Finding the ideal balance between energy efficiency and prompt health monitoring is made easier by analyzing various transmission intervals. According to this study, a transmission interval of 600 s represents an optimal balance between data accuracy and energy efficiency, with a single node consuming approximately 3.6 J of energy per day.
Nevertheless, the implementation of adaptive transmission systems offers a promising opportunity to further optimize this balance and improve overall system performance. For instance, nodes may temporarily reduce transmission times in high-stress combat situations to ensure that health information is transmitted more often, allowing for timely emergency response. Increasing the intervals during times of low activity, however, may extend the battery life of wearable technology. Such adaptive systems would ultimately improve soldiers’ safety and wellbeing, provide proper monitoring of soldiers, and allow for tailored actions according to the seriousness of the issue. For simulation validation and alignment with real-world practices, the Comprehensive Patient Health Monitoring Karthick Raghunath, 2024, which utilizes a 600 s sampling interval, served as a foundational reference. The adoption of this interval reinforces its suitability as a balanced choice for efficient and realistic health monitoring in mobile environments.
4.3 Speed and altitude
The operational parameters of UAVs, particularly speed and altitude, significantly influence the performance of LoRaWAN communication systems. Variations in these parameters directly affect coverage and overall network connectivity. A thorough understanding of their impact is essential for optimizing UAV deployment in military environments, where communication reliability is critical to ensuring timely medical intervention and minimizing delays in emergency response. UAVs demonstrate a wide range of speeds and operational altitudes, influenced by their distinct techniques and intended tasks. Speed is defined as the fastest rate at which an object travels over a period (Mohsan et al., 2023). The vertical distance between the UAV and the ground is known as height in the context of UAV missions (Dai et al., 2023).
The Random mobility model was identified as the most suitable for soldiers, while the Linear model was optimal for UAVs. Therefore, these models were selected for comparison to determine the optimal speed and altitude for UAV deployment. Different performance trends are revealed by analyzing the DER values and number of collisions at different UAV speeds and altitudes. As illustrated in Figure 6, increasing the speed to 25 mps leads to higher DER at certain altitudes, particularly at 20 m, where a more pronounced degradation in signal reliability is observed. This highlights the critical need for precise calibration of operational parameters based on the specific environmental context.
FIGURE 6

Altitude and Speed: (a) DER vs Altitude; (b) Number of Collisions vs Altitude. The figure demonstrates the impact of altitude variation as the UAV speed is adjusted.
Stable data extraction efficiency is delivered by these values that are continuously high with only slight variations at a speed of 5 mps. The pattern is similar at 10 mps, with minor deviations but consistent overall efficiency. However, at 15 mps, DER shows a little decrease with increasing altitude, indicating that mobility factors may be causing the extraction rate to decrease. DER values show durability at 20 mps, keeping performance levels similar to lower speeds, suggesting that the system can continue to extract data well at intermediate altitudes. Significantly, DER changes become more noticeable at 25 and 30 mps, with a little decrease noted at higher elevations at 30 mps. This suggests that going beyond a specific UAV speed threshold could have a destructive impact on the effectiveness of data extraction.
An analysis of collision events at different speeds and altitudes offers more information on the effectiveness of UAV transmission. There are very minor fluctuations in the collision levels at 5 mps. However, as speed climbs to 10 and 15 mps, the number of collisions increases, implying that even small shifts in speed may have an impact on network performance. The 20 mps collision peak at intermediate elevations suggests a potential interference region where signal reliability declines. At 25 and 30 mps, this tendency becomes more noticeable as collision rates show greater variances among altitudes. This phenomenon is most likely caused by increased mobility, which results in more channels that are in conflict and fewer successful exchanges.
For efficient data collection from LoRa nodes, the ideal height of the UAV is 20 m with a speed of 25 mps, followed by a height of 40 m with a speed of 20 mps. Current investigations and accepted military procedures support the chosen UAV speed and altitude specifications. According to numerous reports, UAVs are best suited for low-to medium-altitude operations in military communication relay and surveillance scenarios when they operate at speeds between 5 and 15 mps and at altitudes of roughly 60 m (Xiong et al., 2023; Saraereh et al., 2020). The findings highlight the significance of altitude and speed for optimizing the data accuracy and dependability of real-time health monitoring systems for soldiers in remote and rural areas during emergencies.
The simulation results demonstrate that there is a compromise between communication range, energy consumption, and data accuracy in UAV-enabled soldier health monitoring systems. For example, selecting a transmission interval of 600 s achieves a practical balance by extending the battery life of the device while maintaining an acceptable data update frequency. Reducing the interval improves the accuracy of the data but increases the usage of energy, whereas extending it conserves energy but may result in outdated information. Likewise, UAV altitude significantly impacts network performance; higher altitudes improve coverage and connectivity reliability, but may increase power demands. These trade-offs highlight the necessity of carefully optimizing system parameters to meet mission-specific objectives while maintaining overall efficiency.
After evaluating these variables, the investigation found that a UAV speed of 25 mps and an altitude of 20 m lead to improved efficiency. These parameters are more effective configurations for UAV-based LoRaWAN gateways since they are ideal for improving communication dependability, coverage, and signal quality in a variety of operational conditions. Altitude and speed variations further modulate signal quality, with optimal trajectories balancing these parameters to maximize coverage while conserving energy. Effective trajectory planning, therefore, becomes a critical aspect of UAV deployment for reliable soldier health monitoring, ensuring continuous data flow essential for timely medical response in dynamic operational environments.
This study provides a comprehensive understanding of how soldier health monitoring performance is influenced by UAV specifications, transmission strategies, and mobility models. Physical obstacles can cause signal attenuation, shadowing, and multipath effects, which degrade communication quality. Additionally, as node density increases, the network may experience higher levels of interference and contention for communication channels, impacting throughput and latency. To address these challenges, deploying redundant gateways can improve fault tolerance and provide alternative paths for data transmission when links are obstructed. Similarly, incorporating adaptive routing protocols that dynamically respond to topology changes can enhance network reliability in diverse terrain conditions. For large-scale deployments, hierarchical or clustered architectures may be employed to manage scalability more effectively by localizing communication and reducing routing overhead.
The use of a 200 m 1000 m rectangular simulation area—chosen to emulate linear deployment scenarios for soldiers distribution—presents a notably challenging environment for wireless communication. This elongated layout increases propagation distances, limits spatial diversity, and complicates node mobility, especially in maintaining consistent coverage. Nevertheless, the proposed system demonstrated stable performance under these constrained conditions. This outcome suggests the network would perform even better in balanced layouts like square areas, where signal loss and mobility issues are naturally minimized. Moreover, while the simulation was inspired by military contexts, this topology is equally relevant to civilian applications, including smart transportation corridors, linear infrastructure monitoring (e.g., pipelines, railways), and coastal surveillance. As such, the insights derived from this study contribute to a broader understanding of how deployment geometry influences network behavior, with implications for both defense and civilian sectors.
5 Conclusion
With a focus on soldier health monitoring, this study evaluated the mobility considerations of LoRaWAN technology. The impacts of different mobility models, transmission intervals, speeds, and altitudes were examined in this study. A comparative analysis of mobility models reveals that the outcomes significantly enhance LoRaWAN performance. The results indicate that the linear mobility model is the best choice for real-time monitoring in defensive operations since it offers the most reliable and accurate connectivity. It was also discovered that a transmission interval of 600 s successfully balanced energy usage and data quality. The study also found that the optimal LoRa gateway height is 20 m at 25 mps to guarantee successful communication and improve operational connection in military contexts.
Future research can expand on this work by exploring more sophisticated mobility models to better reflect complex operational scenarios. Evaluating sensor power consumption and processing overhead will provide a more comprehensive understanding of energy trade-offs. Additionally, integrating acknowledgment-based delivery protocols can improve data reliability in UAV-assisted communications. Mobility control protocols, including UAV trajectory optimization, may further stabilize performance.
Statements
Data availability statement
The original contributions presented in the study are included in the article/supplementary material, further inquiries can be directed to the corresponding author.
Author contributions
AA: Conceptualization, Data curation, Formal Analysis, Investigation, Methodology, Resources, Software, Validation, Visualization, Writing – original draft, Writing – review and editing. RA: Conceptualization, Supervision, Writing – review and editing. ST: Conceptualization, Funding acquisition, Supervision, Writing – review and editing.
Funding
The author(s) declare that financial support was received for the research and/or publication of this article. This research was supported by the UK-Saudi Challenge Fund 2024, British Council, under the project titled “Data Fusion Dynamics: A Collaborative UK-Saudi Initiative in Cybersecurity and Artificial Intelligence”.
Conflict of interest
The authors declare that the research was conducted in the absence of any commercial or financial relationships that could be construed as a potential conflict of interest.
Generative AI statement
The author(s) declare that no Generative AI was used in the creation of this manuscript.
Publisher’s note
All claims expressed in this article are solely those of the authors and do not necessarily represent those of their affiliated organizations, or those of the publisher, the editors and the reviewers. Any product that may be evaluated in this article, or claim that may be made by its manufacturer, is not guaranteed or endorsed by the publisher.
References
1
Abubeker K. Baskar S. (2023). LoRaWAN-based artificial intelligence intensive care unit framework for tracking patients with severe pneumonia. IEEE Sensors Lett.7, 1–4. 10.1109/lsens.2023.3328608
2
Alghamdi A. M. Khairullah E. F. Al Mojamed M. M. (2022). LoRaWAN performance analysis for a water monitoring and leakage detection system in a housing complex. Sensors22, 7188. 10.3390/s22197188
3
Al mojamed M. (2021). On the use of LoRaWAN for mobile internet of things: the impact of mobility. Appl. Syst. Innov.5 (5), 5. 10.3390/asi5010005
4
Almuhaya M. A. Jabbar W. A. Sulaiman N. Sulaiman A. (2021). “An overview on LoRaWAN technology simulation tools,” in International conference of reliable information and communication technology (Springer), 345–358.
5
Augustin A. Yi J. Clausen T. Townsley W. M. (2016). A study of LoRa: long range and low power networks for the internet of things. Sensors16, 1466. 10.3390/s16091466
6
Azhar Muzafar M. I. Z. Mohd Ali A. Zulkifli S. (2022). A study on lora sx1276 performance in iot health monitoring. Wireless Communications and Mobile Computing6066354.
7
Bandopadhaya S. Dey R. Suhag A. (2020). Integrated healthcare monitoring solutions for soldier using the internet of things with distributed computing. Sustain. Comput. Inf. Syst.26, 100378. 10.1016/j.suscom.2020.100378
8
Benkahla N. Tounsi H. Ye-Qiong S. Frikha M. (2019). “Enhanced ADR for LoRaWAN networks with mobility,” in 2019 15th international wireless communications and mobile computing conference (IWCMC) (IEEE), 1–6.
9
Bouguera T. Diouris J.-F. Chaillout J.-J. Jaouadi R. Andrieux G. (2018). Energy consumption model for sensor nodes based on LoRa and LoRaWAN. Sensors18, 2104. 10.3390/s18072104
10
Bouras C. Gkamas A. Katsampiris Salgado S. A. Kokkinos V. (2020). “Comparison of LoRa simulation environments,” in Advances on broad-band wireless computing, communication and applications: proceedings of the 14th international conference on broad-band wireless computing, communication and applications (BWCCA-2019) 14 (Springer), 374–385.
11
Cheng K. Hu T. Wu D. Li T. Wang S. Liu K. et al (2024). Heterogeneous UAV swarm collaborative search mission path optimization scheme for dynamic targets. Int. J. Aerosp. Eng.2024, 6643424. 10.1155/2024/6643424
12
da Silva J. C. Flor D. D. L. de Sousa Junior V. A. Bezerra N. S. de Medeiros A. A. (2021). A survey of LoRaWAN simulation tools in NS-3. J. Commun. Inf. Syst.36, 17–30. 10.14209/jcis.2021.2
13
Dai D. Cao L. Liu Y. Wang Y. Wu Z. (2023). Classification of high-altitude flying objects based on radiation characteristics with attention-convolutional neural network and gated recurrent unit network. Remote Sens.15, 4985. 10.3390/rs15204985
14
Devi S. S. Lakshana S. Pavithra S. Roshini S. R. (2023). “Lora based smart soldier jacket,” in 2023 second international conference on augmented intelligence and sustainable systems (ICAISS) (IEEE), 1391–1395.
15
Ferre G. (2017). “Collision and packet loss analysis in a LoRaWAN network,” in 2017 25th European signal processing conference (EUSIPCO) (IEEE), 2586–2590.
16
Gaddam S. C. Rai M. K. (2018). “A comparative study on various LPWAN and cellular communication technologies for iot based smart applications,” in 2018 international conference on emerging trends and innovations in engineering and technological research (ICETIETR) (IEEE), 1–8.
17
Gorawski M. Grochla K. (2014). Review of mobility models for performance evaluation of wireless networks. Man-Machine Interact.3, 567–577. 10.1007/978-3-319-02309-0_62
18
Iman U. R. Zada M. Basir A. Hayat S. Lim Y.-H. Yoo H. (2024). IoT-enabled real-time health monitoring via smart textile integration with LoRa technology across diverse environments. IEEE Trans. Industrial Inf.20, 12803–12813. 10.1109/tii.2024.3424517
19
Jain Y. Soni B. Goyal A. Sharma C. (2020). “Novel wearable device for health monitoring and tracking of soldiers based on lora module,” in 2020 IEEE 4th conference on information and communication technology (CICT), 1–5.
20
Karthick Raghunath K. M. (2024). “Comprehensive Patient-Health Monitoring Dataset”, IEEE Dataport, 10.21227/2t3q-6g13
21
Khairullah E. F. Alghamdi A. M. Al mojamed M. M. Zeadally S. (2025). LoRaWAN-based smart water management iot applications: a review. J. Inf. Telecommun., 1–27. 10.1080/24751839.2025.2458889
22
Kim S. Lee H. Jeon S. (2020). An adaptive spreading factor selection scheme for a single channel LoRa modem. Sensors20, 1008. 10.3390/s20041008
23
Kwasme H. Ekin S. (2019). Rssi-based localization using LoRaWAN technology. IEEE Access7, 99856–99866. 10.1109/access.2019.2929212
24
Lauridsen M. Vejlgaard B. Kovacs I. Z. Nguyen H. Mogensen P. (2017). “Interference measurements in the european 868 MHz ISM band with focus on LoRa and SigFox,” in 2017 IEEE wireless communications and networking conference (WCNC) (IEEE), 1–6.
25
Lavric A. Popa V. (2018). Performance evaluation of LoRaWAN communication scalability in large-scale wireless sensor networks. Wirel. Commun. Mob. Comput.2018, 6730719. 10.1155/2018/6730719
26
Lopes I. R. Coelho P. R. D. S. L. Pasquini R. Miani R. S. (2025). Evaluating the performance of LoRa networks: a study on disaster monitoring scenarios. IoT6, 14. 10.3390/iot6010014
27
Luo H. Xiao L. Wu L. Ruan Z. Lin W. (2021). “How to select SF and BW for 2.4 GHz lora ad-hoc communication: from energy consumption perspective,” in International conference on mobile networks and management (Springer), 89–99.
28
Mane P. Patil S. (2024). “IoT framework for modern battlefield: implementation of soldiers health integration for enhanced location deployment (SHIELD) system,” in 2024 IEEE 3rd international conference on computing and machine intelligence (ICMI) (IEEE), 1–6.
29
Mohsan S. A. H. Othman N. Q. H. Li Y. Alsharif M. H. Khan M. A. (2023). Unmanned aerial vehicles (UAVs): practical aspects, applications, open challenges, security issues, and future trends. Intell. Serv. Robot.16, 109–137. 10.1007/s11370-022-00452-4
30
Mozaffari M. Saad W. Bennis M. Debbah M. (2017). Mobile unmanned aerial vehicles (UAVs) for energy-efficient internet of things communications. IEEE Trans. Wirel. Commun.16, 7574–7589. 10.1109/twc.2017.2751045
31
Murtagh E. M. Mair J. L. Aguiar E. Tudor-Locke C. Murphy M. H. (2021). Outdoor walking speeds of apparently healthy adults: a systematic review and meta-analysis. Sports Med.51, 125–141. 10.1007/s40279-020-01351-3
32
Naser M. T. Wheeb A. H. (2022). Implementation of RWP and Gauss Markov mobility model for multi-UAV networks in search and rescue environment. Int. J. Interact. Mob. Technol.16, 125–137. 10.3991/ijim.v16i23.35559
33
Nouar A. Abbes M. T. Boumerdassi S. Chaib M. (2024). Impact of mobility model on LoRaWAN performance. J. Commun.19, 7–18. 10.12720/jcm.19.1.7-18
34
Okafor N. Ingle R. Matthew U. Saunders M. Delaney D. (2024). Assessing and improving IoT sensor data quality in environmental monitoring networks: a focus on peatlands. IEEE Internet Things J.11, 40727–40742. 10.1109/jiot.2024.3454241
35
Povalac A. Kral J. Arthaber H. Kolar O. Novak M. (2023). Exploring LoRaWAN traffic: in-depth analysis of IoT network communications. Sensors23, 7333. 10.3390/s23177333
36
Pramanik A. Choudhury B. Choudhury T. S. Arif W. Mehedi J. (2015). “Simulative study of random waypoint mobility model for mobile ad hoc networks,” in 2015 global conference on communication technologies (GCCT) (IEEE), 112–116.
37
Rajesh K. Sm V. K. Parameshwari V. Divyaa N. Nallasivam M. P. et al (2024). Design and implementation of a LoRa-based remote health monitoring system with emergency alert capabilities. 2024 7th Int. Conf. Circuit Power Comput. Technol. (ICCPCT)1, 259–264. 10.1109/iccpct61902.2024.10673267
38
Rajeswari P. Gobinath A. Kumar N. S. Anandan M. (2025). Iot-based smart health monitoring with convolutional neural network (cnn) using edge computing. In Edge AI for Industry 5.0 and Healthcare 5.0 Applications (Auerbach Publications). 198–208.
39
Saraereh O. A. Alsaraira A. Khan I. Uthansakul P. (2020). Performance evaluation of UAV-enabled LoRa networks for disaster management applications. Sensors20, 2396. 10.3390/s20082396
40
Sawad I. Nilavalan R. Al-Raweshidy H. (2023). Backhaul in 5G systems for developing countries: a literature review. IET Commun.17, 659–669. 10.1049/cmu2.12578
41
Seye M. R. Ngom B. Gueye B. Diallo M. (2018). “A study of LoRa coverage: range evaluation and channel attenuation model,” in 2018 1st international conference on smart cities and communities (SCCIC) (IEEE), 1–4.
42
Slabicki M. Premsankar G. Di Francesco M. (2018). “Adaptive configuration of LoRa networks for dense IoT deployments,” in NOMS 2018-2018 IEEE/IFIP network operations and management symposium (IEEE), 1–9.
43
Sobhi S. Elzanaty A. Selim M. Y. Ghuniem A. M. Abdelkader M. F. (2023). Mobility of LoRaWAN gateways for efficient environmental monitoring in pristine sites. Sensors23, 1698. 10.3390/s23031698
44
Stodola P. Nohel J. Horák L. (2025). Dynamic reconnaissance operations with UAV swarms: adapting to environmental changes. Sci. Rep.15, 15092. 10.1038/s41598-025-00201-4
45
Taleb A. A. Al-Haija Q. A. Odeh A. (2023). Performance analysis of sink mobility models for wireless sensor networks: a comparative study. Int. J. Interact. Mob. Technol.17, 129–142. 10.3991/ijim.v17i18.42121
46
Temene N. Sergiou C. Georgiou C. Vassiliou V. (2022). A survey on mobility in wireless sensor networks. Ad Hoc Netw.125, 102726. 10.1016/j.adhoc.2021.102726
47
Varga A. (2001). “Discrete event simulation system,” in Proc. Of the European simulation multiconference (ESM’2001), 17.
48
Veerasamy B. Durga B. G. Kumaran T. H. M. Devika I. V. Akshaya M. J. (2023). “Soldier health detection and position tracking system using LoRaWAN sensor for low power and long-range access,” in 2023 7th international conference on trends in electronics and informatics (ICOEI) (IEEE), 9–13.
49
Wheeb A. H. Nordin R. Samah A. Kanellopoulos D. (2023). Performance evaluation of standard and modified OLSR protocols for uncoordinated UAV ad-hoc networks in search and rescue environments. Electronics12, 1334. 10.3390/electronics12061334
50
Xiong R. Liang C. Zhang H. Xu X. Luo J. (2023). FlyingLoRa: towards energy efficient data collection in UAV-assisted LoRa networks. Comput. Netw.220, 109511. 10.1016/j.comnet.2022.109511
Summary
Keywords
LoRaWAN, IoMT, mobility, UAVs, healthcare, soldier, monitoring, emergency response
Citation
Alghamdi A, Alotaibi R and Tahir S (2025) Simultaneous mobility of gateways and nodes in LoRaWAN: a key advancement for reliable soldier health monitoring. Front. Commun. Netw. 6:1621431. doi: 10.3389/frcmn.2025.1621431
Received
01 May 2025
Accepted
02 June 2025
Published
26 June 2025
Volume
6 - 2025
Edited by
Oluwakayode Onireti, University of Glasgow, United Kingdom
Reviewed by
Robby Harahap, Gunadarma University, Indonesia
Muhammad Ishfaq, Lanzhou University of Technology, China
Muhammad Ali Lodhi, Yangzhou University, China
Ali Wheeb, University of Baghdad, Iraq
kiran Siripuri, Symbiosis International University, India
Updates
Copyright
© 2025 Alghamdi, Alotaibi and Tahir.
This is an open-access article distributed under the terms of the Creative Commons Attribution License (CC BY). The use, distribution or reproduction in other forums is permitted, provided the original author(s) and the copyright owner(s) are credited and that the original publication in this journal is cited, in accordance with accepted academic practice. No use, distribution or reproduction is permitted which does not comply with these terms.
*Correspondence: Atheer Alghamdi, aalghamdi4592@stu.kau.edu.sa
Disclaimer
All claims expressed in this article are solely those of the authors and do not necessarily represent those of their affiliated organizations, or those of the publisher, the editors and the reviewers. Any product that may be evaluated in this article or claim that may be made by its manufacturer is not guaranteed or endorsed by the publisher.