ORIGINAL RESEARCH article
Front. Fungal Biol.
Sec. Fungal Biotechnology
This article is part of the Research TopicApplications of FungiView all 12 articles
LED light spectra influence the stimulation of mycelial growth and anticancer activity in Hericium erinaceus mycelium
Provisionally accepted- 1Department of Agricultural Technology, Faculty of Science and Technology, Thammasat University, Klong Luang, Thailand
- 2Department of Applied Thai Traditional Medicine, Thammasat University Faculty of Medicine, Khlong Nueng, Thailand
Select one of your emails
You have multiple emails registered with Frontiers:
Notify me on publication
Please enter your email address:
If you already have an account, please login
You don't have a Frontiers account ? You can register here
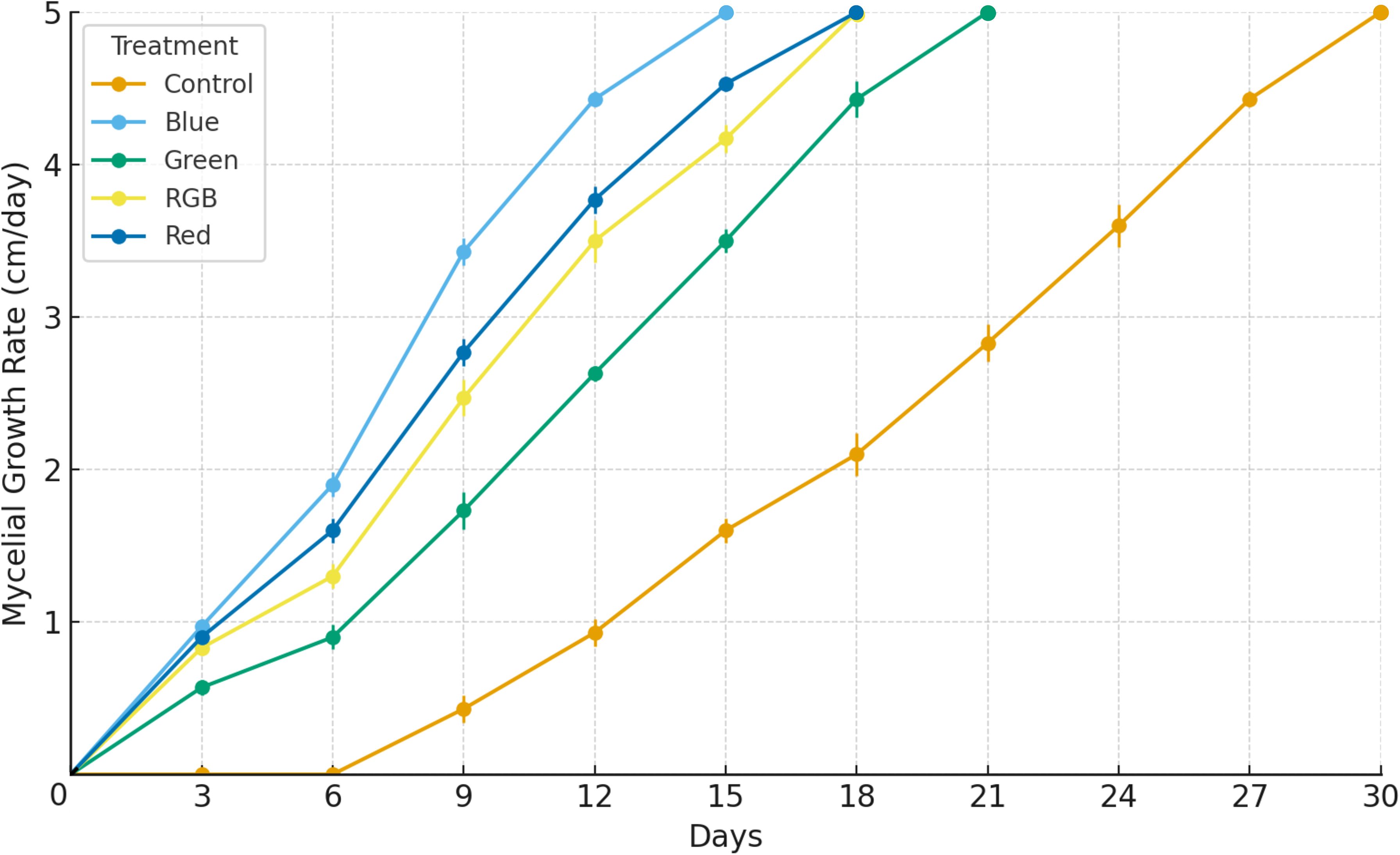
The medicinal mushroom Hericium erinaceus is valued for its bioactive metabolites with therapeutic potential, yet cultivation strategies to enhance both yield and bioactivity remain underexplored. This study evaluated the effects of four LED light spectra-blue, red, green, and RGB-compared to a control treatment (which was kept in darkness), on the mycelial growth and cytotoxic activity of H. erinaceus cultivated on a nutrient-rich red sorghum substrate. Growth parameters, including mycelial growth rate, fresh weight, biomass increase, and mycelial density, were measured after 30 days of cultivation. Blue light treatment produced the highest mycelial density (0.344 g/cm²), fresh weight (6.75 g), and biomass increase (12.28%), along with the fastest colonization rate and accelerated radial growth. Ethanol extracts from blue light treatment-grown mycelia exhibited the strongest cytotoxicity against SW480 colorectal and HepG2 liver cancer cell lines (IC₅₀ = 133.71 µg mL-¹ and 114.84 µg mL-¹, respectively) while sparing normal colon epithelial cells (CCD-841 CoN). These findings suggest that targeted light spectra can modulate fungal physiology, likely via photoreceptor-mediated pathways, to enhance both agronomic performance and production of cytotoxic metabolites. This study provides a framework for optimizing H. erinaceus cultivation for functional food and therapeutic applications.
Keywords: cytotoxic activity, Fungal physiology, medicinal mushroom, Optimal cultivation, Photobiology
Received: 13 Aug 2025; Accepted: 11 Nov 2025.
Copyright: © 2025 Chutimanukul, Sukdee, Phetkaew, Thepsilvisut and Prajuabjinda. This is an open-access article distributed under the terms of the Creative Commons Attribution License (CC BY). The use, distribution or reproduction in other forums is permitted, provided the original author(s) or licensor are credited and that the original publication in this journal is cited, in accordance with accepted academic practice. No use, distribution or reproduction is permitted which does not comply with these terms.
* Correspondence: Preuk Chutimanukul, preuk59@tu.ac.th
Disclaimer: All claims expressed in this article are solely those of the authors and do not necessarily represent those of their affiliated organizations, or those of the publisher, the editors and the reviewers. Any product that may be evaluated in this article or claim that may be made by its manufacturer is not guaranteed or endorsed by the publisher.
