ORIGINAL RESEARCH article
Front. Fungal Biol.
Sec. Fungi-Plant Interactions
This article is part of the Research TopicMicrobial-Fungal Symbioses: Ecological Implications, Environmental Impact, and Biotechnological Applications in Natural and Agricultural SystemsView all 6 articles
Evaluation of beauvericin production in endophytic and epiphytic Beauveria bassiana in peach (Prunus persica): Implications for insect biocontrol
Provisionally accepted- 1Department of Entomology, University of Georgia, Athens, United States
- 2Warnell School of Forestry & Natural Resources, University of Georgia, Athens, United States
- 3Applied Statistics, College of Agricultural and Environmental Science, University of Georgia, Griffin, United States
- 4USDA-ARS, Byron, GA, United States
- 5Department of Horticulture, University of Georgia, Griffin, United States
Select one of your emails
You have multiple emails registered with Frontiers:
Notify me on publication
Please enter your email address:
If you already have an account, please login
You don't have a Frontiers account ? You can register here
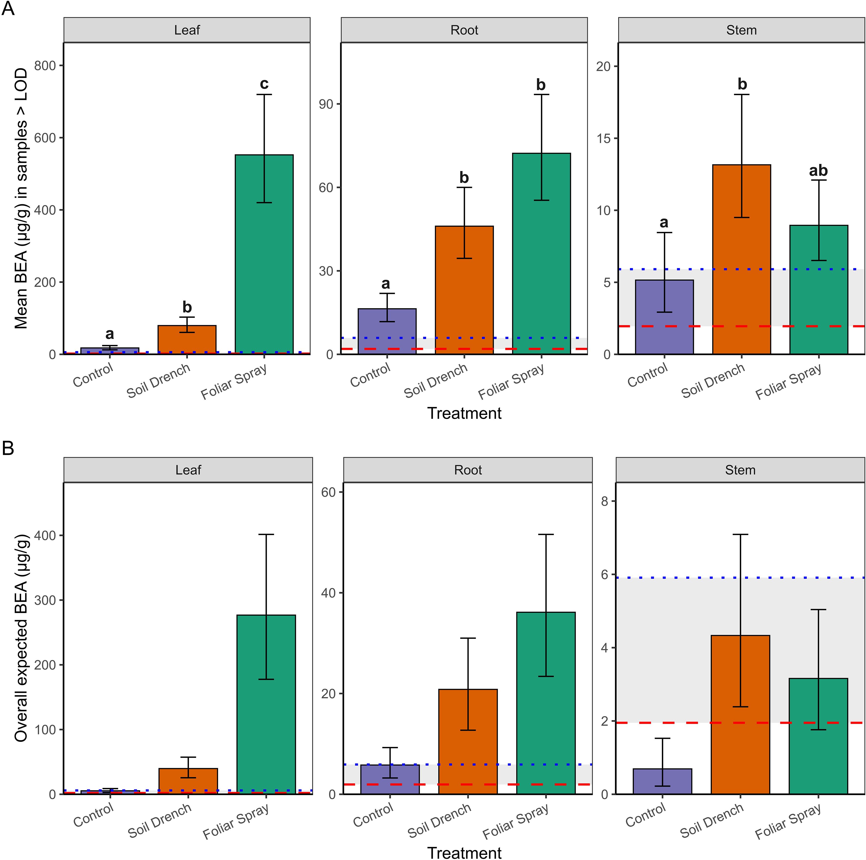
Beauveria bassiana (Balsamo) Vuillemin is a well-known entomopathogenic fungus that occupies diverse ecological niches, including soilborne, epiphytic, and endophytic habitats. Its capacity to function as an endophyte has received growing interest in potential applications for sustainable pest management, particularly in woody perennial systems where delivery and persistence of biological control agents are challenging. This study investigated endophytic colonization of peach (Prunus persica Batsch) seedlings by B. bassiana and quantified production of the insecticidal secondary metabolite beauvericin (BEA) in and on plant tissues. Seedlings were inoculated via foliar spray or soil drench. Fungal recovery was assessed from leaf, stem, and root tissues. Colonization patterns indicated systemic movement, however foliar spray increased recovery from leaf tissues and soil drench increased recovery from roots over time. BEA concentrations varied significantly by tissue type, inoculation method, and surface sterilization status. The highest levels were detected in nonsurface-sterilized leaves of foliar-sprayed plants, measured two weeks post-inoculation. Surface sterilization prior to extraction significantly reduced detected concentrations, suggesting that BEA is primarily produced by epiphytic fungal growth. Larval bioassays with Tenebrio molitor L. revealed increased mortality associated with foliar-sprayed tissues, aligning with observed BEA levels and suggesting localized insecticidal activity. These findings demonstrate that the spatial dynamics of fungal colonization and metabolite localization are critical considerations for the effective deployment of B. bassiana in biocontrol strategies. Further research is needed to determine how
Keywords: bioinsecticide, biological control, antibiotic, Integrated Pest Management, yellowmealworm, insecticide, epiphyte, mycotoxin
Received: 26 Sep 2025; Accepted: 05 Nov 2025.
Copyright: © 2025 Elgar, Villari, Fair, Shapiro-Ilan, Chavez and Blaauw. This is an open-access article distributed under the terms of the Creative Commons Attribution License (CC BY). The use, distribution or reproduction in other forums is permitted, provided the original author(s) or licensor are credited and that the original publication in this journal is cited, in accordance with accepted academic practice. No use, distribution or reproduction is permitted which does not comply with these terms.
* Correspondence: Brett R Blaauw, bblaauw@uga.edu
Disclaimer: All claims expressed in this article are solely those of the authors and do not necessarily represent those of their affiliated organizations, or those of the publisher, the editors and the reviewers. Any product that may be evaluated in this article or claim that may be made by its manufacturer is not guaranteed or endorsed by the publisher.