ORIGINAL RESEARCH article
Front. Ind. Eng.
Sec. Industrial Informatics
This article is part of the Research TopicLearning-driven Optimization for Solving Scheduling and LogisticsView all 6 articles
Efficiently solving open capacitated location routing problems through a discrete fireworks algorithm
Provisionally accepted- 1University of Shanghai for Science and Technology, Shanghai, China
- 2Instituto de Ciencias Matematicas, Madrid, Spain
Select one of your emails
You have multiple emails registered with Frontiers:
Notify me on publication
Please enter your email address:
If you already have an account, please login
You don't have a Frontiers account ? You can register here
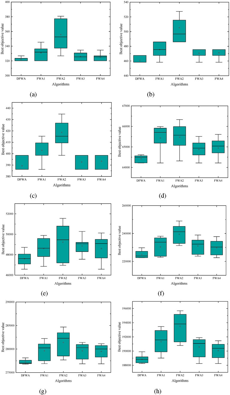
In the open capacitated location-routing problem (OCLRP), a fleet of distribution vehicles departs from selected depots to satisfy customers' demands, but they do not need to return to their starting depots after serving all customers. Comparing the solutions of OCLRP and its corresponding capacitated location-routing problem (CLRP) can provide valuable insights for companies considering whether to outsource their delivery activities. To effectively solve the OCLRP, this study proposes a novel discrete fireworks algorithm (DFWA) with two key innovations: (1) An adaptive search mechanism: Embedding swap, insertion, and reverse operations into explosion/mutation breaks traditional fireworks algorithms' limitations in discrete optimization---expanding the search space while enhancing local tuning, thus boosting global optimal solution discovery. (2) A diversified selection strategy: Integrating fitness value and Hamming distance improves the "premature convergence from single fitness selection" defect in existing algorithms. It retains high-performance solutions while maintaining population diversity. Evaluated on OCLRP instances adapted from standard CLRP benchmarks, the DFWA shows strong competitiveness, consistently generating high-quality solutions within reasonable computation time. A real-world OCLRP case further verifies its practical applicability in complex industrial scenarios.
Keywords: Logistics, Open capacitated location-routing problem, Capacitated location-routing problem, Fireworks Algorithm, discrete
Received: 14 Aug 2025; Accepted: 29 Sep 2025.
Copyright: © 2025 Zhang, Zhou and Rios Insua. This is an open-access article distributed under the terms of the Creative Commons Attribution License (CC BY). The use, distribution or reproduction in other forums is permitted, provided the original author(s) or licensor are credited and that the original publication in this journal is cited, in accordance with accepted academic practice. No use, distribution or reproduction is permitted which does not comply with these terms.
* Correspondence: Huizhen Zhang, zhzzywz@163.com
Disclaimer: All claims expressed in this article are solely those of the authors and do not necessarily represent those of their affiliated organizations, or those of the publisher, the editors and the reviewers. Any product that may be evaluated in this article or claim that may be made by its manufacturer is not guaranteed or endorsed by the publisher.
