Abstract
The European Parliament is concerned about the lack of information on the relevance of nine million Europeans engaged in marine recreational fishing (MRF), committing Member States to encourage environmental and socioeconomic sustainability of the sector. The objective of this paper is to provide recommendations to guide research actions and management policies, based on the case of Spain, a key country because its complex administrative regimen and the intensive use of its coasts, including 900,000 recreational fishers. A review of the state of the knowledge was performed to identify research gaps, while governance challenges were identified in an International Symposium on MRF. In the last two decades research on MRF was remarkable (139 publications). However, public investment in research (€2.44 million in the same period) should be improved to cover knowledge gaps on socioeconomic relevance, on impacts on vulnerable species and on implications of global warming. The license system should be standardized to allow estimation of effort, catch and expenditure. Social networks, mobile applications, fisher ecological knowledge, and citizen science programs could help to develop cost-effective research and management. Science-based, adaptive policies should improve the allocation of resources between MRF and other stakeholders, introducing co-management to reduce conflicts.
Introduction
Marine recreational fishing (MRF) is an important activity across Europe, with almost nine million fishers involved, who spend almost six billion euros each year on the activity (Hyder et al., 2018). However, research on MRF has been limited in Europe, especially in Southern Europe (Pita et al., 2017), despite the long cultural tradition, and high social value especially in the Mediterranean (Lloret et al., 2016). Furthermore, MRF impacts on European fish stocks (Strehlow et al., 2012; Kleiven et al., 2016; Hyder et al., 2018), with 2–43% of total removals of some stocks due to MRF (Radford et al., 2018). The European Union (EU) recognized the importance of MRF and Common Fisheries Policy (CFP) states that “recreational fisheries can have a significant impact on fish resources and Member States should, therefore, ensure that they are conducted in a manner that is compatible with the objectives of the CFP” (European Parliament and Council of the European Union, 2013). Under the EU Data Collection Framework and Multiannual Plan (DCMAP) Member States must provide data on catches and releases of Atlantic cod Gadus morhua (Linnaeus, 1758), Atlantic salmon Salmo salar (Linnaeus, 1758), European eel Anguilla anguilla (Linnaeus, 1758), European seabass Dicentrarchus labrax (Linnaeus, 1758), pollack Pollachius pollachius (Linnaeus, 1758), sea trout Salmo trutta trutta (Linnaeus, 1758), elasmobranchs and highly migratory species under the management of the International Commission for the Conservation of Atlantic Tunas (ICCAT), with requirements varying between regions (European Commission, 2016; European Parliament and Council of the European Union, 2017). The DCMAP has led to the inclusion of MRF removals in limited number of stock assessments including European sea bass in ICES divisions 4b,c, 7a,d–h, 8a,b (e.g., ICES, 2018a), Atlantic salmon and sea trout in the Baltic Sea (e.g., ICES, 2018b) and western Baltic cod (e.g., ICES, 2018c).
In addition to the problems associated with the scarcity of information on MRF, the management of MRF in Europe is hampered by a complex and disperse legal framework, with multiple administrations involved at local, regional and national levels, that varies between aspects of the activity. MRF also interacts with other uses of the marine environment other than commercial fishing, such as aquaculture, navigation, and tourism (Pita et al., 2018b). Therefore, in order to successfully manage such complex socio-ecological systems it is essential to perform a detailed assessment of the critical gaps in the scientific knowledge and identify potential country-specific approaches to resolve these issues. To this end, this paper investigates the state of the knowledge of MRF in Spain, a key country in Europe due to the complexity and intensity of use of its extensive coastal ecosystems, that include the Atlantic Ocean and the Mediterranean Sea.
The notion that sound information is needed to address the management of MRF in Spain is not novel (see e.g., Morales-Nin et al., 2005) and it has been highlighted in different scientific meetings [e.g., Mediterranean Congress of MRF in 2006, Transversal Workshop on the monitoring of recreational fisheries in the General Fisheries Commission for the Mediterranean (GFCM) area in 2010, or in the first Workshop on Recreational Fishing on the Iberian Atlantic Coast in 2016]. In Spain there are about 900,000 marine recreational fishers (Gordoa et al., 2019). Despite the scarcity of information on their contribution to the national economy, it is likely to be important as the direct expenditure has been estimated to be €729 euros per year and fisher (Hyder et al., 2018). However, there is no systematic collection of information about MRF catches in Spain as required under the DCMAP. In addition, no information on expenditure and social benefits is collected, despite recommendations from the European Parliament (2018) and the Working Group on Recreational Fisheries Surveys (WGRFS) of the International Council for the Exploration of the Sea (ICES). Apart from Atlantic cod that does not occurs in Spanish waters and ICCAT-managed species, the current status of none of the stocks under DCMAP regulations has been assessed in Spain.
This situation is especially relevant for fisheries managers since concerns have emerged recently about the sustainability of some of the targeted stocks due to the lack of basic data (Lloret et al., 2016; Pita et al., 2017). It seems necessary to increase the research effort to manage MRF in a more scientifically based way, improve the quality of the fishing experience to recreational fishers and reduce conflicts between recreational and commercial fishers, and with other users of the marine environment (Cardona and Morales-Nin, 2013; Pascual-Fernández et al., 2015; Lloret et al., 2016; Pita et al., 2017). The capability and capacity to develop monitoring and scientific-based assessments of MRF exists in marine research institutions in Spain. However, we hypothesize that a change is needed from research, management and policy institutions, and in key stakeholders, to get the most out of the accumulated scientific knowledge and to pay due attention to the management of MRF.
Scientific institutions and fisher associations, with the collaboration of public administrations and environmentalist NGOs, organized in September 2018, the first International Symposium on MRF (ISMAREF 2018) in Galicia (NW Spain). During the different sessions of the ISMAREF 2018, covering key topics on biology, ecology, economics, governance and sociology, over 100 participants, mainly from different Spanish regions but also from other EU countries, with a wide range of expertise discussed transdisciplinary strategies to promote environmental, economic and social sustainability of MRF in Spain and other European areas. Different governance strategies and management initiatives on MRF were put in common and discussed, and key challenges were identified. All this information has been collected, analyzed and put into context in this paper in order to provide recommendations to guide both fisheries research actions and governance policies. The results of this study can be used as a guide to develop similar assessments in other regions and countries.
Materials and Methods
The Coastal Socio-Ecological System of Spain
Spain has one of the longest coastlines in Europe, with roughly 5,000 km of continental coasts and another 3,000 km divided almost equally between the archipelagos of the Balearic and Canary Islands, in the Mediterranean Sea and the Atlantic Ocean, respectively (Figure 1). Due to its geographical location, between the Atlantic Ocean and the Mediterranean Sea, the Spanish coastal ecosystems are exceptionally diverse, including species of three different temperate marine biogeographical regions: Atlantic, Mediterranean and Macaronesian (which includes the Spanish Canary Islands, the Portuguese archipelagos of Azores, Madeira and Salvagems, and Cape Verde); with the latter including several subtropical species (Templado, 2011). A recent study on the species composition of MRF reinforces this biogeographical categorization (Dedeu et al., 2019).
FIGURE 1

Map of Spain with coastal regions highlighted in gray.
The Spanish coastal seas have traditionally been exploited by one of the largest commercial fishing fleets in the world, with about 8,500 vessels, most of them involved in Small Scale Fishing (SSF), operating in national fishing grounds (Gobierno de España, 2018). Commercial vessels share the coastal ecosystems with a thriving recreational fishery (Gordoa et al., 2019). A worldwide large tourism sector is still expanding in some coastal regions, adds complexity to the socio-ecological system because tourists have a strong presence (Santana, 1997; Cortés-Jiménez, 2008). MRF is not the main motivation of tourists, because they engage in many different recreational activities including swimming, snorkeling, scuba diving, or sailing (Peña-Alonso et al., 2018; Depellegrin et al., 2019; Drius et al., 2019). However, their MRF activity may be relevant due to the high number of tourists (83 million in 2018) and the increasing number of people living in the Spanish coasts, especially in the Mediterranean and the South (Morales-Nin et al., 2015).
The management of MRF in Spain is mainly based on the distribution of government competencies between the Government of Spain and 12 coastal regional governments, namely Andalusia, Asturias, Balearic Islands, Basque Country, Canary Islands, Cantabria, Catalonia, Ceuta, Galicia, Melilla, Murcia, and Valencia (Figure 1), which makes an extremely complex system (Pita et al., 2018b). Most of these regional Governments began to autonomously manage their respective recreational resources in the 1980s of the 20th Century (see e.g., Pita and Villasante, 2019). The formal regulation of the activity begun in 1963, when the first Spanish regulation on MRF was enacted, creating the first license regime for MRF (Gobierno de España, 1963). Subsequently, the different regional governments created various licensing regimes with different typologies (e.g., some regions group shore and boat anglers, while others have separate licenses for both platforms), durations (from one to several years), costs (with relevant differences for the same purpose), and diverse access requirements. However, each of these licenses are valid throughout the country.
Data Collection and Analysis of the Information
Current Status of Knowledge on MRF
In order to analyze the state of the knowledge about research on MRF in Spain, the database ISI Web of Knowledge (available at http://apps.webofknowledge.com) was used to select scientific publications related to MRF in Spain by using in the title or in the theme of the publication the following search string: “[“Spain” AND (marine AND recreat∗ AND fish∗)].” The search included all scientific articles published in English until the cut-off date of the end of 2018. In addition, expert knowledge of scientists, managers, leaders of recreational fishers’ associations and of stakeholder’s organizations related with the use of coastal seas, identified through a snowball sampling procedure (Goodman, 1961) was included. The procedure started with a small group of initial informants identified by the authors and expanding it through their contacts and social networks, which were used to identify additional sources of information to be included in the analysis. Thus, scientific papers undetected by the ISI Web of Knowledge search engine, research projects, contributions to scientific meetings, master and doctoral academic thesis, books and book chapters, and gray literature (technical and dissemination reports), including texts published in Spanish, were also identified and analyzed.
A database was created with the information gathered from the publications and projects on MRF, including details of the publication (title, name and discipline of authors, year, and type of publication) and the project (title, executing, and financing institution and funded amount). In addition, context of the studies was identified (years in which they were developed, geographical location and type of methodologies used), the key topics covered (grouped in ecology, economics, governance, and sociology after a critical reading by the main investigator), the main results obtained, and the studied species. Since the number of publications and projects should be only considered as an indicator of the knowledge accumulated around each of the themes explained above, a more comprehensive analysis was made by identifying the main findings of the publications in each of the key topics in the section “Results,” while they have been put in context in the section “Discussion.”
Challenges for the Governance of MRF
Challenges in relation to the governance of MRF in Spain and other European regions were identified using information derived from the discussions and presentations in the ISMAREF 2018. Detailed minutes of these sessions were obtained, and their content in relation to challenges for the governance of MRF was synthesized around the same key topics used to analyze the current status of knowledge of MRF: ecology, economics and sociology. The information was subsequently analyzed to provide a basic roadmap to guide the future governance policies to promote environmental, economic and social sustainability of MRF. Throughout this process original minutes of the sessions were routinely re-reviewed by the main investigator, especially in cases that raised doubts on groupings of different information on each of the preset key topics. Furthermore, these groupings were reviewed by another investigator and discrepancies were discussed until consensus was reached.
Some of the attendees of the ISMAREF 2018 were invited to participate by the organizers, ensuring the presence of researchers from the main fisheries research centers in Spain (among other countries), and representatives of the main associations of recreational and commercial fishers from Spain. In addition, different Spanish public administrations and international environmental NGOs attended. The ISMAREF 2018 was widely publicized through written and online press, as well as in web pages and social media, and free attendance was allowed on request to increase participation. The sample frame was designed to include key players with high level of knowledge about MRF from all backgrounds. Around 100 experts attended, including scientists (39% of total), recreational fishers (37%), managers and policy makers (17%), NGOs (5%), and commercial fishers (2%).
It is important to note that the information obtained from the analysis of interventions (discussions and presentations) during the ISMAREF 2018 was largely based on opinions. In the case of scientists, these opinions were based on the research conducted by themselves or by other colleagues, in the case of members of the administrations they used legal references in many cases, while fisher’s discourses were based on their own practical knowledge or on the knowledge of some fishers in the case of representatives of fishers’ associations. Although it is difficult to obtain empirical generalizations from these data, it is expected that the information provided by a wide selection of key informants with a high degree of knowledge about different aspects of MRF will provide a comprehensive range of views, This will generate a useful guide for research and governance of MRF in the future.
Results
Current Status of Knowledge on MRF
Between 1997 and 2018, a total of 139 research results about MRF in Spain have been published, showing a growing trend with time (Figure 2). Research articles (69) were the most published scientific results, followed by communications in scientific conferences and meetings (27), and books or book chapters (5). Reports (27) and academic thesis (11, including master and Ph.D. documents), which are not usually part of scientific reviews, accounted for 19% of the published texts (Figure 2). Furthermore, since 2000, €2.44 million has been spent on 23 research projects in Spain that studied different aspects of MRF (Figure 2).
FIGURE 2

Number of research texts about marine recreational fisheries in Spain published by year up to 2018, grouped by category. Line shows the annual funding invested in research projects in the same period (figures show the number of projects by year).
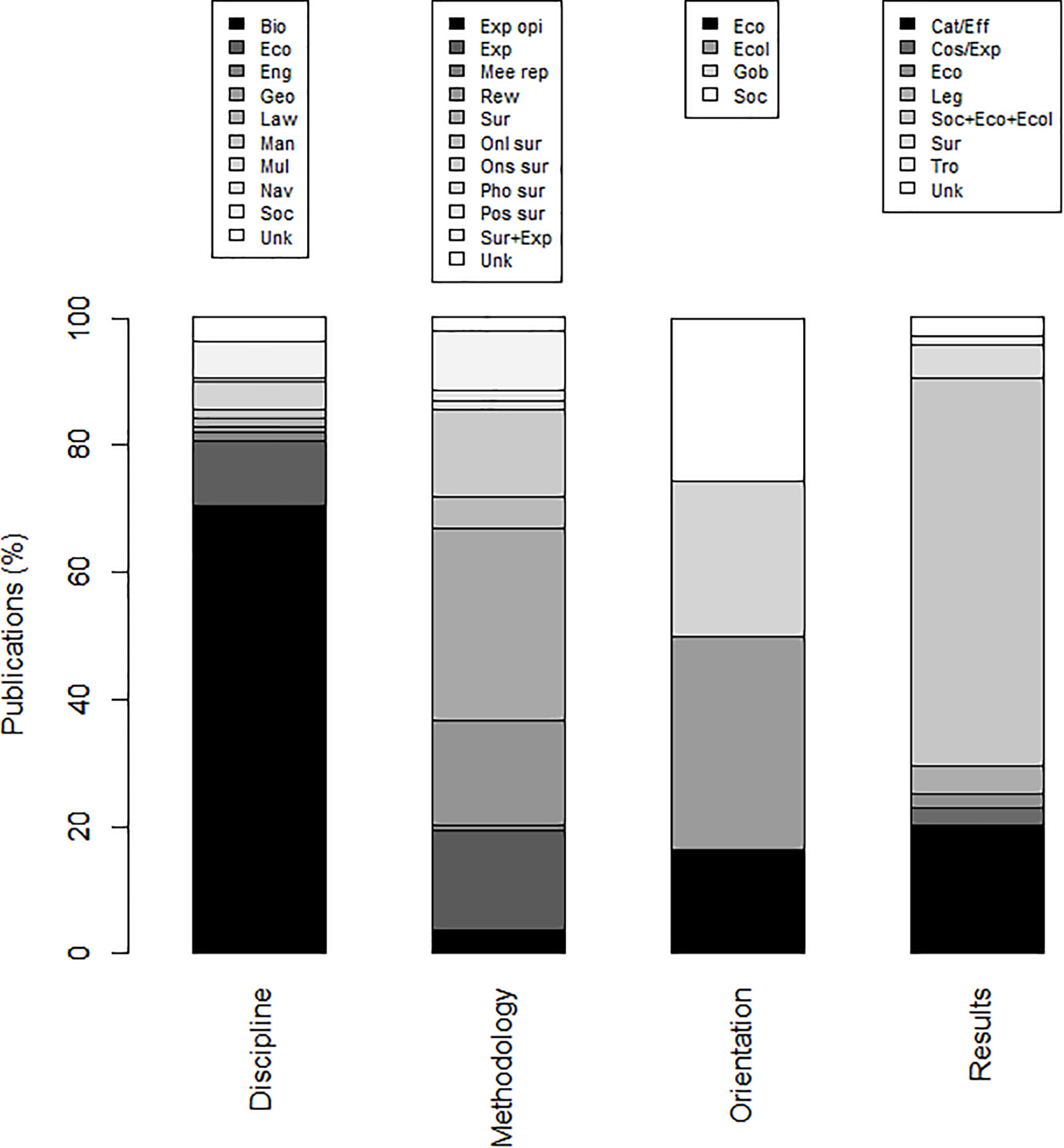
Most first authors of the analyzed publications were part of ecological-oriented departments and laboratories of research public institutions (98 researchers), followed by social sciences (24), that included economics (14) and law (2). Multidisciplinary departments hosted 6 of the first authors (Figure 3).
FIGURE 3

Research studies about marine recreational fisheries in Spain obtained from scientific texts published up to 2018. The discipline of the first author (Bio, biology; Eco, economics; Eng, engineering; Geo, geography; Law, laws; Man, management; Mul, multidisciplinar; Nav, navigation; Soc, sociology; Unk, unknown), main methodology (Exp opi, expert opinion; Exp, experiments; Mee rep, meeting report; Rew, review; Sur, surveys (in general); OnI sur, online surveys; Ons sur, onsite surveys; Pho sur, phone surveys; Pos sur, postal surveys; Exp, experiments), major orientation (Ecol, ecological; Eco, economic; Gob, governance; Soc, social) and key results (Cat/Eff, catch and/or effort; Cos/Exp, costs and/or expenditures; Leg, legal review; Soc + Eco +Ecol, socioeconomic and ecological relevance; Surv, survival; Tro, trophic habits) are shown.
Since ecology was the main discipline (77% of the published documents), many of the papers analyzed (40) focused on ecological aspects of MRF, including catch and effort estimates (28), fish survival after catch and release experiences (7), or trophic habits (2). Moreover, over half of the papers (59%) investigated different social aspects of the activity, like economics (37%) and governance (32%), including laws (24%). Four papers performed economic analyses by obtaining cost and expenditure estimates, and six papers developed legal reviews. Most of the papers (85) provided information on both social and ecologic relevance of MRF in different Spanish regions (Figure 3). Moreover, the majority of the published studies (85) used offsite (including online, phone and postal) or onsite surveys to achieve their results, while the remaining were based in experiments and experiences studying fish abundances (35), reviews (23), and expert opinion (5) (Figure 3).
The Sparidae family was the most investigated taxon (31% of total), followed by Labridae (10%), Serranidae (7%), Scombridae (6%), Carangidae (6%), and Mugilidae (4%). The most studied fish species were annular seabream Diplodus annularis (Linnaeus, 1758) (26 publications), followed by European seabass (24), white seabream Diplodus sargus (Linnaeus, 1758) (24), painted comber Serranus scriba (Linnaeus, 1758) (24), and Mediterranean rainbow wrasse Coris julis (Linnaeus, 1758) (21) (Figure 4).
FIGURE 4

Taxa studied in scientific texts about marine recreational fisheries in Spain published up to 2018.
Knowledge on Ecological Impacts
Based on the review made on publications about MRF in Spain it was possible to confirm that a basic knowledge about the ecological relevance of this fishery has been achieved. Thus, annual recreational catch in Spain is about 40,000 t of marine fishes (Gordoa et al., 2019). Spanish recreational fishers target a wide variety of species, mostly marine fishes, but also some invertebrates including echinoderms (Font and Lloret, 2011) and squids (Morales-Nin et al., 2005; Cabanellas-Reboredo et al., 2012, 2014; Palas et al., 2017). Regional differences in catch diversity between regions have been recently analyzed by Dedeu et al. (2019), concluding that based in the heterogeneity showed in the targeted fish assemblages, regional studies are needed to avoid spatial extrapolations.
Ballan wrasse Labrus bergylta (Ascanius, 1767), European seabass and white seabream are among the most relevant species for recreational fishers in the Spanish Atlantic (Zarauz et al., 2015; Pita and Freire, 2016; Pita et al., 2018a), while comber Serranus cabrilla (Linnaeus, 1758), Mediterranean rainbow wrasse and white seabream and related species like annular seabream and common two-banded seabream D. vulgaris (Geoffroy Saint-Hilaire, 1817) are important in the Mediterranean Sea (Coll et al., 2004; Morales-Nin et al., 2005; Gordoa, 2009; Font and Lloret, 2011). Most species exploited by Spanish recreational fisheries, included in different lists of targeted species in the reviewed publications, have relatively fast life histories. However, a major concern in the analyzed literature is the catch of vulnerable fish species (Lloret et al., 2019). These are long-lived and slow-growing species with low reproductive potential and narrow geographic range distributions (Cheung et al., 2005), like dusky groupers, deep-sea species, and some sharks and rays.
In addition to direct mortality of fish due to large competitions (Pita and Freire, 2016) and voluntary or mandatory release (Alós et al., 2009), some indirect effects on ecosystems have been described in Spain, including pollution derived from lost gears in the Mediterranean (Lloret et al., 2014), reduction in fish body sizes in the Atlantic and the Mediterranean (Alós et al., 2014, 2016; Pita and Freire, 2014) and impacts of use of exotic bait species in the Mediterranean (Font et al., 2018).
Knowledge on Economic Relevance
It has been estimated that Spanish marine recreational fishers spend at least €217 million per year on fishing trips, fishing gears, baits, clothes, and boats (Hyder et al., 2018). Moreover, annual fisher expenses in the Spanish Mediterranean recreational fleet alone were estimated to reach €534 million (Gordoa et al., 2004). Economic contribution to regional economies has been investigated in Galicia and the Balearic Islands where it was estimated to be €97 and €63 million per year, respectively (Morales-Nin et al., 2015; Pita et al., 2018a).
Other issues indirectly related to the economic contribution of MRF have been studied in the Balearic Islands. Thus, a study of fresh fish consumer preferences showed that the families with a member engaged in MRF had better knowledge of fish species and were more likely to buy high quality fish in local markets, which might have a positive impact on local SSF (Morales-Nin et al., 2013).
Knowledge on the Governance Framework
Papers that investigated different aspects of fisheries governance found that Spanish MRF operates within a complex legal framework, with many administrations involved in the management from European to local levels (Morales-Nin et al., 2010; Pita et al., 2018b). Fishing licenses are compulsory and management operates through restrictions on spatial and temporal access, with rules in place limiting effort and catch [see e.g., Morales-Nin et al. (2010) and Pita and Villasante (2019) for descriptions of the governance frameworks in the Balearic Islands and Galicia, respectively]. In this context, recreational fishers show a low degree of knowledge of the different regulations, which negatively affects their compliance and reinforces the poor institutional fit of MRF, as was found for the Atlantic region (Pita et al., 2017).
Notably, some conflicts between recreational fisheries and other stakeholders, particularly small-scale fishers, have arisen because of the competition for marine resources and space, e.g., in Macaronesian marine protected areas (MPAs) (Pascual-Fernández et al., 2015). Moreover, selling recreational catches is not allowed in Spain, and illegal sales might be a cause of conflict between commercial fishers and poachers that use recreational licenses in the Atlantic and the Mediterranean (Merino et al., 2008; Maynou et al., 2013; Lloret et al., 2016; Pita et al., 2017).
Knowledge on Social Relevance
Recently it has been estimated that in Spain there are approximately 900,000 marine recreational fishers (Gordoa et al., 2019). Shore anglers are the most frequent recreational fishers (roughly 75% of total), followed by boat anglers (20%) and by spear fishers (5%), as found at national level (Gordoa et al., 2019) and in Galicia (Pita et al., 2017). Gordoa et al. (2019) in a national study, Pita et al. (2018a) in the Atlantic and Morales-Nin et al. (2005) in the Mediterranean showed that most marine recreational fishers in Spain are men (more than 95% of total) between 36 and 53 years old. Spear fishers and boat anglers show higher education levels than shore anglers, while shore anglers have the highest levels of unemployment (Pita et al., 2018a; Gordoa et al., 2019).
The wide geographical dispersion of recreational fishers along the coast, diversity of ways to access the fishery, and individual performance make quantifying the “human dimensions” challenging. However, attempts to elucidate the satisfaction and motivations of recreational fishers in the Balearic Islands (Morales-Nin et al., 2015) and in the whole Spain (Gordoa et al., 2019), showed that, in general, the satisfaction level is moderate and catch is not always the main motivation, with the complete fishing experience being very important, especially for spear fishers. Moreover, the perceived physical and psychological health and social benefits of recreational fishing (see, e.g., Griffiths et al., 2016) have not yet been evaluated in Spain.
Challenges for the Governance of MRF
Ecological, economic, and social challenges for the governance frameworks of MRF in Spain were highlighted by participants in the ISMAREF 2018, including opportunities to address the identified challenges in the future.
Ecological Challenges
Notably, all scientists attending the debate sessions of the ISMAREF 2018 highlighted issues with utilizing the current licensing system in Spain for research purposes. One of the researchers indicated that “we have enormous difficulties in using the current licensing system [for MRF] for scientific purposes. For example, active licenses are not the same as licenses issued in a year. In addition, licenses in some Spanish regions are also valid for inland fisheries. There is also a problem with boat fishing, because the license is allocated per boat [in some regions], and not per fisher. It is necessary that the different Spanish administrations try to standardize the licensing system.” It was also highlighted that the estimations on the population size of MRF have a direct impact on the subsequent estimates of fishing effort and catch (see e.g., Gordoa et al., 2019).
The ecological challenges that MRF faces in the future also focused on the data collection about illegal, unreported, and unregulated (IUU) fishing. Some of the scientists suspected that fisher declarations of large pelagic fish catches, mandatory under EU laws (Council of the European Union, 2001), were not accurate. They indicated that, in their experience, it is very difficult to obtain accurate quantitative data on IUU fishing (see, e.g., estimates of IUU for the Galician coast in Villasante et al., 2016). Moreover, questions were raised about the opportunity to address the collection of IUU information in the short term, as collection of data about legal MRF activities was a higher priority. For example, “We have come a long way in monitoring [legal] recreational fishing catches, and we must focus on improving those estimates. To estimate illegal fishing, we are still far away, and it is also the Administration that must control the poachers.” Furthermore, “in what group do we put the poachers?” asked one of the recreational fishers and added that “there is also poaching in commercial fishing. They are a separate group that should not be associated with recreational fishing.”
Differences in regulatory treatment between recreational and commercial fishers and the restrictions for recreational fishers in MPAs attracted a lot of attention. The following statement was raised by some of the representatives of recreational fishers in relation to the National Parks, where only some commercial fishing is allowed: “Why do they limit our fishing opportunities when they do not do the same with [some] commercial fishers?” The recreational fishers explained that, if the reasons behind the restriction or prohibition of MRF are conservation of species or ecosystems, it is inconsistent that the recreational sector is banned and commercial sector are not: “A recreational fisher will never understand why he cannot fish yet the commercial fishing is allowed.”
Moreover, some spear fishers stressed that they have the greatest access restrictions and explained that in many cases these restrictions are not based on scientific evidence. They believe that the most obvious example of this was their exclusion from some Spanish MPAs, where some commercial and other recreational modalities are allowed. “If you ban us, you attack a sector that pays taxes and puts money in the bank,” explained one spear fisher.
Scientists highlighted that in MPAs with restrictions on recreational fishing there are also restrictions for commercial fishing in most cases, including banning of some métiers. A member of a public administration present during the debate stressed that “what we are looking for with a marine reserve is that it increases the biomass both within and outside the reserve, so all that fish both inside and outside can take advantage.” In general, scientists and managers involved in the discussions agreed that in the creation of new MPAs, solutions that fully satisfy all the sectors involved are not often found, but expansion and strengthening of the network of MPAs should not be discouraged.
In the debate on MPAs and restrictions for MRF, one of the representatives of a recreational fishers’ association identified co-management initiatives as important. He stated that “there seems to be a lot of reluctance and fear of marine reserves.” Instead of fearing marine reserves, recreational [fishers] must become part of the advisory board. My experience of advisory boards for the marine reserves of the Balearic Islands is fantastic. When we meet each year, we decide what needs to be modified, both for commercial and recreational fishing, according to the data that scientists have gathered over the past year. “We, the recreational fishers are asking for new marine reserves to avoid the sea becoming a desert.”
One member of the public administration argued in relation to co-management that “it is good to create expectations [of co-management] for people, but it is a big problem when the expectations are not met because the legal framework does not allow its implementation.”
Finally, some of the experts expressed their concern about hidden impacts of recreational fishers on vulnerable species, including those that are not directly targeted by them (e.g., seabirds). The attendees agreed that, although the direct impact of mortality or injury due to fishing gear may not be relevant for seabirds, the indirect impacts caused by local disturbances on vulnerable nesting birds may be important, so they should be considered in future assessments and incorporated into the management.
Economic Challenges
A representative of a national association of nautical companies identified an important barrier to the economic development of MRF: “In Spain, 70% of recreational boats are less than 6 m in length and less than 10% are over 8 m.” This is due to the fiscal regime penalizing longer boats, so in recent years there has been little increase in the average length of boats. The opposite is seen in the charter fishing sector, which is not under the same fiscal regime, where average boat length has increase significantly in recent years. As far as recreational fishing is concerned, I believe that charter boats can be a great boost for the markets. “Today, tourists seek experiences, not just sun and beach, and what better experience than a boat fishing trip?”
Social Challenges
Some discussion highlighted opportunities for the participation of recreational fishers in joint research initiatives with scientists and citizen science programs: “Fishers can make an important contribution to data collection. There is a new window of opportunity for us to contribute to data collection in a better way” was highlighted by a researcher. However, some relevant barriers were identified to the involvement of fishers in research programs. In this way, a representative of a recreational fisheries association mentioned that “we are aware that it is very important to give data to scientists and the administration to make a real assessment of our impact, but we must bear in mind that we [spear fishers] are reluctant to give information because our experience after 20 years of different regulations is bad. Based on pseudoscientific issues and protectionist fisheries policies [with commercial fishing, different public administrations] have undermined the fishing opportunities available to many of us.”
Furthermore, several fishers who usually provide data to scientists indicated that they have not received any feedback on the data that they provided. In their opinion, it is very important to maintain contact between fishers and scientists about the potential consequences of data provision. In this way, these results could be “validated” using the knowledge of the fishers. In general, experts agreed that although the involvement of fishers in scientific projects can be improved, these initiatives are fundamental for the recreational sector to play a more proactive role in management and to improve trust in fisheries science.
The growing importance of social networks was highlighted as a vehicle for the dissemination of good practices aimed at reducing the ecological footprint of recreational fishing: “Nowadays, with social networks, we are making progress in collaboration and awareness among fishers of good practices. Thanks to social networks, I have no doubt that at least 80% of fishers in our area will collaborate with our initiative to limit the use of plastics.”
Gender gap in terms of female participation in MRF was also present in the ISMAREF 2018. One of the researchers explained that the role of women has been evolving in the last decades in many societies, including Spain, where women have increasingly higher participation in recreational activities. More information on their attitudes would help to better understand the social motivations for fishing and how they can shape the future of the activity.
Discussion
Socioecological Relevance of Spanish MRF in Europe
Most marine and freshwater water bodies worldwide are exploited by recreational fishing. Thus, recreational fishers represent 10% of the population of industrialized countries (Arlinghaus et al., 2014, 2015) and in European seas, average national participation rates reach 1.6% of the population (Hyder et al., 2015). Estimation of participation in Spain ranged from 0.6% in Hyder et al. (2018) to 2.0% in Gordoa et al. (2019). Consequently, estimates of overall economic importance and ecological impact derived from these figures showed large variation. Average annual expenditure estimates per fisher also varied between the different studies carried out to date, ranging from €729 obtained by Hyder et al. (2018) in Spain, to €1 218 and €1 611 obtained in the Balearic Islands and Galicia, respectively by Morales-Nin et al. (2015) and Pita et al. (2018a). The large uncertainty shown in the different studies, and differences between regions and typologies of fishers, make it difficult to obtain comparable estimates. On the other hand, annual catches per fisher showed less variations between the different studies, ranging, e.g., between 94 kg estimated by Gordoa et al. (2019) and 127 kg estimated by Pita et al. (2018b). In this case, the existence of a bag limit in the different regions probably favors closer estimates.
Differences in fisher access and economic and ecological relevance can be explained by the difficulties in determining the social and economic magnitude of marine recreational fisheries, recognized by both the scientific community and by managers and policy makers (Hyder et al., 2017). Furthermore, a major issue for obtaining reliable estimates is the lack of a standardized licensing system, as this gives a good estimate of the number of people engaged in recreational fishing. Many attempts have been made within Spain to develop sampling methods to overcome this challenge, evidenced by the number of scientific publications using different types of surveys (Figure 3). Some of the experts attending the ISMAREF 2018 discussed the representativeness and potential bias of using questionnaires to ask fishers about effort and catches: “Very often recreational fishers overestimate their catches because they forget about their bad catches. In addition, we have verified that they say that they go fishing more days than they actually do, because they do not report the days they went, but the days that they would like to go” expressed a representative of a recreational fishers’ association. However, these are classical issues affecting surveys of recreational fisheries (Pollock et al., 1994; Jones and Pollock, 2012) and researchers overcome these limitations providing reliable estimates (e.g., Cabanellas-Reboredo et al., 2017).
The most recent estimate of participation rate in MRF in Spain (2.0%; Gordoa et al., 2019) is higher than the average participation across European countries (1.6%; Hyder et al., 2018). This shows that MRF in Spain is an important social, cultural, and economic activity that still needs to be acknowledged by the scientific community and by the management and policy institutions to guarantee its future sustainable development.
Since publication of the first article on MRF in Spain in 1997, there have been on average 6.6 scientific publications each year, while annual public investment on research was €116,333 (Figure 2). This represents about 1% of the annual expenditure derived from MRF in Spain. However, higher levels of funding are needed to close the relevant research gaps identified below, especially through the creation of specific funding opportunities.
The Future of MRF in Spain
Based on the gaps in knowledge identified in the literature reviewed and the assessment of key challenges for the governance frameworks obtained from discussions and presentations during the ISMAREF 2018, some conclusions can be drawn to foster the environmental, economic and social sustainability of MRF in Spain.
Recommendations to Improve Research
Based on the review made on publications about MRF in Spain it was confirmed that some of the species targeted by recreational fishers are included in international conventions for the protection of biodiversity, such as those of Barcelona, Bern and Washington (CITES), the IUCN Red List, or the EU Habitats Directive, or have a high vulnerability index. Vulnerable species such as common dentex Dentex dentex (Linnaeus, 1758), dusky grouper Epinephelus marginatus (Lowe, 1834) and brown meager Sciaena umbra (Linnaeus, 1758) are targeted by recreational fishers along the Mediterranean coast (Morales-Nin et al., 2005; Lloret et al., 2008; Giovos et al., 2018). Furthermore, although MRF and SSF are often considered to have relatively low ecological impacts, they have negative effects on vulnerable species, be they targeted or taken unintentionally as bycatch (Lloret et al., 2019). It is unclear if studies on vulnerable species in the reviewed scientific literature (e.g., 15 references for common dentex and 9 references in the case of dusky grouper and brown meager, respectively; Figure 4) is enough to assess the specific risks that affect resilience and the services they provide to ecosystems and their users. Furthermore, except for European seabass, there are relatively few studies of species under special surveillance in Europe, such as Atlantic salmon, European eel, pollack, elasmobranchs and highly migratory species (Figure 4). The effects of MRF on vulnerable species, including those that are not targeted by fishers (e.g., seabirds) must be regularly monitored to provide managers with sound data to guide management decisions on the potential exploitation of species and areas, including MPAs. Furthermore, since large fishing competitions can reduce the local abundances of sedentary fish species (Pita and Freire, 2016), the impact of popular and regular competitions on big and vulnerable species should also be assessed.
Global warming exerts considerable effects on the marine ecosystems (Hoegh-Guldberg and Bruno, 2010; Kersting, 2016), which are affecting fish assemblages (e.g., Anacleto et al., 2018; Carozza et al., 2019; McLean et al., 2019), and the global fisheries that exploit them (Phillips and Pérez-Ramírez, 2017; Barange et al., 2018). It is plausible that recreational fisheries will be affected in a similar way to commercial fisheries (especially SSF), so response to global warming may be comparable in some cases (Townhill et al., 2019). Global warming exerts impacts on the individual, population, community, and ecosystem, and it is likely that recreational fishers will perceive some of these effects, including changes in range distribution, with the corresponding appearance of allochthonous species (Cheung et al., 2009; Langangen et al., 2019), changes in relative density and abundance (Barange and Perry, 2009), changes in phenology (Cheung et al., 2013; Rogers and Dougherty, 2019), and changes in body size (Daufresne et al., 2009; Cheung et al., 2013). However, to date potential consequences of global warming on MRF in Spain have not been studied (Sandoval et al., 2018). Thus, research on this issue is urgently needed, including potential effects of changes in behavior and distribution of species, but also on the potential adaptation mechanisms of the socio-ecological system (Cinner et al., 2018; Miller et al., 2018), that may include alterations in institutions, legal frameworks and traditional social norms that can lead to deep social transformations (Miller et al., 2018).
Policy makers must ensure that the different regulation frameworks contribute to the maintenance of resilient ecosystems that provision resources for commercial fishers, contributing to the economies that depend on their activity, and supply markets with healthy food for the population (Verbeke et al., 2005). However, MRF also contributes significantly to economic development to the point that fishing regulations in Spain and other European countries include some measures to promote recreational fisheries (Pita et al., 2018b). Furthermore, the European Parliament is also promoting MRF-based economic initiatives, recognizing that “recreational fishing has been practiced for centuries across the EU and is an integral part of the culture, traditions and heritage of a great many coastal and island communities,” and urges to “provide support, including financial support, for the development of recreational fishing in the tourism sector, as an important contributor to the development of the blue economy in small communities, coastal communities and islands, particularly in the outermost regions” (European Parliament, 2018). There are a relatively large number of economists who have been researching MRF in Spain (Figure 3), however more research is needed to improve the available social and economic information, especially considering the enormous importance of touristic sector for the Spanish economy (Santana, 1997; Cortés-Jiménez, 2008). Notably, socioeconomic data is requested by the European Parliament to develop adaptive policies, evaluating the suitability of eventual controls and non-discriminatory limitations to protect resources and ecosystems from excessive impacts (European Parliament, 2018).
Scientists and fisheries managers should take more advantage of the use of social networks, mobile applications, and citizen science initiatives to strength partnerships with fishers, facilitating cost-effective management and research actions (Venturelli et al., 2017; Giovos et al., 2018; Monkman et al., 2018c; Sbragaglia et al., 2019). In fact, several institutions have long-standing collaborations with different recreational associations for mark-and-recapture programs in Spain (e.g., Palmer et al., 2011) or catch data (e.g., Pita and Freire, 2014; Boada et al., 2017). Furthermore, local ecological knowledge of recreational fishers is a powerful source of information that has been already incorporated in research programs to help the management of common pool resources (e.g., Palas et al., 2017; Monkman et al., 2018a). It would be possible, e.g., to use this knowledge to address key research gaps identified in this paper, as the consequences of global warming on fish stocks and habitats. However, this use of fisher ecological knowledge (FEK) and social media has issues related with confidentiality and the ownership of the results that must be considered in the early stages of the initiative (Gourguet et al., 2018; Monkman et al., 2018b). In this sense, and as it was highlighted by some of the fishers attending the ISMAREF 2018, scientists and managers must avoid the idea that fishers are just sources of free information. Instead, the role of FEK in coproducing scientific knowledge must be properly recognized and fishers should have a voice on how to use their time and knowledge, and how to participate in the derived management decisions (Maurstad, 2002).
Finally, in relation to the gender gap issue in MRF in Spain, it is important that research on fishing motivations should stratify sampling by gender to obtain a more robust and representative sample of women in future research studies (Morales-Nin and Alós, 2018).
Recommendations to Improve the Governance Framework
The experts that attended the ISMAREF 2018 agreed that the 13 current licenses regimes (i.e., 12 regionals, plus the national for offshore waters) should be urgently revised and standardized. This would allow us to know the number of fishers and allow estimation of effort, catches and expenditure. Researchers working in scientific institutions and managers of public bodies will be able to provide these estimations, including research on IUU fishing and on vulnerable species, more easily by using standardized license data. In this sense, some of the experts noted that some fishers obtain their licenses outside of the region in which they operate because the administrative requirements are simpler, or the licenses are valid for longer. This makes the allocation of the number of fishers between the different regions difficult. This is a relevant issue, considering that roughly 40% of the fishers travel to fish in other regions (Martínez-Carbajal, 2018). However, as stressed by one of the members of the National Fisheries Department that attended the discussions “this is not a simple task, because it involves several administrations.” These administrations may have different political agendas which makes finding a solution to this issue challenging. To facilitate this objective, researchers, public managers and fishers’ representatives should urgently develop discussion arenas and build consensus proposals to help policy makers to harmonize license regimens in Spain, i.e., modalities, costs, and duration.
Conflicts between recreational and small-scale fishers (described in the section “Knowledge on the Governance Framework” of this paper) are frequent for several reasons including: (1) the number of recreational fishing licenses has increased in the last decades, making increasing the frequency of interactions especially by boat; (2) more powerful and modern recreational boats, new technology (GPS, echo sounds, etc.) and technological advances in fishing gears have increased their fishing effort and efficiency; (3) IUU fishing and illegal trade of catches by some recreational fishers is a relevant problem in some areas, with implications for public health due to poisoning by marine toxins; (4) although the increase in research made in the last decade (see Figure 2), information on environmental impacts of MRF is still scarce, especially among fisheries managers and commercial fishers, leading to speculation about impacts; and (5) fisher organizations are very different between commercial and recreational sectors. While commercial fishers are integrated in strong and cohesive organizations, less than 5% of marine recreational fishers belong to a federation or fishing club (Pascual Fernández et al., 2012; Pita et al., 2017). Boat anglers and spear fishers are more likely to belong to an organization compared with to shore anglers, which alongside the use of social networks has helped to make their voice heard (Pita et al., 2017).
Recurrent conflict between the commercial and recreational sectors is taking place in MPAs (Pascual-Fernández et al., 2015), which is associated with the discourse of part of the recreational sector during the ISMAREF 2018 with advantages for commercial fishers regarding larger limitations in the regulations for MRF. The first Spanish regulations for MRF were created to protect marine resources from excessive fishing pressure and to reduce competition for commercial fishing (Gobierno de España, 1963, 1965). Currently, some MPAs include restrictions for MRF (mostly spear and boat fishing), while some commercial fishing is allowed (Pita et al., 2018b). Although in most of these MPAs there are also important restrictions to commercial fishing, these situations are a potential source of tensions between stakeholders, managers and policy makers.
In order to reduce the conflicts between these groups a new relationship should be established that facilitates interchange and agreement between commercial and recreational fishing sectors, facilitating the management by public administrations. This may require a higher level of organization of the recreational sector and collaboration between the sectors to fight poaching in fisheries. It is important to consider what is happening in the United States (Boucquey, 2017) and Southwest Australia (Brown, 2016; Voyer et al., 2017), where public policies are favoring recreational over commercial fisheries, leading to undesired loss of valuable provisioning ecosystem services to local populations.
Active involvement of fishers in co-management was proposed by some experts to reduce these conflicts. Engagement of fishers in fisheries management is the case in many fisheries, for example Galician shell fishers have made use of Territorial User Rights to Fisheries (TURFs) since the early 1990s (Pita et al., 2019). Furthermore, the recent entry into force of specific regulations on fisheries co-management (Generalitat de Catalunya, 2018), might provide legal security to strengthen and expand co-management initiatives to include the recreational sector.
Statements
Data availability statement
The datasets generated for this study are available on request to the corresponding author.
Author contributions
PP, JA, MA, IA, SB-P, ACa, ACu, TF, JB, JG-C, AG, KH, JL, BM-N, EM, OS, JP-F, JR, VS, ES, LZ, and SV collected the information and participated in the writing and editing of the manuscript.
Funding
This work received funds from the Xunta de Galicia under the modality of Grupos de Referencia Competitiva (Grant ED431C2019/11), RECREGES I and II projects under Grants ED481B2014/034-0 and ED481B2018/017, and SICORE project, funded by the Fundación Biodiversidad, Ministerio para la Transición Ecológica, Gobierno de España, Pleamar program, which is cofounded by the European Maritime and Fisheries Fund. SV acknowledges the financial the European COST Action “Ocean Governance for Sustainability – challenges, options and the role of science,” the ICES Science Fund Project “Social Transformations of Marine Social-Ecological Systems,” and the CYTED program for the ECOMAR Network. JP-F received funds from the project “Governance challenges for sustainable small-scale fisheries: creating synergies with marine conservation and tourism” (GOBAMP II, CSO2013-45773-R), financed by Ministry of Economy and Competitiveness of Spain. JA was supported by a JDC postdoctoral research grant funded by the Spanish Ministry of Economy, Industry and Competitiveness (ref. IJCI-2016-27681) and a Ramon y Cajal Grant funded by the Spanish Ministry of Science, Innovation and Universities (grant no. RYC2018-024488-I).
Conflict of interest
The authors declare that the research was conducted in the absence of any commercial or financial relationships that could be construed as a potential conflict of interest.
References
1
Alós J. Palmer M. Catalan I. A. Alonso-Fernández A. Basterretxea G. Jordi A. et al (2014). Selective exploitation of spatially structured coastal fish populations by recreational anglers may lead to evolutionary downsizing of adults.Mar. Ecol. Prog. Ser.503219–233. 10.3354/meps10745
2
Alós J. Palmer M. Grau A. M. (2009). Mortality of Diplodus annularis and Lithognathus mormyrus released by recreational anglers: implications for recreational fisheries management.Fish. Manag. Ecol.16298–305. 10.1111/j.1365-2400.2009.00675.x
3
Alós J. Palmer M. Rosselló R. Arlinghaus R. (2016). Fast and behavior-selective exploitation of a marine fish targeted by anglers.Sci. Rep.6:38093. 10.1038/srep38093
4
Anacleto P. Figueiredo C. Baptista M. Maulvault A. L. Camacho C. Pousão-Ferreira P. et al (2018). Fish energy budget under ocean warming and flame retardant exposure.Environ. Res.164186–196. 10.1016/j.envres.2018.02.023
5
Arlinghaus R. Lorenzen K. Johnson B. M. Cooke S. J. Cowx I. J. (2015). “Management of freshwater fisheries: addressing habitat, people and fishes,” in Freshwater Fisheries Ecology, ed.CraigJ. F. (Chichester: Wiley-Blackwell), 557–579. 10.1002/9781118394380.ch44
6
Arlinghaus R. Tillner R. Bork M. (2014). Explaining participation rates in recreational fishing across industrialised countries.Fish. Manag. Ecol.2245–55. 10.1111/fme.12075
7
Barange M. Bahri T. Beveridge M. C. M. Cochrane K. L. Funge-Smith S. Poulain F. (2018). Impacts of Climate Change on Fisheries and Aquaculture: Synthesis of Currrent Knowledge, Adaptation and Mitigation Options.Rome: FAO Fish, 627.
8
Barange M. Perry R. I. (2009). “Physical and ecological impacts of climate change relevant to marine and inland capture fisheries and aquaculture,” in Climate Change Implications for Fisheries and Aquaculture Overview of Current Scientific Knowledge, edsCochraneK.YoungC.De SotoD.BahriT. (Rome: FAO).
9
Boada J. Sagué O. Gordoa A. (2017). Spearfishing data reveals the littoral fish communities’ association to coastal configuration.Estuar. Coast. Shelf Sci.199152–160. 10.1016/j.ecss.2017.10.007
10
Boucquey N. (2017). ‘That’s my livelihood, it’s your fun’: the conflicting moral economies of commercial and recreational fishing.J. Rural Stud.54138–150. 10.1016/j.jrurstud.2017.06.018
11
Brown C. J. (2016). Social, economic and environmental effects of closing commercial fisheries to enhance recreational fishing.Mar. Policy73204–209. 10.1016/j.marpol.2016.08.010
12
Cabanellas-Reboredo M. Alós J. March D. Palmer M. Jordà G. Palmer M. (2014). Where and when will they go fishing? Understanding fishing site and time choice in a recreational squid fishery.ICES. J. Mar. Sci.711760–1773. 10.1007/s13280-018-1075-2
13
Cabanellas-Reboredo M. Alós J. Palmer M. Morales-Nin B. (2012). Environmental effects on recreational squid jigging fishery catches.ICES J. Mar. Sci.691823–1830. 10.1093/icesjms/fss159
14
Cabanellas-Reboredo M. Palmer M. Alós J. Morales-Nin B. (2017). Estimating harvest and its uncertainty in heterogeneous recreational fisheries.Fish. Res.188100–111. 10.1016/j.fishres.2016.12.008
15
Cardona F. Morales-Nin B. (2013). Anglers’ perceptions of recreational fisheries and fisheries management in Mallorca.Ocean Coast. Manag.82146–150. 10.1016/j.ocecoaman.2013.06.006
16
Carozza D. A. Bianchi D. Galbraith E. D. (2019). Metabolic impacts of climate change on marine ecosystems: Implications for fish communities and fisheries.Glob. Ecol. Biogeogr.28158–169. 10.1111/geb.12832
17
Cheung W. W. L. Lam V. W. Y. Sarmiento J. L. Kearney K. Watson R. Pauly D. (2009). Projecting global marine biodiversity impacts under climate change scenarios.Fish Fish.10235–251. 10.1111/j.1467-2979.2008.00315.x
18
Cheung W. W. L. Pitcher T. J. Pauly D. (2005). A fuzzy logic expert system to estimate intrinsic extinction vulnerabilities of marine fishes to fishing.Biol. Conserv.12497–111. 10.1016/j.biocon.2005.01.017
19
Cheung W. W. L. Sarmiento J. L. Dunne J. Frölicher T. L. Lam V. W. Y. Palomares M. L. D. et al (2013). Shrinking of fishes exacerbates impacts of global ocean changes on marine ecosystems.Nat. Clim. Chang.3:254. 10.1038/nclimate1691
20
Cinner J. E. Adger W. N. Allison E. H. Barnes M. L. Brown K. Cohen P. J. et al (2018). Building adaptive capacity to climate change in tropical coastal communities.Nat. Clim. Chang.8117–123. 10.1007/s13280-015-0652-x
21
Coll J. M. L. García-Rubies A. Riera F. Grau A. M. (2004). Spear fishing in the Balearic Islands (west central Mediterranean): species affected and catch evolution during the period 1975–2001.Fish. Res7097–111. 10.1016/j.fishres.2004.05.004
22
Cortés-Jiménez I. (2008). Which type of tourism matters to the regional economic growth? The cases of Spain and Italy.Int. J. Tour. Res.10127–139. 10.1002/jtr.646
23
Council of the European Union (2001). Council Regulation (EC) No 1936/2001 of 27 September 2001 Laying Down Control Measures Applicable to Fishing for Certain Stocks of Highly Migratory Fish.Brussels: Official Journal of the European Union.
24
Daufresne M. Lengfellner K. Sommer U. (2009). Global warming benefits the small in aquatic ecosystems.Proc. Natl. Acad. Sci.10612788–12793. 10.1073/pnas.0902080106
25
Generalitat de Catalunya (2018). Decree 118/2018, of 19 June, on the Governance Model for Professional Fishing in Catalonia.Barcelona. Diari Oficial de la Generalitat de Catalunya.
26
Dedeu A. L. Boada J. Gordoa A. (2019). The first estimates of species compositions of Spanish marine recreational fishing reveal the activity’s inner and geographical variability.Fish. Res.21665–73. 10.1016/j.fishres.2019.03.025
27
Depellegrin D. Venier C. Kyriazi Z. Vassilopoulou V. Castellani C. Ramieri E. et al (2019). Exploring multi-use potentials in the euro-mediterranean sea space.Sci. Total Environ.653612–629. 10.1016/j.scitotenv.2018.10.308
28
Drius M. Bongiorni L. Depellegrin D. Menegon S. Pugnetti A. Stifter S. (2019). Tackling challenges for Mediterranean sustainable coastal tourism: An ecosystem service perspective.Sci. Total Environ.6521302–1317. 10.1016/j.scitotenv.2018.10.121
29
European Commission (2016). Commission Implementing Decision (EU) 2016/1251 of 12 July 2016 Adopting a Multiannual Union Programme for the Collection, Management and use of Data in the Fisheries and Aquaculture Sectors for the Period 2017-2019.Brussels: Official Journal of the European Union.
30
European Parliament (2018). European Parliament Resolution of 12 June 2018 on the State of Play of Recreational Fisheries in the European Union.Brussels: European Parliament.
31
European Parliament and Council of the European Union (2017). Regulation (EU) 2017/1004 of the European Parliament and of the Council of 17 May 2017 on the Establishment of a Union framework for the Collection, Management and use of Data in the Fisheries Sector and Support for Scientific Advice Regarding the Common.Brussels: Official Journal of the European Union.
32
European Parliament and Council of the European Union (2013). Regulation (EU) No 1380/2013 of the European Parliament and of the Council of 11 December 2013 on the Common Fisheries Policy.Brussels: Official Journal of the European Union.
33
Font T. Gil J. Lloret J. (2018). The commercialization and use of exotic baits in recreational fisheries in the north-western mediterranean: environmental and management implications.Aquat. Conserv. Mar. Freshw. Ecosyst28651–661. 10.1002/aqc.2873
34
Font T. Lloret J. (2011). Biological implications of recreational shore angling and harvest in a marine reserve: the case of Cape Creus.Aquat. Conserv. Mar. Freshw. Ecosyst.21210–217. 10.1002/aqc.1167
35
Giovos I. Keramidas I. Antoniou C. Deidun A. Font T. Kleitou P. et al (2018). Identifying recreational fisheries in the Mediterranean Sea through social media.Fish. Manag. Ecol.25287–295. 10.1111/fme.12293
36
Gobierno de España (1963). Orden de 3 de Diciembre de 1963 por la que se Aprueba el Reglamento de Pesca Marítima de Recreo, Chap. Madrid. Boletín Oficial del Estado.
37
Gobierno de España (1965). Orden de 30 de julio de 1965 Sobre Modificación del Artículo Cuarto del Reglamento de Pesca Marítima de Recreo.Madrid: Boletín Oficial del Estado.
38
Gobierno de España (2018). La flota española. Situación a 31 de Diciembre de 2018.Madrid: Gobierno de España.
39
Goodman L. A. (1961). Snowball sampling.Ann. Math. Stat.32148–170. 10.1214/aoms/1177705148
40
Gordoa A. (2009). Characterization of the infralittoral system along the north-east Spanish coast based on sport shore-based fishing tournament catches.Estuar. Coast. Shelf Sci.8241–49. 10.1016/j.ecss.2008.11.024
41
Gordoa A. Borrego J. R. Caillart B. De La Serna J. M. Di Natale A. Franqueza R. et al (2004). Sport Fishing: an Informative and Economic Alternative for Tuna Fishing in the Mediterranean (SFITUM). Final Report. EC PR 98, 34.Brussels: European Commission.
42
Gordoa A. Dedeu A. L. Boada J. (2019). Recreational fishing in Spain: First national estimates of fisher population size, fishing activity and fisher social profile.Fish. Res.2111–12. 10.1016/j.fishres.2018.10.026
43
Gourguet S. Briand F. Marçalo A. Ünal V. Liu Y. Kaiser B. et al (2018). “Engaging marine scientists and fishers to share knowledge and perceptions – An overview,” in CIESM Monograph 50. Engaging Marine Scientists and Fishers to Share Knowledge and Perceptions-Early Lessons, ed.BriandF. (Monaco and Paris: CIESM Publisher), 5–27.
44
Griffiths S. P. Bryant J. Raymond H. F. Newcombe P. A. (2016). Quantifying subjective human dimensions of recreational fishing: does good health come to those who bait?Fiish Fish.18171–184. 10.1111/faf.12149
45
Hoegh-Guldberg O. Bruno J. F. (2010). The impact of climate change on the world’s marine ecosystems.Science (80-.).3281523–1528. 10.1126/science.1189930
46
Hyder K. Radford Z. Prellezo R. Weltersbach M. S. Lewin W. C. Zarauz L. et al (2017). Research for PECH Committee - Marine Recreational and Semi-Subsistence Fishing - its Value and Its Impact on Fish Stocks.Brussels: European Parliament and Council of the European Union.
47
Hyder K. Rossberg A. G. Allen J. I. Austen M. C. Barciela R. M. Bannister H. J. et al (2015). Making modelling count-increasing the contribution of shelf-seas community and ecosystem models to policy development and management.Mar. Policy61291–302. 10.1016/j.marpol.2015.07.015
48
Hyder K. Weltersbach M. S. Armstrong M. Ferter K. Townhill B. Ahvonen A. et al (2018). Recreational sea fishing in Europe – Participation rates, fishing effort and expenditure in a global context.Fish Fish.19225–243. 10.1111/faf.12251
49
ICES (2018a). Cod (Gadus morhua) in Subdivisions 22–24, Western Baltic Stock (western Baltic Sea).Copenhagen: ICES.
50
ICES (2018b). Report of the Baltic Salmon and Trout Assessment Working Group (WGBAST).Copenhagen: ICES.
51
ICES (2018c). Sea bass (Dicentrarchus labrax) in Divisions 4.b–c, 7.a, and 7.d–h (central and southern North Sea, Irish Sea, English Channel, Bristol Channel, and Celtic Sea).Copenhagen: ICES.
52
Jones C. M. Pollock K. H. (2012). “Recreational angler survey methods: estimation of effort, harvest, and released catch,” in Fisheries Techniques Manual, edsZaleA. V.ParrishD. L.SuttonT. M. (Bethesda, MD: American Fisheries Society), 883–919.
53
Kersting D. (2016). Cambio climático en el medio marino español: impactos, vulnerabilidad y adaptación.Madrid: Ministerio de Agricultura, Alimentación y Medio Ambiente.
54
Kleiven A. R. Moland E. Kleiven A. R. Fernandez-chacon A. Nordahl J. Moland E. (2016). Harvest pressure on coastal atlantic cod (Gadus morhua) from recreational fishing relative to commercial fishing assessed from tag-recovery data.PLoS One11:e0149595. 10.1371/journal.pone.0149595
55
Langangen Ø Färber L. Stige L. C. Diekert F. K. Barth J. M. I Matschiner M. et al (2019). Ticket to spawn: combining economic and genetic data to evaluate the effect of climate and demographic structure on spawning distribution in Atlantic cod.Glob. Chang. Biol25134–143. 10.1111/gcb.14474
56
Lloret J. Cowx I. G. Cabral H. Castro M. Font T. Gonçalves J. M. S. et al (2016). Small-scale coastal fisheries in European Seas are not what they were: ecological, social and economic changes.Mar. Policy.98176–186. 10.1016/j.marpol.2016.11.007
57
Lloret J. Garrote A. Balasch N. Font T. (2014). Estimating recreational fishing tackle loss in Mediterranean coastal areas: Potential impacts on wildlife.Aquat. Ecosyst. Health Manag.17179–185. 10.1080/14634988.2014.910070
58
Lloret J. Zaragoza N. Caballero D. Font T. Casadevall M. Riera V. (2008). Spearfishing pressure on fish communities in rocky coastal habitats in a Mediterranean marine protected area.Fish. Res.9484–91. 10.1016/j.fishres.2008.07.002
59
Lloret J. Biton-Porsmoguer S. Carreño A. Di Franco A. Sahyoun R. Melià P. et al (2019). Recreational and small-scale fisheries may pose a threat to vulnerable species in coastal and offshore waters of the western Mediterranean.ICES J. Mar. Sci2019:fsz071. 10.1093/icesjms/fsz071
60
Martínez-Carbajal V. (2018). Estudio del Impacto Socioeconómico de la Pesca Recreativa en España.Madrid: Ministerio De Agricultura, Pesca Y Alimentación.
61
Maurstad A. (2002). Fishing in murky waters—ethics and politics of research on fisher knowledge.Mar. Policy26159–166. 10.1016/S0308-597X(01)00045-8
62
Maynou F. Morales-Nin B. Cabanellas-Reboredo M. Palmer M. García E. Grau A. M. (2013). Small-scale fishery in the balearic Islands (W Mediterranean): a socio-economic approach.Fish. Res.13911–17. 10.1016/j.fishres.2012.11.006
63
McLean M. J. Mouillot D. Goascoz N. Schlaich I. Auber A. (2019). Functional reorganization of marine fish nurseries under climate warming.Glob. Chang. Biol.25660–674. 10.1111/gcb.14501
64
Merino G. Morales-Nin B. Maynou F. Grau A. M. (2008). Assessment and bioeconomic analysis of the Majorca (NW Mediterranean) trammel net fishery.Aquat. Living Resour.2199–107. 10.1051/alr:2008027
65
Miller D. D. Ota Y. Sumaila U. R. Cisneros-Montemayor A. M. Cheung W. W. L. (2018). Adaptation strategies to climate change in marine systems.Glob. Chang. Biol24e1–e14. 10.1111/gcb.13829
66
Monkman G. G. Kaiser M. J. Hyder K. (2018a). Heterogeneous public and local knowledge provides a qualitative indicator of coastal use by marine recreational fishers.J. Environ. Manage.228495–505. 10.1016/j.jenvman.2018.08.062
67
Monkman G. G. Kaiser M. Hyder K. (2018b). The ethics of using social media in fisheries research.Rev. Fish. Sci. Aquac.26235–242. 10.1080/23308249.2017.1389854
68
Monkman G. G. Kaiser M. J. Hyder K. (2018c). Text and data mining of social media to map wildlife recreation activity.Biol. Conserv.22889–99. 10.1016/j.biocon.2018.10.010
69
Morales-Nin B. Alós J. (2018). “¿La pesca recreativa cosa de hombres?,” in in I International Symposium on Marine Recreational Fishing, (Spain), 42.
70
Morales-Nin B. Cardona-Pons F. María Grau A. García E. Alvarez I. Pérez-Mayol S. (2013). Does angling activity influence consumer choices of fresh fish?Br. Food J.1151054–1066. 10.1108/bfj-04-2011-0096
71
Morales-Nin B. Cardona-Pons F. Maynou F. Grau A. M. (2015). How relevant are recreational fisheries? Motivation and activity of resident and tourist anglers in Majorca.Fish. Res.16445–49. 10.1016/j.fishres.2014.10.010
72
Morales-Nin B. Grau A. M. Palmer M. (2010). Managing coastal zone fisheries: a Mediterranean case study.Ocean Coast. Manag.5399–106. 10.1016/j.ocecoaman.2010.01.003
73
Morales-Nin B. Moranta J. García C. Tugores M. P. Grau A. M. Riera F. et al (2005). The recreational fishery off Majorca Island (western Mediterranean): some implications for coastal resource management.ICES J. Mar. Sci.62727–739. 10.1016/j.icesjms.2005.01.022
74
Palas S. Villasante S. Pita P. (2017). Combining fishers’ knowledge and cost-effective monitoring tools in the management of marine recreational fisheries: a case study of the squid and cuttlefish fishery of the Ría of Vigo (NW Spain).Fish. Manag. Ecol.24469–477. 10.1111/fme.12255
75
Palmer M. Balle S. March D. Alós J. Linde M. (2011). Size estimation of circular home range from fish mark-release-(single)-recapture data: case study of a small labrid targeted by recreational fishing.Mar. Ecol. Prog. Ser.43087–97. 10.3354/meps09109
76
Pascual Fernández J. J. Mederos I. C. Talavera A. S. Sosa P. M. Darias A. R. Gregori P. E. M. (2012). La Pesca Recreativa en Tenerife y su regulación. St. Cruz Tenerife Cabil.Tenerife: Insul.
77
Pascual-Fernández J. J. Chinea-Mederos I. De la Cruz-Modino R. (2015). ““Marine protected areas, small-scale commercial versus recreational fishers: governability challenges in the Canary Islands, Spain,” in Interactive Governance for Small-Scale Fisheries, edsJentoftS.ChuenpagdeeR. (Berlin: Springer), 397–412. 10.1007/978-3-319-17034-3_21
78
Peña-Alonso C. Ariza E. Hernández-Calvento L. Pérez-Chacón E. (2018). Exploring multi-dimensional recreational quality of beach socio-ecological systems in the Canary Islands (Spain).Tour. Manag.64303–313. 10.1016/j.tourman.2017.09.008
79
Phillips B. F. Pérez-Ramírez M. (2017). Climate Change Impacts on Fisheries and Aquaculture: A Global Analysis.Hoboken, NJ: John Wiley & Sons.
80
Pita P. Artetxe I. Diogo H. Gomes P. Gordoa A. Hyder K. et al (2017). Research and management priorities for Atlantic marine recreational fisheries in Southern Europe.Mar. Policy861–8. 10.1016/j.marpol.2017.08.030
81
Pita P. Fernández-Márquez D. Antelo M. Macho G. Villasante S. (2019). Socioecological changes in data-poor S-fisheries: a hidden shellfisheries crisis in Galicia (NW Spain).Mar. Policy101208–224. 10.1016/j.marpol.2018.09.018
82
Pita P. Freire J. (2014). The use of spearfishing competition data in fisheries management: evidence for a hidden near collapse of a coastal fish community of Galicia (NE Atlantic Ocean).Fish. Manag. Ecol.21454–469. 10.1111/fme.12095
83
Pita P. Freire J. (2016). Assessing the impact of spear fishing by using competitions records and underwater visual census.Sci. Mar.8027–38. 10.3989/scimar.04352.15A
84
Pita P. Hyder K. Gomes P. Pita C. Rangel M. Veiga P. et al (2018a). Economic, social and ecological attributes of marine recreational fisheries in Galicia.Spain. Fish. Res.20858–69. 10.1016/j.fishres.2018.07.014
85
Pita P. Villasante S. (2019). The building of a management system for marine recreational fisheries in Galicia (NW Spain).Ocean Coast. Manag.169191–200. 10.1016/j.ocecoaman.2018.12.027
86
Pita P. Villasante S. Arlinghaus R. Gomes P. Strehlow H. V. Veiga P. et al (2018b). A matter of scales: does the management of marine recreational fisheries follow the ecosystem approach to fisheries in Europe?Mar. Policy9761–71. 10.1016/j.marpol.2018.08.039
87
Pollock K. H. Jones C. M. Brown T. L. (1994). Angler survey methods and their application in fisheries management.Reviews in Fish Biology and Fisheries5378.
88
Radford Z. Hyder K. Zarauz L. Mugerza E. Ferter K. Prellezo R. et al (2018). The impact of marine recreational fishing on key fish stocks in European waters.PLoS One13:e0201666. 10.1371/journal.pone.0201666
89
Rogers L. A. Dougherty A. B. (2019). Effects of climate and demography on reproductive phenology of a harvested marine fish population.Glob. Chang. Biol.25708–720. 10.1111/gcb.14483
90
Sandoval V. Santolini E. García-Charton J. A. (2018). “Efectos del cambio climático en la pesca marítima recreativa,” in I International Symposium on Marine Recreational Fishing, (Spain), 15.
91
Santana A. (1997). Antropología y turismo: ¿nuevas hordas, viejas culturas?Rev. Española Investig. Sociológicas1223–225.
92
Sbragaglia V. Correia R. A. Coco S. Arlinghaus R. (2019). Data mining on YouTube reveals fisher group-specific harvesting patterns and social engagement in recreational anglers and spearfishers.ICES J. Mar. Sci.2019:fsz100. 10.1093/icesjms/fsz100
93
Strehlow H. V. Schultz N. Zimmermann C. Hammer C. (2012). Cod catches taken by the German recreational fishery in the western Baltic Sea, 2005–2010: implications for stock assessment and management.ICES J. Mar. Sci.691769–1780. 10.1093/icesjms/fss152
94
Templado J. (2011). “La diversidad marina en España,” in Biodiversidad: Aproximación a la Diversidad Botánica y Zoológica en España. Memorias de la Real Sociedad Española de Historia Natural, Segunda época, ed.ViejoJ. L. (Madrid: Tomo), 343–362.
95
Townhill B. L. Radford Z. Pecl G. van Putten I. Pinnegar J. K. Hyder K. (2019). Marine recreational fishing and the implications of climate change.Fish Fish.20977–992. 10.1111/faf.12392
96
Venturelli P. A. Hyder K. Skov C. (2017). Angler apps as a source of recreational fisheries data: opportunities, challenges and proposed standards.Fish Fish.18578–595. 10.1111/faf.12189
97
Verbeke W. Sioen I. Pieniak Z. Van Camp J. De Henauw S. (2005). Consumer perception versus scientific evidence about health benefits and safety risks from fish consumption.Public Health Nutr.8422–429. 10.1079/phn2004697
98
Villasante S. Macho G. Antelo M. Isusi de Rivero J. Rivero Rodriguez S. Zeller D. et al (2016). Estimates of total Removals of Marine Fisheries Catches in the Northwest of Spain (1950-2010).Washington, DC: Island Press.
99
Voyer M. Barclay K. McIlgorm A. Mazur N. (2017). Connections or conflict? A social and economic analysis of the interconnections between the professional fishing industry, recreational fishing and marine tourism in coastal communities in NSW, Australia.Mar. Policy76114–121. 10.1016/j.marpol.2016.11.029
100
Zarauz L. Ruiz J. Urtizberea A. Andonegi E. Mugerza E. Artetxe I. (2015). Comparing different survey methods to estimate European sea bass recreational catches in the Basque Country.ICES J. Mar. Sci.721181–1191. 10.1093/icesjms/fsv054
Summary
Keywords
marine recreational fisheries, participation rates, socio-ecological relevance, fisheries science, Spain
Citation
Pita P, Alós J, Antelo M, Artetxe I, Biton-Porsmoguer S, Carreño A, Cuadros A, Font T, Beiro J, García-Charton JA, Gordoa A, Hyder K, Lloret J, Morales-Nin B, Mugerza E, Sagué O, Pascual-Fernández JJ, Ruiz J, Sandoval V, Santolini E, Zarauz L and Villasante S (2020) Assessing Knowledge Gaps and Management Needs to Cope With Barriers for Environmental, Economic, and Social Sustainability of Marine Recreational Fisheries: The Case of Spain. Front. Mar. Sci. 7:23. doi: 10.3389/fmars.2020.00023
Received
30 July 2019
Accepted
13 January 2020
Published
31 January 2020
Volume
7 - 2020
Edited by
Tomaso Fortibuoni, Higher Institute for Environmental Protection and Research (ISPRA), Italy
Reviewed by
Jennifer Leigh Bailey, Norwegian University of Science and Technology, Norway; Ioannis Giovos, iSea, Greece
Updates
Copyright
© 2020 Pita, Alós, Antelo, Artetxe, Biton-Porsmoguer, Carreño, Cuadros, Font, Beiro, García-Charton, Gordoa, Hyder, Lloret, Morales-Nin, Mugerza, Sagué, Pascual-Fernández, Ruiz, Sandoval, Santolini, Zarauz and Villasante.
This is an open-access article distributed under the terms of the Creative Commons Attribution License (CC BY). The use, distribution or reproduction in other forums is permitted, provided the original author(s) and the copyright owner(s) are credited and that the original publication in this journal is cited, in accordance with accepted academic practice. No use, distribution or reproduction is permitted which does not comply with these terms.
*Correspondence: Pablo Pita, pablo.pita@usc.es
This article was submitted to Marine Affairs and Policy, a section of the journal Frontiers in Marine Science
Disclaimer
All claims expressed in this article are solely those of the authors and do not necessarily represent those of their affiliated organizations, or those of the publisher, the editors and the reviewers. Any product that may be evaluated in this article or claim that may be made by its manufacturer is not guaranteed or endorsed by the publisher.