Abstract
The small-scale fisheries play a critical role in food security and income of coastal fishing communities. However, climate variability and its impacts are affecting fishers, their communities, and fishing grounds. This study aimed to determine the perceived impacts of climate change and vulnerability of small-scale fisheries in selected fishing communities around the Davao Gulf. A semi-structured questionnaire was used to gather data on the perceptions of fishers (N = 220) on the impacts of climate change on their livelihood and communities. Seven focus groups corroborated the collected data and conclusions reached (N = 15). Principal component analysis (PCA) was used to reduce the sources of vulnerability and number of impacts of climate change. Regression was used to determine factors influencing the catch per unit effort (CPUE). The PCA results showed that for the vulnerability, the sources, coral bleaching, inadequate food, lack of credit access, changes in weather pattern and hotter temperature contributed highly. For the climate change impacts, the factors, less seasonality, unclear reproductive patterns, diseases in the catch, invasive species, decrease in catch and venturing farther to fish offshore were substantially influential. Further analysis showed that disease and invasive species, decrease in fish catch, fishing farther offshore, and monthly income affected the CPUE of the fisheries. Recommendations for climate change vulnerability reduction based on the conclusions reached in this study include more financial credit access, apprehension of illegal fishers, increased capacity building and technical skills for coastal communities, supplemental livelihoods, and information dissemination on climate change adaptation strategies.
Introduction
Climate change is projected to affect the distribution and abundances of several finfish species in the Philippines (Geronimo, 2018; Tan et al., 2018) and other species worldwide (IPBES, 2019). This gives high uncertainties about future vulnerability, exposure, and responses of interlinked human and natural systems (IPCC, 2014). Because of this, there is an urgent need to locally assess the vulnerability of the fisheries to climate change impacts. This was no less than recommended in the case of the Philippine fisheries in recent publications discussing climate change impacts in the Philippines (Sales, 2009; Mamauag et al., 2013; Jacinto et al., 2015; Macusi et al., 2020) and economic modeling on impacts of climate change on marine capture fisheries (Suh and Pomeroy, 2020). The municipal fisheries of the Philippines mainly consist of small fishing boats that weigh less than three gross tons, manned by individual fishers or has a crew of two or three fishers. Fishers use a variety of fishing gears like fish traps, handline, small hook-and-line, longlines, multiple hook-and-lines, gillnets, liftnets and modified bagnets, and ringnets that land a decreasing volume of fish in Davao Gulf (Muallil et al., 2014a; Anticamara and Go, 2016). The municipal fisheries are very important for the food security and livelihood of the coastal fishing villages and the growing population of the country. It is also considered as a small-scale fisheries (Drury O’Neill et al., 2019). In 2018, the fishing industry contributed more than 16% (Php 122 billion; U$2.32 billion) to the agricultural sector and 1.3% to the GDP generating over Php 265 billion (U$5.03 billion) to the country’s economy with its 4.35 million metric tons of production (BFAR, 2019). However, this economic contribution is now threatened by climate change impacts, marine pollution, overexploitation and declining fish catches as a result of negligence on fisheries management and human impacts to the environment (Nañola et al., 2011; Macusi et al., 2020; Onda et al., 2020; Suh and Pomeroy, 2020). Assessing the vulnerability of small-scale fisheries to climate change impacts will therefore provide an evidence-based policy decision making that can be formulated by members of the local, regional and national government. The recent Intergovernmental Panel on Climate Change (IPCC) report defines vulnerability to climate change as: “The propensity or predisposition to be adversely affected and vulnerability encompasses a variety of concepts and elements including sensitivity or susceptibility to harm and lack of capacity to cope and adapt” (IPCC, 2014). According to this definition, the vulnerability of small-scale fisheries can be dependent on factors, or situations that could be exposing them to harm, and the presence of or lack of capacity to cope and adapt to these factors or situations. Given that the small-scale fisheries provide food and livelihood to fishers that are dependent on natural marine resources, they can be vulnerable to climatic variabilities. Previous studies have already demonstrated and analyzed the vulnerability of small-scale fisheries to climate change in developing countries and focused their assessment on fishing communities (Daw et al., 2009; Sales, 2009; Mamauag et al., 2013; Blair and Momtaz, 2018; Macusi et al., 2020). Some have provided insights on the vulnerability of the fisheries at a global scale (Allison et al., 2009), including making projections of catch redistribution under various climate change scenarios (Cheung et al., 2010), focused on environmental hazards namely flooding, rainfall and volcanism (Pati and Cruz, 2017; Cabrera and Lee, 2020; Yumul et al., 2011). Other studies delved on increasing frequency of floods, typhoons and warmer weather which were seen as evidence for the direct results of a changing climate with corresponding socioeconomic impacts (Cinco et al., 2016; de Lara-Tuprio et al., 2018).
In addition, there have been increasing concern over the consequences of climate change impacts to the fisheries sector and marine ecosystems (Brander, 2007; Perry et al., 2010). For instance, coastal and floodplain fisheries were subject to flooding and tsunamis while inland fisheries can be significantly affected by droughts and floods (Guerrero, 1999; Macusi et al., 2015a). Heavy unpredictable rains have been increasing in frequency and can increase nutrient inputs, affecting the oxygen levels of different water bodies (Vista et al., 2006; Macandog et al., 2014). Heavy rains through flooding can also introduce non-native species into new areas due to pond or reservoir overflow (Copp et al., 2007; Cunico and Vitule, 2014). Extreme climate events particularly high magnitude super-typhoons and increasing sea surface temperatures can impact productive coral reef ecosystems and the fish communities that depend on them (Eisner et al., 2008; Madin et al., 2012; Anticamara and Go, 2017). Due to a changing climate, typhoons have now become stronger in magnitude, longer in duration, more frequent in occurrence, and larger in scale (Faustino-Eslava et al., 2013; Lagmay et al., 2015). Their impacts on the goods and services provided by coral reefs, seagrass, and mangrove ecosystems are important to understand because the reduction of their abundance also affects fisheries productivity (Hoegh-Guldberg, 1999; Graham et al., 2007; Licuanan et al., 2019). Hence, by conducting vulnerability assessments in the different fisheries sectors, this can provide solutions in minimizing the impacts of climate change to ecosystem services provided by the marine ecosystem. Also, by identifying the linkages and evaluating the drivers of social and ecological vulnerability to climate change this could reduce climate change impacts on the fisheries sector (Kittinger et al., 2015; McClanahan et al., 2015; Macusi et al., 2020). Our study will first describe the current status of the fisheries, followed by perceptions of small-scale fishers in the Davao Gulf on the different sources of vulnerability and perceived fisheries impacts of climate change. From this collected data, we will explore the relationship between CPUE and vulnerability and impacts of climate change.
Materials and Methods
Description of Study Area
The study was conducted in the small-scale fishing communities of Governor Generoso and Lupon in Davao Oriental, Malita, and Don Marcelino in Davao Occidental and in Davao City (Figure 1). The municipality of Governor Generoso has a population of 55,109 with a land area 365.75 km2, and a poverty incidence of 34%. Lupon has a population of 65,785 with an area of 886.39 km2, and a poverty incidence of 25%. The third study site is Malita in Davao Occidental, with a population of 117,746 with an area of 883.37 km2. It has a poverty incidence of 57%. The fourth study site was Don Marcelino, Davao Occidental, with a population of 44,554 with an area of 407.30 km2 and has a poverty incidence of 60%. The last site was Davao City, considered as a highly urbanized city with a population of 1.62 million and an area of 2443.61 km2. It has a poverty incidence of 9%. The whole Davao region has an area of 20,357 km2, and 20% of the population of the island of Mindanao resides in this area. Its weather and climate pattern are considered fair, with rain scattered throughout the year, although December to April are considered as generally drier months. The months of March and April are considered as the hottest and driest months.
FIGURE 1

Map of the coastal study sites (municipalities) in dark gray around the Davao gulf.
The fishing communities in the study sites are largely composed of small-scale municipal fishers. They own boats that weigh less than 3 tons and fish within the municipal waters (10–15 km from the shoreline). Common fishing gears used are small hooks and line, multiple handline, long line, gillnet, scoopnets, fishtraps, liftnets, squid jiggers, and spear fishing (Villanueva, 2018). Boats are commonly made of laminated marine plywood, 12 ft long, with bamboo stabilizers, and powered by a single motor engine of 7–10 HP. The Davao Gulf is located in the southeastern part of Mindanao island and is one of the most productive fishing zones in the country, hosting about 47,000 fishers. It ranks as a high priority conservation area because of its status as a biodiversity hotspot (Ambal et al., 2012). It is known as a breeding and nursery ground for small and large pelagic species mainly bigeye scad, roundscads, dolphinfish, rainbow runners, flying fish, moonfish, frigate tuna, skipjack tuna, yellowfin tuna, sardines, and anchovies. There are also frequent sightings of whale sharks, dugongs and leatherback turtles which are endangered species. Unfortunately, commercial developments in many coastal areas, particularly in Tagum, Panabo, Davao and Digos cities have contributed to increasing marine pollution in the gulf (Abreo et al., 2016a,b).
The Questionnaire
The semi-structured questionnaire interview targeted 30 respondents per fishing village in the five study sites. The thirty respondents per fishing village, although a limited number, was sufficient to represent the subject population in the area (Mason, 2010; Dworkin, 2012). We have conducted similar studies with fishers in the past taking this minimum number of 30 respondents per barangay and using it for quantitative analyses in our previous studies (Macusi et al., 2015a,b, 2019, 2020). With this number, we found that the data can already reach saturation and redundancy of responses during the interviews. The survey was conducted on various dates in January 2020 in Governor Generoso, Lupon, in Davao Oriental; Bunawan and Lasang in Davao City and Malita and Don Marcelino in Davao Occidental with small-scale fishers. There was a total of N = 245 respondents that were encoded but after inspection of the data, some entries were removed because these fishers were considered as commercial fishers. Commercial fishers in the Philippines use active fishing gears like purse seine, ringnet and bagnet and have boats that weigh more than 3 tons under government classification. Their gears are focused on catching non-reef fish species offshore. Fishers fitting their criteria were therefore not included (the total number of analyzed respondents was reduced to N = 220). The questionnaire used in this study is made up of several parts, a socio-demographic profile of the respondents, income levels, fishing characteristics, catch characteristics and their sources of vulnerability and management aspects (see Macusi et al., 2020). The main aspects of the demographic profile included age, number of years fishing, number of years staying in the community, household size, educational and income levels from different sources and on different months. For the fishing characteristics the information gathered included principal and alternative fishing gear used, boat types, boat power, boat ownership, travel time, average fishing time, total fishing costs, catch of fishers, and species composition. Various ecological, financial and social vulnerability aspects were assessed using yes or no questions pertaining to the main sources of vulnerability including coral bleaching, inadequate food, typhoons, generally hotter weather, flooding and sea-level change. To further understand management tactics, questions on government fisheries resource planning and other aspects of management were asked. The research was carried out by sampling small-scale fishers found at landing sites, at home or in their barangays (villages). The interviews were conducted by the researchers in Cebuano, the local language of the fishers, and lasted for 30 min per respondent.
Focus Group Discussion
Focus group discussion (FGD) was used to validate the data gathered from the semi-structured interview. There were seven focus groups that were conducted in the various study sites from February 12 to 13, 2020 in Bunawan and Lasang in Davao City, and from February 19 to 21, 2020 in Sta. Maria, Malita and Don Marcelino, and Lupon and Governor Generoso with average attendance of 15 individuals. The objective of the FGD was to further elicit answers on the present problems of the fisheries in the area, as well as their solutions to these problems. Questions on common impacts of climate change were also asked, and what adaptation practices had the fishers applied. Various stakeholders participated in the focus groups mainly from the women’s association, fishers, barangay chairmen of the fisheries and farming associations, barangay captains, and some of the fish and farming produce vendors. We expected that the additional information from these stakeholders could provide further insights on climate change impacts and adaptation.
Data Analysis
After quantitative and qualitative data were compiled using Microsoft Excel (2016), factors were encoded in order to organize and review the data. To compare the sociodemographic characteristics of the respondents, data was summarized into statistical components and frequency tables. The different indicators of vulnerability (eight factors) such as ecological e.g., coral bleaching, social e.g., inadequate food, financial e.g., lack of credit source for livelihood (money to be used for a fishing operation i.e., fuel, bait, food, replacement of damaged fishing gear); natural disasters e.g., typhoons, flooding, sea level change, changing weather patterns and generally hotter temperatures were coded as 0 or 1 for negative and positive responses in order to be processed for statistical analysis. The impacts of climate change to the fisheries (nine factors), included, less seasonality (inconsistent seasonal changes for instance monsoon winds), changes in species distribution (spatial distribution within Davao Gulf) and reproductive patterns (this refers to the spawning of fish and its gravid stages which has been observed by fishers first hand through their catches, the processing of products, and consumption), and species composition (various species caught by the fishers), vessel gear replacement, diseases of the catch, increased number of invasive species, decrease in catch, and venturing farther offshore to catch fish etc. The same data coding was done for the impacts of climate change to the fisheries. These different indicators of vulnerability and climate change impacts to the fisheries were surveyed, whether they have experienced or observed such impacts to be happening in their environment or in their livelihoods. The data was analyzed using principal component analysis (PCA) and three factors were identified from each of the sources of vulnerability and impacts of climate change to the fisheries. These factors were summarized in table form and their factor loadings and variance were explained in the results. The extracted scores from the PCA was used for regression analysis together with the other fisheries variables that were selected. All PCA analyses for the vulnerability and climate change impacts were done using SPSS version 21 (IBM, Armonk, New York).
Only the following quantitative fisheries data, household size, age, number of years in the community, number of years fishing, boat power, price value, monthly income, and fishing costs (costs of fuel, food, bait, and ice) were included in the final analysis. The fisheries data collected from the interviews have values that were similar to the previous study in Mati (Davao Oriental) and Cantilan (Surigao del Sur) (Macusi et al., 2020). The values of a normal daily catch was 6 and 7 kg/trip, and fish price of Php 133 ($2.77) and Php 147 ($3.06) were comparable to the catches found in the previous study of 5.3 kg/trip and fish price of Php 90 ($1.87), consistent with decreases in decadal catch when compared to previous studies (Muallil et al., 2014a,b).
In this study, the catch per unit effort (CPUE) was computed based on a day’s normal (average) catch and the average number of hours of a fishing trip. Since CPUE was calculated in this manner, revenue was not included in the final computation as this would have increased the possibility for multicollinearity in the regression analysis. The number of fishing hours was not also included in the regression since this was already used as effort data for the computation of the CPUE). Only the following data were included in the multiple regression analysis: age of fisher, boat power (HP), fishing cost (Php), price of fish (Php), income of fisher (Php), and the six derived variables from the PCA scores. The derived variables were renamed as weathertemp, foodaccesscredit, coralbleach, speciescompodist, decatcshore, and seasonrep. Normality was checked using plotted graphs for the catch data and probability plots (pplots) for the CPUE prior to conducting multiple linear regression analysis. If data output was not normally distributed then a log10 transformation was applied to sustain a normal distribution and homogeneous response variable. Analyses were performed using Minitab version 17.0 (State College, Pennsylvania, United States). Qualitative data coming from the FGD were organized and coded into themes based on the issues highlighted and their frequencies of mention.
Results
Fishers’ Characteristics
Based on the survey, fishers have an average age of 45 years and ranged from 18 to 73 years old. Their mean household size was five, and ranged from 1 to 13 individuals including young children. Fishers lived in their communities for an average of 33 years, staying anywhere between 1 and 69 years. They also have an average fishing experience of 24 years that ranged from 1 to 64 years. Their boats are powered by 8 HP engines, normally spending 7 h per fishing trip. In addition, the cost of fishing mainly came from fuel expenses during travel to the fishing ground and cost an average of Php 372 (U$7.75) per fishing trip although it can go as high as Php 1,735 (U$36.15). The average price of fish was Php 148 (U$3.08) and could go from Php 40 to Php 300. Fish catch was divided into worst, normal, and best catches. The worst reported catch was 3 kg and ranged from 0.7 to 15 kg while the normal catch was 7 kg and ranged from 0.3 to 30 kg. On the other hand, the best catch was 20 kg and ranged from 3 to 220 kg. On a per day basis, fishers obtained an average revenue of Php 958 which could range from Php 75 (U$1.56) to Php 5,400 (U$113). While their income per month could average Php 5,359 (U$111.64) and ranged from Php 500 (U$10.42) to Php 15,000 (U$313). The sociodemographic characteristics of fishers and descriptions of criteria were summarized in Table 1.
TABLE 1
| Factors | Description of the factors | Mean (S.E.) | Min | Max |
| Household size | The number of individual household numbers including children | 4.67 (0.14) | 1 | 13 |
| Age | Age of fisher interviewed | 44.86 (0.89) | 18 | 73 |
| No. of years fishing | The number of years that the fisherman consider as his fishing years | 24.46 (0.95) | 1 | 64 |
| No. of years in the community | Number of years in the community | 33.22 (1.07) | 1 | 69 |
| Boat power (HP) | Boat engine power in horse power | 7.78 (0.30) | 0 | 22 |
| Hours fishing per trip | Number of hours that the fisher normally fishes and returns to port | 7.29 (0.56) | 1 | 48 |
| Fishing cost (Php) | Amount of money spent by fisher to operate on a daily basis in the fishing ground | 372.45 (24.04) | 0.00 | 1,735.00 |
| Fish price value (Php/kg) | The average cost of a fish | 147.78 (3.09) | 40.00 | 300.00 |
| Worst catch (kg) | The minimum catch of a fisher on a fishing trip | 3.37 (0.20) | 0.17 | 15 |
| Normal catch (kg) | The usual catch of a fisher | 6.76 (0.35) | 0.30 | 30 |
| Best catch (kg) | The maximum catch possible by a fisher on a fishing trip | 19.88 (1.57) | 3 | 220 |
| Revenue (Php) | The average cost of a fish and the weight of a fish catch | 957.93 (51.07) | 75.00 | 5,400.00 |
| CPUE/hr | Catch of the fisher per fishing trip | 3.10 (0.31) | 0.07 | 30 |
| Income (Php) | Monthly income of the fisher | 5359.07 (213.26) | 500.00 | 15,0000.00 |
Sociodemographic profile of the respondents including a brief description.
Fishers’ Perception of Climate Change
When statements concerning climate change (shown in Table 2), were presented to the fishers, most of them replied that they have observed a change in weather patterns and increase in sea-level rise due to higher frequency and intensity (87%). This was followed by an increased prevalence of typhoons (86%) that bring flooding and destruction. A generally hotter temperature (83%) was also observed. This was perceived as an impact especially during summer months and less frequent during the onset of the rainy season. In contrast, flooding (76%) is considered unpredictable when there is sudden prolonged rain even in the summer. The lack of credit access (59%) also affects the fishers because they need financial assistance for vessel and gear replacement as well as for starting capital during fishing days. When the onset of rainy days or typhoons occur, some could not fish causing them to experience inadequate food (45%). Only 41% of the respondents mentioned observing destruction and bleaching of coral reefs.
TABLE 2
| Perceived changes | Frequency | Percentage |
| Coral bleaching | 91 | 41.4 |
| Inadequate food | 99 | 45.0 |
| Lack of credit access | 129 | 58.6 |
| Flooding | 167 | 75.9 |
| Generally hotter temperature | 182 | 82.7 |
| Typhoons | 190 | 86.4 |
| Changing weather patterns | 191 | 86.8 |
| Sea level change | 191 | 86.8 |
Perceived changes in the climate.
Fishers’ Perception on Climate Change Impacts to the Fisheries
The majority of fishers observed that their usual catch has decreased (94%) as a recognized impact of climate change (Table 3). This was the main reason why many fishers tend to venture farther offshore (88%) in order to catch more fish. They have also observed less seasonality (78%) in their target species which includes moonfish (Mene maculata), bigeye scad (Selar crumenopthalmus), mackerel scad (Decapterus macarellus), shortfin scad (Decapterus macrosoma), island mackerel (Rastrelliger faughni), short mackerel (Rastrelliger brachysoma), Indian mackerel (Rastrelliger kanagurta), yellowfin tuna (Thunnus albacares), skipjack tuna (Katsuwonus pelamis), bullet tuna (Auxis rochei), frigate tuna (Auxis thazard), golden trevally (Gnathanodon speciosus), common dolphinfish (Coryphaena hippurus), spotfin flyingfish (Cheilopogon furcatus), and rainbow runner (Elagatis bipinnulata) (Macusi et al., 2017a; Villanueva, 2018). Whenever typhoons affect the Davao Gulf, the fishers use that free time to repair worn-out fishing gears and vessels (69%). According to their narratives, there have been changes in reproductive patterns (64%), distribution patterns (52%), and species composition (48%). There was also an increased number of invasive species (27%) and diseased fish in the catches (22%), though this was less frequently mentioned in comparison to other factors.
TABLE 3
| Perceived fisheries impacts | Frequency | Percentage |
| Increased in disease among the catch | 49 | 22.3 |
| Increased in invasive species | 60 | 27.3 |
| Changes in species composition | 106 | 48.2 |
| Changes in distribution patterns | 115 | 52.3 |
| Changes in reproductive patterns | 141 | 64.1 |
| Vessel/gear replacement due to storm events | 152 | 69.1 |
| Less seasonality | 171 | 77.7 |
| Venturing farther to catch fish | 194 | 88.2 |
| Decrease in catch | 207 | 94.1 |
Perceived impacts to fishers.
Vulnerability and Climate Change Impacts
PCA reduced the eight different sources of vulnerability factors and identified three components that mainly indicated change in weather, inadequate food, and ecological destruction. The analysis mainly points to hotter temperature noticed in the area (0.889) as indicated by weather changes (0.846). The next most significant component was the lack of opportunities for fishers to gain access to government banks or other microfinance institutions (0.827) which results in inadequate food (0.819). It is difficult to fish without a starting capital for fuel, bait and food costs. Lastly, the bleaching of corals (0.913) is an observation that is somehow clear to fishers and results in the destruction of fish habitat (Table 4). These components summarize the main sources of vulnerability in the surveyed areas as a warmer environment (1) and explains 36% of the variance of data in component 1; followed by lack of financial stability (2) that explains 18% of the variance of data in component 2; and, ecological destruction (3) that explains 14% of the variance of the data in component 3. Hotter temperature can affect coral reefs which leads to bleaching that can cause death in reef fish in the area. Changes in weather patterns can cause illness e.g., cold and/or cough to fishers and which may prevent them from fishing, leading to inadequate food. The lack of credit access can restrict purchasing ability for fishers preventing them from fishing which can also result in inadequate food for fishing families.
TABLE 4
| Sources of vulnerability | Component |
||
| 1 | 2 | 3 | |
| Coral bleaching | 0.013 | –0.050 | 0.913 |
| Inadequate food | –0.095 | 0.819 | –0.276 |
| Lack of credit | 0.031 | 0.827 | 0.207 |
| Typhoons | 0.748 | 0.099 | 0.174 |
| Flooding | 0.757 | 0.169 | –0.174 |
| Sea level change | 0.474 | –0.121 | –0.308 |
| Changes in weather pattern | 0.846 | –0.188 | 0.057 |
| Hotter temperature | 0.889 | –0.116 | 0.005 |
| % Variance explained | 36.15 | 18.30 | 13.58 |
Factors loadings of the PCA results of variables related to climate change vulnerability (numbers in bold contribute highly and positively to a component).
Another three components were extracted from the PCA of the nine factors of direct impact of climate change on fisheries listed in Table 5, invasive species (0.884) and diseases in the catch (0.860) both contribute highly and positively to component 1 and they explained data variance by 33%. Subsequently, less seasonality (0.902) and species reproductive pattern (0.842) explain the variation of the data by 25%. While the third component was greatly affected by venturing farther to catch fish (0.907) and the decrease in catch (0.837) that explains the variation in the data by 18% (see Table 5).
TABLE 5
| Impacts of climate change | Component |
||
| 1 | 2 | 3 | |
| Less seasonality | 0.051 | 0.902 | 0.160 |
| Species distribution pattern | 0.636 | 0.545 | –0.001 |
| Species reproductive pattern | 0.170 | 0.842 | 0.088 |
| Species composition | 0.643 | 0.538 | 0.134 |
| Gear replacement | 0.754 | 0.004 | 0.122 |
| Diseases in the catch | 0.860 | 0.172 | 0.050 |
| Invasive species | 0.884 | 0.092 | –0.010 |
| Decrease in catch | 0.059 | 0.276 | 0.837 |
| Venturing farther to catch | 0.077 | –0.012 | 0.907 |
| % Variance explained | 32.8 | 24.7 | 17.7 |
Factors loadings of the PCA result of the various variables related to climate change impacts (numbers in bold contribute highly and positively to a component).
Relationships Between CPUE, Vulnerability and Climate Change Impacts
Further analysis was conducted using the factor scores from the different variables of various sources of vulnerability (hotter temperature, lack of credit and coral bleaching) and climate change impacts (invasive species, less seasonality and venturing farther to catch fish). Factor scores of these variables, other fisheries factors selected, and the calculated CPUE based on the self-reported normal catch per fishing trip were further analyzed using multiple regression analysis. The results were highly significant (df = 3, MS = 3.47, F = 12.84, p < 0.001; see Table 6). One fisheries variable, monthly income (df = 1, MS = 1.92, F = 7.08, p = 0.009); two variables from climate change impacts to the fisheries, diseases in the catch and invasive species (df = 1, MS = 1.68, F = 6.2, p = 0.014) and decrease in catch and venturing farther offshore to catch fish (df = 1, MS = 7.06, F = 26.07, p < 0.001) were found to highly influence the dependent variable (CPUE).
TABLE 6
| Source | df | MS | F | P |
| Regression | 3 | 3.47 | 12.84 | 0.000 |
| Disease and invasive species in catch | 1 | 1.68 | 6.2 | 0.014 |
| Decrease in catch and farther offshore | 1 | 7.06 | 26.07 | 0.000 |
| Monthly income | 1 | 1.92 | 7.08 | 0.009 |
| Error | 155 | 42.01 | 0.271 | |
| Total | 158 | 52.44 |
Results of the regression between the dependent variable (cpue) and various predictor variables.
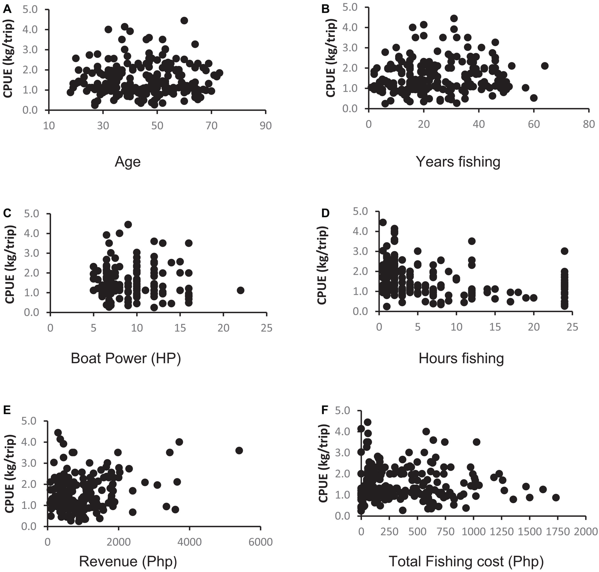
The CPUE was then modeled together with other fisheries factors based on the survey data shown in Figure 2. The results showed that age and the number of years fishing, did not predict higher CPUEs as they are similar to the CPUEs of fishers in the age brackets of 25–30. Those who were 33–60 years of age did seem to have higher CPUEs compared to other age brackets (see Figure 2A). For the number of years fishing, those with experience of 15–32 years in fishing showed higher CPUE than the other groups (Figure 2B). Those with 7–10 HP boats can have similar CPUEs as those with 16–20 HP, although having 16–20 HP is more advantageous because they can travel farther and catch more (Figure 2C). The number of fishing hours showed that fishing for 6–12 h could be sufficient. Going longer did not necessarily predict higher CPUEs but a declining one instead (Figure 2D). Most of the revenues (Figure 2E) of the catches averaged Php 2,000 (U$42) per fishing trip while fishing costs (Figure 2F) averaged Php 750 (U$15.63). Corresponding with climate change impact perceptions on diseases in the catch, invasive species and the decrease in fish catch result in fishers having to venture farther, to be profitable in their fishing livelihoods.
FIGURE 2

CPUE per trip based on the regression model and the modeled data from the survey. The age and number of years of fishing show that the data is bell-shaped, thick at the center and tapered at both ends (A,B) with ages between 40 and 60 showing that they can have higher cpues while the number of years fishing show that longer fishing experience may not matter. While for the boat power and the number of hours fishing (C,D) a horse power of 6 can get as much as those on 12 and 16 and fishing longer hours do not yield more fish. The revenue and fishing costs are skewed to the left, showing that most of the trips yield on average a revenue of Php 1,000.00 at an average fishing cost of Php 400.00 (E,F).
Focus Groups Results on Climate Change Impacts to Fish, Fishers, and the Fisheries
There were two main climate change impacts mentioned by the participants and this was with regards to fishers and fisheries, and to the fish. For example, the participants have mentioned on the dimension of health, their age and the weather which seems to be getting hotter, and unpredictable making them prone to sickness. During bad weather days, since fishers cannot get out to fish, local market vendors take advantage and increase the fish prices. According to the fishers, typhoons have also been increasing in areas that it affects, including Mindanao which was rarely being hit in the past. Whenever it passes by, it can generate big waves, erode beaches and damage boats and houses. In terms of direct impacts to fish, a hotter weather, according to the fishers can force fishes to dive and stay deeper, resulting to lower fish catch. They are also more difficult to find due to the warmer water. There are instances that fish die also because of warmer water. During times of flooding the murky water also makes it difficult for fishers to catch a fish, including the perceived waste residues coming from banana plantations. All of these, the hotter weather, the pesticides, coral die offs or bleaching are perceived by fishers to be contributing to their catch decline (Table 7).
TABLE 7
|
A. Fishers and fishing communities
Health risks such as coughs, colds, fever Age determines whether or not a fisher can tolerate harsh weather Weather can be too hot; summer season is hotter compared to previous years Unpredictability of weather Fish prices rising due to lack of fish supply More frequent bad weather days have been observed Strong winds generate big waves as observed during a bad weather Typhoons can damage boats and fishing materials Typhoons do not allow fishers to go fishing resulting to less income for the family Because of the scarcity of fish in nearshores, fishers are forced to go farther offshore Fishers may disappear and become missing due to typhoons |
| B. To fishes |
| Hot weather forces fish to go deeper into the sea, resulting to lower fish catch Fishes are more difficult to find because of warmer water Sometimes fishes also die due to warmer water Fishes swim with undersea currents Decline in fish population During times of flooding the waters are muddy which affects fishing The emergence of factories, banana plantations caused fish to decline |
Summary of perceived climate change impacts (FGD).
Threats and Vulnerability of Small-Scale Fisheries
Results of the focus groups conducted in the various fishing communities around the Davao gulf have indicated a decreasing catch highly affected by climate change variabilities. The identified threats mentioned that affect the local fisheries include: illegal fishing (compressor, poison, and triple/double net fishing gear, trammel net, with fine-meshed nets having less than 3 cm of mesh size), intrusion of commercial fishers (boats > 3 t) into municipal waters, agricultural wastes and pesticide residues coming from nearby banana plantations in the coastal area. It is highly likely that compressor fishers who capture large bodied fish found in coral reef areas contribute to coral reef fish catch decline. Some of the illegal fishers also make use of a plant-based poison and cyanide to stun the fish and then scoop them afterward. Commercial fishers are also known to harvest 200–1,000 kg/trip, leaving the smaller fishers with less catch. Most of the identified community vulnerability by the participants are experiences of hotter summers, coral reef bleaching, seagrass die off, sea-level change (beach erosions), typhoons, flooding and decline in fish catch (see Figures 3, 4). Whenever typhoons pass by, advisories are given to fishers to not go fishing, however, some difficult fishers persist and drowning or persons missing are not uncommon to be reported.
FIGURE 3

Decadal catch of the fishers based on the survey with the number of respondents on the secondary y-axis (N = 220).
FIGURE 4

Perceived threats, vulnerabilities, problems and adaptation strategies of fishers to climate change (based on FGD).
Problems Mentioned and Adaptation Strategies by Small-Scale Fishers
Most of the issues and problems mentioned by key informants during the focus groups revolved around how their nearby environment, living areas, and livelihoods have been impacted (Figure 4). For instance, problems concerning land reclamation focused on the construction of jetties and coastal defense structures that have been completed without prior consultation with local fishers and residents in Lupon, Bunawan and Lasang, and Malita. Industrial wastes were also reported by participants to be a common problem in Bunawan and Lasang which was compounded by flooding events caused by extended rainfall or typhoons. The lack of financial access to most small-scale fishers was also a problem for their start-up capital for fishing. Easy access to loans were not available for most of them. For their adaptation strategies, respondents suggested crop production, gleaning, alternative livelihoods through cacao, coconut, banana, corn, and vegetable production were suggested. During bad weather days, short-term labor contracts on construction and repair activities were sought by the participants, including boat building. There was also a suggestion asking for easier access to financial capital which would be beneficial to most of their fishing and post-fishing activities.
Discussion
Results from the survey has shown that fishers were aging (>45 years old), while others were aged 70 and still fishing. Those 60 years old and above are some of the most physically vulnerable in their livelihood as they have less stamina to endure when fishing. With fishers growing older over the next decade and fewer young men entering the fisheries, it is possible that this might have an impact on the food security of the nation (Macusi et al., 2020). This was similar to the findings in the rice farming sector in the Philippines, with farmers growing older (53 years old) and less younger farmers replacing them as reported by Palis (2020). The shortage of labor in the fisheries could result to decreased fish supply, higher market fish food prices and eventually resulting to importing fish food instead of catching them (Israel and Briones, 2012; Foale et al., 2013). Despite the taxing labor and hard work that many fishers endure daily, fisheries together with the farming sector remain the lowest paid in the agriculture sector. With low revenue for fishers, this creates a domino effect of several other socioeconomic consequences including low economic standing, non-existent social welfare or pension systems for fishers, and poor health and living standards for their families (Béné, 2009; Muallil et al., 2013). This has caused one fisher from Lupon to describe their struggle as a daily grind, “we have to borrow money from informal lenders and financiers so that we can go and fish daily. We need money to buy gasoline and to buy our daily needs. Our stomachs are intertwined with them, as a result.” With restricted financial access to credit, this compounds their problems as there are many fishers with insufficient food, clothing and shelter. This effect deters fishers from passing the same type of livelihood to their children (Béné, 2009; Muallil et al., 2011; Katikiro et al., 2015). “During my return to the port, I need to sell off my catch in order to pay my debts, bought at a low price by the same financier I owed money earlier,” added another fisher from Governor Generoso.
Apart from their being vulnerable financially, socially, ecologically, and being constantly exposed to natural disasters, small-scale fishers also face problems with the intrusion of commercial fishers (boats > 3 t) into their fishing grounds (Pomeroy et al., 2007). This may keep the small-scale fishers from getting a bigger share in catches as one ringnet fishing boat can catch as much as 1,000 kg (Muallil et al., 2014b; Macusi, 2017). In another instance of illegal fishing, a fisher from Governor Generoso quipped, “the local government is doing nothing when it comes to penalizing illegal fishers, so we are also left with nothing when it comes to fish catches.” Although this could be exaggerated, the claims of lack of law enforcement tend to be frequent. In the worst situations, some fishers relied on using plant-based poisons (locally called lagtang) to stun and weaken the fish and then to catch. Since these were not being addressed properly one fisher admitted that they have resigned to their fates, “our local government lack courage in confronting commercial fishers because they are being paid with money to remain silent.”
Some of the study sites have marine protected areas (MPA) established in partnership with the local community, as a way to conserve fish stocks but they lack fish wardens (bantay dagat). An example of this includes an MPA from Bunawan and Lasang (Davao City) which according to key informants during the focus group discussion need fish wardens for vigilance and apprehend illegal fishers. One of them narrated, “how can we keep protecting this MPA when our lives are put in danger after apprehending some of the illegal fishers. Some of these compressor fishers have guns, they also have financiers as their protectors.” Their cases are also settled by some barangay officials that sentence, with no charges. This is an issue that can cause vulnerability to fishers’ livelihoods, including the intrusion of commercial fishers to municipal waters (Horigue et al., 2014). By having weak law enforcement, this can endanger the lives of willing and cooperative fishers who want to implement conservation initiatives in their area (Cabral et al., 2013). Other issues mentioned are land reclamation projects in private ports of companies. These companies buy coastal lands for the purpose of having a warehouse, but eventually extend these by reclaiming their adjacent coastal sites, eventually destroying the coastal habitats of juvenile fish. Plastic and chemical wastes are also dumped in coastal areas despite regular coastal clean-up drives and activities. Some of which may contain chemical pesticides used by banana farms and industrial wastes left by factories. If left unchecked, this may lead to increasing marine pollution in Bunawan and Lasang.
Climate change impacts can manifest at multiple spatial scales in coastal fishing communities. These are usually in the form of invasive species, disease among the catch, changes in fish distribution patterns, including reproductive patterns, less seasonality, decrease in catch and venturing farther offshore. The sources of vulnerability as perceived by fishers were varied: floods from rising sea levels, unpredictable rainfall, experience of hotter weather, loss of coral reefs, seagrass cover, inadequate food and lack of credit access. Inevitably, these factors can lead to various socioeconomic problems from job loss to damaged fishing gears and destroyed or flooded houses affecting the fishers and their communities. To help resolve these issues, the development of effective policies that can confront climate change impacts in small-scale fisheries are needed (Sales, 2009; Mamauag et al., 2013). The solution can start by addressing the catch decline due to a combination of reasons previously mentioned by the respondents, one fishery at a time which was done in the sardine fishery in Zamboanga Peninsula (Brillo et al., 2019). Then the ecological component can be addressed, which includes spatial management and strict implementation of marine protected areas (MPAs), coastal zonation and building community partnerships by empowering locals to manage their resources (Horigue et al., 2015; Katikiro et al., 2015). MPAs will continue to be useful as they provide a clearly defined geographical space managed by communities or the government dedicated toward long-term conservation of marine and fisheries resources (Cabral et al., 2014). Admittedly, to mitigate climate change impacts with economic and ecological effects there need to be development assistance in protecting fishers’ well-being, prioritizing alternative livelihoods, technical skills trainings and increasing value to their fisheries products to enhance their resilience to external shocks (Islam et al., 2020; Suh and Pomeroy, 2020). This would be in addition to the on-going work of conservation of coral reefs, seagrass, mangroves and coastal wetlands which are known to protect coastal communities during extreme events (McClanahan et al., 2008; Lee et al., 2014; Sun and Carson, 2020). Some recommendations based on the outcome of our study are to make financial credit widely available to fishers and provide technical trainings, and seminars regarding climate change impacts, conduct of vulnerability assessments for local governments directly involved in managing the fisheries as well as promote income diversification through alternative livelihoods. The fisherfolk may need to be trained on fish processing, packaging and marketing their fisheries products. Suitable livelihoods easily identifiable and culturally appropriate for the fishers should be encouraged by local government to promote income diversification. In addition, better enforcement of fisheries laws by the government can be facilitate through fisher’s active participation through reporting illegal fishing activities. Finally, wider and more inclusive dissemination of information regarding climate change impacts, and strategies for adaptation must be prioritized by research and government bodies.
Conclusion
Globally, small-scale fisheries are affected by the combined impacts of overfishing, degradation of ecosystems and climate change impacts (Cinner et al., 2012; Daw et al., 2012). Conclusions from the surveyed fishers indicated that many coastal communities in Davao Gulf are already experiencing various levels of climate change impacts. The perceptions of ecological change such as unpredictable weather, less seasonality, coral bleaching, changes in spawning seasons and their socioeconomic impacts as perceived by fishers can assist the local governments in formulating policies that will increase their resilience against climate change impacts. Apart from the 3 months of closed fishing season, a comprehensive conservation strategy is also lacking in the Davao Gulf. This perception survey may not be equivalent to a quantitative and predictive approach that use decadal observations based on catch log sheets and other environmental parameters but in a data-poor fisheries, the use of surveys allows insight into the status of marine resource (Silvano and Begossi, 2010). Due to data scarcity, the conventional methods of fish stock assessment are also not easily available for many tropical areas, species and multiple gear fisheries which impedes on further research and collaboration in fisheries management and climate change impacts.
Statements
Data availability statement
The raw data supporting the conclusions of this article will be made available by the authors, without undue reservation.
Ethics statement
Ethical review and approval was not required for the study on human participants, in accordance with the local legislation and institutional requirements.
Author contributions
EDM helped in the conceptualization, conduct, analysis, and writing of the study. KC helped in the conceptualization, data gathering, analysis, and writing. AB and ESM helped in the data gathering, analysis, and writing of the manuscript. All authors contributed to the article and approved the submitted version.
Funding
This study would not have been possible without the funding assistance provided by the Philippine Council for Agriculture, Aquatic and Natural Resources Research and Development (PCAARRD) with the project: Fisheries catch assessment using GPS trackers and effort survey of municipal and commercial fishers in Mindanao and the Southeast Asian Regional Center for Graduate Study and Research in Agriculture (SEARCA) for the SFRT project entitled: Biological and socioeconomic impacts of the closure fishing ban in Davao Gulf and the Zamboanga Peninsula: relevance of effort distribution and role of governance) to the first author for the conduct of fisheries fieldwork in southern Philippines.
Acknowledgments
We are grateful for the map drawn by Remie Aurelio and the field assistance provided by Charlen Mae Gaab, Ilah Dianne Morales, Christian Dave Tipudan, and Arianne Kaye Liguez during the fieldwork.
Conflict of interest
The authors declare that the research was conducted in the absence of any commercial or financial relationships that could be construed as a potential conflict of interest.
Supplementary material
The Supplementary Material for this article can be found online at: https://www.frontiersin.org/articles/10.3389/fmars.2021.597385/full#supplementary-material
References
1
Abreo N. A. S. Macusi E. D. Blatchley D. D. Cuenca G. C. (2016a). Ingestion of marine plastic debris by Green Turtle (Chelonia mydas) in Davao Gulf, Mindanao, Philippines.Philipp. J. Sci.14517–23.
2
Abreo N. A. S. Macusi E. D. Blatchley D. D. Cuenca-Ocay G. (2016b). First evidence of plastic ingestion by the Rare Deraniyagala’ s Beaked Whale (Mesoplodon hotaula).IAMURE Intern. J. Ecol. Conserv.1916–36.
3
Allison E. H. Perry A. L. Badjeck M.-C. Adger W. N. Brown K. Conway D. et al (2009). Vulnerability of national economies to the impacts of climate change on fisheries.Fish. Fish10173–196. 10.1111/j.1467-2979.2008.00310.x
4
Ambal R. G. R. Duya M. V. Cruz M. A. Coroza O. G. Vergara S. G. de Silva N. et al (2012). Key biodiversity areas in the Philippines: priorities for conservation.J. Threat. Taxa42788–2796. 10.11609/jott.o2995.2788-96
5
Anticamara J. A. Go K. T. B. (2016). Spatio-temporal declines in Philippine fisheries and its implications to coastal municipal fishers’ catch and income.Front. Mar. Sci.3:e0046637.
6
Anticamara J. A. A. Go K. T. B. (2017). Impacts of super-typhoon Yolanda on Philippine reefs and communities.Reg. Environ. Chang.17703–713. 10.1007/s10113-016-1062-8
7
Béné C. (2009). Are fishers poor or vulnerable? assessing economic vulnerability in small-scale fishing communities.J. Dev. Stud.45911–933. 10.1080/00220380902807395
8
BFAR (2019). Philippine Fisheries Profile 2018.Quezon, PH: Bureau of Fisheries and Aquatic Resources, 72.
9
Blair A. A. C. Momtaz S. (2018). Climate change perception and response: case studies of fishers from Antigua and Efate.Ocean Coast. Manag.15786–94. 10.1016/j.ocecoaman.2018.02.015
10
Brander K. M. (2007). Global fish production and climate change.Proc. Natl. Acad. Sci. U.S.A.10419709–19714.
11
Brillo B. B. C. Jalotjot H. C. Cervantes C. C. Rola A. C. (2019). Impact on income and livelihood of fisheries workers: closed fishing season policy for sardines in Zamboanga Peninsula.Philipp. J. Coast. Conserv.231057–1067. 10.1007/s11852-019-00713-y
12
Cabral R. Cruz-Trinidad A. Geronimo R. Napitupulu L. Lokani P. Boso D. et al (2013). Crisis sentinel indicators: averting a potential meltdown in the Coral Triangle.Mar. Policy39241–247. 10.1016/j.marpol.2012.10.012
13
Cabral R. B. Aliño P. M. Balingit A. C. M. Alis C. M. Arceo H. O. Nañola C. L. et al (2014). The Philippine Marine Protected Area (MPA) database.Philipp. Sci. Lett.7300–308.
14
Cabrera J. S. Lee H. S. (2020). Flood risk assessment for Davao Oriental in the Philippines using geographic information system-based multi-criteria analysis and the maximum entropy model.J. Flood Risk Manag.13:e12607.
15
Cheung W. W. L. Lam V. W. Y. Sarmiento J. L. Kearney K. Watson R. Zeller D. et al (2010). Large-scale redistribution of maximum fisheries catch potential in the global ocean under climate change.Glob. Chang. Biol.1624–35. 10.1111/j.1365-2486.2009.01995.x
16
Cinco T. A. de Guzman R. G. Ortiz A. M. D. Delfino R. J. P. Lasco R. D. Hilario F. D. et al (2016). Observed trends and impacts of tropical cyclones in the Philippines.Int. J. Climatol.364638–4650. 10.1002/joc.4659
17
Cinner J. E. McClanahan T. R. Graham N. A. J. Daw T. M. Maina J. Stead S. M. et al (2012). Vulnerability of coastal communities to key impacts of climate change on coral reef fisheries.Glob. Environ. Chang.2212–20. 10.1016/j.gloenvcha.2011.09.018
18
Copp G. H. Templeton M. Gozlan R. E. (2007). Propagule pressure and the invasion risks of non-native freshwater fishes: a case study in England.J. Fish Biol.71148–159. 10.1111/j.1095-8649.2007.01680.x
19
Cunico A. M. Vitule J. R. S. (2014). First records of the European catfish, Silurus glanis Linnaeus, 1758 in the Americas (Brazil).Bioinvasions Rec.3117–122. 10.3391/bir.2014.3.2.10
20
Daw T. Adger W. N. Brown K. Badjeck M. (2009). “Climate change and capture fisheries: potential impacts, adaptation and mitigation,” in Climate Change Implications for Fisheries and Aquaculture Overview of Current Scientific Knowledge-Aquaculture Technical Paper No 530, edsCochraneC.YoungD.De SotoK.BahriT. (Rome: Food and Agricultur Organization of the United Nations), 107–150.
21
Daw T. M. Cinner J. E. McClanahan T. R. Brown K. Stead S. M. Graham N. A. J. et al (2012). To fish or not to fish: factors at multiple scales affecting Artisanal fishers’ readiness to exit a declining fishery.PLoS One7:e31460. 10.1371/journal.pone.0031460
22
de Lara-Tuprio E. P. Bautista E. P. Marcelo R. M. Bataller R. T. Esteban D. A. B. Yutuc Y. P. B. (2018). Marikina flood hazard models using historical data of water level.Philipp. J. Sci.147373–382.
23
Drury O. Neill E. Lindahl T. Daw T. Crona B. Ferrer A. J. G. et al (2019). An experimental approach to exploring market responses in small-scale fishing communities.Front. Mar. Sci.6:491. 10.3389/fmars.2019.00491
24
Dworkin S. L. (2012). Sample size policy for qualitative studies using in-depth interviews.Arch. Sex. Behav.411319–1320. 10.1007/s10508-012-0016-6
25
Eisner J. B. Kossin J. P. Jagger T. H. (2008). The increasing intensity of the strongest tropical cyclones.Nature44592–95. 10.1038/nature07234
26
Faustino-Eslava D. V. Dimalanta C. B. Yumul J. Graciano P. Servando N. T. Cruz N. A. (2013). Geohazards, tropical cyclones and disaster risk management in the philippines: adaptation in a changing climate.J. Environ. Sci. Manag.1684–97.
27
Foale S. Adhuri D. Aliño P. Allison E. H. Andrew N. Cohen P. et al (2013). Food security and the coral triangle initiative.Mar. Policy38174–183. 10.1016/j.marpol.2012.05.033
28
Geronimo R. C. (2018). Projected Climate Change Impacts on Philippine Marine Fish Distributions.Quezon: Department of Agriculture-Bureau of Fisheries and Aquatic Resources.
29
Graham N. A. J. Wilson S. Jennings S. Polunin N. Robison J. (2007). Lag effects in the impacts of mass coral bleaching on coral reef fish, fisheries, and ecosystems.Conserv. Biol.211291–1300. 10.1111/j.1523-1739.2007.00754.x
30
Guerrero R. D. (1999). The impacts of El Niño on Philippine fisheries.NAGA ICLARM Q.2214–15.
31
Hoegh-Guldberg O. (1999). Climate change, coral bleaching and the future of the world’s coral reefs.Mar. Freshw. Res.50839–866.
32
Horigue V. Aliño P. M. Pressey R. L. (2014). Evaluating management performance of marine protected area networks in the Philippines.Ocean Coast. Manag.9511–25. 10.1016/j.ocecoaman.2014.03.023
33
Horigue V. Pressey R. L. Mills M. Brotánková J. Cabral R. Andréfouët S. (2015). Benefits and challenges of scaling up expansion of marine protected area networks in the verde island passage, Central Philippines.PLoS One10:e0135789. 10.1371/journal.pone.0135789
34
IPBES (2019). “Summary for policymakers of the global assessment report on biodiversity and ecosystem services of the Intergovernmental Science-Policy Platform on Biodiversity and Ecosystem Services,” in Proceedings of the IPBES Plenary at its Seventh Session, edsDíazS.SetteleJ.BrondízioE. S.NgoH. T.GuèzeM.AgardJ.et al (Bonn: IPBES), 60.
35
IPCC (2014). “Summary for policymakers,” in Climate Change 2014: Impacts, Adaptation, and Vulnerability, edsFieldC. B.BarrosV. R.DokkenD. J.MachK. J.MastrandreaM. D.BilirT. E.et al (Cambridge: IPCC), 32.
36
Islam M. M. Islam N. Habib A. Mozumder M. M. H. (2020). Climate change impacts on a tropical fishery ecosystem: implications and societal responses.Sustainability12:7970. 10.3390/su12197970
37
Israel D. Briones R. M. (2012). Impacts of Natural Disasters on Agriculture, Food Security, and Natural Resources and Environment in the Philippines, Discussion Paper Series No. 2012-36.Manila, PH: Philippine Institute for Development Studies.
38
Jacinto M. R. Songcuan A. J. G. Yip G. V. Santos M. D. (2015). Development and application of the fisheries vulnerability assessment tool (Fish Vool) to tuna and sardine sectors in the Philippines.Fish. Res.161174–181. 10.1016/j.fishres.2014.07.007
39
Katikiro R. E. Macusi E. D. Ashoka Deepananda K. H. M. (2015). Challenges facing local communities in Tanzania in realising locally-managed marine areas.Mar. Policy51220–229. 10.1016/j.marpol.2014.08.004
40
Kittinger J. N. Teneva L. T. Koike H. Stamoulis K. A. Kittinger D. S. Oleson K. L. L. et al (2015). From reef to table: social and ecological factors affecting coral reef fisheries, Artisanal seafood supply chains, and seafood security.PLoS One10:e0123856. 10.1371/journal.pone.0123856
41
Lagmay A. M. F. Agaton R. P. Bahala M. A. C. Briones J. B. R. T. Cabacaba K. M. C. Caro C. V. C. et al (2015). Devastating storm surges of Typhoon Haiyan.Intern. J. Disast. Risk Reduct.111–12. 10.1016/j.ijdrr.2014.10.006
42
Lee S. Y. Primavera J. H. Dahdouh-Guebas F. Mckee K. Bosire J. O. Cannicci S. et al (2014). Ecological role and services of tropical mangrove ecosystems: a reassessment.Glob. Ecol. Biogeogr.23726–743. 10.1111/geb.12155
43
Licuanan A. M. Reyes M. Z. Luzon K. S. Chan M. A. A. Licuanan W. Y. (2019). Initial findings of the nationwide assessment of Philippine coral reefs.Philipp. J. Sci.146177–185.
44
Macandog D. M. de la Cruz C. P. P. Edrial J. D. Reblora M. A. Pabico J. P. Salvacion A. R. et al (2014). Eliciting local ecological knowledge and community perception on Fishkill in Taal Lake through participatory approaches.J. Environ. Sci. Manag.171–16.
45
Macusi E. D. Abreo N. A. S. Babaran R. P. (2017a). Local Ecological Knowledge (LEK) on fish behavior around anchored FADs: the case of tuna purse seinand ringnet fishers from Southern Philippines.Front. Mar. Sci.4:188. 10.3389/fmars.2017.00188
46
Macusi E. D. Katikiro R. E. Babaran R. P. (2017b). The influence of economic factors in the change of fishing strategies of anchored FAD fishers in the face of declining catch, General Santos City, Philippines.Mar. Policy7898–106. 10.1016/j.marpol.2017.01.016
47
Macusi E. D. Abreo N. A. S. Cuenca G. C. Ranara C. T. B. Cardona L. T. Andam M. B. et al (2015a). The potential impacts of climate change on freshwater fish, fish culture and fishing communities.J. Nat. Stud.1414–31.
48
Macusi E. D. Babaran R. P. van Zwieten P. A. M. (2015b). Strategies and tactics of tuna fishers in the payao (anchored FAD) fishery from general Santos city, Philippines.Mar. Policy6263–73. 10.1016/j.marpol.2015.08.020
49
Macusi E. D. Laya-og M. E. Abreo N. A. S. (2019). Wild lobster (Panulirus ornatus) fry fishery in Balete bay, Davao oriental: catch trends and implications to fisheries management.Ocean Coast. Manag.168340–349. 10.1016/j.ocecoaman.2018.11.010
50
Macusi E. D. Macusi E. S. Jimenez L. A. Catam-isan J. P. (2020). Climate change vulnerability and perceived impacts on small-scale fisheries in eastern Mindanao.Ocean Coast. Manag.189:105143. 10.1016/j.ocecoaman.2020.105143
51
Macusi E. R. D. (2017). Fish Aggregating Devices and the Role of Socio-economic Factors in Driving Spatial Effort Allocation of Fishers. Los Banos, PH: Southeast Asian Regional Center For Graduate Study And Research in Agriculture, Science and education for agriculture and development.
52
Madin J. S. Hughes T. P. Connolly S. R. (2012). Calcification, storm damage, and population resilience of tubular corals under climate change.PLoS One7:e46637. 10.1371/journal.pone.0046637
53
Mamauag S. S. Aliño P. M. Martinez R. J. S. Muallil R. N. Doctor M. V. A. Dizon E. C. et al (2013). A framework for vulnerability assessment of coastal fisheries ecosystems to climate change—Tool for understanding resilience of fisheries (VA-TURF).Fish. Res.147381–393. 10.1016/j.fishres.2013.07.007
54
Mason M. (2010). Sample size and saturation in PhD studies using qualitative interviews.Forum Qual. Soc. Res.11:8.
55
McClanahan T. Allison E. H. Cinner J. E. (2015). Managing fisheries for human and food security.Fish. Fish1678–103. 10.1111/faf.12045
56
McClanahan T. R. Cinner J. E. Maina J. Graham N. A. J. Daw T. M. Stead S. M. et al (2008). Conservation action in a changing climate.Conserv. Lett.153–59. 10.1111/j.1755-263x.2008.00008_1.x
57
Muallil R. N. Cleland D. Aliño P. M. (2013). Socioeconomic factors associated with fishing pressure in small-scale fisheries along the West Philippine Sea biogeographic region.Ocean Coast. Manag.8227–33. 10.1016/j.ocecoaman.2013.04.013
58
Muallil R. N. Geronimo R. C. Cleland D. Cabral R. B. Doctor M. V. Cruz-Trinidad A. et al (2011). Willingness to exit the artisanal fishery as a response to scenarios of declining catch or increasing monetary incentives.Fish. Res.11174–81. 10.1016/j.fishres.2011.06.013
59
Muallil R. N. Mamauag S. S. Cababaro J. T. Arceo H. O. Aliño P. M. (2014a). Catch trends in Philippine small-scale fisheries over the last five decades: the fishers× perspectives.Mar. Policy47110–117. 10.1016/j.marpol.2014.02.008
60
Muallil R. N. Mamauag S. S. Cabral R. B. Celeste-Dizon E. O. Aliño P. M. (2014b). Status, trends and challenges in the sustainability of small-scale fisheries in the Philippines: insights from FISHDA (Fishing Industries’ support in handling decisions application) model.Mar. Policy44212–221. 10.1016/j.marpol.2013.08.026
61
Nañola C. L. Jr. Aliño P. M. Carpenter K. E. (2011). Exploitation-related reef fish species richness depletion in the epicenter of marine biodiversity.Environ. Biol. Fish.90405–420. 10.1007/s10641-010-9750-6
62
Onda D. F. L. Gomez N. C. F. Purganan D. J. E. Tolentino M. P. S. Bitalac J. M. S. Calpito J. V. M. et al (2020). Marine microbes and plastic debris: research status and opportunities in the Philippines.Philipp. J. Sci.14971–82.
63
Palis F. G. (2020). Aging Filipino rice farmers and their aspirations for their children.Philipp. J. Sci.149351–361.
64
Pati R. C. Cruz A. P. (2017). Flood vulnerability of the town of Tanay, Rizal, Philippines.Philipp. J. Sci.146117–127.
65
Perry R. I. Cury P. Brander K. Jennings S. Mollmann C. Planque B. (2010). Sensitivity of marine systems to climate and fishing: concepts, issues and management responses.J. Mar. Syst.79427–435. 10.1016/j.jmarsys.2008.12.017
66
Pomeroy R. Parks J. Pollnac R. Campson T. Genio E. Marlessy C. et al (2007). Fish wars: conflict and collaboration in fisheries management in Southeast Asia.Mar. Policy31645–656. 10.1016/j.marpol.2007.03.012
67
Sales R. F. M. (2009). Vulnerability and adaptation of coastal communities to climate variability and sea-level rise: their implications for integrated coastal management in Cavite City.Philipp. Ocean Coast. Manag.52395–404. 10.1016/j.ocecoaman.2009.04.007
68
Silvano R. A. M. Begossi A. (2010). What can be learned from fishers? An integrated survey of fishers’ local ecological knowledge and bluefish (Pomatomus saltatrix) biology on the Brazilian coast.Hydrobiologia6373–18. 10.1007/s10750-009-9979-2
69
Suh D. Pomeroy R. (2020). Projected economic impact of climate change on marine capture fisheries in the Philippines.Front. Mar. Sci.7:232. 10.3389/fmars.2020.00232
70
Sun F. Carson R. T. (2020). Coastal wetlands reduce property damage during tropical cyclones.Proc. Natl. Acad. Sci. U.S.A.1175719–5725. 10.1073/pnas.1915169117
71
Tan B. C. A. Anticamara J. A. Villanueva M. C. S. (2018). Modeling of degraded reefs in Leyte Gulf, Philippines in the face of climate change and human-induced disturbances.Clim. Disast. Dev. J.81–12. 10.18783/cddj.v003.i01.a01
72
Villanueva J. A. (2018). Assessment of commercially important small pelagic fishes in Davao Gulf CY 2004-2013.Philipp. J. Fish.25163–182. 10.31398/tpjf/25.1.2017c0013
73
Vista A. Norris P. Lupi F. Bernsten R. (2006). Nutrient loading and efficiency of tilapia cage culture in Taal Lake.Philippines8948–57.
74
Yumul G. P. Cruz N. A. Servando N. T. Dimalanta C. B. (2011). Extreme weather events and related disasters in the Philippines, 2004-08: a sign of what climate change will mean?Disasters35362–382. 10.1111/j.1467-7717.2010.01216.x
Summary
Keywords
adaptation, climate change impacts, Davao Gulf, Mindanao, Philippines, small-scale fisheries, vulnerability
Citation
Macusi ED, Camaso KL, Barboza A and Macusi ES (2021) Perceived Vulnerability and Climate Change Impacts on Small-Scale Fisheries in Davao Gulf, Philippines. Front. Mar. Sci. 8:597385. doi: 10.3389/fmars.2021.597385
Received
21 August 2020
Accepted
31 May 2021
Published
05 July 2021
Volume
8 - 2021
Edited by
Yngvar Olsen, Norwegian University of Science and Technology, Norway
Reviewed by
Andrés M. Cisneros-Montemayor, University of British Columbia, Canada; Mohammad Mahmudul Islam, Sylhet Agricultural University, Bangladesh
Updates
Copyright
© 2021 Macusi, Camaso, Barboza and Macusi.
This is an open-access article distributed under the terms of the Creative Commons Attribution License (CC BY). The use, distribution or reproduction in other forums is permitted, provided the original author(s) and the copyright owner(s) are credited and that the original publication in this journal is cited, in accordance with accepted academic practice. No use, distribution or reproduction is permitted which does not comply with these terms.
*Correspondence: Edison D. Macusi, edmacusi@gmail.com
This article was submitted to Marine Fisheries, Aquaculture and Living Resources, a section of the journal Frontiers in Marine Science
Disclaimer
All claims expressed in this article are solely those of the authors and do not necessarily represent those of their affiliated organizations, or those of the publisher, the editors and the reviewers. Any product that may be evaluated in this article or claim that may be made by its manufacturer is not guaranteed or endorsed by the publisher.