Abstract
In 2019, the United Nations Environment Assembly requested that the United Nations Environment Programme (UNEP) and the International Coral Reef Initiative (ICRI) define best practices for coral restoration. Guidelines led by the UNEP were prepared by a team of 20 experts in coral reef management, science, and policy to catalog the best-available knowledge in the field and provide realistic recommendations for the use of restoration as a reef management strategy. Here, we provide a synthesis of these guidelines. Specifically, we present (1) a case for the value of coral reef restoration in the face of increasing frequency and intensity of disturbances associated with climate change, (2) a set of recommendations for improving the use of coral reef restoration as a reef management strategy, tailored to goals and current methods. Coral reef restoration can be a useful tool to support resilience, especially at local scales where coral recruitment is limited, and disturbances can be mitigated. While there is limited evidence of long-term, ecologically relevant success of coral reef restoration efforts, ongoing investments in research and development are likely to improve the scale, and cost-efficiency of current methods. We conclude that coral reef restoration should not be seen as a “silver bullet” to address ecological decline and should be applied appropriately, with due diligence, and in concert with other broad reef resilience management strategies.
Introduction
With dramatic declines in coral cover worldwide, especially in the last 3–5 years (Pandolfi et al., 2003; Hughes et al., 2017, 2018), it has become clear that bolder actions are necessary at both global and local scale to secure a future for coral reefs. Coral reef restoration, in particular, is increasingly employed as a management strategy to halt declines in coral cover and support reef resilience. Increased interest in coral reef restoration is illustrated by the central role restoration is taking in national and international commitments under various multilateral environmental agreements. For example, the United Nations General Assembly has put “rehabilitating our environment” at the heart of the 2030 Agenda for Sustainable Development and declared 2021–2030 as the UN Decade on Ecosystem Restoration. The 4th United Nations Environment Assembly in 2019 also passed a resolution specific to the sustainable management of coral reefs (Resolution 4/13) recognizing the role of restoration to achieve biodiversity goals (United Nations Environment Assembly (UNEA), 2019). A recent ICRI report (McLeod I. M. et al., 2019) revealed that 88% of ICRI members are interested in the development of new international commitments and policies specifically dedicated to coral reef restoration. At the national level, initiatives such as the Reef Restoration and Adaptation Program in Australia (RRAP, Bay et al., 2019), NOAA’s restoration strategy within the coral reef conservation strategy (National Oceanic and Atmospheric Administration (NOAA), 2018), the Coral Reef Restoration Protocol in Costa Rica (AIDA-Americas, 2019), or specific Coral Reef Action Plans in Thailand (Suraswadi and Yeemin, 2013) highlight increased interest in investing in coral reef restoration.
However, some confusion arises from an active debate among coral reef scientists on the value of coral reef restoration in the face of large-scale disturbances such as warming temperatures and increased ocean acidification. Two IPCC reports (IPCC, 2018; Bindoff et al., 2019) summarize the existing projections of future coral bleaching to state that coral reefs as we know them will all but disappear in a scenario of up to 2°C warming, and up to 90% of coral reefs could be lost even with an increase of 1.5°C. In this context, many experts argue that coral reef restoration is merely a band-aid solution and a distraction from global actions on threat reduction (Bellwood et al., 2019; Morrison et al., 2020). Other experts argue that even if greenhouse gas emissions were to be drastically reduced immediately, global ocean temperatures could still take decades to stabilize (Hansen et al., 2007), and that bold active management actions at the local level such as coral reef restoration are necessary to sustain and re-build reef ecosystems, alongside climate action and protection measures (Rinkevich, 2019; Duarte et al., 2020). Climate action, albeit critical, is only one part of the big equation we need to solve to ensure a future for coral reefs, and restoration can create a necessary bridge to rescue corals at local scales while global threats are being addressed (Coral Restoration Consortium (CRC), 2020).
Adding to the confusion is the largely experimental nature of the practice coral reef restoration (Bayraktarov et al., 2016, 2020; Hein et al., 2017; Boström-Einarsson et al., 2020). Apart from a few notable examples of positive long-term outcomes (In Fiji Coral for Conservation, 2020; in Belize Fragments of Hope, 2020), there is limited evidence that it can be an effective management strategy to support reef resilience. A lack of long-term monitoring of existing projects (coral restoration projects have a median monitoring duration of 12 months, Boström-Einarsson et al., 2020), and reporting of success focused on a few technical metrics (e.g., coral growth and survival) rather than metrics related to ecosystem function and health or socio-cultural and economic outcomes (Hein et al., 2017; Boström-Einarsson et al., 2020) make it difficult to assess and share general best practices (Leocadie et al., 2020). In the last few years, there has been an explosion of research and development on cutting-edge solutions to scale-up current coral reef restoration techniques (National Academies of Sciences Engineering and Medicine (NASEM), 2019; Bay et al., 2019, RRAP). These developments are necessary to help corals persist. However, the novelty of this research creates a gulf between existing practices and what is recommended, leaving managers, practitioners, decision-makers, and funding agencies with a lack of guidance for what coral restoration can realistically achieve.
In 2019, the United Nations Environment Assembly adopted Resolution 4/13 on sustainable coral reefs management requesting UNEP and ICRI to better define best practices for coral restoration, as appropriate, for the maintenance of ecosystem services, including for coastal defense and restoration of fish nursery areas. In response, a report was prepared by 20 global coral reef restoration experts to assist practitioners, managers, and decision-makers in deciding whether and how to use of coral reef restoration as a strategy to protect coral reefs locally, regionally, and globally (Hein et al., 2020a, UNEP). Here, we synthesize these experts’ perspectives on: (a) goals and methods of coral reef restoration on the eve of the UN Decade on Ecosystem Restoration; (b) arguments for and against restoring coral reefs in the face of climate change; and (c) recommendations on how current methods can be used for particular goals and situations.
Coral Reef Restoration on the Eve of the UN Decade
Ecological restoration is defined by the Society for Ecological Restoration (SER) as “the process of assisting the recovery of an ecosystem that has been degraded, damaged, or destroyed” (Society for Ecological Restoration International Science and Policy Working Group, 2004). In the past, the goal of restoration has been to restore an ecosystem back to a historical baseline. This view also implied that the threat(s) responsible for the degradation, damage or destruction could be removed. However, this may not be possible for coral reefs because the threat of rising ocean temperatures and ocean acidification will continue for decades even if greenhouse gas emission targets are met. The goal of coral reef restoration has therefore shifted toward recovering or maintaining key ecosystem processes, functions, and services through the next few decades of climate change, rather than restoring to a historical baseline.
Here, we suggest that the term “coral reef restoration” be used to describe an active intervention aimed to assist the recovery of reef structure, function, and key reef species in the face of rising climate and anthropogenic pressures, promoting reef resilience and the sustainable delivery of reef ecosystem services. These interventions include reducing impacts, remediation, and rehabilitating ecosystem function, following standards developed by SER (Gann et al., 2019, Figure 1). Actions aimed at protecting and enabling recovery (e.g., waste and water quality management) can be broadly categorized as “proactive,” and they support “reactive” actions, commonly referred to as “restoration.” These terms are meant to replace “passive” and “active” on the basis that “passive” has a negative connotation of implying that no action is necessary. “Reactive” actions are aimed at repairing ecosystem function and assisting the recovery of a degraded reef system, should it not be able to recover on its own (Figure 1). Restoring corals should never be the first point of action in a reef management strategy, but rather part of a strategy in a carefully planned ecosystem management framework (Edwards, 2010). Avoiding and mitigating local impacts to reefs should always be the priority, and restoration should never be used as an excuse to justify degradation in another area.
FIGURE 1

Continuum of proactive and reactive interventions for coral reef conservation and restoration. Adapted from SER guidelines (Gann et al., 2019).
Goals of Coral Reef Restoration
Defining clear goals is critical to effective planning, implementation, and monitoring of restoration. In conservation, goals are commonly defined as the ultimate impact you hope to achieve by conducting interventions over the medium to long term (e.g., 5–20 years; Open Standards for the Practice of Conservation, Conservation Measures Partnerships (CMP), 2020). The overarching goal of most coral reef restoration projects is to recover a functioning and self-sustaining reef ecosystem, and coral reef restoration efforts should be planned as a long-term intervention. However, there are narrower, but still important goals that motivate managers and practitioners. Below is a list of common goals for coral reef restoration (Table 1).
TABLE 1
| Goals | Rationales- use restoration to.… |
| Socio-economic goals | |
| a. Sustain or recover coastal protection | Sustain or re-establish the regulating ecosystem services provided by reefs to protect coastal communities and infrastructure by attenuating wave energy and mitigating disturbances such as erosion and coastal flooding |
| b. Sustain or recover fisheries production | Sustain or re-establish the provisioning services delivered by reefs in providing habitat and nursery areas for commercially important fisheries |
| c. Sustain or enhance local tourism opportunities | Maintain reef aesthetics to support local reef tourism and/or provide opportunities for eco-tourism experiences |
| d. Promote local coral reef stewardship | Support local communities and/or indigenous Traditional Owners to engage and reconnect with the local reef environment, improve reef custodianship and promote intrinsic value of reefs (spiritual, traditional, worship) |
| Ecological Goals | |
| a. Re-establish reef ecosystem function and structure | Rehabilitate the function, structure, diversity and health of degraded coral reef ecosystems |
| b. Mitigate population declines and preserve biodiversity | Assist the recovery of endangered coral populations, and preserve innate reef biodiversity from genes to phenotypes to ecosystems |
| Climate change mitigation and adaptation goals | |
| a. Mitigate impacts and promote reef resilience in the face of climate change | Support resistance and recovery processes to reduce risks of impact and ensure that reefs persist through current and projected changing climate conditions |
| Disturbance-driven goals | |
| a. Respond to acute disturbance to accelerate reef recovery | Assist natural recovery process when reefs are affected by acute disturbances such as storms, predator outbreaks, ship groundings, and other structural damages |
| b. Mitigate anticipated coral loss prior to disturbance | Adopt an effective “no net loss” mitigation policy whereby if a disturbance (e.g., coastal development) cannot be avoided, it should be minimized and offset for example by relocating anticipated ecological losses prior to disturbance |
Goals and associated rationales of coral reef restoration.
These goals are non-exclusive and may often complement one another. However, in planning coral restoration, clearly articulating the project goal(s) should be the first action (Shaver et al., 2020). Then, objectives can be defined to track, and accomplish the goals over short time periods (e.g., 1–3 years). To manage ecosystems effectively, objectives should be Specific, Measurable, Achievable, Relevant, and Time-bound (SMART). Objectives should be informed by reference ecosystems but should consider future-anticipated environmental change (McDonald et al., 2016; Gann et al., 2019; Goergen et al., 2020). Examples of SMART objectives specific to coral reef restoration include: XX genotypes from XX coral species outplanted on XX reefs in the first year resulting in XX% increase in genetic diversity, or XX increase in coral cover at XX site within 3 years resulting in XX% reduced wave action (Shaver et al., 2020).
Current Methods of Coral Reef Restoration
Methods of coral reef restoration are evolving rapidly with investment in research and development. A number of emerging interventions are currently being tested experimentally across various scales, from individual corals (e.g., genetics, reproduction, physiology), to coral populations, reef communities, and ecosystems. The US National Academies of Science, Engineering, and Medicine (NASEM) and the Reef Restoration and Adaptation Program (RRAP) have recently provided an extensive review of a number of interventions that could increase the physiological resilience of corals to climate change (Bay et al., 2019; National Academies of Sciences Engineering and Medicine (NASEM), 2019). The 23 intervention types investigated by NASEM include novel approaches such as cryopreservation, managed relocation of corals to promote assisted gene flow (AGF), or microbiome manipulations (National Academies of Sciences Engineering and Medicine (NASEM), 2019). The Reef Restoration and Adaptation Program (RRAP) in Australia is evaluating “moonshot” solutions that can operate across the entire scale of the Great Barrier Reef, including assisting the evolutionary adaptation of reef species to warmer waters, and mass production and release of coral larvae to seed reefs (Bay et al., 2019). Other field experiments are underway in places like Fiji and Kiribati to facilitate natural processes of reef recovery by capitalizing on innate reef resilience (Coral for Conservation, 2020). There, the focus is on using colonies that have survived recent episodes of coral bleaching as well as encouraging ecological synergies by actively removing coral predators and re-introducing fish and sea urchins to control macro-algae overgrowth (Coral for Conservation, 2020). These proposed interventions represent a substantial body of research and potential for improving reef restoration, yet most are still in the research and development phase, and may take years before becoming feasible for large-scale implementation.
In contrast, five coral reef restoration methods have already been widely applied and tested in the field (Table 2). Some are more widely used than others. For example, a recent review by Boström-Einarsson et al. (2020) found that the majority of documented projects (almost 70%) involved coral planting (e.g., direct transplantation, coral gardening). Other methods are far less popular, for example substrate manipulation methods comprised only 10% of all projects, and larval propagation 1% of all projects (Boström-Einarsson et al., 2020).
TABLE 2
| Method | Definition | |
| 1. Direct transplantation | Transplanting coral colonies or fragments without an intermediate nursery phase. | |
| 2. Coral gardening | Transplanting coral colonies or fragments with an intermediate nursery phase. Nurseries can be in situ (in the ocean) or ex situ (flow through aquaria). | |
| 3. Substrate addition (artificial reef) | Adding artificial structures for purposes of coral reef restoration as a substrate for coral recruitment, coral planting, and/or for fish aggregation | |
| 3. 1 Electro-deposition | Adding artificial structures that are connected to an electrical current to accelerate mineral accretion. | |
| 3.2 Green engineering | Adding artificial structures designed to mimic natural processes and be integrated into reef landscapes (nature-based solutions, eco-designed structures, living shorelines). | |
| 4. Substrate manipulation | Manipulating reef substrates to facilitate recovery processes. | |
| 4.1 Substrate stabilization | Stabilizing substratum or removing unconsolidated rubble to facilitate coral recruitment or recovery. | |
| 4.2. Algae removal | Removing macroalgae to facilitate coral recruitment or recovery. | |
| 5. Larval propagation | Releasing coral larvae at a restoration site, after an intermediate collection and holding phase, which can be in the ocean or on land in flow through aquaria. | |
| 5.1 Deployment of inoculated substrate | Deploying settlement substrates that have been inoculated with coral larvae. | |
| 5.2. Larval release | Releasing larvae directly at a restoration site | |
Current methods of coral reef restoration adapted from Boström-Einarsson et al. (2020).
The Value of Coral Reef Restoration in the Face of Rising Environmental Challenges
The Global Climate Change Challenge
Clearly the biggest obstacles to natural recovery of coral populations are global climate change and associated mass coral bleaching. Even if global targets set by the Paris Agreement are met in the future, current greenhouse gas emissions are still increasing, and the increase in frequency of mass-bleaching events in the last 5 years suggest that coral reefs globally are very close to their temperature limits (Hughes et al., 2018). In this context, some scientists argue that active interventions, such as reef restoration, do not address the underlying causes of reef declines (Bruno and Valdivia, 2016; Hughes et al., 2017; Bellwood et al., 2019). Coral reef restoration has been criticized as an expensive, temporary fix that is not deployable at scales that match the scale of disturbances, and a distraction from other conservation strategies that are more focused on addressing the root causes of disturbances (Bellwood et al., 2019; Morrison et al., 2020). However, it is important to differentiate among the portfolio of actions available to tackle climate change and to ensure coral reefs ecosystems and their associated services can persist in the future. Coral reef restoration is not designed to reduce climate impacts, but rather is intended as a complementary tool to support natural recovery following disturbance in key areas. Given the many uncertainties associated with different climate scenarios (Bindoff et al., 2019), the key challenge is to design coral restoration efforts such that the realities of climate change are embedded in the choice of goals, objectives, and methods (Shaver et al., 2020). It is not an “either or” situation, as climate change mitigation does not preclude investment in local management strategies designed to build the resilience and adaptation of the socio-ecological coral reef systems.
Further exacerbating the situation are local causes of reef degradation. Identifying, reducing, and/or removing these local pressures are all critical steps in effective coral reef restoration (Edwards, 2010). There is no point replanting a coral reef where corals have died due to poor water quality if water quality has not been addressed and improved prior to planting. It is also not worth the valuable and limited resources of most local reef managers to undertake restoration if the reef can recover without restoration efforts, which can happen on reefs where coral recruitment is not limited and if there is enough time between predicted disturbance events. If, on the other hand, there is a barrier to recovery that cannot be overcome naturally, then restoration is necessary to kick start system recovery.
Barriers to Natural Recovery
The most common, non-climate related, barriers to natural recovery are substrate limitations and/or recruitment limitations. Substrate limitation refers to instability and suitability, which both affect the capacity of coral larvae to recruit, settle, and grow. For example, unconsolidated coral rubble impedes coral attachment and may create further physical damage (Ceccarelli et al., 2020), while substrate covered in macroalgae impedes coral settlement (Dixon et al., 2014). Recruitment limitation occurs when the supply of coral larvae (or fragments) from reproductive adult populations is exceedingly low or when a reef is disconnected from larval supply. Finally, physiological barriers to natural recovery have emerged in places where coral growth and survival have become limited by new thermal extremes (Schoepf et al., 2015; Thomas et al., 2018).
Restoration as a Call to Action
There is a growing argument that the risk of doing nothing far outweighs the risks or uncertainties of active interventions (Anthony et al., 2017, 2020). The rapid increase in implementation of coral reef restoration strategies is driven by a sense of urgency following catastrophic loss in global coral cover in the last decade. This sense of urgency creates unique scientific uncertainties as there is not enough time to wait for climate action to be enacted, for pressures to stop, or for repeated experimental methods to be published in scientific journals before action is taken. Even in the context of continued coral declines attributed to climate change, goals outlined in Table 1 highlight the varied motives for coral reef restoration across socio-ecological scales. At local scales, and in the short-term, coral reef restoration can provide benefits such as: (1) increasing genetic diversity and thus the potential for adaptation, (2) helping to prevent the extinction of some species, (3) assisting species migration to new locations, (4) continuing to provide critical ecosystem services, and (5) providing tangible mechanisms for people to combat ecological grief. Importantly, coral reef restoration should not be considered as a solution on its own but rather as part of an integrated resilience-based management framework (e.g., McLeod E. et al., 2019) that includes a hierarchical portfolio of actions from threat reduction (i.e., climate change mitigation, water quality controls, fishing regulations), to actions that support the recovery and resistance of ecosystem processes such as marine protected areas or coral predator removal (e.g., crown-of-thorns starfish) as illustrated in Figure 1. As such, coral reef restoration may span beyond planting scleractinian corals to include interventions such as algae removal and fish introduction that support the recovery of reef function. Also, within that framework, the different strategies integrate both social and ecological adaptive capacity to manage for uncertainty and change (McLeod E. et al., 2019). Coral reef restoration can be a useful tool to support resilience, and if well integrated into a resilience-based management framework, can play a key role in meeting Sustainable Development Goals associated with the UN Decade on Ecosystem Restoration (Claudet et al., 2019). Nonetheless, implementation of coral reef restoration actions should not be haphazard and should not divert resources away from other reef management strategies that actively control stressors. Integrating investments for coral reef restoration within funding for resilience-based management may help maximize the positive impacts of current and future strategies.
Recommendations
Restoration is only one in a suite of intervention options available to reef managers. Reef restoration should always be undertaken in concert with complementary strategies and integrated in a resilience-based management framework (Hein et al., 2020a, UNEP). Also, restoration might not always be appropriate. The following considerations, should be made prior to planning and designing: (1) assess the cause(s) of coral decline (e.g., pollution, human activities, bleaching); (2) review factors affecting the potential for natural recovery of corals (e.g., spawning capacity, barriers to coral recruitment, limits to coral growth); and (3) determine which intervention is best suited under the circumstances to achieve the stated goals of the restoration project (Edwards, 2010; Hein et al., 2020a, UNEP). These steps will help identify (a) whether coral reef restoration is necessary, and (b) what might need to done beforehand (e.g., improving water quality, improving the physical integrity of reef substrate, or recovering key ecological processes (Edwards, 2010; Hein et al., 2020a, UNEP).
Planning and Design
Restoration is not a “one size fits all” approach, and each aspect of a restoration program, from goals to methods used, should be tailored to the specific needs and abilities of each location. Key elements of effective and efficient designs include: (1) defining SMART goals and objectives, (2) developing a climate-smart, adaptive strategy, and (3) engaging stakeholders early (Shaver et al., 2020). Pilot studies should be included to refine the choices of sites and methods and the overall action plan prior to full implementation (Shaver et al., 2020). In addition, current information and projections on the specific vulnerability of a reef site to climate change should be incorporated in initial planning to ensure the chosen intervention(s) have a chance to withstand future conditions (West et al., 2017, 2018; Shaver et al., 2020). Engaging with stakeholders, local communities, indigenous communities, and traditional owners in all stages of restoration planning and implementation is critical to reduce potential conflicts associated with the use of reef resources and to maximize collaborations and investment opportunities (Gann et al., 2019; DeAngelis et al., 2020). Incorporating traditional or local knowledge of the specific reef system of concern will improve the chances of restoration success. Appropriate engagement and communication are critical to maximize the flow of socio-cultural and economic benefits beyond the people directly involved in the restoration effort, therefore securing longer-term support. Coral reef restoration can be a useful educational tool that encourages tangible behavioral changes and improves the social resilience of local communities, the economic resilience of local reef-reliant industries, as well as the ecological resilience of the reef (Hein et al., 2019).
Monitoring and Communication
Appropriate monitoring of coral reef restoration efforts should assess outcomes against initial goals and objectives at appropriate time scales. Monitoring is crucial to inform and facilitate adaptive management, and to increase transparency and accountability. Ideally, restoration efforts should be set up in a way that allows for an assessment of effectiveness with control sites and/or following a before/after/control/impact (BACI) design (see Falk et al., 2006; Gann et al., 2019; Goergen et al., 2020), and monitored and evaluated consistently (Pioch et al., 2017), so improvements can be made as the project evolves and environmental conditions change. Comparing outcomes across projects will necessitate a standardization of monitoring protocols across socio-ecological dimensions (Hein et al., 2017; Goergen et al., 2020). Systematically monitoring a few metrics (e.g., dimension of restored area, genotypic diversity, coral population abundance) as outlined in Goergen et al. (2020) is also important to further the understanding of the effectiveness of coral reef restoration to assist the recovery of degraded reefs. Monitoring outcomes also need to be better communicated to improve collaboration and outreach (DeAngelis et al., 2020). Within a project community, it is important to communicate often to keep the public engaged and to use non-scientific language that is easily understandable and relevant to target audiences. Communication among managers and practitioners is also important to share successes, failures, and foster collaborations to advance the field.
Restoration Goals
Defining specific goals and objectives will help managers and practitioners develop targeted monitoring plans and enhance the clarity of reporting on the outcomes of their project(s). In many instances, project(s) will tackle more than one goal at a time and accrue multiple benefits as a result. However, each goal comes with specific challenges. The tables and figures below are provided to help cross reference goals, methods, and other relevant factors. In Table 3 we provide key considerations for various restoration goals. For example, goals associated with sustaining tourism may be accomplished in relatively short time frames (<3 years) if tourism operators are involved in the project early-on, with clear communication plan and sustainable funding schemes (Table 3). Projects attending to acute disturbances require effective emergency management plans to succeed in a short time frame. On the longer end of the spectrum, re-establishing a self-sustaining, functioning reef ecosystem is a more complex, longer-term goal that depends upon other ecological variables (e.g., water quality, genetic diversity of corals). Choosing goals should be done thoughtfully and with respect not only to the environmental challenges but with respect to the capacity of management (e.g., sustainable funding, interest, personnel).
TABLE 3
| Goals | Socio-economic goals | |||
|
|
|
|||
| Sub-goals | a. Recover and sustain coastal protection | b. Recover and sustain fisheries production | c. Sustain local tourism opportunities | d. Promote local coral reef stewardship |
| Timeframe | Medium (3–5 years) | Long (>5 years) | Short (<3 years) | Short (<3 years) |
| Key considerations | - Use nature-based solutions (green engineering, eco-design, biomimetics) as much as possible - Careful consideration of hydrology in site selection - Functional design should include ecological and physical function (habitat, species) - Consult with engineers so designs are robust (durable) against future disturbances and eco-friendly - Embed with coastal protection policies |
- Site selection should consider fisheries protection and connectivity to healthy fish population - Design should maximize complexity and diversity of substrates - Design should consider potential for recruitment of desirable species - Engage fishermen and local communities as early as possible |
- Engage the tourism industry in the project as early as possible - Develop effective communication plan - Design should incorporate aesthetics considerations - Develop specific training to reduce risks of doing more harm than good - Follow sustainable funding models |
- Engage local stakeholders in the project as early as possible -Incorporate indigenous knowledge is site selection and project design -Target young people - Develop effective communication plan - Embed within Resilience Based Management frameworks |
|
|
||||
| Goals | Ecological goals | Climate adaptation and support goals | ||
|
|
|
|
||
| Sub-goals | a. Re-establish reef ecosystem function and structure | b. Mitigate population declines and preserve biodiversity | c. Mitigate impacts and promote reef resilience through climate change | |
|
|
||||
| Timeframe | Long (>5 years) | Medium (3–5 years) | Medium (3–5 years) | |
| Key considerations | - Long-term process - Integrate within Resilience-Based Management frameworks - Maximize diversity and functional redundancy from genotypes, to species, and growth forms - Consider positive ecological feedbacks beyond coral transplantation |
- Careful site selection where disturbances have been mitigated - In situ and ex situ nurseries can be used as gene banks for endangered species - Maximize genetic diversity especially when target specific species |
- Site selection and project design based on climate smart models - Species selection based on local knowledge of resilient coral assemblages and functional redundancy - Integrate research on coral adaptation mechanisms | |
|
|
||||
| Goals | Disturbance-driven goals | |||
|
|
|
|||
| Sub-goals | a. Respond to acute disturbance to accelerate reef-recovery | b. Mitigate anticipated coral loss prior to disturbance | ||
|
|
||||
| Timeframe | Short (<3 years) | Short (<3 years) | ||
| Key considerations | - Stabilize substrate and immediate triage of live corals - Mitigate source of disturbance prior to restoring - Have an emergency response plan in place ahead of time (similar to oil spill response planning) - Might be constrained by insurance and permitting rules |
- If possible, move corals to in situ or ex situ nurseries prior to disturbance - Relocation site should have similar environmental parameters than donor site - Mitigating the disturbance to avoid relocation is always the favored solution - Aim for “no-net loss” to offset ecological losses | ||
Key considerations for applying coral reef restoration to satisfy specific goals.
Method(s) Selection
There are a growing number of methods for coral reef restoration and selecting a method should be done with careful consideration of the projects’ goals.
Method(s) selection should be driven by specific goals the coral restoration efforts are designed to achieve. An index matrix prepared by experts in the field informs the suitability of each currently established methods for a particular goal (Figure 2). There, methods were ranked from least to most appropriate in fulfilling specific goals, based on the best-available current knowledge. For example, larval release and the deployment of inoculated substrates were ranked as most appropriate for the goal of mitigating population decline and preserving biodiversity (Figure 2), on the basis that these two methods will maximize genetic diversity at the restored site(s). Note that for most projects, multiple methods may be used to satisfy specific goals and associated objectives. For example, for the goal of responding to acute disturbances to accelerate recovery, both methods of direct transplantation and substrate stabilization were identified as most appropriate (Figure 2). Location and project specific characteristics should guide the choice of methods further (Shaver et al., 2020). Interestingly, for many of the goals (e.g., recover and sustain coastal protection, recover and sustain fisheries production), none of the current methods were ranked as “most appropriate,” further highlighting some critical gaps between the goals and current methods for coral reef restoration. However, given the fast pace at which the field of coral reef restoration is expanding and the increasing level of investment, new methods that may be more appropriate are in development.
FIGURE 2

Method suitability matrix for each coral reef restoration goals. The darker the color, the more appropriate a method is to each specific goal. Note that for many goals multiple methods may be suitable.
Providing guidance on how and when to use various methods of restoration was part of the driving force behind the UNEP Report (Hein et al., 2020a, UNEP). Each of the established coral reef restoration methods comes with its own set of benefits and challenges. The rationale behind selecting one method over another is generally not reported in the literature. The lack of guidance is likely due, again, to a lack of monitoring and reporting of long-term outcomes of coral reef restoration efforts (Hein et al., 2017; Boström-Einarsson et al., 2020), but also to a lack of studies that compare outcomes from different coral reef restoration methods (Hein et al., 2020b). Many different criteria may be considered when selecting one type of intervention over another, many of which will be location- and project-specific (Shaver et al., 2020). For example, one might consider the flexibility of a method in terms of the ease of implementing and adjusting the effort to adapt to unforeseen disturbances; others might be driven by externalities associated with permit requirements such as ensuring local communities can actively be involved in the restoration process. Three criteria: cost, efficiency, and scalability are particularly important driving forces of that decision-making process.
Cost, Efficiency, and Scalability
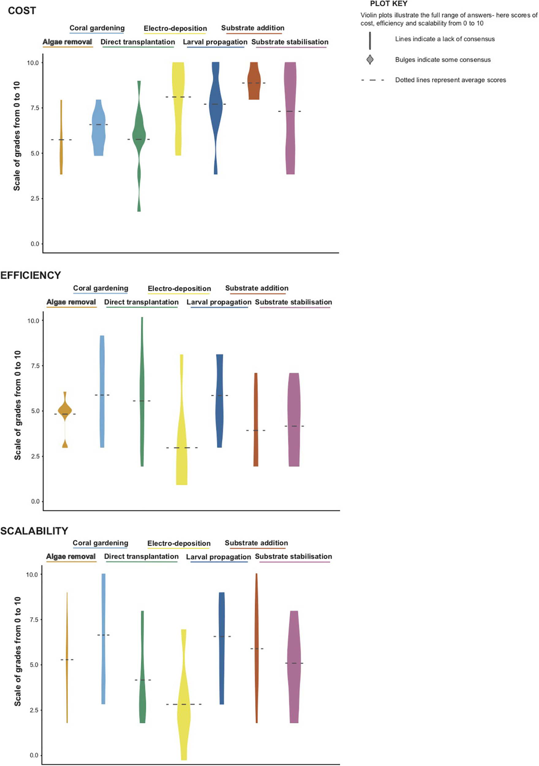
Eleven coral reef restoration experts assessed each of the most established coral reef restoration methods. Experts were selected from the ICRI ad hoc committee on coral reef restoration as well as from the CRC leadership team and ranged from academics, to managers, and practitioners from various reef regions around the globe. Scores were provided for three criteria: cost, efficiency and scalability, providing a qualitative comparison among methods (Figure 3). Results, presented as violin plots, help identify consensus and variability among the experts’ opinions and display variability in the responses. For example, there was consensus on the high cost of substrate addition methods, but high variability on the efficiency and scalability of this method. Electro-deposition ranked as the least efficient and scalable, and among the costliest methods (Figure 3). There was high variability in the scores overall—most plots spanning almost the whole range from 0 to 10 (Figure 3), which is likely due to the lack of rigorous monitoring and the limited implementation of some of the methods (e.g., larval restoration, Boström-Einarsson et al., 2020). With appropriate monitoring (as suggested by Goergen et al., 2020), estimates of cost-effectiveness and scalability could improve given increasing investment in coral reef restoration. However, for most methods, the overall trend of high costs but medium to low efficiencies (Figure 3. The discrepancies of opinions among experts for most metrics also reflect the relative youth of coral reef restoration science and highlight the future opportunities for innovations and solutions that are more scalable, affordable and effective building upon the body of work and experiences gained in the field to date.
FIGURE 3

Violin plots representing cost, effectiveness, and scalability of seven common coral reef restoration methods, graded on a scale of 0–10 by n = 11 global experts
Challenges and recommendations for each of method are highlighted in Table 4. While not prescriptive, Table 4 is intended to provide guidance, beyond the suitability of methods to goals outlined in Figure 2, and the relative cost, efficiency, and scalability illustrated in Figure 3. For example a group interested in restoring a reef for the goals of “preserving biodiversity” as well as “sustaining local tourism opportunities,” may choose to combine at least two methods- larval propagation methods would help ensure long-term coral genetic variation and potential for adaption, while coral gardening could engage local tourists and create a sustainable funding mechanism. Another group may want to increase fisheries productions while protecting their coastline. This group may use artificial substrate to protect their coastline, and plant branching coral from a nearby nursery (or coral garden) on the substrate to provide fish with complex habitat. If these methods are too costly, substrate stabilization and direct transplantation of corals of opportunity could be substituted. We hope the series of tables and figures provided here are a helpful guide to thinking through the various goals and methods of restoration, which vary widely depending on local environmental condition, available capacity, and funding.
TABLE 4
| Methods ▼ | Challenges | Recommendations | |
| 1. Direct transplantation | - Can be expensive - Availability of diverse coral fragments as donor material - Limited to small scale projects |
- Planting sites should be as similar to donor site as possible - Avoid planting during storm and bleaching season - Maximize diversity of fragments as much as possible - Attachment methods: invest time, use non-toxic materials and/or chemicals - Use citizen science to reduce cost and increase engagement - Plan to monitor and maintain outplanting site |
|
| 2. Coral gardening | - Cost and labor intensive - Limited to small scale projects - Material used are often not eco-friendly or not resistant to damage or degradation over time - Health of corals can be compromised due to algae overgrowth and spread of disease in high density nurseries - Requires sustained maintenance that can be expensive | - Carefully consider depth and other environmental factors (e.g., water quality, wave action) at nursery sites - Plan for extreme weather events - Plan to maximize diversity of fragments in nursery- growth forms, sources, genetic - Two-step process: see recommendations for direct transplantation - Plan for long-term maintenance and removal of the nursery once restoration project is complete |
|
| 3. Substrate addition (artificial structures) | 3.1 Electro-deposition | - Very expensive and difficult to deploy - Limited evidence of success - Needs a reliable power source | - Develop more research to justify its usefulness compared to simpler structures - Consider alternative local sources of energy (solar, wind) |
| 3.2 Green engineering (Nature Base Solution, eco-design) | - Expensive to design and deploy - Limited to small scale projects - Limited evidence of success linked to structures being overgrown by corals - Failure can have lasting detrimental effect on reef aesthetics (e.g., concrete blocks) | - Consult engineers for optimal design depending on goals - Materials should become living structures (recruitment potential on the structure following bio-mimetic principles of green engineering) - Consider impact of structure(s) on the site hydrodynamics, and aesthetics - Mostly relevant when reef structure and stability has been compromised |
|
| 4. Substrate manipulation | 4.1 Substrate stabilization | - Can be very expensive to deploy - Can have poor aesthetics - Limited evidence of success- approaches not very well documented - Difficult to assess when it’s appropriate to use (natural recovery versus intervention) | - More research into natural ways to stabilize substrate (e.g., natural binding by sponges or crustose coralline algae) - Apply careful consideration of hydrodynamics |
| 4.2 Algae removal | - Algae can grow back quickly - Very labor intensive - Risk of removing natural, non-invasive algae species and disrupt positive ecological processes | - Use in conjunction with other intervention that increase herbivory and control water quality - Time removal around coral recruitment - Use citizen science and volunteers to reduce and maximize engagement |
|
| 5. Larval propagation | 5.1 Deployment of inoculated substrate | - Expensive, labor intensive, and requires expert knowledge - Limited evidence of long-term success due to the novelty of the method - Substrates can become overgrown by algae, sponges, and other sessile invertebrates compromising recruits’ health and survival | - Need to improve coral recruits’ growth and survival substrates - Invest in technology development and training to scale-up current efforts - Optimize outplanting strategy to promote self-sustaining populations of sexual recruits |
| 5.2 Larvae release | - Expensive- requires a lot of equipment and involvement of experts - Difficult to engage the public and community members - Evidence of success currently limited by high post-settlement mortality - Timing of action dictated by coral spawning - Long time scale for meaningful ecological outcomes | - Consider mixing genets from different regions (Assisted Gene Flow) - Potentially one of the most scalable methods for coral reef restoration, and a research priority for making this method more accessible and improving coral recruits health, growth, and survival | |
Specific challenges and recommendations for each of the currently established methods of coral reef restoration.
Conclusion and Recommendations
The need for restoration is accelerating as coral reefs around the world continue to experience catastrophic declines in coral health and cover. One of the roles of the UNEP is to provide expert guidance on how coral reef restoration interventions may be used to protect and enhance the delivery of reef ecosystem services in the future. In this synthesis, several key recommendations emerge. First, it is important to recognize that coral reef restoration is not a “silver bullet” designed to address the rising threats of climate change and anthropogenic disturbances. It should never be used as an excuse to justify reef degradation. Second, coral reef restoration can be a useful tool to support resilience, especially at local scales where coral recruitment is limited, and disturbances can be mitigated. Third, coral reef restoration interventions should be integrated within a resilience management framework, as a continuum of reactive and proactive actions, focusing not just on restoring hard corals but the overall function of the reef community. Fourth, monitoring of appropriate metrics over time is essential so that management decisions can be more scientifically robust. Finally, applying coral reef restoration methods effectively and efficiently requires “climate-smart” designs that account for future uncertainties and changes (Parker et al., 2017; West et al., 2017, 2018). Current information and projections on the specific vulnerability of a reef site to climate change should be incorporated in initial planning to ensure the chosen intervention(s) have a chance to withstand future conditions (Van Hooidonk et al., 2016; Shaver et al., 2020).
Following recommendations from the Society for Ecological Restoration, we suggest coral reef restoration strategies follow four critical directions: (1) planning and assessing around specific goals and objectives, (2) identifying adaptive strategies to balance risks and trade-offs, (3) engaging communities in all stages of the restoration efforts, (4) developing long-term monitoring plans to allow for adaptive management and improving the understanding of methods’ effectiveness for specific goals. With ongoing and further investment in research and development, the cost-effectiveness of established and new methods should improve the scalability and effectiveness of coral reef restoration interventions. Supporting such investment is critical to improving the capacity to intervene locally and globally and improve the chances for coral reefs to thrive into the future.
Statements
Author contributions
MH, IM, ES, TV, SP, LB-E, MA, and GG conceived the manuscript and reviewed and edited the manuscript. MH, IM, TV, and GG wrote the manuscript. All authors contributed to the article and approved the submitted version.
Funding
This work was funded by the Swedish International Development Cooperation Agency, the Principality of Monaco, and the Australian Government’s National Environmental Science Programme Tropical Water Quality Hub (NESP TWQ) funding to IM, MH, and LB-E.
Acknowledgments
We would like to express our gratitude to the following experts for supporting this manuscript through the provision of review and guidance: Austin Bowden-Kerby, Emily Corcoran, Alasdair Edwards, Jessica Levy, Jennifer Loder, Joanie Kleypas, Jennifer Koss, Elizabeth McLeod, Phanor Montoya-Maya, Buki Rinkevich, Francis Staub, David Suggett, Didier Zoccola, Amanda Brigdale, Anastazia Banaszak, Agnes LePort, Tory Chase, as well as members of the ICRI Ad Hoc Committee on coral reef restorations, and the leadership team of the CRC. We thank them for providing their valuable time, knowledge and expertise, continuous trust and exemplary collaboration and professionalism.
Conflict of interest
The authors declare that the research was conducted in the absence of any commercial or financial relationships that could be construed as a potential conflict of interest.
References
1
AIDA-Americas (2019). Costa Rica Issues Decree to Protect its Coastal Ecosystems. Available online at: https://aida-americas.org/es/prensa/celebramos-que-costa-rica-proteja-legalmente-sus-corales(accessed October 10, 2020).
2
Anthony K. Bay L. K. Costanza R. Firn J. Gunn J. Harrison P. et al (2017). New interventions are needed to save coral reefs.Nat. Ecol. Evol.11420–1422.
3
Anthony K. Helmstedt K. Bay L. Fidelman P. Hussey K. E. Lundgren P. et al (2020). Interventions to help coral reefs under global change – a complex decision challenge.PLoS One15:e0236399. 10.1371/journal.pone.0236399
4
Bay L. K. Rocker M. Boström-Einarsson L. Babcock R. Buerger P. Cleves P. et al (2019). Reef Restoration and Adaptation Program: Intervention Technical Summary. A Report Provided to the Australian Government by the Reef Restoration and Adaptation Program.Townsville, QL: Australian Institute of Marine Science, 89.
5
Bayraktarov E. Brisbane S. Hagger V. Smith C. S. Wilson K. A. Lovelock C. E. et al (2020). Priorities and motivations of marine coastal restoration research.Front. Mar. Sci.7:484. 10.3389/fmars.2020.00484
6
Bayraktarov E. Saunders M. I. Abdullah S. Mills M. Beher J. Possingham H. P. et al (2016). The cost and feasibility of marine coastal restoration.Ecol. Appl.261055–1074. 10.1890/15-1077
7
Bellwood D. R. Pratchett M. S. Morrison T. H. Gurney G. C. Hughes T. P. Alvarez-Romero J. G. et al (2019). Coral reef conservation in the Anthropocene: confronting spatial mismatches and prioritizing functions.Biol. Conserv.236604–615. 10.1016/j.biocon.2019.05.056
8
Bindoff N. L. Cheung W. W. L. Kairo J. G. Aristegui J. Guinder V. A. Hallberg R. et al (eds) (2019). “Changing ocean, marine ecosystems, and dependent communities,” in IPCC Special Report on the Ocean and Cryosphere in a Changing Climate, edsPörtnerH. O.RobertsD. C.Masson-DelmotteV.ZhaiP.TignorM.PoloczanskaE.et al (Geneva: IPCC).
9
Boström-Einarsson L. Babcock R. C. Bayraktarov E. Ceccarelli D. Cook N. Ferse S. C. A. et al (2020). Coral restoration – a systematic review of current methods, successes, failures and future directions.PLoS One15:e0226631. 10.1371/journal.pone.0226631
10
Bruno J. F. Valdivia A. (2016). Coral reef degradation is not correlated with local human population density.Sci. Rep.6:29778.
11
Ceccarelli D. M. McLeod I. M. Boström-Einarsson L. Bryan S. E. Chartrand K. M. Emslie M. J. et al (2020). Small structures and substrate stabilisation in coral restoration: state of knowledge, and considerations for management and implementation.PLoS One15:e0240846. 10.1371/journal.pone.0240846
12
Claudet J. Bopp L. Cheung W. W. L. Devillers R. Escobar-Briones E. Haugan P. et al (2019). A roadmap for using the UN decade for ocean science for sustainable development in support of science, policy, and action.One Earth234–42.
13
Conservation Measures Partnerships (CMP) (2020). Open Standards for the Practice of Conservation Version 4.0. Available online at: https://conservationstandards.org/about/(accessed September 7, 2020).
14
Coral for Conservation (2020). Mission Statement. Available online at: https://corals4conservation.org(accessed October 10, 2020).
15
Coral Restoration Consortium (CRC) (2020). Restoration. Available online at: http://crc.reefresilience.org/restoration/(accessed October 1, 2020).
16
DeAngelis B. M. Sutton-Grier A. R. Colden A. Arkema K. K. Bailie C. J. Bennett R. O. et al (2020). Social factors key to landscape-scale coastal restoration: lessons learned from three US case studies.Sustainability12:869. 10.3390/su12030869
17
Dixon D. L. Abrego D. Hay M. E. (2014). Chemically mediated behavior of recruiting corals and fishes: a tipping point that may limit reef recovery.Science345892–897. 10.1126/science.1255057
18
Duarte C. M. Agusti S. Barbier E. Britten G. L. Castilla J. C. Gattuso J. P. et al (2020). Rebuilding marine life.Nature58039–51. 10.1038/s41586-020-2146-7
19
Edwards A.J. (ed.) (2010). Reef Rehabilitation Manual, Vol. ii. St. Lucia, QLD: Coral Reef Targeted Research & Capacity Building for Management Program, 166.
20
Falk D. A. Palmer M. A. Zedler J. B. (2006). Foundations of Restoration Ecology. In Ecoscience.Washington, DC: Island Press.
21
Fragments of Hope (2020). Recent Research News. Available online at: http://fragmentsofhope.org/inside-scoop/article-links/(accessed October 10, 2020).
22
Gann G. D. McDonald T. Walder B. Aronson J. Nelson C. R. Johnson J. et al (2019). International Principles and Standards for the Practice of Ecological Restoration.Washington, DC: Society for Ecological Restoration.
23
Goergen E. A. Schopmeyer S. Moulding A. Moura A. Kramer P. Viehman S. (2020). Coral Reef Restoration Monitoring Guide: Best Practices for Monitoring Coral Restorations From Local to Ecosystem Scales. NOAA Technical Memorandum xx-xx. Silver Spring, MD: National Ocean Service, National Centers for Coastal Ocean Science, XX.
24
Hansen J. Sato M. Ruedy P. Kharecha P. Lacis A. Miller R. et al (2007). Dangerous human-made interference with climate: a GISS modelE study.Atmos. Chem. Phys.72287–2312.
25
Hein M. Y. Beeden R. Birtles R. A. Gardiner N. M. LeBerre T. Levy J. et al (2020b). Coral restoration effectiveness: multiregional snapshots of the long-term responses of coral assemblages to restoration.Diversity12:153. 10.3390/d12040153
26
Hein M. Y. Birtles A. Willis B. L. Gardiner N. Beeden R. Marshall N. A. (2019). Coral restoration: socio-ecological perspectives of benefits and limitations.Biol. Conserv.229:25.
27
Hein M. Y. McLeod I. M. Shaver E. C. Vardi T. Pioch S. Boström-Einarsson L. et al (2020a). Coral Reef Restoration as a Strategy to Improve Ecosystem Services A Guide to Coral Restoration Methods.Nairobi: United Nations Environment Program.
28
Hein M. Y. Willis B. L. Beeden R. Birtles A. (2017). The need for broader ecological and socio-economic tools to evaluate the effectiveness of coral restoration programs.Restor. Ecol.25877–883.
29
Hughes T. P. Anderson K. D. Connolly S. R. Heron S. F. Kerry J. T. Lough J. M. et al (2018). Spatial and temporal patterns of mass bleaching of corals in the Anthropocene.Science35980–83. 10.1126/science.aan8048
30
Hughes T. P. Kerry J. T. Alvarez-Noriega M. Alvarez-Romero J. G. Anderson K. D. Babcock R. C. et al (2017). Global warming and recurrent mass bleaching of corals.Nature543373–377.
31
IPCC (2018). “Summary for policymakers,” in Global Warming of 1.5°C. An IPCC Special Report on the Impacts of Global Warming of 1.5°C Above Pre-Industrial Levels and Related Global Greenhouse Gas Emission Pathways, in the Context of Strengthening the Global Response to the Threat of Climate Change, Sustainable Development, and Efforts to Eradicate Poverty, edsMasson-DelmotteV.ZhaiP.PörtnerH. O.RobertsD.SkeaJ.ShuklaP. R.et al (Geneva: World Meteorological Organization).
32
Leocadie A. Pioch S. Pinault M. (2020). Guide to Ecological Engineering: The Restoration of Coral Reefs and Associated Ecosystems.ed.Ifrecor and ICRI. Available online at: https://www.icriforum.org/guide-to-ecological-engineering-the-restoration-of-coral-reefs-and-associated-ecosystems/(accessed September 22, 2020).
33
McDonald T. Gann G. D. Jonson J. Dixon K. W. (2016). International Standards for the Practice of Ecological Restoration- Including Principles and Key Concepts.Washington, DC: Society for Ecological Restoration.
34
McLeod E. Anthony K. Mumby P. J. Maynard J. Beeden R. Graham N. et al (2019). The future of resilience-based management in coral reef ecosystems.J. Environ. Manag.233291–301.
35
McLeod I. M. Newlands M. Hein M. Boström-Einarsson L. Banaszak A. Grimsditch G. et al (2019). Mapping Current and Future Priorities for Coral Restoration and Adaptation Programs.International Coral Reef Initiative Ad Hoc Committee on Reef Restoration 2019 Interim Report. Townsville, QLD: James Cook University of North Queensland, 44.
36
Morrison T. Adger N. Barnett J. Brown K. Possingham H. Hughes T. P. (2020). Advancing coral reef governance into the Anthropocene.One Earth264–74. 10.1016/j.oneear.2019.12.014
37
National Academies of Sciences, Engineering, and Medicine (NASEM) (2019). A Research Review of Interventions to Increase the Persistence and Resilience of Coral Reefs.Washington, DC: The National Academies Press. 10.17226/25279
38
National Oceanic and Atmospheric Administration (NOAA) (2018). Strategic Plan for the Coral Reef Conservation Program.Silver Spring, MD: NOAA.
39
Pandolfi J. M. Bradbury R. H. Sala E. Hughes T. P. Bjorndal K. A. Cooke R. G. (2003). Global trajectories of the long-term decline of coral reef ecosystems.Science301955–958. 10.1126/science.1085706
40
Parker B. A. West J. M. Hamilton A. T. Courtney C. A. MacGowan P. Koltes K. H. et al (2017). Adaptation Design Tool: Corals and Climate Adaptation Planning. NOAA Coral Reef Conservation Program. Technical Memorandum CRCP 27. Silver Spring, MD: NOAA.
41
Pioch S. Pinault M. Brathwaite A. Méchin A. Pascal N. (2017). Methodology for Scaling Mitigation and Compensatory Measures in Tropical Marine Ecosystems: MERCI-Cor. IFRECOR Handbook, 78. Available online at: https://www.icriforum.org/wp-content/uploads/2020/05/HandBookMERCICOR.pdf(accessed September 22, 2020).
42
Rinkevich B. (2019). The active reef restoration toolbox is a vehicle for coral resilience and adaptation in a changing world.J. Mar. Sci. Eng.7:201. 10.3390/jmse7070201
43
Schoepf V. Stat M. Falter J. L. McCulloch M. (2015). Limits to the thermal tolerance of corals adapted to a highly fluctuating, naturally extreme temperature environment.Sci. Rep.5:17639.
44
Shaver E. Courtney C. West J. Maynard J. Hein M. Wagner C. et al (2020). A Manager’s Guide to Coral Reef Restoration Planning and Design. Silver Spring, MD: NOAA Coral Reef Conservation Program. Technical Memorandum CRCP 33. 120.
45
Society for Ecological Restoration International Science and Policy Working Group (2004). The SER International Primer on Ecological Restoration.Tucson, AZ: Society for Ecological Restoration. www.ser.org, Tucson
46
Suraswadi P. Yeemin T. (2013). Coral reef restoration plan of Thailand.Galaxea J. Coral Reef Stud.15428–433. 10.3755/galaxea.15.428
47
Thomas L. Rose N. H. Bay R. A. López E. H. Morikawa M. K. Ruiz-Jones L. et al (2018). Mechanisms of thermal tolerance in reef-building corals across a fine-grained environmental mosaic: lessons from Ofu, American Samoa.Front. Mar. Sci.4:434. 10.3389/fmars.2017.00434
48
United Nations Environment Assembly (UNEA) (2019). Report of the United Nations Environment Assembly of the United Nations Environment Programme. Fourth Session (Nairobi, 11-15 March 2019). Available online at: http://undocs.org/pdf?symbol=en/A/74/25(accessed September 7, 2020).
49
Van Hooidonk R. Maynard J. Tamelander J. Gove J. M. Ahmadia G. N. Raymundo L. J. et al (2016). Local-scale projections of coral reef futures and implications of the Paris Agreement.Sci. Rep.6:39666.
50
West J. M. Courtney C. A. Hamilton A. T. Parker B. A. Gibbs D. A. Bradley P. et al (2018). Adaptation design tool for climate-smart management of coral reefs and other natural resources.Environ. Manag.62644–664. 10.1007/s00267-018-1065-y
51
West J. M. Courtney C. A. Hamilton A. T. Parker B. A. Julius S. H. Hoffman J. et al (2017). Climate-smart design for ecosystem management: a test application for coral reefs.Environ. Manag.59102–117. 10.1007/s00267-016-0774-3
Summary
Keywords
coral restoration, climate change, recommendations, intervention, efficiency, scalability
Citation
Hein MY, Vardi T, Shaver EC, Pioch S, Boström-Einarsson L, Ahmed M, Grimsditch G and McLeod IM (2021) Perspectives on the Use of Coral Reef Restoration as a Strategy to Support and Improve Reef Ecosystem Services. Front. Mar. Sci. 8:618303. doi: 10.3389/fmars.2021.618303
Received
16 October 2020
Accepted
08 March 2021
Published
01 April 2021
Volume
8 - 2021
Edited by
Jesús Ernesto Arias González, Instituto Politécnico Nacional de México (CINVESTAV), Mexico
Reviewed by
Melissa Garren, California State University, Monterey Bay, United States; Ernesto Weil, University of Puerto Rico at Mayagüez, Puerto Rico
Updates
Copyright
© 2021 Hein, Vardi, Shaver, Pioch, Boström-Einarsson, Ahmed, Grimsditch and McLeod.
This is an open-access article distributed under the terms of the Creative Commons Attribution License (CC BY). The use, distribution or reproduction in other forums is permitted, provided the original author(s) and the copyright owner(s) are credited and that the original publication in this journal is cited, in accordance with accepted academic practice. No use, distribution or reproduction is permitted which does not comply with these terms.
*Correspondence: Margaux Y. Hein, Margaux.hein@my.jcu.edu.au
This article was submitted to Coral Reef Research, a section of the journal Frontiers in Marine Science
Disclaimer
All claims expressed in this article are solely those of the authors and do not necessarily represent those of their affiliated organizations, or those of the publisher, the editors and the reviewers. Any product that may be evaluated in this article or claim that may be made by its manufacturer is not guaranteed or endorsed by the publisher.