Abstract
Swim-with-whale tourism has expanded across several countries globally, with humpback whales (Megaptera novaeangliae) being the most commonly targeted species of baleen whale. Behavioural responses from humpback whales to swim-with-whale tours have been reported, however, responses are likely context-dependent. In 2014, swimming with humpback whales began in Hervey Bay, Queensland, Australia, an important resting ground and migratory stopover for humpback whales. The behavioural responses of humpback whales to this swim-with-whale industry have not been examined in Queensland, preventing informed management of this industry. The aims of this study were to: (1) examine short-term behavioural responses in whales before, during, and after swim-with-whale tours, and (2) investigate behavioural responses of whales throughout swim-with-whale tours compared to whale watch tours. Data were collected on board a commercial vessel, where before, during and after data were collected during swim-with-whale tours (250 h) and whale watch tours (150 h). Within the swim-with-whale tours, behavioural changes were detected before, during, and after the vessel approached and placed swimmers in the water on a mermaid line, with the majority of significant changes occurring in the during and after phases. The number of direction changes made by the whales was highest when swimmers were in the water and the whales did not resume undisturbed behaviour after the swimmers exited the water. There was a 50% reduction in the proportion of time that whales spent resting during swim-tours compared to during whale watch tours. In both tour types, the time spent engaging in various behaviours was impacted by the distance between the vessel and the whale(s). These results support the conclusion that the behaviour of humpback whales in Hervey Bay was altered in response to swim-with-whale tourism. As humpback whales are capital breeders with limited energy reserves, reducing disturbance to them is of high importance for their continued population recovery and for the sustainability of the marine tourism industry. In Australia, where swim-with-whale tourism is becoming more established, robust education and enforcement programs, combined with continued monitoring of population dynamics through scientific research, are needed to minimise impacts to the population and guide adaptive management strategies.
Introduction
Whale watching has grown into a global marine industry that has created significant environmental, educational, scientific, and socioeconomic benefits for coastal communities around the world (Hoyt, 2001; O’Connor et al., 2009). Generating over $2 billion USD annually, the whale watch industry has placed an economic value to whales and dolphins and the types of interactions people have with them (Parsons, 2012). Over the past few decades, as the interest and value of the industry has grown, commercial operations have diversified the ways in which they facilitate interactions between members of the public and whales and dolphins in the wild (Samuels et al., 2000; Hoyt, 2001; Rose et al., 2005). One form of interaction that has emerged is the “swim-with” industry in which humans enter the water and attempt to closely observe free-ranging whales and dolphins (Samuels and Bejder, 2004; Rose et al., 2005). One of the first known commercial swim-with-whale programs developed during the mid-1900s off the Great Barrier Reef, Australia, after dwarf minke whales (Balaenoptera acutorostrata) began interacting with snorkelers (Arnold, 1997; Birtles et al., 2002; Valentine et al., 2004). Since then, the swim-with-whale industry has expanded across several countries globally (Hendrix and Rose, 2014). Worldwide, humpback whales (Megaptera novaeangliae) and dwarf minke whales are the most frequently targeted species for swim-with-whale activities (Gero et al., 2016). Humpback whales are commonly targeted as they are a cosmopolitan species and are easy to access as they migrate along coastal landmasses (Hendrix and Rose, 2014). Other large whale species are also sought after for close, in-water interactions, including blue (Balaenoptera musculus), fin (Balaenoptera physalus), and southern right (Eubalaena australis) whales (Hendrix and Rose, 2014). The list of locations and targeted species continues to grow as the swim-with-whale industry rapidly expands around the world (Stack and Serra, 2021). The design of swim-with commercial operations varies regionally in the type of permitted approach for vessels and swimmers for vessels and swimmers. The types of permitted approaches include floating at the surface with or without a tether, diving underwater on a breath hold and/or scuba diving (Stack and Serra, 2021).
Despite the growing industry, limited research has evaluated the impacts of swim-with-whale tourism on large baleen whale species. In some locations and for some species, behavioural responses from swim-with-whale activities have been evaluated. Off Argentina, southern right whales decreased their proportion of time spent resting and increased the proportion of time spent travelling, with mothers and calves being most sensitive to the presence of swimmers (Lundquist et al., 2013). Off the Kingdom of Tonga, Kessler et al. (2013) reported that humpback whales moved away from swim-with-whale tour groups more quickly when swimmers were loud and splashing on the surface of the water. Fiori et al. (2019) noted that humpback whales, particularly mother-calf pairs, exhibited vertical avoidance strategies, such as increasing the duration of dives and increasing the proportion of time spent diving. Off Western Australia, migrating humpback whales adopted both horizontal and vertical avoidance strategies in response to swim-with-whale activities by increasing their swim speeds, swimming more erratically, changing their heading away from the vessel and altering their dive patterns (Sprogis et al., 2020). Likewise, off Reunion Island, humpback whales were less likely to continue resting when swimmers were in the water (Hoarau et al., 2020). Impacts from swim-with-whale tourism likely differ from typical whale watch tourism, due to closer vessel approaches to the whales to place swimmers in the water and the presence of swimmers in the water. Several factors are involved in the response of whales to swim-with-whale activities, including the vessel approach type, group composition (if a calf is present), and location type (i.e., breeding ground, migration route, or feeding ground (Machernis et al., 2018; Sprogis et al., 2020). Importantly, disturbance to whales from the marine tourism industry increases the energetic consequences on whales (Lusseau and Bejder, 2007), thus reducing any disturbance is of high importance for both these capital breeders with limited energy reserves and the sustainability of the swim-with-whale industry. Overall, current research suggests that the rate at which swim-with-whale operations are expanding may not be sustainable for the targeted population on which they rely (Gero et al., 2016).
Examining the short-term behavioural responses of humpback whales to swim-with-whale activities across different locations and with differing approach types from operators is of importance as swimming with these large whales poses risks to the safety of humans. Dangerous encounters between humpback whales and humans have been documented off Western Australia, Réunion Island and the Kingdom of Tonga (Fiori et al., 2019; Barra et al., 2020; Hoarau et al., 2020; Sprogis et al., 2020). These agonistic behaviours include tail fluke thrashes, peduncle throws and pectoral fin slaps (Sprogis et al., 2020). Swimmers have sustained injuries such as broken bones, bruises, and scratches (Fiori et al., 2019; Sprogis et al., 2020), generally from pectoral shears and fluke thrashes, which are common behaviours directed toward swimmers by humpback whales (Barra et al., 2020). Safety incidents have occurred while swimming with mother and calves (Barra et al., 2020; Hoarau et al., 2020), where either the mother or the calf can cause an injury to swimmers. Thus, due to the high-risk of human injuries it is important to manage the industry correctly to ensure the safety of swimmers.
The swim-with-whale industry began on the east coast of Australia in 2013 off Mooloolaba, Queensland. In response to this, and in an effort to jumpstart the regional economy, the Queensland government initiated a trial swim-with-whale commercial tourism program in Hervey Bay in 2014. After an incident-free three-year trial, in 2017, the Australian Government and Queensland Department of National Parks permitted the swim-with-whale program to become a permanent activity in Hervey Bay. During the 2014–2016 trial period, Fraser Coast Tourism and Events, Inc. convened with a group of stakeholders to develop a Code of Conduct for swimming with whales in Hervey Bay. These guidelines were developed by the tour operators and submitted to the Queensland Parks and Wildlife Service in 2018 (Fraser Coast Tourism and Events, 2018). The Code of Conduct reinforces the existing national and state legislation and guidelines for operation, including the marine park management and permitting conditions. The stipulations for how the activity must be conducted in Hervey Bay include that free swimming/snorkeling is not permitted. Instead of freely swimming in the water, the passengers must hold onto a “mermaid line” that is attached to the vessel at one end or remain on a submerged swim platform. The Code of Conduct also states that when placing swimmers in the water, “minimum distances of vessels must comply with the minimum legal requirement defined as no approach zone for vessels: 100 m from the whale” in line with the Australian National Guidelines for Whale and Dolphin Watching (Department of the Environment and Energy, 2017). There are no limits on the number of available commercial licenses, and all existing whale watch and dive operators were offered the opportunity to add swimming with the whales to their Commercial Activity Agreement. There are currently eight authorised tour vessels that offer swim-with-whale tours in Hervey Bay; some operators focus solely on swim-with-whale tours while others combine a mix of swim-with-whale and traditional whale watch tours.
Hervey Bay acts as important habitat for breeding stock E-1 on their southern migration in the austral winter after departure from their tropical breeding grounds on the Great Barrier Reef (Smith et al., 2012). The bay is shallow, sheltered and serves as a mid-migratory stopover, especially for mother and calves (Corkeron et al., 1994; Franklin et al., 2011, 2018; Stack et al., 2019). Migratory stopover grounds, such as Hervey Bay, offer shelter and a place for humpback whales to rest, which supports energy conservation and offers increased opportunities for nursing a calf (Videsen et al., 2017; Bejder et al., 2019). Thus, reducing human-induced disturbance to humpback whales is particularly important in Hervey Bay.
In a recent survey of global swim-with-whale operations, it was recommended that detailed studies should be conducted in each location containing swim-with-whale operations to examine the impact on individuals, groups, and populations of cetacean species to evaluate management options (Gero et al., 2016). These recommendations have been further supported by the International Whaling Commission (IWC) Scientific Committee. The IWC Scientific Committee acknowledge that: (1) the effects of swim-with-whale programs will vary among targeted species and populations, (2) further research into the impacts of swim-with-whale programs are required, and (3) a precautionary approach toward management of swim-with-whale programs should be implemented until the impacts are better understood (International Whaling Commission, 2000, 2004). To meet this need, in this study we examined the short-term behavioural impacts of swim-with-whale tourism in Hervey Bay. Specifically, we: (1) assessed the effects (behavioural activity and changes in swimming direction) before, during, and after swimmers entered the water on a mermaid line with juvenile and adult whales, and (2) examined any differences in whale behaviours between whale watch and swim-with-whale tours. Furthermore, we identified any factors which influenced short-term behavioural changes in whales in response to swimmers; and identified any management issues associated with swim-with-whale tourism. It is hypothesised that: (1) swim-with-whale tours will cause behavioural changes in whales in the during phase compared to before and after, and that (2) short-term responses in swim-with-whale tours will be greater in magnitude compared to whale watch tours.
Materials and Methods
Study Site and Species
This study was conducted from July through September in 2018, 2019, and 2020 in Hervey Bay, Queensland (25°00′S, 152°52′E; Figure 1). Hervey Bay is a shallow bay, generally < 18 m depth, which is composed of a sand and mud bottom. The E-1 humpback whale population migrates along the east coast of Australia between May and December to and from their Antarctic feeding grounds (Franklin et al., 2012; Andrews-Goff et al., 2018). On their southern migration, whales enter Hervey Bay from approximately early August to mid-October (Franklin et al., 2011). Humpback whales predominantly occupy the eastern portion of Hervey Bay, in Platypus Bay (Corkeron et al., 1994), which is a general use area in the Great Sandy Marine Park. There is a seasonal change in pod characteristics in the bay relating to the sexual and maturational classes; this is evident in arrival patterns. Juvenile whales and mature females are first to arrive in August, by mid-season larger groups of mature adults arrive, and by mid-late season mother-calf pairs arrive (Franklin et al., 2011). Whales may reside in the bay for 2–3 days, with some having extended stays for over a month (Stack et al., 2019). When leaving the bay, the whales exit north and continue their southern migration on the eastern side of K’gari (Fraser Island) (Franklin et al., 2018). Breeding stock E-1 has recovered well from the commercial whaling era, and is currently estimated at >25,545 whales (2015 estimate; 95% confidence interval 21,631–27,851) and has been increasing at an estimated 10.9% per annum (Noad et al., 2019).
FIGURE 1

The study area of Hervey Bay, Queensland, and its location along the east coast of Australia (insert). The vessel departed from Urangan Harbour and transited the nearshore protected waters west of K’gari (Fraser Island) within the study area outlined in black.
Swim-With-Whale Tour Regulations
All trips and approaches to whales were conducted following the Australia National Guidelines for Whale and Dolphin Watching 2017 (Department of the Environment and Energy, 2017) and Commercial Activity Agreement guidelines, which are outlined in detail below.
Commercial Activity Agreement and Code of Conduct
The main initial safety concern from the Queensland Government for the swim-with-whale tourism industry was from encounters between humans and sharks. After a review on sharks in the region (Pepperell and Williams, 2014), swim-with-whale activities were deemed safe by the Queensland Government and permitted for the 2014 whale season in Hervey Bay. Currently, the Queensland Government Commercial Activity Agreement provides the following limitations for licensed swim-with-whale operators (Department of the Environment and Energy, 2017):
-
•
Free-swimming with whales is not permitted, and “immersive whale watching activities” are permitted via holding a mermaid line (a line that is secured to the vessel at one end, not to exceed 20 m in length) and/or duckboard method (e.g., sitting or lying on a submerged or semi-submerged swim platform aboard the vessel).
-
•
The maximum number of swimmers allowed in the water at any one time is 10 persons, including guides.
-
•
Immersive whale watching is prohibited at any time where a calf has been identified.
-
•
A person must not enter the water closer than 100 meters (m) from a whale and, a person in the water within this 100 m distance, must not move toward a whale.
-
•
The vessel engine must be stopped before the swimmers are placed in the water.
Compliance with these regulations is unknown and, to date, Queensland Marine Parks have not monitored the swim-with-whale industry in Hervey Bay. As the Code of Conduct is industry driven (not a government initiative), safety is based on the operators Safety Management System (SMS) through the Australian Maritime Safety Authority.
Whale Watch Tour Regulations
The Queensland Government currently requires all commercial whale watch operators to abide by the following regulations (Department of the Environment and Energy, 2017), which were followed by the vessel used during this study.
-
•
The ‘caution’ zone is an area surrounding a whale or dolphin in which boats cannot travel at speeds of more than six knots or speeds that create a wake. The caution zone extends out 300 m from a whale.
-
•
Within a caution zone there are areas designated as ‘no approach’ zones that boats cannot enter. These are the areas closest to an animal and directly in front of and behind an animal. For a whale, the no approach zone surrounds the animal for 100 m and extends 300 m in front of and behind the animal.
-
•
A boat cannot enter a caution zone if three boats are already present within the caution zone of an animal.
Compliance with the regulations is unknown; however, Queensland Marine Parks does routinely monitor the whale watch industry.
Data Collection for Whale Watch and Swim-With-Whale Tours
Humpback whale behavioural observations were collected from a rigid-hull inflatable boat (RHIB), 12.5 m in length, with four Yamaha 300 hp outboard petrol engines. This same vessel was used to conduct both commercial swim-with-whale tours and whale watch tours at different times throughout the day departing from Urangan Harbor. Data on swim-with-whale operations were collected before, during, and after swimmers entered the water, to examine if there were any short-term changes in the whales’ behaviour. Additionally, data were collected from the same vessel platform during traditional whale watch tours to compare the behavioural responses of whales between whale watching and the during phase of the swim-with-whale tours.
The swim-with-whale tours were specifically designed to adhere to the license conditions and Code of Conduct, including having <10 swimmers (including the swim guide) in the water, approaching the target whale at 100 m to place swimmers in the water and not swimming with groups with calves. Humpback whale calves in Hervey Bay range from a few weeks to a few months old (Stack et al., 2019). For this study, we defined a calf as described in the Australian National Guidelines; an individual whale visually estimated to be approximately 50% of the length of the accompanying whale and maintaining a constant and close relationship (e.g., as in Chittleborough, 1965) with the adult whale, who is assumed to be the mother (Department of the Environment and Energy, 2017; Stack et al., 2019).
The transit time from Urangan Harbour to Platypus Bay was 30–45 min. Both swim-with-whale and whale watch tours had a transit speed of ∼25–28 knots, and humpback whales were searched for with the naked eye. Two dedicated researchers were on board for both swim-with-whale and whale watch tours. When a whale(s) was sighted, the vessel slowed to ∼15 knots until it reached the focal individual/group. Data for both swim-with-whale and whale watch tours began from around approximately 400 m distance. One researcher measured the distance to the whales using a Bushnell Legend 1200 ARC rangefinder throughout the encounter, where the distance between the whale and vessel varied, however the group was never actively approached by the vessel <100 meters. Whales were opportunistically photographed with a Canon DSLR camera (100–400 mm lens) to obtain photo-identification data on targeted whales dorsal fin and/or tail fluke to identify unique markings (Kaufman et al., 1987; Stack et al., 2019). Photo-ID matching was completed within each season to determine if the same whales were subjected to swim-with-whale tours on more than one occasion to avoid non-independent observations. The second researcher recorded the time, GPS location (lat/long), environmental conditions and behaviour of the whales during each phase (before, during, after) and throughout encounters on the whale watch tours. Data on the environmental conditions included the Beaufort sea state, where swims were only conducted during good weather conditions with low swell (Beaufort ≤ 3). Behavioural observations (Altmann, 1974) were classified into five states (Table 1), which were mutually exclusive and wholly inclusive (i.e., a group could not simultaneously be in multiple behavioural states, and behavioural states encompassed all possible observed activities). When there was a group of whales, the behavioural state was based on the predominant group behaviour. Additional behavioural data included recording: (i) group size and composition (juvenile, adult, mother-calf), (ii) changes to group composition, i.e., affiliations and disaffiliations, (iii) the overall behavioural state and changes that occurred (Table 1), and (iv) details on whale behavioural events associated with behavioural state (Table 1). Direction changes were recorded each time they occurred and were defined as a whale at the surface changing its heading by 90 degrees or more, irrespective of the boat position.
TABLE 1
| Behavioural state | Description | Associated behavioural events |
| Diving | Whales take visible dives and remain submerged for an extended period of time. | Fluke up dive Fluke down dive Round out dive Sudden deep dive |
| Surface Active | Whales displayed energetic behaviours observed from the surface with or without a clear direction of travel* *if not directed toward another whale | Breach Peduncle throw Tail slap Head slap Pectoral fin slap |
| Resting | Individuals remain stationary at the surface or mill at the surface without a clear direction of travel. | Logging Milling/Resting |
| Socialising | Whales visibly interact with one another; includes surface active behaviours directed toward another whale with or without a clear direction of travel. | Active milling Surface active behaviours, if directed toward another whale. |
| Travelling | All animals in the group travel in a consistent direction. | Slow travel Medium travel Fast travel Sudden Burst of Speed Change of Direction (in any direction, e.g., toward and away from the vessel) |
| Other | Any behaviour not covered by the other categories | Spy hop Mugging the vessel |
For the purpose of this study, the humpback whale behavioural states were defined as diving, resting, travelling, surface active, and socialising.
The list of all observed behaviours with the associated category for behavioural state are listed here and are adapted from Lundquist et al. (2013) and Fiori et al. (2019).
For swim-with-whale tours, data were collected as a before, during, and after study design. In the before phase, the skipper approached the target whales slowly from a distance (∼300 m) and data on the natural/control behaviour of the whales was recorded for 15 min. The distance between the whale and vessel varied in the before phase, however the group was never actively approached <100 m. It should be noted that in some cases, the whales actively approached the vessel in the before phase and the vessel remained in neutral to avoid engine noise as much as possible (thus the whales were closer than 100 m in the before phase in some instances). In the before phase, the captain determined if the whales were suitable to place swimmers in the water. Whale groups were deemed ‘suitable’ when they were not swimming quickly and had a calm demeanour, i.e., were not displaying any aggressive behaviours. In the during phase, the skipper approached the whales at 100 m and endeavoured to place the swimmers in the water. In some cases, the whales were already within 100–150 m of the vessel and swimmers were placed in the water without manoeuvring. Swimmers were never placed in the water when the whales were closer than 100 m from the vessel. Once the skipper decided to make a swim attempt, the engine was turned off, a step ladder was lowered, a mermaid line (made of braided nylon, 20 m length, with pool noodles attached along the length of the rope to add flotation) was placed in the water and 1–10 people (with masks and snorkel, no fins) entered the water slowly and calmly. Participants were asked to hold onto the mermaid line and float, and not actively swim. The duration of the during phase generally lasted as long as the whales remained in the vicinity of the swimmers. The after phase consisted of an additional 15 min focal follow recording the behaviour of the whales, whilst the swimmers were back on board and the skipper kept the vessel at a distance ∼300 m to continue observations. It should be noted that in some cases, the whales actively approached the vessel in the after phase and the vessel remained in neutral to avoid engine noise as much as possible and waited for the whales to move beyond 300 m. The 15 min duration of the before and after phases was chosen to maximise the time recording the whale’s behaviour and to allow for the time constraints of a three hour swim-with-whale tour.
Data Analysis
Comparison Among Before, During, After Phases Within Swim-With-Whale Tours
To determine potential changes in whale behaviour arising from swimmers in the water during swim-with-whale tours, the proportion of time spent in each behavioural state and frequency of direction changes/hour while travelling were calculated before, during, and after swimmers entered the water. We did not attempt to separate the effects of the vessel from the effects of swimmers in the water because under the Commercial Activity Agreement terms and Code of Conduct, the swimmers would never be present without the vessel.
The proportion of time spent in each behavioural state was calculated for each phase (before, during, and after), by dividing the time observed in a particular behavioural state by the total phase time. The proportion of time spent resting, socialising, surface active, and travelling was determined by summing the amount of time spent in each of the associated behavioural events reported in Table 1 at a one-minute resolution. Socialising behaviours were restricted to observations that were specifically toward conspecifics. The proportion of time spent diving was determined by calculating the time between an associated behavioural event for diving (Table 1) and the subsequent re-surfacing of the group. The frequency of whale directional changes/hour was calculated by dividing the observed counts of direction changes while whales were travelling (Table 1) for each observation phase by the time spent in that phase and then converting this to direction changes per hour. The total number of samples included in the final models for before, during, and after data for swim-with-whale tours included data on focal groups with a minimum of 15 min observation time in all three phases, and group size remaining constant throughout the encounter (i.e., no affiliation or disaffiliations). To minimize impacts of environmental variables, only data where Beaufort sea state ≤ 3 were used in subsequent analysis.
Comparison Between Whale Watch and Swim-With-Whale Tours
To determine any potential differences of tour type on whale behaviour and swimming direction changes, data collected in the during phase (swimmers in the water) of swim with tours and aboard whale watch tours were examined. For whale watching, the engines were mostly left on transiting slowly or in neutral (occasionally switched off, e.g., when listening to whales) and during swim-with-whale tours, the engines were either switched off or placed in neutral. To determine potential changes in whale behaviours, the proportion of time spent in each behavioural state (1-min resolution) and frequency of direction changes/hour were quantified for each encounter and compared. The proportion of time spent in each behavioural state was calculated by dividing the time observed in a particular behavioural state by the total time spent with the group. For swim-with-whale tours, the total time was for the during phase only. The frequency of direction changes/hour was calculated by dividing the observed counts of direction changes by the total time spent with the group and then converting this to direction changes per hour. As regulations do not permit swim-with-whale tours with calf groups, any mother-calf data collected on whale watch tours were excluded to ensure the comparative analysis between the tour types included whales of the same age-classes and composition. To determine whether the tour type affected whales’ behavioural activity level, we tested for significant differences in the pooled proportion of time spent in each behavioural state on whale watch tours and the during phase of swim-with-whale tours using a Z-test for proportions (Welch, 1937). The total number of samples included in the model were the total number of swim-with-whale tours and the total number of observations on whale watch tours where Beaufort sea state ≤ 3, group size remained constant throughout the encounter (i.e., no affiliation or disaffiliations), no calves were present, and at least 15 min of observation time.
Generalised Additive Modelling
All statistical analyses and subsequent figures were completed using R version 4.0.1 (R Core Team, 2020). To ensure accurate representation of whale behaviour, only phases with an observation time of ≥15 min were included in analysis. The frequency of direction changes/hour and the proportion of time whales spent in five behavioural states (Table 1; diving, resting, surface active, socialising, travelling) were modelled as a function of explanatory variables using generalised additive models (GAMs) developed in the mgcv package (Wood, 2004, 2017). GAMs allowed for the evaluation of non-normal response variables and testing of potential non-linear relationships.
To determine the potential impact within swim-with-whale tours, the proportion of time spent in each behavioural state and the frequency of direction changes/hour were modeled as a function of: whale group size (excluding groups with calves), average distance between the whale(s) and the vessel over the encounter (in m, the number of distance points ranged from 3 to 34, SE = 14), phase (before, during, and after; as a categorical variable), and year. In addition, to determine any differences between swim-with-whale tours and whale watching tours, the proportion of time spent in each behavioural state and the frequency of direction changes/hour were modeled as a function of: trip type (swim-with-whale, whale watching), whale group size (excluding groups with calves), average distance between the whale(s) and the vessel over the encounter, and year.
All models were fitted using penalized regression splines (Wood and Augustin, 2002) with default smoothing values (10 knots) in each spline and smoothing parameters estimated using generalised cross validation (GCV) score. To account for overdispersion, a quasibinomial family with a logit link was selected for models investigating the proportion of time spent in each behavioural state, and a quasipoisson family with a log link was applied for modelling frequency of direction changes/hour. This approach introduces a dispersion parameter, (ϕ), into the model which describes additional variance in the data that cannot be explained by a binomial or poisson distribution alone.
Model selection procedures followed Wood (2001), where a fully saturated model was initially fit for each response variable including interaction terms, and a final model was selected based on the GCV score and percent of deviance explained. The most parsimonious model was selected by decreasing the GCV score and increasing the deviance explained. With the exception of categorical variables, all continuous terms were initially fit with a smoother. Terms were tested for and removed if there were (1) non-significant linear terms with a parameter coefficient near 0; or (2) non-significant smoothed terms with estimated degrees of freedom (edf) close to 1. Smoother terms were retained for interactions between a categorical variable and continuous variable when at least one level of the interaction term met the criteria listed above. This allowed for the evaluation of the significant non-linear levels of the interaction term, despite some levels having an edf = 1 (Nisbet et al., 2018). The linear form of the term was retained if the smoothed term was dropped, had an edf near 0, did not decrease the GCV score and/or the deviance explained did not increase. Multicollinearity in explanatory variables was tested (>0.7 was deemed multicollinear per González-Suárez et al. (2013), and if present, the term with the least support for inclusion in the final model, based on the model selection criteria listed above, was dropped.
Model fit was evaluated through visual inspection of residual plots and diagnostic information produced using the gam.check function (Wood, 2001). Models were checked for overdispersion and autocorrelation to ensure modelling assumptions were met. Only models with significant relationships between response and explanatory variables are presented graphically in the subsequent results and included for discussion.
Results
Summary Statistics for Swim-With-Whale and Whale Watch Tours
Over the course of three field seasons, from 2018 to 2020, data were recorded during 75 swim-with-whale tours (=250 h) and 48 whale watch tours onboard the tour vessel (=150 h). A total of 324 humpback whale groups were observed across both tour types, of which 127 groups (42 from swim-with-whale tours, 85 from whale watch tours) had a minimum observation time of ≥15 min and were used in subsequent analysis. The mean duration of time for observations during whale watch tours was 29 min (SD ± 12), and for swim-with-whale tours was 28 min (SD ± 16) before, 26 min (SD ± 13) during, and 28 min (SD ± 17) after. Whale group sizes ranged from one to six whales, with a median of two (SD ± 0.98) across both swim-with-whale tours and whale watch tours. There were 209 individual whales photographed during swim-with-whale tours of which none were re-sighted during swim-with-whale tours within each field season.
Comparison Among Phases (Before, During, After) Within Swim-With-Whale Tours
The frequency of direction changes/hour and the proportion of time spent resting, diving, and travelling were found to be significantly impacted by the interaction between phase (before, during, and after) and distance from whale to vessel (Table 2). There were no detectable changes in the proportion of time spent socialising or being surface active among phases of swim-with-whale tours (Table 2).
TABLE 2
| Number of direction changes | Proportion of time surface active | Proportion of time resting | Proportion of time diving | Proportion of time socialising | Proportion of time travelling | |
| Intercept | –0.69*** | –1.54*** | –3.97*** | 0.21 | –1.53*** | –1.41*** |
| Year | – | –1.30** | – | – | 1.21* | – |
| Phase – Before | – | – | – | – | – | – |
| Phase – During | – | – | – | – | – | – |
| Group size | – | – | – | –0.38* | – | – |
| Distance between vessel and whale(s) | – | – | – | – | – | – |
| Interaction between distance to whale(s) and phase (Before) | s(2.57)*** | – | s(5.19) | s(1.49) | – | s(1.00) |
| Interaction between distance to whale(s) and phase (During) | s(6.77)*** | – | s(4.26) | s(4.24) | – | s(1.00)** |
| Interaction between distance to whale(s) and phase (After) | s(2.40)* | – | s(1.00)* | s(1.77) | – | s(1.28) |
| Deviance explained (%) | 56.0 | 10.2 | 25.0 | 20.4 | 9.1 | 10.1 |
| Number of observations | 126 | 126 | 126 | 126 | 126 | 126 |
Summary of top GAM models showing the relationship between the number of direction changes, and the proportion of time spent surface active, resting, diving, and socialising before, during, and after swim-with-whale tours.
Rows represent candidate explanatory variables and columns represent response variables considered for each of the six separate models. Cells with a “–” indicate terms dropped from the final model. Values represent the parametric coefficient estimates for factors and the degree of smoothing [s(edf)] for smooth terms included in the final model. The significance value is represented as ***p = 0–0.001; **p = 0.001–0.01; *p = 0.01–0.05.
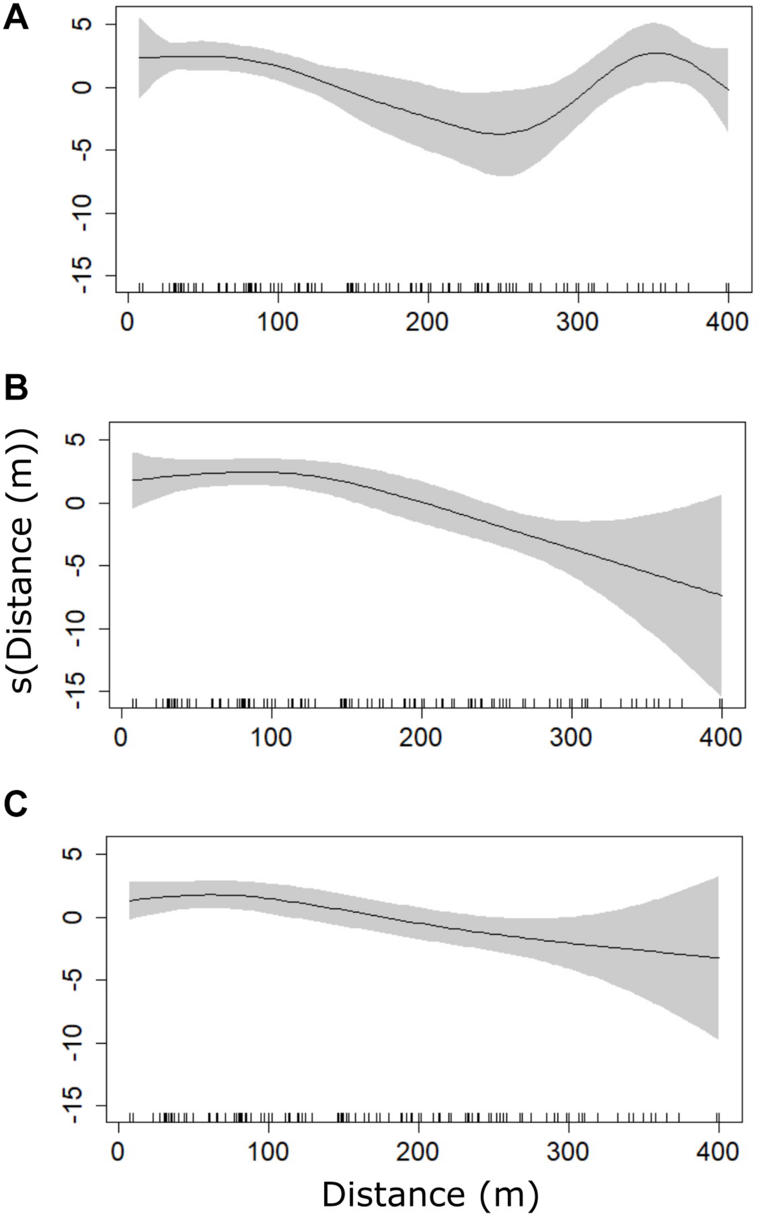
Direction changes were observed in 71% (30 of 42) of groups in the before, during, and after observations. The best fit model explaining the frequency of direction changes/hour observed within swim-with-whale tours explained 56.0% of the deviance and included the interaction term between phase and distance between whale and vessel (Table 2). The frequency of direction changes/hour varied significantly with distance for all phases (p-value = before < 0.001, during < 0.001, after 0.015; Figure 2A), with an increase in frequency of heading changes as the distance between the vessel and whale(s) decreased in the during and after phases (Table 2 and Figures 2B,C). The frequency of direction changes/hour in the before phase varied with distance (Figure 2A) and was lowest when the vessel was 250 m from the whale group.
FIGURE 2

Results from the best fit generalized additive model for the frequency of direction changes/hour made by humpback whales [Freq. Direct. Chang. = β0 + s(phase:distance) + Error] showing model parameter estimates for the interaction between distance from the whale and phase type (A)before, (B)during, and (C)after. The dashed lines and shaded area represent the 95% confidence intervals of the parameter estimate. The vertical lines represent the data points combined for before, during, and after phases (rug-plot).
Surface activity was observed in 60% (25 of 42) of groups in the before, during, and after observations. The best fit model for the proportion of time that whale groups spent being surface active explained 10.2% of the deviance and included a term for year (Table 2). Surface activity was found to be significantly lower in 2020 (p-value = 0.007) relative to other years (Table 2). The phase, group size and distance from the vessel did not have a significant effect on the proportion of time spent surface active (Table 2).
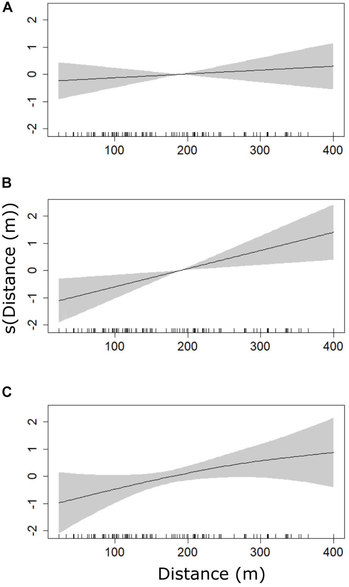
Resting behaviour was observed in 24% (10 of 42) of groups in the before, during, and after observations. The best fit model explaining the proportion of time spent resting within swim-with-whale tours explained 25% of the deviance and included the interaction term between phase and distance between whale groups and vessel (Table 2). The proportion of time resting varied with distance throughout swim-with-whale tours (Figures 3A–C) and significantly decreased (p-value = 0.048) with distance after the vessel left (Figure 3C). The year, phase, and group size did not have a significant effect on the proportion of time resting (Table 2).
FIGURE 3

Results from the best fit generalised additive model for the proportion of time humpback whales spent resting [Prop. Rest. = β0 + s(phase:distance) + Error] showing model parameter estimates for the interaction between distance from the whale and phase type (A)before (note beyond 300 m there are fewer data points thus the confidence intervals are larger and interpretation beyond 300 m is cautioned), (B)during, and (C)after (linear). The shaded area represents the 95% confidence intervals of the parameter estimate. The vertical lines represent the data points combined for before, during, and after phases (rug-plot).
Diving was observed in 90% (38 of 42) of groups in the before, during, and after observations. The best fit model for the proportion of time diving included terms for group size and the interaction term between phase and distance between whale and vessel, which explained 20% of the deviance (Table 2). Group size had a significant effect on the proportion of time diving (p-value = 0.014); as group size increased, the proportion of time diving decreased (Table 2). The proportion of time diving varied with distance throughout swim-with-whale tours (Figures 4A–C) and was most variable during swim-with-whale tours however there was an equal chance of diving (Figure 4B). Phase, year, and distance from the vessel did not have a significant effect on the proportion of time spent diving (Table 2).
FIGURE 4

Results from the best fit generalised additive model for the proportion of time humpback whales spent diving [Prop. Div. = β0 + group size + s(phase:distance) + Error] showing model parameter estimates for the interaction between distance from the whale and phase type (A)before, (B)during, and (C)after. The dashed lines and shaded area represent the 95% confidence intervals of the parameter estimate. The solid horizontal lines represent the mean. The vertical lines represent the data points combined for before, during, and after phases (rug-plot).
Socialising was observed in 38% (16 of 42) of groups in the before, during, and after observations. The best fit model explaining the proportion of time socialising within swim-with-whale tours included a term for year, and explained 9% deviance (Table 2). The time spent socialising varied significantly between years (p-value = 0.025), while phase, group size, and distance from the vessel did not have a significant effect (Table 2).
Travelling was observed in 33% (14 of 42) of groups in the before, during, and after observations. The best fit model explaining the proportion of time spent travelling within swim-with-whale tours explained 10% of the deviance and included the interaction term between phase and distance between whale and vessel (Figure 5 and Table 2). The proportion of time spent travelling varied significantly with distance during swim-with-whale tours (p-value = 0.007), with whales travelling more when vessels remained further away (Figure 5B). The phase, year, group size, and distance from the vessel did not have a significant effect on the proportion of time spent travelling (Table 2).
FIGURE 5

Results from the best fit generalised additive model for the proportion of time humpback whales spent travelling [Prop. Travel. = β0 + s(phase:distance) + Error] showing model parameter estimates for the interaction between distance from the whale and phase type (A)before (linear), (B)during (linear), and (C)after. The dashed horizontal lines represent the 95% confidence intervals of the parameter estimate. The solid horizontal lines represent the mean. The vertical lines represent the data points combined for before, during, and after phases (rug-plot).
Comparison Between Whale Watch and Swim-With-Whale Tours
The average distance between whale groups and the vessel during whale watch tours was 157 m (SD = 98, range = 12–400 m, n = 85). The distance between whales and the vessel in the during phase of swim-with-whale tours averaged 212 m (SD = 188, range = 5–400 m, n = 42). Within swim-with-whale tours, the distance between whale groups and the vessel was on average 160 m (SD = 92 m, range = 5–400 m, n = 42) before, 212 m (SD = 115, range = 5–400 m, n = 42) during, and 170 m (SD = 105 m, range = 3.5–400 m, n = 42) after approaches. Results from the best fit GAMs found the frequency of direction changes/hour as well as the proportion of time spent resting and travelling were significantly impacted by the interaction between tour type and distance from whale groups to vessel (Table 3). No detectable changes in the proportion of time spent being surface active, diving, or socialising were detected between whale watch and swim-with-whale tours (Table 3).
TABLE 3
| Number of direction changes | Proportion of time surface active | Proportion of time resting | Proportion of time diving | Proportion of time socialising | Proportion of time travelling | |
| Intercept | 0.83 | –0.96*** | –4.02*** | –0.79* | –3.90*** | –1.58*** |
| Year | –1.29* | –1.52** | 0.98 | –1.06** | – | – |
| Group size | – | – | – | –0.43** | 0.60*** | – |
| Trip type | – | –1.09 | – | – | – | – |
| Distance between vessel and whale(s) | – | – | – | – | – | – |
| Interaction between distance to whale(s) and trip type (whale watch vessel) | S(6.32)* | s(3.45) | s(4.12)* | s(1.00) | – | s(1.84) |
| Interaction between distance to whale(s) and trip type (swim with vessel) | S(2.40) | s(1.00) | s(1.00) | s(2.82) | – | s(1.00)** |
| Deviance explained (%) | 49.2 | 23.8 | 27.2 | 25.6 | 15.4 | 11.6 |
| Number of observations | 127 | 127 | 127 | 127 | 127 | 127 |
Summary of top GAM models showing the relationship between the number of direction changes, and the proportion of time spent surface active, resting, diving, socialising, and travelling during swim-with-whale tours and whale watch tours.
Rows represent candidate explanatory variables and columns represent response variables for each of the six separate models. Cells with a “–” represent terms dropped from the final model. Values represent the parametric coefficient estimates for factors and the degree of smoothing [s(EDF)] for smooth terms included in the final model.
The significance value is represented as ***p = 0–0.001; **p = 0.001–0.01; *p = 0.01–0.05.
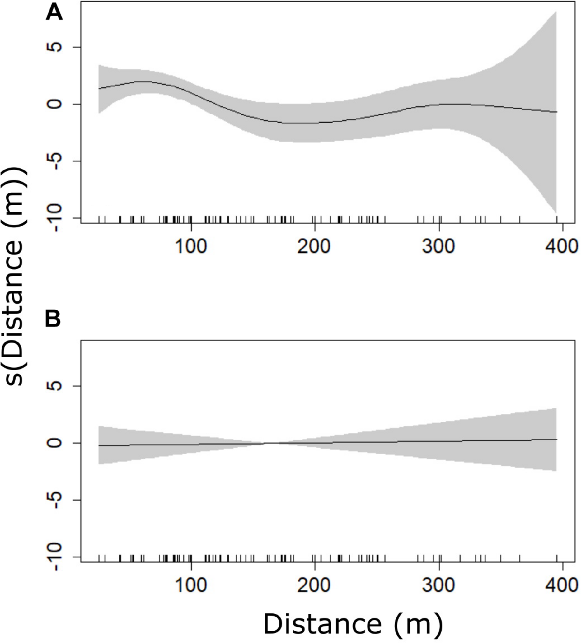
Whale direction changes were observed in 70 whale groups, with 94 occurrences during whale watch tours and 121 occurrences during swim-with-whale tours. The best fit model explained 49.2% of the deviance and included terms for year and the interaction between tour type and distance between whale(s) and vessel (Table 3). The frequency of direction changes/hour decreased with distance for both tour types (Figures 6A,B), and was found to be significant (p-value = 0.028) for whale watch tours (Figure 6A). The frequency of direction changes/hour was found to be significantly lower in 2020 (p-value = 0.013) relative to 2018 and 2019 (Table 3).
FIGURE 6

Results from the best fit generalized additive model for the frequency of direction changes/hour made by humpback whales [Freq. Direct. Chang. = β0 + year + s(tour type:distance) + Error] showing model parameter estimates for the interaction between distance from the whale and tour type for (A) whale watch and (B) swim-with-whale tours. Note beyond 300 m there are fewer data points thus the confidence intervals are larger and interpretation beyond 300 m is cautioned. The dashed horizontal lines represent the 95% confidence intervals of the parameter estimate. The solid horizontal lines represent the mean. The vertical lines represent the data points combined for whale watch and swim-with-whale tours (rug-plot).
Surface active behaviours were recorded in 61% (52 of 85) of groups observed from whale watch tours and 21% (9 of 42) of groups during swim-with-whale tours. There was no detectable difference in the mean proportion of time spent conducting surface active behaviours between tour types (Z-test for two proportions: Z = 2.58, p = 0.108). The best fit model for the proportion of time that whale groups spent being surface active explained 23.8% of the deviance and included terms for tour type, year, and the interaction between tour type and distance between whale(s) and vessel (Table 3 and Figures 7A–C). During swim-with-whale tours, the amount of time spent surface active decreased when compared to whale watch tours (p-value = 0.09, Table 3 and Figure 7A). On whale watch tours, surface activity increased as vessel distance from the whale group increased (p-value = 0.065; Figure 7B). The proportion of time conducting surface active behaviours was found to be significantly lower in 2020 (p-value = 0.005) relative to other years (Table 3).
FIGURE 7

Results from the best fit generalised additive model for the proportion of time humpback whales spent surface active [Prop. Surf. Activ. = β0 + tour type + year + s(tour type:distance) + Error] showing model parameter estimates for (A) tour type and (B) distance between whale watch vessel and whale(s) (note < 100 m and >250 m there are fewer data points thus the confidence intervals are larger and interpretation is cautioned), and (C) distance between swim-with-whale vessel and whale(s) (linear; edf = 1). The dashed horizontal lines represent the 95% confidence intervals of the parameter estimate. The solid horizontal lines represent the mean. The vertical lines represent the data points combined for whale watch and swim-with-whale tours (rug-plot).
Resting behaviour was recorded in 22% (19 of 85) of groups observed from whale watch tours and 12% (5 of 42) of groups during swim-with-whale tours. There was a 50% reduction in the proportion of time spent resting during swim-with-whale tours compared to whale watch tours, with the proportion of time spent resting found to be significantly less during swim-with-whale tours (Z-test for two proportions: Z = 4.287, p-value = 0.038). The best fit GAM model for the mean proportion of time resting explained 27.2% of the deviance, and included terms for year and the interaction term between tour type and distance between whale and vessel (Figures 8A,B and Table 3). The proportion of time resting was influenced significantly by distance of the whale watch vessel (p-value = 0.012; Table 3), with resting times ranging from 0 to 92% of the encounter and lowest when distances were beyond 100 m (Figure 8A).
FIGURE 8

Results from the best fit generalised additive model for the proportion of time humpback whales spent resting [Prop. Rest. = β0 + year + s(tour type:distance) + Error] showing model parameter estimates for the interaction between distance from the whale and tour type for (A) whale watch (note beyond 300 m there are fewer data points thus the confidence intervals are larger and interpretation beyond 300 m is cautioned) and (B) swim-with-whale tours (linear; edf = 1). The dashed horizontal lines represent the 95% confidence intervals of the parameter estimate. The solid horizontal lines represent the mean. The vertical lines represent the data points combined for whale watch and swim-with-whale tours (rug-plot).
Diving behaviour was recorded in 74% (63 of 85) of groups observed from whale watch tours and 47% (20 of 42) of groups during swim-with-whale tours. The proportion of time spent diving was not significantly different during swim-with-whale tours compared to whale watch tours (Z-test for two proportions: Z = 0.32, p = 0.57). The best fit model for the proportion of time that whale groups spent diving explained 25.6% of the deviance and included terms for year, group size, and the interaction between tour type and distance between the whale(s) and vessel (Table 3). The proportion of time spent diving varied with distance between tour types (Table 3 and Figure 9) however, was not significant (p-value = 0.07) for whale watch tours. The proportion of time spent diving significantly decreased with an increase in group size (p-value = 0.006), and was significantly lower in 2020 (p-value = 0.002) relative to other years (Table 3).
FIGURE 9

Results from the best fit generalised additive model for the proportion of time humpback whales spent diving [Prop. Div. = β0 + year + group size + s(tour type:distance) + Error] showing model parameter estimates for the interaction between distance from the whale and tour type for (A) whale watch (linear; edf = 1) and (B) swim-with-whale tours (note beyond 350 m there are fewer data points thus the confidence intervals are larger and interpretation beyond 350 m is cautioned). The dashed horizontal lines represent the 95% confidence intervals of the parameter estimate. The solid horizontal lines represent the mean. The vertical lines represent the data points combined for whale watch and swim-with-whale tours (rug-plot).
Socialising was recorded in 39% (33 of 85) of groups observed from whale watch tours and 17% (7 of 42) of groups during swim-with-whale tours. The mean proportion of time spent socialising was not significantly different during swim-with-whale tours compared to whale watch tours (Z-test for two proportions: Z = 0.262, p = 0.61). The best fit model for the proportion of time that whale groups spent socialising explained 15.4% of the deviance and found a significant increase (p-value < 0.0001) with increasing group size (Table 3).
Travelling was recorded in 71% (60 of 85) of groups observed from whale watch tours and 26% (11 of 42) of groups during swim-with-whale tours. No detectable difference was found between the proportion of time spent travelling between tour types (Z-test for two proportions: Z = 2.36, p = 0.13). The best fit model for the proportion of time that whale groups spent travelling explained 11.6% of the deviance and included an interaction term between tour type and distance between whale(s) and vessel (Table 3 and Figures 10A,B). During swim-with-whale tours, whales spent significantly more time travelling (p-value = 0.003) when vessels remained further away (Table 3 and Figure 10B).
FIGURE 10

Results from the best fit generalised additive model for the proportion of time humpback whales spent travelling [Prop. Travel. = β0 + s(tour type:distance) + Error] showing model parameter estimates for the interaction between distance from the whale and tour type for (A) whale watch (note < 100 m and > 250 m there are fewer data points thus the confidence intervals are larger and interpretation is cautioned) and (B) swim-with-whale tours (linear; edf = 1). The dashed horizontal lines represent the 95% confidence intervals of the parameter estimate. The solid horizontal lines represent the mean. The vertical lines represent the data points combined for whale watch and swim-with-whale tours (rug-plot).
Discussion
In this study, we examined short-term behavioural responses of humpback whales to swim-with-whale tours on a resting ground in Hervey Bay. A before, during, and after study design was implemented where the during phase constituted of swimmers being placed in the water holding a mermaid line. Additionally, humpback whale behaviours in the during phase of swim-with-whale tours were compared to behaviours exhibited during traditional boat-based whale watch tours. Within the swim-with-whale tours, behavioural changes were detected in the before, during, and after phases, with the majority of significant changes occurring in the during and after phases. Whales also exhibited a higher frequency of direction changes and a 50% reduction in resting during swim-with tours compared to whale watch tours, demonstrating clear differences in the behavioural responses to the two tour types. These results support the conclusion that the natural behaviour of humpback whales in Hervey Bay was altered in response to swim-with-whale tourism.
Comparison between tour types (swim-with-whale and whale watch) demonstrated that the behavioural changes in the whales were largely related to the distance between whale(s) and the vessel, with an interaction term between tour type and distance to whale present in five of the six models investigated. The average vessel distance in the during phase of swim-with-whale tours was 212 m and during whale watch tours was 157 m. Given that this area has been described as a resting ground, resting is the predominant behaviour that is expected however the proportion of time spent resting during both tour types was low (6% of time during whale watch tours and 3% during swim-with-whale tours). These results suggest that humpback whales were more disturbed during swim-with-whale tours than during whale watch tours, but the low proportion of time spent resting overall is of concern and should be investigated further.
It is unclear if the presence of the swimmers is the factor that the whales are responding to and/or to the closer distance of the vessel. One caveat to this study is that the experimental design did not allow for data collection on humpback whale behaviour in the absence of boat-based tourism (i.e., control data), therefore behavioural changes could not be declared different from their natural behaviour, and should not be definitively attributed to boat approaches and/or swimmer placement. Some additional factors to consider when evaluating swim-with-whale impacts include the type of vessel approach, the sound level of the engine(s), the group composition and reproductive status of the whales, and the geographic location (i.e., calving ground, migration route, feeding ground). In this study, we used the same vessel platform and captains in order to minimise these differences and replicate the tour types as closely as possible.
Our findings add to the growing body of literature that show impacts on whale behaviour arising from commercial swim-with-whale tourism (e.g., Lundquist et al., 2013; Fiori et al., 2019; Hoarau et al., 2020; Sprogis et al., 2020). Here, we offer a comparison of how whale behavioural responses to swim-with-whale tours differ from those observed during traditional boat-based whale watch tours. There are several short-term behavioural responses reported on whales from the swim-with tourism industry (reviewed in Machernis et al., 2018), including an increase in surface active behaviours, respiration rate and swim speed, and a less direct path of travel (Kessler et al., 2013; Fiori et al., 2019, 2020; Hoarau et al., 2020; Sprogis et al., 2020). Changes in the amount of time spent resting and travelling have been described as a direct sign of disturbance, but changing direction has also been noted as a tactic for humpback whales to avoid predators and evade a perceived threat (Schaffar et al., 2013). The results in Hervey Bay are different to previous studies for resting, travelling, and surface active behaviours, but still show an alteration in behaviour is occurring during swim-with-whale tours. Previous research has shown that behavioural changes can be energetically costly for whales (e.g., Lusseau and Bejder, 2007; Braithwaite et al., 2015; Villagra et al., 2021), therefore the observed high frequency of direction changes may mean that humpback whales in Hervey Bay are experiencing an increase in their energy expenditure in response to swim-with-whale tours. Further research is needed to quantify these energetic impacts and if long-term consequences are apparent. The responses observed to swim-with-whale tours may not only require additional energetic costs, but also indicate an increased level of physiological disturbance that could interfere with normal whale behaviour (Schaffar et al., 2013; Fiori et al., 2019).
Our results highlight the importance of studying the impacts of swim-with-whale tourism in each region where it is offered, because the effects on the target animals likely differ for each species, population segment, and geographic area. Hervey Bay is a mid-migratory stopover where a portion of the population segment diverts and spends time during the southern migration, after departing the breeding grounds (Franklin et al., 2011; Stack et al., 2019). Humpback whales use Hervey Bay to rest, socialise, and nurse their calves prior to their migration to their Antarctic feeding grounds. Adult whales may also use this region for mating opportunities based on observations of competition pods (Bryden et al., 1989; Corkeron, 1995). Given this, it is unsurprising that the behavioural changes observed differed to those reported in other studies that examined behavioural responses to swim-with-whales tourism (Lundquist et al., 2013; Fiori et al., 2019; Sprogis et al., 2020). Furthermore, demonstrating any kind of vertical avoidance would be difficult in this environment given the low depth profile of Hervey Bay.
In Hervey Bay, placing swimmers in the water with a humpback whale calf is not permitted. This decision is based on the Marine Park Act 2004, where it is specified “there is no swimming with whales at any time where a calf has been identified” (Marine Parks Act 2004, 2017). This decision is in alignment with the International Whaling Commission (International Whaling Commission, 2014) and Australian National Guidelines (Department of the Environment and Energy, 2017), which do not endorse swimming with mother and calves. Accordingly, no swimming with calves was observed by researchers in Hervey Bay during this study. This is, however, not the case in other locations in Australia (e.g., Sprogis et al., 2020), and around the world (e.g., Fiori et al., 2019), where swimming with calves occurs, even in areas where it has been advised against. It is of great importance to limit disturbance on mother-calf pairs as they are the most sensitive to disturbance (Sprogis et al., 2020) and, over extended periods of time, increases in energy expenditure could become biologically significant for mothers with a dependent calf (Cartwright and Sullivan, 2009; Ejrnæs and Sprogis, 2021). Thus, in Hervey Bay it is of importance to retain best practice guidelines on not swimming with calves to reduce disturbance to the whales, but also to avoid injury to humans from high-risk situations with mother and calves (as documented in Sprogis et al., 2017, 2020; Fiori et al., 2019; Barra et al., 2020; Hoarau et al., 2020).
Management Recommendations
If the swim-with industry was to grow in areas where swimming with whales is not yet permitted, we recommend a precautionary approach to developing this activity. Resource managers should assume that disturbance is taking place unless it can be proven otherwise. The results of this study demonstrate that, when following all legal regulations and the Code of Conduct, swim-with-whale tourism causes humpback whales to change their behaviour and is generally more invasive than traditional boat-based whale watching. Developing a Code of Conduct among operators is an admirable step, however, the existence of guidelines alone is not sufficient at mitigating the potential for disturbance (Wiley et al., 2008). It is recommended that guidelines be accompanied by annual trainings with permit holders and a commitment to review and refresh the guidelines at a particular interval of time and/or when new information becomes available. In addition to education about the guidelines, an increased monitoring presence and enforcement of the rules is needed to ensure that the guidelines that exist are being followed.
Disturbance to whales from tourism can cause deviations from natural whale behaviours that can have energetically costly consequences for these migratory whales (e.g., Lusseau and Bejder, 2007). Although the whales are not exhibiting a typical horizontal avoidance (swimming away), if the presence of the swimmers or vessels causes the whales to change their behaviour in any measurable manner, this will have an increased energetic cost for the whales. If humpback whales in Hervey Bay are changing their natural behaviours as a result of swim-with-whale tours, whether to avoid or to approach the vessel and/or the swimmers, they will spend more time swimming and changing directions and proportionally less time resting. This will affect the amount of stored energy they have available to complete their southern migration. As humpback whales are capital breeders with limited energy reserves, reducing disturbance is of high importance for their continued population recovery and for the sustainability of the marine tourism industry. As climate change continues to affect prey distribution and abundance (Bengtson Nash et al., 2018; Seyboth et al., 2021), whales may have to travel farther to seek out their prey, making these energetic impacts even more important to study and mitigate.
The pressure created by social media to get close to wildlife is an emerging trend that is partially driving this industry growth (Pagel et al., 2020a). Interviews conducted with swim-with-whale tour operators in the South Pacific revealed that skilled wildlife photographers and social media influencers were the type of passengers most likely to ignore safety rules and guidelines in order to get closer to wildlife (Pagel et al., 2020b). Such behaviour increases the potential for wildlife harassment and can elicit a behavioural response from wild animals that could pose a safety hazard for the swimmers (Pagel et al., 2020b). Managing tourism expectations through responsible advertising and clear messaging about the regulations and best practices is important so operators do not feel pressured into breaking regulations or getting closer than necessary.
Overall, swim-with-whale tourism poses a considerable risk to human safety due to the close proximity of large, powerful whales that can be unpredictable in their movements and behaviours. These tours also pose a greater risk to whale safety over traditional boat-based whale watching, due to close approaches by vessels and swimmers. In this study, several safety incidences were recorded including: (1) one whale exhibited numerous head slaps in sequence at approximately 100 m distance while swimming away from the vessel; (2) while initiating a swim with two juvenile whales, the guide was swimming the mermaid line out (no other passengers in the water yet) and one of the whales approached the guide to approximately 50 m distance and did a peduncle throw; (3) while there were six swimmers in the water with two adult whales, one whale performed a peduncle throw at approximately 100 m distance, in the direction of the swimmers. In other regions, researchers have reported a high rate of aggressive behaviours observed from humpback whales while swimmers were in the water and serious injuries to swimmers have occurred (Barra et al., 2020; Fiori et al., 2020; Sprogis et al., 2020). Despite the legal measures designed to minimise the safety risk to swimmers in Queensland, there were incidences where whale behaviour posed a risk to the safety of the swimmers. These incidents highlight the inherent danger that is present when swimming with large whales.
Conclusion
This study highlights that commercial swim-with-whale tours that abide by all legal regulations and the Code of Conduct have behavioural responses from humpback whales in Hervey Bay, Australia and that they are generally more invasive than traditional boat-based whale watching. It is unknown whether these short-term behavioural responses can have detrimental effects at the population-level and this should be further investigated. In areas where a swim-with-whales industry is already established, care must be taken to manage passenger expectations and be as non-invasive as possible. Commercial swim-with-whale tours have a greater motivation than traditional whale watch tours to get as close as possible to the whales in order to satisfy their customers’ expectations for swim experiences, and these close approaches are shown to have a behavioural impact on the target whales. Robust education and enforcement programmes, combined with continued monitoring of population dynamics through scientific research, are needed to minimise detrimental impacts to the population and guide adaptive management strategies. In regions where this industry does not yet exist, countries should follow the precautionary principle and assume that impacts will occur. The commercial swimming with whales industry, where it exists, should be managed and guidelines refined until the point where the safety issues are addressed and there are no detectable impacts to whale behaviour. Furthermore, this activity should be ceased if swimmer injuries occur and/or, at any point, population-level effects are detected from the cumulative impact of repeated disturbance.
Publisher’s Note
All claims expressed in this article are solely those of the authors and do not necessarily represent those of their affiliated organizations, or those of the publisher, the editors and the reviewers. Any product that may be evaluated in this article, or claim that may be made by its manufacturer, is not guaranteed or endorsed by the publisher.
Statements
Data availability statement
The raw data supporting the conclusions of this article will be made available by the authors, without undue reservation.
Ethics statement
The animal study was reviewed and approved by Queensland Government Animal Ethics Committee.
Author contributions
SS conceived and conceptualized the study. SS, GO, JC, and KS conducted the fieldwork. SS, FS, and JC conducted the data processing and analysis. SS, KS, and JC carried out the interpretation. All the authors contributed to the writing and editing of the manuscript as well as commenting on various drafts of the manuscript.
Funding
Funding for this work was provided by Pacific Whale Foundation. The funder was not involved in the study design, collection, analysis, interpretation of data, the writing of this article or the decision to submit it for publication.
Acknowledgments
We extend our thanks to the two reviewers whose feedback greatly improved the manuscript. We would like to thank Andrew Ellis for his assistance and support in executing this study, as well as the Ocean Defender captains Scott Whitcombe and Millie Stell, and the PacWhale Eco-Adventures Australia naturalists who assisted with this study. Thank you to Jessica McCordic, Antara May, Suzie Vallance, Jaimi Raveneau, Luke Spinks, Tine Haslam Nielsen, and Romy Levin for their valuable contributions to the data collection. Sincere thanks to the captains and crew of the Hervey Bay Whale Watch fleet for your generosity in hosting our researchers. Thank you to the Hervey Bay Harbour View Caravan Park for their accommodation support for Pacific Whale Foundation Australia researchers.
Conflict of interest
The authors declare that the research was conducted in the absence of any commercial or financial relationships that could be construed as a potential conflict of interest.
References
1
Altmann J. (1974). Observational study of behavior: sampling methods.Behaviour49227–267. 10.1163/156853974x00534
2
Andrews-Goff V. Bestley S. Gales N. J. Laverick S. M. Paton D. Polanowski A. M. et al (2018). Humpback whale migrations to Antarctic summer foraging grounds through the southwest Pacific Ocean.Sci. Rep.8:12333. 10.1038/s41598-018-30748-4
3
Arnold P. W. (1997). Occurrence of dwarf minke whales (Balaenoptera acutorostrata) on the northern great barrier reef, Australia.Rep. Int. Whal. Commun.47419–424.
4
Barra T. Bejder L. Dalleau M. Delaspre S. Landes A. E. Harvey M. et al (2020). Social media reveal high rates of agonistic behaviors of humpback whales in response to swim-with activities off Reunion Island.Tour. Mar. Environ.15191–209. 10.3727/154427320X15960647825531
5
Bejder L. Videsen S. Hermannsen L. Simon M. Hanf D. Madsen P. T. (2019). Low energy expenditure and resting behaviour of humpback whale mother-calf pairs highlights conservation importance of sheltered breeding areas.Sci. Rep.9:771. 10.1038/s41598-018-36870-7
6
Bengtson Nash S. M. Castrillon J. Eisenmann P. Fry B. Shuker J. D. Cropp R. A. et al (2018). Signals from the south; humpback whales carry messages of Antarctic sea-ice ecosystem variability.Glob. Change Biol.241500–1510. 10.1111/gcb.14035
7
Birtles R. Arnold P. Dunstan A. (2002). Commercial swim programs with dwarf minke whales on the northern Great Barrier Reef, Australia: some characteristics of the encounters with management implications.Aust. Mammal.24:23. 10.1071/AM02023
8
Braithwaite J. E. Meeuwig J. J. Hipsey M. R. (2015). Optimal migration energetics of humpback whales and the implications of disturbance.Conserv. Physiol.3:cov001. 10.1093/conphys/cov001
9
Bryden M. M. Corkeron P. J. Slade R. W. (1989). Humpback Whales (Megaptera novaeangliae) in Hervey Bay, Queensland 1988. Report to the Australian National Parks and Wildlife Service, Canberra.Canberra: Australian Nature Conservation Agency.
10
Cartwright R. Sullivan M. (2009). Behavioral ontogeny in humpback whale (Megaptera novaeangliae) calves during their residence in Hawaiian waters.Mar. Mamm. Sci.25659–680. 10.1111/j.1748-7692.2009.00286.x
11
Chittleborough R. G. (1965). Dynamics of two populations of the humpback whale, Megaptera novaeangliae (Borowski).Aus. J. Mar. Freshw. Res.1633–128. 10.1071/MF9650033
12
Corkeron P. J. (1995). Humpback whales (Megaptera novaeangliae) in Hervey Bay, Queensland: behaviour and responses to whale-watching vessels.Can. J. Zool.731290–1299. 10.1139/z95-153
13
Corkeron P. Brown M. Slade R. Bryden M. (1994). Humpback whales, Megaptera novaeangliae (Cetaceaa : Balaenopteridae), in Hervey Bay, Queensland.Wildl. Res.21:293. 10.1071/WR9940293
14
Department of the Environment and Energy (2017). Australian National Guidelines for Whale and Dolphin Watching 2017. Commonwealth of Australia.Washington, DC: Department of the Environment and Energy.
15
Ejrnæs D. Sprogis K. R. (2021). Ontogenetic changes in energy expenditure and resting behaviour of humpback whale mother-calf pairs examined using unmanned aerial vehicles.Wildl. Res.10.1071/WR20186[Epub ahead of print].
16
Fiori L. Martinez E. Orams M. B. Bollard B. (2019). Effects of whale-based tourism in Vava’u, Kingdom of Tonga: behavioural responses of humpback whales to vessel and swimming tourism activities.PLoS One14:e0219364. 10.1371/journal.pone.0219364
17
Fiori L. Martinez E. Orams M. B. Bollard B. (2020). Using unmanned aerial vehicles (UAVs) to assess humpback whale behavioral responses to swim-with interactions in Vava’u, Kingdom of Tonga.J. Sustain. Tour.281743–1761. 10.1080/09669582.2020.1758706
18
Franklin T. Franklin W. Brooks L. Harrison P. (2018). Site-specific female-biased sex ratio of humpback whales (Megaptera novaeangliae) during a stopover early in the southern migration.Can. J. Zool.96533–544. 10.1139/cjz-2017-0086
19
Franklin T. Franklin W. Brooks L. Harrison P. Baverstock P. Clapham P. (2011). Seasonal changes in pod characteristics of eastern Australian humpback whales (Megaptera novaeangliae), Hervey Bay 1992-2005.Mar. Mamm. Sci.27E134–E152. 10.1111/j.1748-7692.2010.00430.x
20
Franklin W. Franklin T. Brooks L. Gibbs N. Childerhouse S. Smith F. et al (2012). Antarctic waters (Area V) near the Balleny Islands are a summer feeding area for some eastern Australian Breeding Stock E(i) Humpback Whales (Megaptera Novaeangliae).J. Cetacean Res. Manage.12321–327.
21
Fraser Coast Tourism and Events (2018). Fraser Coast Industry Code of Practice: Immersive Whale Interactions in the Great Sandy Marine Park.Queensland: Fraser Coast Tourism and Events.
22
Gero S. Pace S. Kaufman G. Parsons E. C. M. Ritter F. Sironi M. et al (2016). Initial survey of global commercial swim-with-whale operations.J. Cetacean Res. Manage.SC/66b/WW/02.
23
González-Suárez M. Gómez A. Revilla E. (2013). Which intrinsic traits predict vulnerability to extinction depends on the actual threatening processes.Ecosphere4:art76. 10.1890/ES12-00380.1
24
Hendrix T. Rose N. A. (2014). “Swim-with-whales tourism – an updated review of commercial operations,” Paper SC/65b/WW03 Presented to the IWC Scientific Committee 12–24 May, 6.
25
Hoarau L. Dalleau M. Delaspre S. Barra T. Landes A. E. (2020). Assessing and mitigating humpback whale (Megaptera Novaeangliae) disturbance of whale-watching activities in Reunion Island.Tour. Mar. Environ.15173–189. 10.3727/154427320X15943326793398
26
Hoyt E. (2001). Whale Watching 2001: Worldwide Tourism Numbers, Expenditures, and Expanding Socioeconomic Benefits : A Special Report from the International Fund for Animal Welfare.Yarmouth Port, MA: International Fund for Animal Welfare.
27
International Whaling Commission (2000). “Report of the Sub-Committee on Whalewatching, Annex M,” 52nd Meeting of the International Whaling Commission, Adelaide, June–July 2000.
28
International Whaling Commission (2004). Report of the Workshop on the Science for Sustainable Whalewatching. Cape Town South Africa: Breakwater Lodge, 6–9March 2004.
29
International Whaling Commission (2014). Report of the scientic committee. Annex M. report of the sub-committee on whalewatching.J. Cetacean Res. Manage16, 380–392.
30
Kaufman G. Smultea M. Forestell P. (1987). Use of lateral body pigmentation patterns for photographic identification of east Australian (Area V) humpback whales.Cetus75–13.
31
Kessler M. Harcourt R. Heller G. (2013). Swimming with whales in Tonga: sustainable use or threatening process?Mar. Policy39314–316. 10.1016/j.marpol.2012.12.013
32
Lundquist D. Sironi M. Würsig B. Rowntree V. Martino J. Lundquist L. (2013). Response of southern right whales to simulated swim-with-whale tourism at Península Valdés, Argentina.Mar. Mamm. Sci.29E24–E45. 10.1111/j.1748-7692.2012.00583.x
33
Lusseau D. Bejder L. (2007). The long-term consequences of short-term responses to disturbance experiences from whalewatching impact assessment.Int. J. Comp. Psych.20228–236.
34
Machernis A. F. Powell J. R. Engleby L. Spradlin T. R. (2018). An Updated Literature Review Examining the Impacts of Tourism on Marine Mammals Over the Last Fifteen Years (2000-2015) to Inform Research and Management Programs.Washington, DC: National Oceanic and Atmospheric Administration.
35
Marine Parks Act 2004. (2017). Marine Parks Act 2004. State of Queensland.124. Available online at: https://www.legislation.qld.gov.au/view/pdf/inforce/current/act-2004-031(Accessed February 2, 2021)
36
Nisbet R. Elder J. Miner G. (2018). Handbook of Statistical Analysis and Data Mining Applications.Cambridge, MA: Academic Press, 864.
37
Noad M. J. Kniest E. Dunlop R. A. (2019). Boom to bust? Implications for the continued rapid growth of the eastern Australian humpback whale population despite recovery.Popul. Ecol.61198–209. 10.1002/1438-390X.1014
38
O’Connor S. Campbell R. Cortez H. Knowles T. (2009). Whale Watching Worldwide: Tourism Numbers, Expenditures and Expanding Economic Benefits (Special Report From the International Fund for Animal Welfare).Yarmouth, MA: Economists at Large, 228.
39
Pagel C. D. Orams M. B. Lück M. (2020a). Experienced photographer’s behaviour during commercial swim-with-wildlife tours: comparative case studies of three operations in the South Pacific.Curr. Issues Tour.24, 1–13. 10.1080/13683500.2020.1828312
40
Pagel C. D. Orams M. Lück M. (2020b). #biteme: Considering the potential influence of social media on in-water encounters with marine wildlife.Tour. Mar Environ.15249–258. 10.3727/154427320X15754936027058
41
Parsons E. C. M. (2012). The negative impacts of whale-watching.J. Mar. Biol.20121–9. 10.1155/2012/807294
42
Pepperell J. Williams S. (2014). Swimming with Humpback Whales- Potential Risks from Sharks, Report to Queensland Parks and Wildlife Service Department of National Parks, Recreation, Sport and Racing.Queensland: Pepperell Research, 14.
43
R Core Team (2020). R: A Language and Environment for Statstical Computing.Vienna: Foundation for Statistical Computing.
44
Rose N. A. Weinrich M. Iñíguez M. A. Finkle M. (2005). “Swimwith- whales tourism – an updated review of commercial operations,” in Paper SC/57/WW6 Presented to the IWC Scientific Committee20–24June.
45
Samuels A. Bejder L. (2004). Chronic interaction between humans and free-ranging bottlenose dolphins near Panama City Beach, Florida, USA.J. Cetacean Res. Manage669–77.
46
Samuels A. Bejder L. Heinrich S. (2000). A Review of the Literature Pertaining to Swimming with Wild Dolphins.Bethesda, MD: Marine Mammal Commission.
47
Schaffar A. Madon B. Garrigue C. Constantine R. (2013). Behavioural effects of whale-watching activities on an Endangered population of humpback whales wintering in New Caledonia.Endanger. Species Res.19245–254. 10.3354/esr00466
48
Seyboth E. Félix F. Lea M. Dalla Rosa L. Watters G. M. Reid K. et al (2021). Influence of krill (Euphausia superba) availability on humpback whale (Megaptera novaeangliae) reproductive rate.Mar. Mamm. Sci.12805. 10.1111/mms.12805
49
Smith J. N. Grantham H. S. Gales N. Double M. C. Noad M. J. Paton D. (2012). Identification of humpback whale breeding and calving habitat in the Great Barrier Reef.Mar. Ecol. Prog. Ser.447259–272. 10.3354/meps09462
50
Sprogis K. R. Bejder L. Christiansen F. (2017). Swim-with-Whale Tourism Trial in the Ningaloo Marine Park, Western Australia. Report to the Department of Parks and Wildlife, Western Australia.Murdoch, WA: Murdoch University, 49.
51
Sprogis K. R. Bejder L. Hanf D. Christiansen F. (2020). Behavioural responses of migrating humpback whales to swim-with-whale activities in the Ningaloo Marine Park, Western Australia.J. Exp. Mar. Biol. Ecol.522151254. 10.1016/j.jembe.2019.151254
52
Stack S. H. Serra S. (2021). “Summary of swim-with-whales tourism around the globe,” in Paper SC/68C/WW/03 Presented to the IWC Scientific Committee, 27 April–14 May, 8.
53
Stack S. H. Currie J. J. McCordic J. A. Machernis A. F. Olson G. L. (2019). Distribution patterns of east Australian humpback whales (Megaptera novaeangliae) in Hervey Bay, Queensland: a historical perspective.Aust. Mammal.42:16. 10.1071/AM18029
54
Valentine P. S. Birtles A. Curnock M. Arnold P. Dunstan A. (2004). Getting closer to whales—passenger expectations and experiences, and the management of swim with dwarf minke whale interactions in the Great Barrier Reef.Tour. Manag.25647–655. 10.1016/j.tourman.2003.09.001
55
Videsen S. K. A. Bejder L. Johnson M. Madsen P. T. (2017). High suckling rates and acoustic crypsis of humpback whale neonates maximise potential for mother–calf energy transfer.Funct. Ecol.311561–1573. 10.1111/1365-2435.12871
56
Villagra D. García-Cegarra A. Gallardo D. I. Pacheco A. S. (2021). Energetic effects of whale-watching boats on humpback whales on a breeding ground.Front. Mar. Sci.7:600508. 10.3389/fmars.2020.600508
57
Welch B. L. (1937). On the z-test in randomized blocks and Latin squares.Biometrika2921–52. 10.2307/2332405
58
Wiley D. N. Moller J. C. Pace R. M. Carlson C. (2008). Effectiveness of voluntary conservation agreements: case study of endangered whales and commercial whale watching.Conserv. Biol.22450–457. 10.1111/j.1523-1739.2008.00897.x
59
Wood S. N. (2001). mgcv: GAMs and Generalized Ridge Regression for R.R News120–25.
60
Wood S. N. (2004). Stable and efficient multiple smoothing parameter estimation for generalized additive models.J. Am. Stat. Assoc.99673–686. 10.1198/016214504000000980
61
Wood S. N. (2017). Generalized Additive Models: An Introduction With R, 2nd Edn. Boca Raton, FL: Chapman and Hall.
62
Wood S. N. Augustin N. H. (2002). GAMs with integrated model selection using penalized regression splines and applications to environmental modelling.Ecol. Modell.157157–177. 10.1016/S0304-3800(02)00193-X
Summary
Keywords
swim-with-whale, whale watching, in-water interactions, Megaptera novaeangliae , behavioural responses, anthropogenic impacts, before-during-after study design
Citation
Stack SH, Sprogis KR, Olson GL, Sullivan FA, Machernis AF and Currie JJ (2021) The Behavioural Impacts of Commercial Swimming With Whale Tours on Humpback Whales (Megaptera novaeangliae) in Hervey Bay, Australia. Front. Mar. Sci. 8:696136. doi: 10.3389/fmars.2021.696136
Received
16 April 2021
Accepted
20 July 2021
Published
23 August 2021
Volume
8 - 2021
Edited by
Renata Sousa-Lima, Federal University of Rio Grande do Norte, Brazil
Reviewed by
Aldo S. Pacheco, National University of San Marcos, Peru; Jorge Urbán Ramírez, Universidad Autónoma de Baja California Sur, Mexico
Updates
Copyright
© 2021 Stack, Sprogis, Olson, Sullivan, Machernis and Currie.
This is an open-access article distributed under the terms of the Creative Commons Attribution License (CC BY). The use, distribution or reproduction in other forums is permitted, provided the original author(s) and the copyright owner(s) are credited and that the original publication in this journal is cited, in accordance with accepted academic practice. No use, distribution or reproduction is permitted which does not comply with these terms.
*Correspondence: Stephanie H. Stack, research@pacificwhale.org
This article was submitted to Marine Ecosystem Ecology, a section of the journal Frontiers in Marine Science
Disclaimer
All claims expressed in this article are solely those of the authors and do not necessarily represent those of their affiliated organizations, or those of the publisher, the editors and the reviewers. Any product that may be evaluated in this article or claim that may be made by its manufacturer is not guaranteed or endorsed by the publisher.