Abstract
This paper presents an analysis of the effect of SARS-CoV-2 coronavirus pandemic and related restrictive measures on the activity of the Italian fleet of trawlers, which represents one of the most important fisheries in the Mediterranean Sea. We integrated multiple sources of information including: (1) Fleet activity data from Vessel Monitoring System, the most important satellite-based tracking device; (2) vessel-specific landing data disaggregated by species; (3) market and economic drivers affecting the effort variation during the lockdown and in the related fishing strategies; (4) monthly landings of demersal species in the main Italian harbors. These data sources are combined to: (1) Assess the absolute and relative changes of trawling effort in the geographical sub-areas surrounding the Italian coasts; (2) integrate and compare these changes with the market and economic drivers in order to explain the observed changes in fishing effort and strategy; (3) analyze the changes of the fishing effort on the Landing-per-unit-effort (LPUE) in order to further understand the strategy adopted by fishers during this crisis and to infer the potential consequence for the different stocks. The results provide an overview of the effects of the “COVID-19 shock,” in terms of fishing activity and socio-economic drivers, demonstrating that the consequences of the pandemic have been very varied. Although the COVID-19 shock has caused a marked overall reduction in activity in the first semester of 2020, in some cases the strategies adopted by fishermen and the commercial network linked to their activity have significantly reduced the impact of the emergency and taken back catch and effort to levels similar to those of previous years. These results could provide insights for management measures based on temporal stops of fishing activities. In particular, if no limits to the fishing effort after the restart of fishing activities are adopted, the benefits of fishing pressure reduction on fishery resources could be nullified. On the other hands, when fishing activities restart, and in the absence of catch control, effort tends to increase on coastal bottoms characterized by greater abundance of resources and longer effective fishing time.
Introduction
Since its appearance in China in December 2019, the spread of SARS-CoV-2 coronavirus responsible for the well-known COVID-19 pandemic has heavily affected the entire world throughout the year 2020 and it still represents an important global problem. At the end of January 2020, the outbreak of COVID-19 was recognized as a Public Health Emergency of International Concern (PHEIC) by the World Health Organization (WHO) who, on March 11, 2020 announced the global pandemic. For facing such an emergency, human activities have been suddenly and considerably modified and adjusted, namely “shocked”—being a “shock,” in the context of economy, a single event that is neither expected nor predicted that breeds instability (Link et al., 2021). In the urgency of containing the early phases of the contagion, countries have adopted severe strategies and management measurements, such as lockdowns. In this context, the Italian government has been one of the first worldwide to apply important restrictions of human activities and, more generally, of the overall society. In particular, a lockdown period was imposed from March 11, 2020 until May 17, 2020 (GU, 2020a,b) and, after this, restrictions have been relaxed but not completely removed until summer. These restrictions have limited, and even completely blocked, a large number of professional activities, e.g., hotels, restaurants and caterings (Coll et al., 2021) and, although the restrictions did not specifically affect primary economic sector including fishing activities, they altered the domestic demand for many products, including fresh fish. The analysis of the effects of such policies on marine fisheries may represent a huge and quite unique experiment from which to learn a vital lesson.
Recently, a growing number of researchers investigated the impacts of the shock induced by COVID-19 on fishing and fishers (FAO, 2020; Eugui et al., 2021; White et al., 2021). These studies documented varied effects on different aspects of fisheries. In some cases, as the countries implemented lockdown, many fishing activities faced complete shutdowns, e.g., in Namibia (Béné et al., 2015). Indeed, industrial fishing activity at global level has decreased by 6.5% at the end of April 2020 compared to April 2019 (Clavelle, 2020), while at regional level the reduction of activity was substantially different depending on both the local strategies and the spreading of the SARS-CoV-2. For instance, as highlighted in Coll et al. (2021), in the Exclusive Economic Zones of China the fishing activity decreased (overall in the year 2020) as much as 40%, while in Peru it dropped by 80%. At a smaller spatial scale, Coll et al. (2021) analyzed the effect of the reduction in fishing pressure in the Catalan Sea, Spanish Mediterranean. The authors showed that during the period of the lockdown (March–May 2020) fishing effort dropped by 34%, landings decreased by 49% and revenues declined by 39% in comparison with the same period in 2017–2019. On the other hand, Coll et al. (2021) did not detect a significant change in Landing-Per-Unit-of-Efforts (LPUEs). Similarly, Russo et al. (2021) by comparing the fishing activities in three periods (before, during, and after the lockdown) of 2019 and 2020 highlighted a reduction of about 50% of fishing effort in the Northern and Central Adriatic Sea. Before lockdown period the analysis showed a slight increase of the trawling activities at the Geographical Sub Area (GSA) 17 level in 2020, reflecting in a higher number of active vessels, days at sea, and, more in general, of the fishing effort. Moreover, the high-resolution maps of the difference of the fishing effort between 2019 and 2020 highlighted a similar distribution of the fishing grounds in the period before the lockdown, confirming the already pointed out non-random behavior of the fishers in the Northern and Central Adriatic Sea (Russo et al., 2021). By analyzing the data on landings, Russo et al. (2021) also pointed out a strong decrease in profits ranging from -30%, for the small-scale fisheries, to -85%, for the small bottom otter trawl, essentially as a consequence of the decrease in the fishing activity.
The restrictions also strongly changed the maritime traffic during the first half of 2020. March et al. (2021), using Automatic Identification System (AIS) data, provided a large-scale assessment on the global change in marine traffic revealing a general decline of 1.4%. When compared to the baselines, i.e., equivalent periods of 2019, the Western Mediterranean Sea was one the areas with the highest reduction in shipping activities (March et al., 2021). In particular, the number of vessels sharply decreased in the first days of mobility restrictions, reaching an overall median drop of 51% during the initial national lockdowns in Spain, France and Italy. Yet, after relaxing restrictions, the fishing vessels returned close to baseline values (March et al., 2021). This happened often very fast, with most of the fleets rebounding their activity from mid-July until mid-September (March et al., 2021).
Although the missing data of half of 2020 could potentially affect modeling or imputation methods, especially for time series analyses (Link et al., 2021), the shock-induced by COVID-19 might provide an opportunity to advance in a sustainable fisheries policy, especially “when there is a political will to do so” (Kemp et al., 2020). This means that the COVID-19 shock represents an opportunity to grasp insights on how to modify fisheries management while the industry is subjected to a crisis, i.e., using a “strategic opportunism” (Isenberg, 1987).
Notwithstanding the glaring negative impact of the pandemic in terms of death, suffering, increasing individual and social inequalities and psychological hardship, the restrictions of human activities showed positive effects on marine ecosystems. China et al. (2021), for example, pointed out an increase in species richness in Israel Gulf of Aqaba, predominantly influenced by increased evenness without changes in total abundances. The authors underlined that the short-term reduction in human activity during lockdown had similar effects to long-term, i.e., year-round, restrictions stressing the importance of limiting such activities to well-designated spatial areas for minimizing the human-induced impacts (China et al., 2021). Similarly, in the Gulf of Mannar (India) an increase in fish abundance (based on direct estimation of population size) has been detected as a direct result of the absence of fishing activities, in particular trap fishing in reef areas, and shore seine and gill net operations near the reef areas (Patterson Edward et al., 2021). Although the period with strongest restrictions lasted only a few months, these studies suggest that the impact of such a strong reduction in human activity may have consequences for ecosystems in terms of population size and pollution (Patterson Edward et al., 2021). Moreover, a general improvement of the health of the coastal environment following a decrease in turbidity, nutrient and macroplastic concentration had been pointed out, along with an enhancement in dissolved oxygen levels, phytoplankton and fish densities (Patterson Edward et al., 2021).
In this paper, we try to address the following issues: (1) What were the effect of the restrictions related to the SARS-CoV-2 coronavirus pandemic, “COVID-19 shock” hereafter, on the trawling activity in the different seas surrounding the Italian coasts, during first part of the year 2020, which represented the critical phase of the pandemic; (2) what were the effects of this COVID-19 shock after the end of the pandemic-related restrictions; (3) what were the effects of the COVID-19 shock on the LPUE of the main demersal species exploited by trawlers, including the ones monitored and managed through specific plans; (4) what were the market and economic drivers that indirectly amplified the effort variation in the lockdown and in the subsequent period.
We think that the analysis of the COVID-19 shock, like unwanted broad fisheries ban experiment, could provide insights useful for tuning of future fisheries management policies which are based on temporal closures of fishing activities.
Materials and Methods
VMS Data Sources and Processing
Vessel Monitoring System (VMS) data for the portion of the trawling fleet equipped with this tracking device were provided by the Italian Ministry for Agriculture, Food and Forestry (MIPAAF), within the scientific activities related to the Italian National Program for the Data Collection in the Fisheries Sector (INPDCF). Namely, 1297 trawlers (over the total 1,349 forming the whole Italian fleet of trawlers with length-over-all greater than 15 m) were considered in this study. VMS data were used to reconstruct the fishing activity for each Italian trawler using the VMSbase R package (Russo et al., 2011a,b, 2014). VMS data are a series of consecutive pings (signals) sent by each vessel at regular time intervals. VMS pings belonging to the same vessel can thus be partitioned into fishing trips and interpolated to increase the temporal frequency to 10 min and align the vessels to the same temporal grid (Russo et al., 2011a). The procedure is based on the detection of in-harbor positions as the VMS pings with speed values near to zero and within a defined buffer distance from the harbor. The high-frequency interpolated (10 min in this study) VMS pings are inspected, and fishing set positions are identified using combined speed and depth filters. At the end of this analysis, the following information is obtained: (I) Positions and time length of the hauls for each fishing trip of each vessel and II) the respective harbor of landing.
Fishing Effort
The reference 30 × 30 nautical miles grid (Figure 1) established by the General Fisheries Commission for the Mediterranean (GFCM)1 was used to quantify the:
-
1.
The total monthly trawling effort in fishing hours by cell. This value, based on the analysis of VMS data described above, was aimed at capturing only the effective fishing effort, excluding steaming or other activities;
-
2.
The total monthly trawling effort in fishing days by cell. This value, based on the analysis of VMS data described above, was aimed at providing a more common measure of fishing effort.
FIGURE 1

Spatial domain of the study and 30 × 30 nautical miles grid established by the GFCM (). The Geographical Sub Areas (GSA) of the Mediterranean Sea considered in this study are also represented.
The fishing effort was then computed for each vessel v, for each cell c of the grid and for each month t. Then, the total trawling effort at a monthly scale was assessed as:
Where Ht,c is the total trawling effort in hours in the cell c during the month t, while Dt,c is the total trawling effort in fishing days in the cell c during the month t considering the fleet composed by V vessels.
In order to simplify the analysis of the results, and to provide results potentially useful for management, each cell of the grid was uniquely associated with the main GSA in terms of spatial overlap. In this way, it was possible to obtain the values of Ht,c and Dt,c by GSA summing up the sets of cells belonging to each GSA. Monthly temporal series of values for both Ht,c and Dt,c by GSA were obtained at the end of this procedure. Considering that almost all the fishing activity of the Italian trawlers falls within the GSA 9, 10, 11.1, 11.2, 13, 15, 16, 17, 18, 19, and 21 (Russo et al., 2019; De Angelis et al., 2020), only these GSAs were considered and, to simplify the analyses, GSAs 11.1 and 11.2 were merged into GSA 11 (Figure 1). In addition, it is important to note that GSAs 13, 15, and 21 are not adjacent to the Italian coast so they do not contain ports. For this reason, these GSAs do not appear in the results relating to Landings and socio-economic analysis (see below). The effect of the COVID-19 shock on the fishing activity was investigated comparing the mean monthly value of fishing effort (both as Fishing Hours and Fishing Days) in the years 2015–2019, which were assumed as the reference baseline, with the monthly values during the year 2020. The values of the ratio between Fishing Days and Fishing Hours, here defined as “Strategy” (S), was defined for capturing the tendency to reduce the displacements (navigation), for example excluding distant fishing grounds, to the advantage of the effective fishing time. In different Italian seas this is a critical aspect related to management (De Angelis et al., 2020).
A four-way ANOVA (analysis of variance) was used to test the differences in the values of Fishing effort (both as Fishing Days and Fishing Hours) and the Strategy in relation to GSA, Month, Year and the COVID-19 shock defined as a binary factor equal to one when the year is 2020.
Landings
The data related to the total monthly landings of demersal species in a sample of the main ports of each GSA (Table 1) have been analyzed for the first 6 months of the years 2019 and 2020 (data for the second semester of the year 2020 were not available during the preparation of this paper), and compared in order to verify the effects of the COVID-19 shock on the production of the fleet.
TABLE 1
| Harbor | GSA |
| ANZIO | GSA09 |
| FIUMICINO | |
| LA SPEZIA | |
| SESTRI LEVANTE | |
| LIVORNO | |
| PIOMBINO | |
| PORTO SANTO STEFANO | |
| VIAREGGIO | |
| VIBO VALENTIA | GSA10 |
| POZZUOLI | |
| SALERNO | |
| PORTICELLO | |
| TERRASINI | |
| CAGLIARI | GSA11 |
| CALASETTA | |
| SANT’ANTIOCO | |
| MARSALA | GSA16 |
| MAZARA DEL VALLO | |
| PORTOPALO DI CAPO PASSERO | |
| SCIACCA | |
| TRAPANI | |
| GIULIANOVA | GSA17 |
| ORTONA | |
| PESCARA | |
| CATTOLICA | |
| CESENATICO | |
| GORO | |
| PORTO GARIBALDI | |
| RAVENNA | |
| RIMINI | |
| ANCONA | |
| CIVITANOVA MARCHE | |
| FANO | |
| PORTO SAN GIORGIO | |
| SAN BENEDETTO DEL TRONTO | |
| SENIGALLIA | |
| TERMOLI | |
| CAORLE | |
| CHIOGGIA | |
| PORTO TOLLE | |
| BISCEGLIE | GSA18 |
| MANFREDONIA | |
| VIESTE | |
| CORIGLIANO CALABRO | GSA19 |
| CROTONE | |
| GALLIPOLI | |
| RIPOSTO |
Harbors and corresponding GSA for which the total monthly landings of demersal species in the years 2019–2020 were compared.
Landings-Per-Unit-of-Effort
Monthly landings data for the vessels equipped with VMS were also obtained from the monitoring activities planned in the INPDCF. These data were cross-linked at the scale of single vessels in order to reconstruct the monthly activity (in terms of spatial allocation of fishing effort) and corresponding landings by species. A non-negative least square regression (Russo et al., 2018) was used to reconstruct spatial origin of these landings and to estimate the monthly value of Landings-Per-Unit-of-Effort (LPUE) by cell for the main demersal species exploited by Italian trawlers.
These selected species (Table 2) account for around 65% of the whole landings of the Italian trawlers per year in the period 2015–2020, and comprises essentially all the demersal species of fishes, crustaceans and mollusks which are important for direct human consumption. The effect of the COVID-19 shock factor on LPUE was also tested using the same approach, i.e., four-way ANOVA, described for Fishing Effort.
TABLE 2
| Species name | Common name | FAO 3 alpha code | Mean% of the total landings for demersal species |
| Parapenaeus longirostris | Deep-water rose shrimp | DPS | 16.96 |
| Merluccius merluccius | European hake | HKE | 10.28 |
| Eledone moschata | Musky octopus | EDT | 9.12 |
| Aristaeomorpha foliacea | Giant red shrimp | ARS | 6.49 |
| Mullus barbatus | Red mullet | MUT | 6.25 |
| Eledone cirrhosa | Horned octopus | EOI | 4.58 |
| Sepia officinalis | Common cuttlefish | CTC | 3.43 |
| Illex coindetii | Broadtail shortfin squid | SQM | 3.13 |
| Nephrops norvegicus | Norway lobster | NEP | 2.45 |
| Mullus surmuletus | Surmullet | MUR | 1.67 |
| Aristeus antennatus | Blue and red shrimp | ARA | 1.46 |
List of the investigated species, i.e., N = 11.
Market and Economic Drivers
The market and economic drivers that indirectly amplified the effort variation during the lockdown and in the subsequent period have been assessed by administering a questionnaire to a representative vessel sample through a web platform. The sample was composed of 222 demersal trawlers randomly selected over the whole fleet. To establish whether the impact of the lockdown differed in the different areas, the sample was further stratified according to GSA, thus identifying 27 segments. The number of participating vessels is reported in Table 3 according to their GSA. The fleet segment of demersal trawlers in Italy account for about 2,149 vessels (European Commission et al., 2019), and the survey involved 10% of the whole fleet segment.
TABLE 3
| Geographical sub-area | Number of interviews |
| GSA 09—Northern Tyrrhenian Sea | 31 |
| GSA 10—Southern and Central Tyrrhenian Sea | 27 |
| GSA 11—Sardinia | 18 |
| GSA 16—Southern Sicily | 46 |
| GSA 17—Northern Adriatic Sea | 57 |
| GSA 18—Southern Adriatic Sea | 27 |
| GSA 19—Western Ionian Sea | 16 |
| Total | 222 |
Number of vessels participating in the study according to GSA.
The questionnaire consisted of six closed-ended questions. Two questions collected qualitative information directed at establishing:
-
•
The main factors that induced a stop or reduction of fishing activities in the weeks from March 9th 2020 to May 31st 2020.
-
•
The measures that were adopted by fishers to mitigate the adverse effects of the pandemic.
Results
The following subsections present the results of the analyses on Fishing Effort, Fishing Strategy and LPUE (that represents an index of the fishing efficiency and targets) of the Italian fleet during the years 2015–2020, and in particular the values of the year 2020 (affected by the SARS-CoV-2 pandemic) are contrasted with the values in the period 2015–2019. Average monthly values before and during the COVID-19 year (2020) were compared in order to detect (if any) the effect of the COVID-19 shock regardless of any other seasonal variability factor or any natural seasonal variability.
Fishing Effort in Days
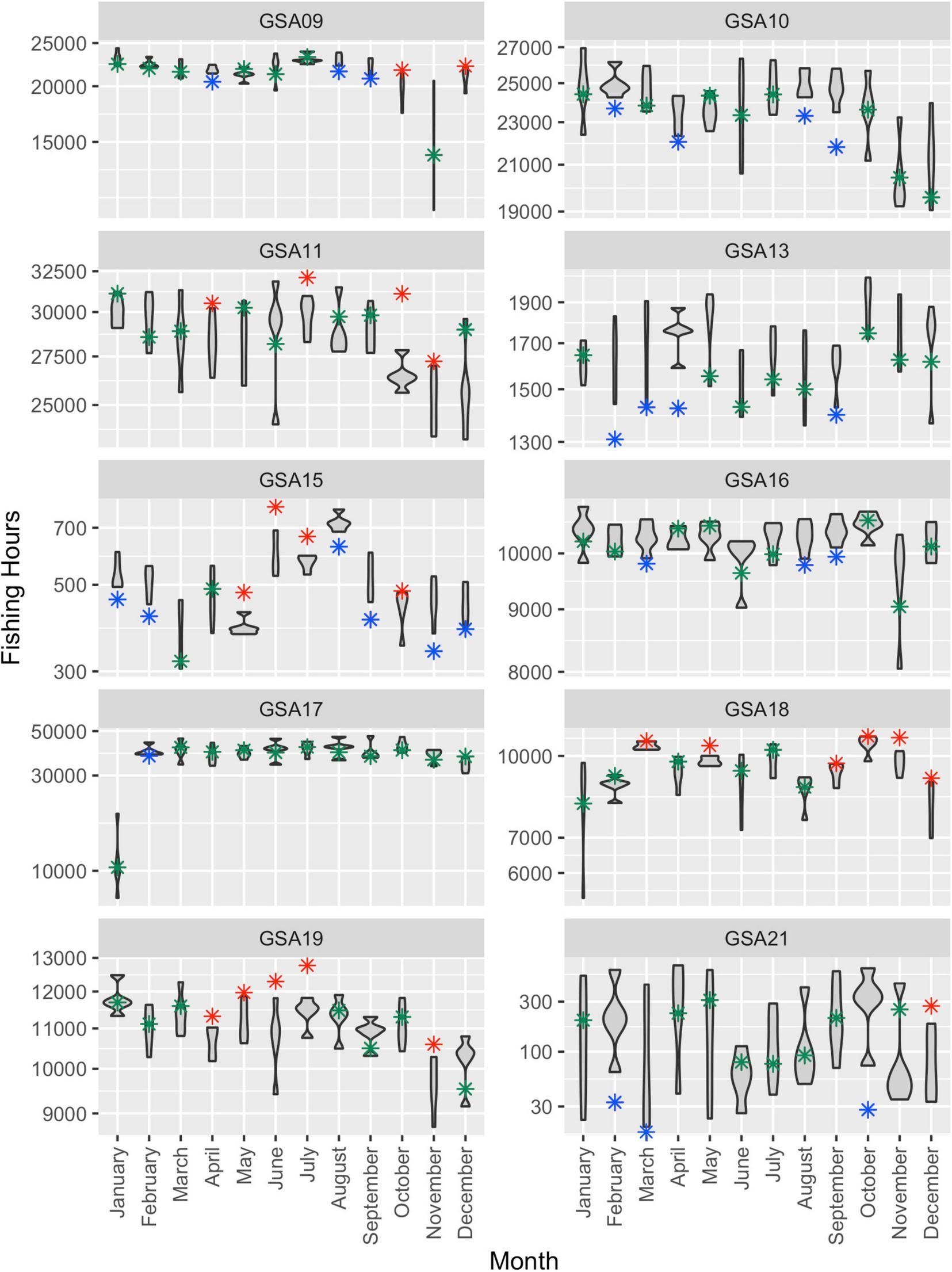
The comparison (Figure 2) between monthly Fishing Days per GSA during the years 2015–2019, and the corresponding values during the year 2020, indicates that all the predictors (GSA, Year, Month and COVID-19 shock) have a statistically significant effect on this indicator (Table 4—ANOVA Results). In some cases (e.g., from January to March in GSA15, in the months of February and March for the GSAs 10, 13, and 21), the values are significantly lower than the ones observed in the baseline distribution. These abnormally low values are found especially in February (five over 10 GSAs: 10, 13, 15, 17, and 21), March (five over 10 GSAs: 10, 13, 15, 16, and 21), and September (six over 10 GSAs: 9, 10, 13, 16, 17, and 19). In other cases, the values observed during the year 2020 are significantly higher than those in the reference distribution. This can be observed in April (three GSAs over 10: GSA 11, 16, and 19), in May (seven GSAs over 10: GSA 9, 11, 15, 16, 18, and 19), and in June (three GSAs over 10: GSA 15, 18, and 19). In some GSAs (e.g., GSA 9, 10,13, 17, and 21), the values in the year 2020 never exceed those observed in the reference distributions.
FIGURE 2

Violin plot of the values of total Fishing Effort (in Days) by month and GSA. The values of the years 2015–2019 are represented by the violin, while those of the year 2020 (during the pandemic) are represented as asterisks colored in red when significantly higher than those in the reference period, in blue when significantly lower than those in the reference period and in green when coherent with those in the reference period. A violin plot is a plotting method similar to a box plot, since it shows the probability density of the data at different values, smoothed by a kernel density estimator.
TABLE 4
| Dependant variable | Predictor | Sum of squares | Deg. of freedom | F-value | p-value |
| Fishing days | GSA | 1.614e + 14 | 9 | < 2e-16*** | |
| Month | 3.770e + 12 | 11 | 8.189 | 1.58e-13*** | |
| Year | 2.675e + 11 | 1 | 6.392 | 0.0117* | |
| Covid shock | 2.220e + 11 | 1 | 5.305 | 0.0216* | |
| Fishing hours | GSA | 6.759e + 09 | 9 | 3393.025 | <2e-16*** |
| Month | 1.371e + 07 | 11 | 6.881 | 5.21e-11*** | |
| Year | 1.931e + 07 | 1 | 9.694 | 0.00193** | |
| Covid shock | 1.541e + 07 | 1 | 7.737 | 0.00557** | |
| Strategy | GSA | 0.11243 | 9 | 175.830 | < 2e-16*** |
| Month | 0.00692 | 11 | 8.850 | 9.15e-15*** | |
| Year | 0.00071 | 1 | 9.971 | 0.00166** | |
| Covid shock | 0.00043 | 1 | 5.990 | 0.01465* | |
| LPUE | Species | 40.7 | 10 | 49.688 | < 2e-16*** |
| GSA | 24.4 | 9 | 49.525 | < 2e-16*** | |
| Month | 2.8 | 11 | 3.126 | 0.000323*** | |
| Year | 2.4 | 1 | 29.099 | 7.18e-08*** | |
| Covid shock | 0.6 | 1 | 7.149 | 0.007523** |
Results of the ANOVA applied on the different indicators (Fishing Days, Fishing Hours, Strategy, LPUE).
* < 0.05, ** < 0.01, *** < 0.001.
Fishing Effort in Hours
The comparison (Figure 3) between the recent values of monthly Fishing Hours per GSA during the years 2015–2019 and the corresponding value during the year 2020, indicates that all the predictors (GSA, Year, Month and COVID-19 shock) have statistically significant effect (Table 4—ANOVA Results). In a few cases, the values are almost all significantly lower than the ones observed in the baseline distribution. These abnormally low values are found in January (GSA 15), February (GSAs 10, 13, 15, and 21), March (GSAs 13, 16, and 21), April (GSAs 9, 10, and 13), August (GSAs 9, 10, 15, and 16), September (GSAs 9, 10, 13, 15, and 16), October (GSA 21), and November (GSA15). In other cases, the values observed during the year 2020 are significantly higher than those in the reference distribution. This happens from April to July in GSA19, from May to July in GSA15, in March and May for GSA18, in April, July, October and November for GSA11, from September to December in GSA18, and in December/GSA21.
FIGURE 3

Violin plot of the values of total Fishing Effort (in Hours) by month and GSA. The values of the years 2015–2019 are represented by the violin, while medians of the year 2020 (during the pandemic) are represented as asterisks colored in red when significantly higher than those in the reference period, in blue when significantly lower than those in the reference period and in green when coherent with those in the reference period.
Fishing Strategy
The comparison (Figure 4) between the recent values of S during the years 2015–2019 and the corresponding value during the year 2020 indicates that all the predictors (GSA, Year, Month and COVID-19 shock) have statistically significant effect (Table 4—ANOVA Results). The value of S was higher than the historical range in January (GSAs 10, 15, and 17), February (GSAs 10, 13, 15, 16, and 17), March (GSAs 10, 13, 15, and 16), April (GSAs 9 and 10), September (GSAs 10, 13, 16, 17, 19, and 21), from October to December (GSA 21), and in some other cases. This indicates that, in these areas/months, the trawlers spent less time steaming to allocate relatively more time on fishing. Conversely, the values of S were lower than expected in some blocks of months/GSA, e.g., in February and from May to July in GSA 18, from February to August and in November for GSA19, from April to June in GSA15 and GSA16, from February to July (excepting March) in GSA 18, in April/June/August in GSAs 11 and 19. Actually, in four GSAs (11, 16, 18, and 19) it is possible to observe at least 3 months, in spring/summer, characterized by small values of S. In these cases, the fleets allocated more time than usual to steaming. The analysis of the spatial pattern obtained for the GFCM standard grid allows us to inspect the internal pattern of each GSAs. Figures 5, 6 show the absolute change of the total monthly fishing effort between the year 2020 and the mean value for the period 2015–2019. In terms of Fishing Days (Figure 5), it is possible to see that the effort decreased by over 300 days per cell/month in some areas, especially GSAs 13 and 17 from March to June and GSA9 from February to June. Conversely, the Fishing Days increased off the southern coast of Sicily (GSA16) in January, June, September and November and in the coastal area between GSA17 and GSA18 (Adriatic Sea) in January, June, July and September. The corresponding pattern for Fishing Hours (Figure 6), is very similar, indicating that fishers decided, e.g., in the Adriatic sea during spring/summer, to concentrate their activity in few areas while, at the same time, other areas were partially abandoned. The case of the Adriatic Sea is coherent also with respect to the change in the Strategy, since a more coastal effort is likely to be more efficient in terms of ration between fishing time and steaming.
FIGURE 4

Violin plot of the values of Strategy by month and GSA. The values of the years 2015–2019 are represented by the violin, while those of the year 2020 (during the pandemic) are represented as asterisks colored in red when significantly higher than those in the reference period, in blue when significantly lower than those in the reference period and in green when coherent with those in the reference period.
FIGURE 5

Pattern of changes (difference in percentage between the value of Fishing Days in 2020 and the mean value during the years 2015–2019) over the-30 × 30 nautical miles grid established by the GFCM (https://www.fao.org/gfcm/data/maps/grid/en/).
FIGURE 6

Pattern of changes (difference in percentage between the value of Fishing Hours in 2020 and the mean values during the years 2015–2019) over the-30 × 30 nautical miles grid established by the GFCM (https://www.fao.org/gfcm/data/maps/grid/en/).
The effect of the COVID-19 shock on the fishing effort is finally summarized in Figure 7, in which the differences in percentage between the value of Fishing Hours in 2020 and the mean values during the years 2015–2019 is represented for each GSA. Here we present the global effect as a percentage of changes in the total yearly values of Fishing Days and Fishing Hours with respect to the reference period 2015–2019 (Figure 7). In most of the GSAs, the COVID-19 shock determined a reduction of the yearly effort. Actually, up to 62% (GSA 21), 27% (GSA 13), 15% (GSA15), 14% (GSA10), 8% (GSA17), and 7% (GSA9) of the Fishing Days were lost. However, in GSA11 (+ 12%), GSA18 (+ 23%) and GSA19 (+ 21%), the annual Fishing Days increased in 2020 with respect to the reference period. The corresponding analysis by GSA, Season and Depth stratum (Supplementary Figures 2A,B) showed that, in some areas where the effort decreased (GSAs 9, 10, 15, and 21), the reduction in fishing effort has affected all bathymetric strata during the winter. In other GSAs (11, 18, and 19) the Fishing Days increased, especially on the shallow waters, in winter. In all cases, the differences in percentage are larger during the first part of the year 2020, while they tend to be more dampened in the second half of the year. However, both for Fishing Days and Fishing Hours, negative values are larger for the strata (–500, –200] and (–1,000, –500], confirming that the fishers adopted a strategy oriented to the exploitation of species on the shelf.
FIGURE 7

Pattern of changes (difference in percentage between the total yearly value of Fishing Days and Fishing Hours in 2020 and the mean values during the years 2015–2019) for each GSA.
Landings
The analysis of the total monthly landings in the main harbors of each GSA (Figure 8) shows that, in all the GSAs with the exception of GSA11 and 18, the year 2020 had begun with an increasing production (January) with respect to the previous year (2019). From February, the situation changed greatly because in some GSAs (9 and 18) a collapse occurred whereas in other GSAs (11, 16, 17, and 19) the production remained stable and, finally, in the GSA10, it has continued to grow. March was the worst month in all GSAs in the year 2020 but the GSA19, with a decrease of landing between 50% (GSA10) and 9% (GSA09). Actually, the pattern of GSA19 seems to be moved a month behind that of other GSAs. In the period between the months of April and June there is a gradual recovery with an increasing trend that, in several GSA (9, 11, 16, 18, and 19), brings the landing values to the same levels as the previous year. In the GSAs 18 and 19 the values of landings exceed those of the previous year, with an increase between 5 and 25%. While the changes are evaluated regardless of the GSA (Figure 8), it is clear that the reduction in the quantity of landings occurred mainly in March, followed by a slow recovery that brought the values around those of the previous year during the summer (although values for subsequent months were not available for this study).
FIGURE 8

Boxplot showing the variation (as percentages comparing values of the year 2020 and those of the 2019) in the total monthly landings of demersal species in the main harbors for each GSA.
Landings-Per-Unit-of-Effort
The COVID-19 shock significantly modified the LPUE of the investigated species (Table 2). For the sake of conciseness, only the patterns for the four most important commercial species are represented in Figure 9. Those for the other seven species are visualized in the (Supplementary Figure 1). For some species such as HKE and especially DPS, the values higher than expected (red asterisks) are much more frequent than those lower with respect to the reference period, suggesting that these species were more targeted than during the previous years. The situation is opposite for deep water species such as ARS and ARA, for which values lower than expected values far exceed, as a frequency, those with higher values than the reference period. The values of LPUE for NEP were higher than expected in different months for the GSAs 9, 10, 16, and 17, and in a few months for other GSAs.
FIGURE 9

Violin plot of the values of LPUE per species, month and GSA. The values of the years 2015–2019 are represented by the violin, while medians of the year 2020 (affected by the pandemic) are represented as red asterisks.
Market and Economic Drivers
The lockdown found the fishing sector wholly unprepared. The absence of alternative outlets, chiefly the restaurants, all but blocked the distribution network of the fishing sector. In fact, 88% of participants stated that during the lockdown they lost revenues due to a dramatic reduction of the sales they used to make through their usual channels (e.g., fish markets, wholesalers and restaurants). As a result of the absence of wholesalers at the landing sites, 92% of participants did not go fishing or reduced their level of activity.
Absence of wholesalers in the fishing harbor was mentioned by 37% of participants as the main cause of the stop of their activities in all the GSAs with the exception of the GSA 17 (Figure 10) where the reduction of the fish market trading was indicated as the main reason (37%). The closure of restaurants was mentioned by 26% of participants as the second cause of the stop of their activities (Figure 10). The closure of restaurants and mass caterers induced a domino effect on the activity of the Italian fishing fleet, even though such effect was not uniform (e.g., in the Adriatic this was a reported reason with a proportion of 36% in GSA 17 and 31% in GSA 18). The closure of restaurants affects both directly and indirectly the sector. In several coastal areas, fishers traditionally supply the local restaurants directly, bypassing fish markets, wholesalers and local traders. This system is also favored by the large number of landing sites, some of which are quite distant from wholesale markets. The traditional direct sales to restaurants prevented the fishers from organizing alternative channels like online or door to door sales. In other fishing areas (mainly the Adriatic and Southern Sicily ones), wholesalers didn’t purchase the most valuable species usually requested by restaurants. According to 19% of participants, the reduction of fish market trading limited their activity. Logistical problems were mentioned by 5% of participants, with a higher incidence in GSA18 and GSA19 (13 and 12%, respectively). In some regions, even though the fish markets were open daily, they could not be supplied due to the block of transport and movement of goods between regions. Finally, further causes of the total or partial reduction of activities—mentioned by the vessel owners as well as the crew—was the difficulty in ensuring social distancing on board. However, only 1% of vessels limited their activities for this reason. Since vessels have an average crew of four, often belonging to the same family unit, very few vessels, and only the largest, were affected by this problem. Reduction of the fishing effort (in terms of number of trips) is reported to be the more common action undertaken by fishers to mitigate the adverse effects of the lockdown (Figure 10). The predetermined volume of demand resulted in a significant reduction of activities (37% of participants); this action was the most important in all the fishing areas with the exception of GSA16 (Strait of Sicily); 74% of participants in the area chosen to freeze the landings (mainly crustaceans) and wait for a recovery of the seafood markets and prices. Only 10% of respondents stated they undertook actions to diversify their sales channels. This mitigated the loss of sales, even though the transport and movement restrictions reduced the consumer demand through reduced shopping frequency and the purchase of produce with a longer shelf-life (NISEA, 2020).
FIGURE 10

Barplot showing the responses of the participants to the socio-economic questionnaire.
Discussion
The results of this paper clearly indicate that the pandemic and the related control measures have had a tangible and diversified effect on the Italian fleet of trawlers. In general, the lockdown measures have led, directly (because of closure of fish markets) or indirectly (because of lack or demand of restaurants), to a reduction in fishing effort. This reduction of the trawling effort occurred mainly in some areas, such as the GSA13, GSA15, and GSA21 (Figure 1), that host fishing grounds far from the Italian coast and, therefore, more difficult to exploit during the emergency (and the resulting confusion and uncertainty) caused by the pandemic. In addition to these geographically marginal areas, fishing effort has declined mainly in the Tyrrhenian Sea and especially in the northern Adriatic Sea for the months of March and April 2020 (Figures 4, 5). Along the eastern coast of the Tyrrhenian Sea (GSA9 and 10), the fleet has reduced the activity both in terms of fishing hours and fishing days, without altering its strategy, that is the relative allocation of the fishing effort in both coastal or offshore fishing grounds. On the contrary, the effort around Sardinia Island (GSA11) increased probably because there the fishers have been particularly skilled and effective in reshaping their activities on specific requests by wholesalers (Figure 9). In the Adriatic Sea (GSA17 and 18) the situation was more heterogeneous: in the northern part (GSA17) the fishing days declined all year around (especially in February and September), but the fishing hours and, consequently, the strategy changed only in these 2 months. These results are in substantial agreement with previous studies (Russo et al., 2021—same special issue). The southern part of the Adriatic Sea (GSA18), together with the Ionian Sea (GSA19), have been the exception to the general trend of reduction of fishing activity. In fact, in these areas, the fishing days significantly increased in six over 12 months of the year 2020 (GSA18) or (GSA19, Ionian), both fishing hours and of fishing days reached values higher than expected. Finally, in the central Mediterranean (Strait of Sicily), the Italian trawlers concentrated their activity off the southern coast (GSA 16), reducing their fishing effort in distant fishing grounds located in GSA 13 and 15. According to De Angelis et al. (2020), it is possible to explain this behavior on the basis of two aspects: the reduced demand of the market (Figure 10) and the tendency to limit the costs and the risks associated with the deep-sea fishing. In other words, during an uncertain and complex period such as the pandemic, fishers may have taken a more cautious attitude in the selection of fishing grounds.
In almost all the GSAs, the effects of the pandemic were more evident during the first 6 months of the year 2020, whereas the fishing effort returned to levels similar to those of the reference period 2015–2019 during the second half of the year. The comparative analysis of landings in the main harbors of each GSA substantially confirms these observations (Figure 10).
Reasonably, the differences in the response to COVID-19 shock are the result of the great heterogeneity of the Italian fleet and its fishing grounds, but also of the commercial network for fishery products. During the lockdown weeks, the closure of restaurants and of several fishmongers and wholesale fish markets stopped the sales of fresh seafood. The economic fallout of the lockdown has variously affected the fishing sector, and a wide range of measures have been adopted to contrast the collapse of demand in the different areas and fisheries, such as new approach on the marketing side, with a focus on new channels (i.e., direct selling) and commercial agreements between the large-scale retailers and the fishing operators on a more local level (NISEA, 2020).
The negative economic impact driven by the pandemic was closely related to the fishing effort dynamics; indeed, with the exception of the first two lockdown weeks, fishing activities in some areas reverted to the average level of the period, whereas in others the stop lasted longer. The different behaviors were largely determined by the diverse local commercial structure and sales systems characterizing Italian fisheries. Clearly, in several ports (e.g., those located in Sicily, Apulia, and Campania) the closure of restaurants brought all fish trade to a halt.
Some of the fishers who continued to work during the lockdown tried to deal with the situation by making changes to their sales channels, strengthening their collaboration with first sale markets as well as local fishmongers. In March 2020 the fish markets in some areas were closed or had reduced their opening hours by closing on alternate days. Some markets managed by local bodies closed because they were unable to guarantee social distancing. Overall, most fish markets remained open, but business was very slack: the differences among markets might explain the large differences in the proportion of respondents indicating the reduction of fish market trading as limiting their activity (Figure 10). In the more organized ports (especially in the northern Adriatic and in Tuscany), where the sales network rested on sound relationships with wholesale traders (fish markets and wholesalers), the response to the emergency was to switch to on demand fishing. On days that were agreed weekly or daily, the vessel owners would be informed of the catch amounts that the wholesalers and the markets expected to be able to sell, thus generating demand-driven fishing. In addition, they teamed up in cooperatives to meet the demand of traders and fish markets. However, these actions involved especially bottom and pelagic trawlers, whose larger landings confer a greater bargaining power, whereas fisheries based on passive gears such as trammel net or longlines were less able to adapt (NISEA, 2020).
Another potential explanation for the differences in the response to COVID-19 shock could be related to the different dynamics of the pandemic observed in southern vs. northern Italy. In fact, the Northern part of Italy, that is the area corresponding to the GSA09 and the GSA17, was hit first and harder by the pandemic (Bertuzzo et al., 2020; Di Ciaula et al., 2020) and in those areas the authorities first applied severe restrictive measures. Hence, the areas of northern Italy were the most unprepared in the face of the emergency, while the southern areas of the peninsula (and all their productive activities including fisheries) have had more time to organize and face the difficulties generated by the pandemic. In addition, the market of Milan, the biggest one of the North Italy, was closed during the lockdown, determining the loss of the most important commercial outlet for the marine fisheries products of the GSA17 and 9.
The results presented in this paper represent one of the first assessments, at a large spatial scale, of the pandemic-related changes in the fishing activity that occurred in the year 2020. It is worth noting that the changes in the fishing effort detected through the analysis of VMS data are less impressive than those documented using AIS data in the same areas (Coll et al., 2021; March et al., 2021; Russo et al., 2021). More in general, AIS-based researches report large effects of the COVID-19 shock, but probably these wide variations (and in particular the huge reductions in effort reported in some studies) are based on the limits of the AIS system which, as demonstrated in the literature, can lead to underestimate the real activity because it is not uncommon for fishers to switch off to hide the position of some fishing grounds or because the system does not provide adequate coverage in all areas of the Mediterranean Sea (Russo et al., 2016; Shepperson et al., 2018).
From a more directly biological point of view, the heterogeneity of the response of the fleet has determined important changes not only of the total level of fishing effort, but also of that relative regarding the various fishing grounds. What happened in the Adriatic Sea is the most important example. The combined spatial analysis of fishing effort (Figures 5, 6) and the LPUE of the main species indicates that the fleet, especially during the first months of the year but also during spring/summer, has strongly concentrated its activity in the coastal areas straddling the GSA17 and 18, along the zone that surrounds, on the Italian side of the Adriatic Sea, the Pomo pit. In fact, the LPUE for red mullet (MUT), hake (HKE) and Norway lobster (NEP) increased in GSA17 in different months during the first semester. This general trend toward an increase in inshore fishing could be explained by a more cautious strategy of fishermen during a period of crisis such as the pandemic. In this sense prudence refers to the higher costs related to fishing on deeper grounds: such costs can be incurred only having the reasonable certainty to obtain as much revenue from the sale of the landings (Russo et al., 2015).
Since the results of stock assessments are not yet available, it is not possible to establish what the effects were on the stocks. Also, for this reason, the LPUE are not used in this study as a proxy for the abundance of the various species but, rather, are used to analyze the strategy of the fleet, assuming that high values of LPUE of a species reflect a fishing strategy targeted to the exploitation of that specific resource. Notably, GSAs 13 and 15 that had the largest reduction of effort (in hours and days, Figure 7) were resulting as having no effects on LPUE (Figure 8).
Therefore, from a general point of view, the Italian fleet distributed in the harbors of the seven GSAs surrounding the Italian coastline (but that exploits in important ways at least other two GSA, the 13 and the 15) has reacted to the COVID-19 shock according to two almost opposite modalities. On the one hand (GSA9, 10, 16, and 17) there has been a more or less pronounced contraction of fishing effort, especially in the first half of the year, which can be explained by the incapacity or impossibility of fishermen to identify and implement alternative strategies to overcome the emergency (Figure 10). On the contrary, in the second group of GSAs (11, 18, and 19), the fleet managed to adapt, probably by activating direct channels with wholesalers (Figure 10) and being able not only to contain the effects of the shock, but even increasing the fishing effort. In both cases, however, the COVID-19 shock has influenced the strategy by pushing fishermen to reduce the exploitation of offshore areas (emblematic of the case of GSAs 13 and 15) and to increase the activity on some coastal areas, in which fishing effort has also increased significantly (Figure 7).
These results indicate that the ability to respond to a crisis such as that caused by the COVID-19 also depends on the organization of sales and distribution and on the entrepreneurial spirit of the various seafarers. Moreover, the results of this study suggest the possibility that, under external crises that increase perceived risks, fisheries can change fishing strategy reducing exploitation of offshore and deep-water species while increasing that of more coastal ones. In the near future, if this has to become a more recurrent situation, this behavior might have negative effects on some coastal species, especially in some areas such as the southern Adriatic and the south coast of Sicily.
Another important evidence of this study is that, after the strong impact of the COVID-19 shock during the first semester of the year 2020, the activity of the fleet has returned quickly to the levels of the previous years during the second half of the year. This shows that the fishing system as a whole has been very responsive and that, in addition to the overall reduction, the COVID-19 shock has led to a strong imbalance in the allocation of fishing effort in space and time.
Conclusion
In conclusion, we believe that this study could represent a crucial starting point for the evaluation of the effect of the COVID-19 shock, and the related fishing stop, on natural resources. Indeed, our analyses provide a snapshot on the marine fisheries in the Mediterranean basin throughout the entire 2020, which in all likelihood, will go down in history as a year characterized by very severe restrictions of human activities. Whether such restrictions had, somehow, affected natural resources it will be possible to integrate our outcomes into management strategies and into decisions made by policy-makers In particular, the results of this study indicate that: (1) Without limits to the fishing effort, the benefits for fishery resources induced by the fishing pressure reduction (occurring for shocks like COVID-19 or unreasoned temporary bans) could be shortly nullified when fishing activities restart; (2) in absence of catch regulation, when fishing activities restart the fishers increase their activity on coastal areas characterized by greater abundance of resources including small size specimens, and where the effective fishing time could be longer than in offshore areas, in order to maximize catch.
Publisher’s Note
All claims expressed in this article are solely those of the authors and do not necessarily represent those of their affiliated organizations, or those of the publisher, the editors and the reviewers. Any product that may be evaluated in this article, or claim that may be made by its manufacturer, is not guaranteed or endorsed by the publisher.
Statements
Data availability statement
The datasets presented in this article are not readily available because raw VMS data, landings and individual responses to the questionnaire are confidential. Metadata and statistics are available by request to the corresponding author. Requests to access the datasets should be directed to corresponding author.
Ethics statement
Ethical review and approval was not required for the study on human participants in accordance with the local legislation institutional requirements. The patients/participants provided their written informed consent to participate in this study.
Author contributions
TR, LL, SL, RS, EC, and AP performed statistical analysis. TR, EC, SF, SL, RS, and FF wrote the manuscript. TR, LL, RS, ES, and SL contributed to the experimental design. All authors revised the manuscript and approved the submitted version.
Funding
This work was also supported by the MIPAAF within the activities for the “Italian Work Plan for data collection in the fisheries and aquaculture sectors 2017–2019.” The funders had no role in study design, data collection and analysis, decision to publish, or preparation of the manuscript.
Conflict of interest
The authors declare that the research was conducted in the absence of any commercial or financial relationships that could be construed as a potential conflict of interest.
Supplementary material
The Supplementary Material for this article can be found online at: https://www.frontiersin.org/articles/10.3389/fmars.2022.824857/full#supplementary-material
Supplementary Figure 1Violin plot of the values of LPUE per species, month and GSA. The values of the years 2015–2019 are represented by the violin, while those of the year 2020 (affected by the pandemic) are represented as red asterisks.
Supplementary Figure 2(A) Absolute changes in the value of total Fishing Days by GSA, Season and Depth stratum; (B) absolute changes in the value of total Fishing Hours by GSA, Season and Depth stratum.
Footnotes
References
1
Béné C. Barange M. Subasinghe R. Pinstrup-Andersen P. Merino G. Hemre G.-I. et al (2015). Feeding 9 billion by 2050 – Putting fish back on the menu.Food Sec.7261–274. 10.1007/s12571-015-0427-z
2
Bertuzzo E. Mari L. Pasetto D. Miccoli S. Casagrandi R. Gatto M. et al (2020). The geography of COVID-19 spread in Italy and implications for the relaxation of confinement measures.Nat. Commun.11:4264. 10.1038/s41467-020-18050-2
3
China V. Zvuloni A. Roll U. Belmaker J. (2021). Reduced human activity in shallow reefs during the COVID-19 pandemic increases fish evenness.Biol.Conserv.257:109103. 10.1016/j.biocon.2021.109103
4
Clavelle T. (2020). Global Fisheries During COVID-19. Available online at: https://globalfishingwatch.org/data/global-fisheries-during-covid-19/. (accessed January 31, 2022).
5
Coll M. Ortega-Cerdà M. Mascarell-Rocher Y. (2021). Ecological and economic effects of COVID-19 in marine fisheries from the Northwestern Mediterranean Sea.Biol. Conserv.255:108997. 10.1016/j.biocon.2021.108997
6
De Angelis P. D’Andrea L. Franceschini S. Cataudella S. Russo T. (2020). Strategies and trends of bottom trawl fisheries in the Mediterranean Sea.Mar. Policy118:104016. 10.1016/j.marpol.2020.104016
7
Di Ciaula A. Palmieri V. O. Migliore G. Portincasa P. , and the IMC-19 Group (2020). COVID-19, internists and resilience: the north-south Italy outbreak.Eur. J. Clin. Invest.50:e13299. 10.1111/eci.13299
8
Eugui D. V. Barrowclough D. Contreras C. (2021). The Ocean Economy: Trends, Impacts and Opportunities for a Post COVID-19 Blue Recovery in Developing Countries. Research Paper No. 137.Geneva: South Centre.
9
FAO (2020). How is COVID-19 Affecting the Fisheries and Aquaculture Food Systems. Available online at: https://www.fao.org/documents/card/en/c/ca8637en/(accessed January 31, 2022).
10
GU (2020a). Gazzetta Ufficiale. Italian Decree DL16/5/2020. Ulteriori Misure Urgenti per Fronteggiare L’emergenza Epidemiologica da COVID-19. (20G00051). Available online at: https://www.gazzettaufficiale.it/eli/gu/2020/05/16/125/sg/pdf(accessed January 31, 2022).
11
GU (2020b). Gazzetta Ufficiale. Italian Decree DPCM11/3/2020 Ulteriori Disposizioni Attuative del Decreto-leg-ge 23 Febbraio 2020, n. 6, Recante Misure Urgenti in Materia di Contenimento e Gestione Dell’emer-Genza Epidemiologica da COVID-19, Applicabili Sull’intero Territorio Nazionale. (20A01605). Available online at: https://www.gazzettaufficiale.it/eli/gu/2020/03/11/64/sg/pdf(accessed January 31, 2022).
12
Isenberg D. J. (1987). THE TACTICS OF STRATEGIC OPPORTUNISM.Harvard. Bus. Rev.8792–97.
13
Kemp P. S. Froese R. Pauly D. (2020). COVID-19 provides an opportunity to advance a sustainable UK fisheries policy in a post-Brexit brave new world.Mar. Policy120:104114. 10.1016/j.marpol.2020.104114
14
Link J. S. Werner F. E. Werner K. Walter J. Strom M. Seki M. P. et al (2021). A NOAA Fisheries science perspective on the conditions during and after COVID-19: challenges, observations, and some possible solutions, or why the future is upon us.Can. J. Fish. Aquat. Sci.781–12. 10.1139/cjfas-2020-0346
15
March D. Metcalfe K. Tintoré J. Godley B. J. (2021). Tracking the global reduction of marine traffic during the COVID-19 pandemic.Nat. Commun.12:2415. 10.1038/s41467-021-22423-6
16
NISEA (2020). Covid-19: A Wake-Up Call For a New Deal for Fishery: Ecosystem, Social and Economic Restoration. NISEA Note 1. Available online at: https://www.researchgate.net/publication/356391446_Covid-19_a_wake-up_call_for_a_new_deal_for_fishery_ecosystem_social_and_economic_restoration_NISEA_note_20201(accessed January 31, 2022).
17
Patterson Edward J. K. Jayanthi M. Malleshappa H. Immaculate Jeyasanta K. Laju R. L. Patterson J. et al (2021). COVID-19 lockdown improved the health of coastal environment and enhanced the population of reef-fish.Mar. Pollut. Bull.165:112124. 10.1016/j.marpolbul.2021.112124
18
Russo E. Anelli Monti M. Toninato G. Silvestri C. Raffaetà A. Pranovi F. (2021). Lockdown: how the COVID-19 pandemic affected the fishing activities in the adriatic sea (Central Mediterranean Sea).Front. Mar. Sci.8:685808. 10.3389/fmars.2021.685808
19
Russo T. Carpentieri P. D’Andrea L. De Angelis P. Fiorentino F. Franceschini S. et al (2019). Trends in effort and yield of trawl fisheries: a case study from the mediterranean Sea.Front. Mar. Sci.6:153. 10.3389/fmars.2019.00153
20
Russo T. D’Andrea L. Parisi A. Cataudella S. (2014). VMSbase: an R-Package for VMS and logbook data management and analysis in fisheries ecology.PLoS One9:e100195. 10.1371/journal.pone.0100195
21
Russo T. D’Andrea L. Parisi A. Martinelli M. Belardinelli A. Boccoli F. et al (2016). Assessing the fishing footprint using data integrated from different tracking devices: issues and opportunities.Ecol. Ind.69818–827. 10.1016/j.ecolind.2016.04.043
22
Russo T. Morello E. B. Parisi A. Scarcella G. Angelini S. Labanchi L. et al (2018). A model combining landings and VMS data to estimate landings by fishing ground and harbor.Fish. Res.199218–230. 10.1016/j.fishres.2017.11.002
23
Russo T. Parisi A. Cataudella S. (2011a). New insights in interpolating fishing tracks from VMS data for different métiers.Fish. Res.108184–194. 10.1016/j.fishres.2010.12.020
24
Russo T. Parisi A. Prorgi M. Boccoli F. Cignini I. Tordoni M. et al (2011b). When behaviour reveals activity: assigning fishing effort to métiers based on VMS data using artificial neural networks.Fish. Res.11153–64. 10.1016/j.fishres.2011.06.011
25
Russo T. Pulcinella J. Parisi A. Martinelli M. Belardinelli A. Santojanni A. et al (2015). Modelling the strategy of mid-water trawlers targeting small pelagic fish in the Adriatic Sea and its drivers.Ecol. Model.300102–113. 10.1016/j.ecolmodel.2014.12.001
26
Shepperson J. L. Hintzen N. T. Szostek C. L. Bell E. Murray L. G. Kaiser M. J. (2018). A comparison of VMS and AIS data: the effect of data coverage and vessel position recording frequency on estimates of fishing footprints. ICESJ. Mar. Sci.75, 988–998. 10.1093/icesjms/fsx230
27
European Commission et al. (2019). The 2019 Annual Economic Report on the EU Fishing Fleet (STECF 19-06), edsGuillenJ.CarvalhoN.KeatingeM. (Luxembourg: Publications Office of the European Union).
28
White E. R. Froehlich H. E. Gephart J. A. Cottrell R. S. Branch T. A. Agrawal Bejarano R. et al (2021). Early effects of COVID-19 on US fisheries and seafood consumption.Fish. Fish.22232–239. 10.1111/faf.12525
Summary
Keywords
COVID-19, sustainability, trawl fisheries, marine ecology, Vessel Monitoring System, landings, economics, strategy
Citation
Russo T, Catucci E, Franceschini S, Labanchi L, Libralato S, Sabatella EC, Sabatella RF, Parisi A and Fiorentino F (2022) Defend as You Can, React Quickly: The Effects of the COVID-19 Shock on a Large Fishery of the Mediterranean Sea. Front. Mar. Sci. 9:824857. doi: 10.3389/fmars.2022.824857
Received
29 November 2021
Accepted
25 January 2022
Published
02 March 2022
Volume
9 - 2022
Edited by
Hui Zhang, Institute of Oceanology (CAS), China
Reviewed by
Dimitrios K. Moutopoulos, University of Patras, Greece; Andrés M. Cisneros-Montemayor, Simon Fraser University, Canada
Updates
Copyright
© 2022 Russo, Catucci, Franceschini, Labanchi, Libralato, Sabatella, Sabatella, Parisi and Fiorentino.
This is an open-access article distributed under the terms of the Creative Commons Attribution License (CC BY). The use, distribution or reproduction in other forums is permitted, provided the original author(s) and the copyright owner(s) are credited and that the original publication in this journal is cited, in accordance with accepted academic practice. No use, distribution or reproduction is permitted which does not comply with these terms.
*Correspondence: Tommaso Russo, Tommaso.Russo@uniroma2.it
This article was submitted to Marine Fisheries, Aquaculture and Living Resources, a section of the journal Frontiers in Marine Science
Disclaimer
All claims expressed in this article are solely those of the authors and do not necessarily represent those of their affiliated organizations, or those of the publisher, the editors and the reviewers. Any product that may be evaluated in this article or claim that may be made by its manufacturer is not guaranteed or endorsed by the publisher.