Abstract
Accuracy in reporting captures is a key element to achieve fisheries sustainability. However, identification of the catches might be a challenge when two or more species are morphologically similar and caught jointly, like the mixed fisheries of black hakes in East Atlantic African waters. Black hakes (Merluccius senegalensis and M. polli) are tough to differentiate without previous training due to their high morphological resemblance. The two species are managed as a single stock, although the biological differences between them suggest the need of a separate management. In this study, a total of 806 black hakes were visually identified by fishers on deck of fishing vessels operating in Mauritania and Senegal waters, then assigned to a species by sequencing 450bp of the Mitochondrial Control Region. Comparing the results with visual identification we found 31.4% of the total catch were incorrectly labelled on board by the fishermen. The accuracy of the fishers’ identification depended on the depth of capture and on fish size, larger individuals caught from deeper waters being more correctly assigned to M. polli. Mislabelling biased to M. polli suggests that M. senegalensis, already catalogued as endangered, is being underreported, which could endanger the conservation of this species and threaten the sustainability of black hake fisheries. Our results highlight the need for separate evaluation of the stocks in mixed fisheries for morphologically similar fish. Thus, monitoring through DNA barcoding in the very first step of the seafood chain surveys would improve accurate species delimitation and reduce its impact on the correct assessment of the stocks.
Introduction
Many threats challenge the goal of a sustainable fishing. Most notably, many stocks continue to decline due to overexploitation (Worm, 2016). Over 30% of stocks are overfished, while many others lack sufficient data to be correctly evaluated (FAO, 2020b). Although a correct assessment of the stocks and records of captures are essential for fisheries sustainability, mislabelling often hinders the reliability of these data worldwide and in all kinds of seafood resources (Luque and Donlan, 2019). Mislabelling – reporting a species under a wrong name - is often intentional to obtain fraudulent financial gain or mask IUU (Illegal, unreported and unregulated fishing) products that cannot be legally commercialized (Helyar et al., 2014; Muñoz-Colmenero et al., 2017; de Carvalho et al., 2020; Blanco-Fernandez et al., 2021a). In other cases it is likely unintentional, like mistakes in species identification that do not imply economic gains for the producer or seller (e.g. Ardura et al., 2010). It could be also applied to those cases of generic labelling that allows for more than one species to be sold under an umbrella term (Garcia-Vazquez et al., 2011; Cawthorn et al., 2018; Agyeman et al., 2021).
Mislabelling happens in all the different steps of the seafood supply chain, from the fishing vessel to the final selling point. Studies suggest that it is higher in early and late steps of the chain, such as at landings (Crego-prieto et al., 2010), restaurants (Muñoz-Colmenero et al., 2016) and mass caterings (Pardo et al., 2018). The earlier the point, the more difficult solution; it seems obvious that an error, deliberate or inadvertent, at the beginning of the supply chain will be spread along the chain, leading to compounded mislabelling. In Spain, Gordoa et al. (2017) found tuna substitutions beginning at suppliers (wholesalers), increasing at fishmongers that are the next step in the chain, and reaching its maximum at restaurants (up to 62% mislabelling at the end of the chain). Shehata et al. (2019) found a similar pattern in Canada, where the increase of mislabelling rates between the importers and the retailers, more than double in the latter, emphasizes the role of distribution and repackaging in seafood mislabelling.
Mislabelling in early steps is not always intentional; it is often the result of inadvertent substitution between morphologically similar species that are fished together (Crego-prieto et al., 2010; Iglésias et al., 2010). Misidentification of captures has negative consequences in the sustainable management of the stocks, as the misrepresentation of the actual catch leaves one of the species underrepresented while the other is overrepresented (Cawthorn et al., 2018; Giovos et al., 2021). However, despite the enormous importance of controlling the early steps, mislabelling on board has been rarely studied. Pardo et al. (2016) point at an important sampling gap in early steps of the supply chain, as the majority of studies focused sampling on retailers and restaurants. Barendse et al. (2019) reported two instances (0.1% of a long list of barcoded MSC-certified and non-MSC samples) where substitution was inferred to occur at point of capture or during onboard processing, but without a direct evidence of mislabelling onboard the fishing vessels. It is therefore urgent to cover the gap in early checkpoints, where mislabelling, even unintentional, may greatly affect the sustainability of seafood resources.
Hake (Merluccius spp.) are commercially important species: landings of hake account for over 140,000 t/year in Europe (EUMOFA, 2021), amounting to over 400 million €/year, making it a highly consumed fish and a valuable marine resource (EUMOFA, 2021). The genus Merluccius includes 12 species distributed along the Atlantic coasts, the east Pacific coast as well as the coasts of New Zealand (Pitcher and Alheit, 1995). Species belonging to this genus are morphologically similar, making their identification difficult for non-experts (Pitcher and Alheit, 1995). Furthermore, many of these species have overlapping distributions, like Merluccius bilinearis and M. albidus; M. paradoxus and M. capensis; M. polli and M. senegalensis (Pitcher and Alheit, 1995). Therefore, it is common to catch more than one species in mixed fisheries. Often, the products of these captures are either not identified to a species level or have a high degree of mislabelling. When misidentifications show a directionality, the underreported species may be overfished. This has been widely reported for the highly exploited Cape hakes (Garcia-Vazquez et al., 2012; Helyar et al., 2014; Blanco-Fernandez et al., 2021a), and suggested for the northwest Atlantic species M. albidus and M. bilinearis (Garcia-Vazquez et al., 2009).
Here, we will focus on a pair of species poorly studied in the literature. “Black hakes” is the common name that includes both Merluccius senegalensis and M. polli. The distribution of M. senegalensis is reported from 33°N to 10°N (Fernández-Peralta et al., 2017), while the distribution of M. polli is wider, ranging from 25°N to 18.30°S (Fernández-Peralta et al., 2017). Thus, the two species overlap for over 2000 km, where they are fished jointly in a mixed fishery. There is also an overlap in their depth range: Merluccius polli is reported from 50 to 1,100 m; and M. senegalensis from 15 to 800 m (Froese and Pauly, 2021). For both species, females are bigger than males (Lloris et al., 2005; Rey et al., 2015). However, there are small differences in the maximum and average sizes of both species, probably as a consequence of their different ecological strategies (Rey et al., 2015): M. polli is slightly smaller, reporting average sizes of 38 cm (across adult males and females) and a maximum reported size of 80 cm, while the average size for M. senegalensis is 42 cm and the maximum size reported is 81 cm (Cohen et al., 1990; Lloris et al., 2005).
Both species spawn in the cold season during a similar spawning window: September to March in M. senegalensis and October to March in M. polli (Martos and Peralta, 1995; Fernandez-Peralta et al., 2011). M. senegalensis has been reported to spawn along the southern coast of Morocco and northern coast of Mauritania, and to the north of Cape Verde, while M. polli spawning areas include the Mauritanian coast and the gulf of Guinea (Martos and Peralta, 1995); thus their spawning areas overlap in Mauritanian waters. These overlaps in spawning areas and time would theoretically enable windows for interspecific hybridization.
In addition to their overlapping distributions, these species are morphologically similar, which may make both species hard to distinguish based solely on exterior characters (Fall et al., 2018). Some distinctive traits [see Cohen et al. (1990), the species entries in Fishbase Froese and Pauly (2021), and Lloris et al. (2003; 2005)] are described next. M. senegalensis has a longer head in relation to the standard length than M. polli. In addition, M. polli scales are easily shed – not so easily in M. senegalensis, and their number of lateral scales varies: in M. senegalensis they range from 124 to 155, and in M. polli, from 98 to 127. Scales are present in M. polli lacrimal bone but absent in M. senegalensis. The gill rakers also differ between both species in number: in M. polli with 8 to 12 in the first branchial, while M. senegalensis has 10 to 17 gill rakers. The caudal fin is white-edged in M. polli but not in M. senegalensis (Fall et al., 2018). Finally, in large adult M. polli individuals, pectoral fin tips do not reach the origin of the anal fin like in M. senegalensis, although this trait is not developed in smaller juvenile M. polli individuals where pectoral fin tips can reach the origin of anal fin tip as in M. senegalensis; thus this is not a strong diagnostic feature.
Black hakes are an important fishery resource. FAO (FAO, 2020a) reports of black hake captures in the east central Atlantic (FAO zone 34) amounted to 29,547 tonnes in 2017, the last year with available data, of which 18,843 t were reported as M. senegalensis, 4,677 t as M. polli and the rest (6,027 t) not specified. As one of the biggest importers, Spain reported a total of 13,847 t landings in 2019 (Eurostat, 2021): 8,389 t of M. senegalensis, 5,456 t of M. polli, and the remaining 2 t not specified. Reports show that most of the landings of these species to the continent from both Mauritania and Senegal arrive at Spain (Fall et al., 2018; Fernandez-Peralta et al., 2019; Eurostat, 2021). Furthermore, all fresh black hakes landings enter to Spain through the port of Cadiz (Opromar, 2017), where the prices differ from one species to another: currently M. polli (2.16€/kg as of 2020) appears to be more highly valued in relation to M. senegalensis (Idapes, 2021). However, while M. polli is currently the main declared species, data shows a shift in the landings reports in 2015-2016. This shift is also accompanied by an analogous change in the price of both species (Supplementary Figure S1).
For their conservation status, Merluccius senegalensis is catalogued as endangered in the International Union for Conservation of Nature –IUCN- Red List of Threatened Species (Iwamoto, 2015b), while M. polli is globally considered of least concern (Iwamoto, 2015a).
M. senegalensis is commercialized by its scientific name (Blanco-Fernandez et al., 2021b), while in European markets M. polli is often found only as an unreported substitute in commercial samples (Garcia-Vazquez et al., 2011; Blanco-Fernandez et al., 2021a; Blanco-Fernandez et al., 2021b). Until now, it was not possible to disentangle if such mislabeling is unintentional or, on the contrary, is a deliberate use of IUU products. Because of this, and given the general lack of data involving black hake fisheries, there is an urgent need for assessing the accuracy of identification of these species.
To our knowledge, this is the first study of mislabelling in the first checkpoint of the hake supply chain. Using a self-sampling approach (e.g. Roman et al., 2011; Kraan et al., 2013), collaborating fishers identified black hake catches on deck as they do normally, and took tissue samples for further validation of the species from DNA. Mislabelling was determined comparing de visu and genetic identification, and possible factors contributing to erroneous hake identification were inferred.
Material and Methods
Sampling
We employed self-sampling i.e. direct sampling of real catch by cooperative fishers themselves [e.g. Kraan et al. (2013)]. As the objective was to assess current mislabelling of black hakes on board, training on species identification was not offered. Training was limited to an explanation of the data needed, sample coding, and how to collect tissue samples and label the tubes to ensure sample traceability. Fishers agreed to take part of this study on a voluntary basis. They did not take any additional identification training or receive researchers’ instructions about how to recognize the species previous to this sampling. They were asked to identify the hakes as they normally do in their regular fishing operations, and to record some additional data: fishing date, time, location and depth of the haul. Fishers also recorded total length and sex of the individuals. Sex was determined by examining the gonads in mature individuals. Individuals were thus classified as male or female adults, or juveniles (not sexed by fishers). A fin clip of 1 cm2 was cut and stored in 100% ethanol, then sent to the University of Oviedo for DNA analysis. A total of 806 hakes were processed, of which 474 were adult females, 186 adult males and 146 juveniles (all collected data can be seen in Table S1).
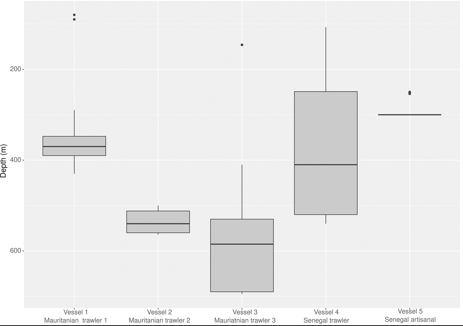
Samples of black hake (M. senegalensis and M. polli) were caught in Mauritanian and Senegalese waters (ranging between latitudes 20.762°N and 14.95525°N, within their overlapping distribution range) between November 2019 and June 2020. Sampling in Mauritania was carried out by three Spanish (operating under Sustainable Fisheries Partnership Agreement) trawlers from OPROMAR company. In Senegal, sampling was done from one trawler from the Spanish-Senegalese company Soperka S.A. and from small artisanal longline vessels (Figure 1). Vessels targeted different areas (Figure 1) and depth ranges (Figure 2). Artisanal vessels fished in the Kayar canyon at shallower depths and with the narrowest range (all catches were done between 250 and 300 m depth, average = 296 m depth), while industrial vessels fished from 80 m to 695 m depth. In total, 76 hakes were taken from the northern area, 287 from the central part and 462 from the southern one.
Figure 1

Distribution of catches by labelling and DNA identity along the coasts of Mauritania and Senegal. a-e, Sectors and sampling points are proportional to the number of samples caught in each zone. (A) General proportion of global mislabelling. (B) Distribution of samples labelled as M. polli and DNA-assigned to M. polli (MP/MP). (C) Distribution of samples labelled as M. polli and DNA-assigned to M. senegalensis (MP/MS). (D) Distribution of samples labelled as M. senegalensis and DNA-assigned to M. senegalensis (MS/MS). (E) Distribution of samples labelled as M. senegalensis and DNA-assigned to M. polli (MS/MP).
Figure 2

Boxplots showing the distribution of the depth of the catches (in meters) for the different vessels.
DNA Analysis
DNA was extracted with DNeasy Blood & Tissue kit by QIAGEN following the instructions of the manufacturer. The mitochondrial Control Region was chosen as molecular marker for its accuracy in species identification within the Merluccius genus (Machado-Schiaffino et al., 2008).
Primers MmerHk01 (5′- GGGGGGGCCGACAGAGTTATA-3′) and MmerHk02 (5′-CCCGCTAGACTTGCTTACTAA-3′) (Lundy et al., 2000) were used to amplify a fragment of 450 bp within the Control Region. PCR amplification was performed using 10 pmol of each primer, 1.5 mM MgCl2, 0.25 mM dNTPs, 1x Buffer GoTaq®Promega, 0.15 µl of GoTaq®Polymerase (5U/µl) and 2 µL of the sample DNA in a final volume of 20 µl. PCR conditions were an initial denaturing step at 90°C for 5 min followed by 35 cycles with a 30” denaturation step at 95°C, annealing at 53°C for 30”, and elongation step at 72°C for 45”, plus a final elongation step of 15 min at 72°C. Amplicons were sequenced at Macrogen, Spain, using Sanger sequencing. The resulting sequences were edited using Lasergene Seqman software by DNASTAR.
All individuals sampled for this study were assigned to a species from the sequences using BLAST (Basic Tool Alignment Search Tool). BLAST results over 98% similarity identities were considered.
Statistical Analysis
Samples were sorted in four different classes according to the species assigned by fishermen (two first letters) and determined from DNA (two last letters): MP/MP, MP/MS, MS/MS or MS/MP; where MP= M. polli, MS= M. senegalensis. MP/MS and MS/MP represent mislabelled individuals (visual ID/DNA ID).
PAST (Hammer et al., 2001) software was used to perform Contingency Chi-square tests for differences between the distribution of mislabelling in both species and among the vessels. Logistic regression was performed in R v.3.6.1 (R Core Team, 2019) to determine possible associations between the classification of an individual and other variables such as sex and size, latitude and haul depth. For this, the labelling classes (dependent variables MP/MP, MP/MS, MS/MP and MS/MS) were transformed to dummy variables (1=belonging to a class, 0= not belonging to a class). The geographical distribution of samples was represented using QGIS v.3.4.14, and ggplot2 was used for data visualization (Wickham, 2016).
Results
Overall Mislabelling on Deck
Fishermen identified 813 hakes on deck, of which a total of 806 individuals were successfully assigned to a species based on control region sequences. Fishers labelled 63.5% of those individuals as M. polli on deck (#512). DNA sequences 450 bp long were obtained, and after inspection and manual revision were submitted to GenBank where they are available with the accession numbers MZ703314-MZ703406.
Individual DNA identity and data compiled during the survey on deck can be found in Supplementary Table S1. DNA revealed that in reality only 45.7% of the 806 individuals analysed were M. polli (#368 vs. #438 M. senegalensis), this implying that many M. senegalensis were unreported substitutes of M. polli (#144). As expected from these global figures, mislabelling was not balanced in the two species. Out of the 512 hakes labelled as M. polli by the fishermen, DNA sequences of 314 best-matched with M. polli in GenBank (MP/MP), while 199 (38.9%) were genetically assigned to M. senegalensis (MP/MS). In contrast, 240 of the 294 hakes identified on deck as M. senegalensis were genetically assigned to M. senegalensis (MS/MS), and only 54 (18.4%) were assigned to M. polli from DNA. Altogether, the proportion of samples mislabelled was 31.4% (Table 1). Differences in mislabelling between the two species were significantly different, M. senegalensis individuals being more likely to be mislabelled on deck (that is, classified as M. polli) than the other way round (X2 = 36.442; p-value=1.57e-09).
Table 1
| Labelled as | M. polli | M. senegalensis | N | % Mislabelling | ||
|---|---|---|---|---|---|---|
| DNA identity | M. polli | M. senegalensis | M. senegalensis | M. polli | ||
| Mauritanian trawler 1 | 103 | 16 | 0 | 0 | 119 | 13.45 |
| Mauritanian trawler 2 | 114 | 44 | 0 | 0 | 158 | 27.85 |
| Mauritanian trawler 3 | 66 | 0 | 13 | 2 | 81 | 2.47 |
| Senegal trawler | 30 | 23 | 57 | 52 | 162 | 46.30 |
| Artisanal fleet | 0 | 116 | 170 | 0 | 286 | 40.56 |
| TOTAL | 313 | 199 | 240 | 54 | 806 | 31.39 |
Total number of samples per vessel categorized according to their label and DNA identity.
While generally high, mislabelling frequency was not uniform across fishing vessels (Table 1). Significant differences were found between the vessels participating on the sampling (X2 = 78.05; p-value=4.5e-16). Mauritanian trawler 1 and 2 fishing in Mauritania (northern part of the sampling area, see Figure 1) labelled all hakes as M. polli, although 13.45% and 27.85% of their respective catch was actually M. senegalensis. Mauritanian trawler 3 had the lowest proportion of mislabelled samples of all the vessels; only two individuals identified by fishermen as M. senegalensis were classified as M. polli from DNA, while the remaining 79 individuals were correctly classified (66 M. polli and 13 M. senegalensis). In Senegal waters, both the Senegal trawler and the artisanal ships labelled some individuals as M. polli and others as M. senegalensis (Table 1). However, DNA revealed only M. senegalensis in the catches belonging to the artisanal fleet (40.6% mislabelling), and an even higher level of mislabelling in vessel 4 (46.3%).
Factors Associated with Mislabelling
Latitude and haul depth were highly correlated to each other (r=0.54; p-value = 2.2e-16). This can be explained because the vessels operating in different locations aimed at different depths, hence the relation between latitude and depth can be considered spurious. Latitude was thus excluded from the multiple regression analysis.
The multiple logistic regression showed significant prediction of several labelling categories from haul depth and also from hake size (Table 2). Correctly labelled M. senegalensis, class MS/MS, would occupy shallower waters (negative regression on depth) than correctly labelled M. polli, class MP/MP (positive regression on depth). M. senegalensis misidentified as M. polli (MP/MS) would occur in shallower waters (negative regression with depth), and M. polli misidentified as M. senegalensis (MS/MP) would be generally smaller (negative regression over size).
Table 2
| Labelled as | M. polli | M. senegalensis | ||
|---|---|---|---|---|
| DNA Identity | M. polli | M. senegalensis | M. senegalensis | M. polli |
| Intercept | -8.445 | -1.745 | 3.455 | 1.927 |
| (<2E-16) | (0.081) | (0.001) | (0.054) | |
| Haul depth | 13.285 | -4.273 | -11.059 | 1.826 |
| (<2E-16) | (1.93E-05) | (<2E-16) | (0.068) | |
| Length | 0.998 | 2.031 | 2.469 | -6.068 |
| (0.318) | (0.042) | (0.014) | (1.29E-09) | |
Multiple Logistic Regression with label categories as dependent variables, and haul depth and hake length as independent variables.
Significant z-values appear in bold (p-value in parentheses).
It is clear that the four classes occurred generally at different depths (Figure 3), M. polli being caught at deeper waters than M. senegalensis. When caught in shallower waters it was frequently misidentified as M. senegalensis (see MS/MP in Figure 3). The association of the different classes with size (Figure 4) shows that MS/MP were shorter than the rest of classes. In the two classes of misidentified individuals, small hakes were generally labelled as M. senegalensis and large ones as M. polli (Figure 4). Altogether, on-deck labelling errors were mainly due to the assumption of M. polli being bigger and inhabiting deeper waters, and the opposite in M. senegalensis.
Figure 3

Distribution of samples by labelling categories and depth. MP/MP: samples labelled as M. polli and DNA-assigned to M. polli (orange); MP/MS: samples labelled as M. polli and DNA-assigned to M. senegalensis (red); MS/MS: samples labelled as M. senegalensis and DNA-assigned to M. senegalensis (light blue); MS/MP: samples labelled as M. senegalensis and DNA-assigned to M. polli (blue).
Figure 4

Box and whiskers plot showing sample sizes (individual length) in each labelling category. MP/MP: samples labelled as M. polli and DNA-assigned to M. polli (orange); MP/MS: samples labelled as M. polli and DNA-assigned to M. senegalensis (red); MS/MS: samples labelled as M. senegalensis and DNA-assigned to M. senegalensis (light blue); MS/MP: samples labelled as M. senegalensis and DNA-assigned to M. polli (blue).
Discussion
High level of misidentification of black hakes on board were detected in this study. More than 30% of misidentification in the first step of the commercial chain of these species is really important, for two reasons. First, labelling accuracy in further steps is already compromised from the very beginning. Second, asymmetric mislabelling may endanger the most frequent substitute that is M. senegalensis.
Misidentification of species at catch is perhaps the most dangerous failure in the control of seafood commercial chain, because mislabelling can only increase along the supply chain (Gordoa et al., 2017; Shehata et al., 2019), especially when the fish are already processed, and morphological identification is no longer possible. A mistake in the species label is a problem for the consumer when the substitute species is cheaper (economic problem) or less nutritive/more polluted (health problem), but it does not seem to be the present case because the black hakes are similar fish, caught from the same waters. Thus, the main problem is that the sustainable management of the species is undermined; the underreported substitute species may be inadvertently overexploited if misidentification is systematically directional. From our results this seems to be the case of black hakes.
Directionality in the mislabelling, pointing to overrepresentation of Merluccius polli in the total sampling and underreporting of Merluccius senegalensis, has been found in our data. Species misidentification leads to faulty assessments of stock sizes which could have a negative repercussion on the underreported species, and has been reported in other hake species with overlapping distributions (Machado-Schiaffino et al., 2008; Garcia-Vazquez et al., 2009; Garcia-Vazquez et al., 2012; Cawthorn et al., 2012). Although black hakes are managed together as a single stock, traditionally, M. senegalensis has been the species targeted in this fishery over M. polli (Martos and Peralta, 1995). However, more recently this situation has shifted, and M. polli has become the main catch of this fishery, accounting for over 90% of the landings (Fernandez-Peralta et al., 2019). The activity of this fishery has been growing in the last decade, with landings increasing from 9,000 t in 2006 to 17,000 t in 2016 (FAO, 2018). The state of these fisheries was categorized as not fully exploited in 2016 (FIRMS, 2016), but only one year later, it was considered fully exploited (FAO, 2018). Taking into account that the two species are considered together, from the results of our study it is possible that M. senegalensis is overexploited now. Several pieces of evidence support this idea, as stocks of M. senegalensis are declining (Fernández-Peralta et al., 2017) and the species has been catalogued as endangered in the IUCN Red List of threatened species (Iwamoto, 2015b), while M. polli remains as Least Concern but is marked as “Research needed” and its current population trend is unknown (Iwamoto, 2015a). Furthermore, the distribution of M. polli has expanded northwards in the last 30 years, likely in relation to an increase of temperatures, and has become the most abundant species in Mauritania, over M. senegalensis (Fernández-Peralta et al., 2017). The case of black hake is not unique, this can be seen in other overlapping Merluccius hakes; for example, deep Cape hake M. paradoxus is the current dominant species in areas where M. capensis used to be the most abundant species, likely due to overexploitation of the latter (Wilhelm et al., 2015).
The causes of mislabelling are likely not economic. While there is a difference between both species, prices upon landings seem to fluctuate artificially in relation to which one is more commonly reported at that moment (Supplementary Figure 1). This, in addition to the intrinsic difficulties of morphological differentiation – the two species are quite similar to each other- would rather point towards an intentional error linked to fishers’ expectations as a more probable explanation. There are ecological differences between both species (Rey et al., 2015; Fernández-Peralta et al., 2017) which determine the probabilities of finding one rather than the other. Depth range is partially different (Martos and Peralta, 1995): M. senegalensis has a preference for shallower depths, while M. polli is the dominant hake species at deeper waters, but indeed they overlap. Fishers were told to classify the catch as M. polli or M. senegalensis, thus a priori they could expect to find individuals of the two species, although from the depth range preference they would expect M. polli in deep waters and M. senegalensis in shallower ones. Fishers working in vessels #1 and #2 operating in Mauritania at relatively greater depths expected to find M. polli and so labelled all catch as the latter, although a proportion of the catches, generally from the shallower waters fished, was M. senegalensis.
Regarding differences between vessels, hake identification was almost entirely correct in the Mauritanian trawler #3 while practically random in the Senegal trawler #1. This may suggest different levels of fishers’ expertise regarding hake classification at a species level. The error in the Senegal trawler#1 could be based on a wrong interpretation of the relative length of pectoral fins as a general distinctive trait in M. polli. Pectoral fins do not reach the origin of anal fin only in large, but not in small, M. polli individuals, while they reach the origin of anal fins in M. senegalensis at any size (Cohen et al., 1990). Samples mislabelled by this vessel as M. senegalensis but DNA-assigned to M. polli (MS/MP) were significantly smaller than the rest, thus their pectoral fins were probably similar to M. senegalensis’. All mislabelled MS/MP in our study were caught by vessel #4 in the same area (Figure 1E), thus this particular error was exclusive of fishers working on that vessel. Perhaps they had less experience as fishers, although we cannot confirm it because we have no specific information about this point. In their review of methods utilized in fully documented fisheries, Mangi et al. (2015) identified potential biases and lack of accuracy as main concerns about self-sampling programmes. Here, we can confirm that such a lack of accuracy can really happen regarding species identification. In this case, the objective was precisely to determine if it is happening in real fisheries, thus self-sampling was the most realistic way to detect and quantify hake identification biases.
From the considerations above, the results of this study point towards the need for the assessment of each black hake species separately to ensure the fishery’s sustainability. The implementation of self-sampling strategies as a sampling resource could be useful for data deficient fisheries, functioning as a cheap solution which also adds the involvement of the fishers in the conservation of the stocks (Roman et al., 2011). However, the high risk of mislabelling observed here shows that an effort in fishers training is still required to improve hake identification skills. This could be complemented with the implementation of regular DNA-identifications, or morphological identification by experts, to check periodically the accuracy of visual identifications. The combination of self-sampling routines by fishers with the use of molecular tools or expert checking could result in a reliable and relatively cheap way to determine the composition of fish catches, enabling more sustainable fisheries and the conservation of these valuable resources.
Management and Research Recommendations
-
Specific training in catch species identification is recommended for fishers and fishing industry, to improve the accuracy of labels from the beginning of seafood commercial chain, and for setting up an effective national sampling programme.
-
Managing Merluccius polli and M. senegalensis independently, or at least evaluating separately their stocks, is strongly recommended for fishery sustainability and conservation.
-
The use of self-sampling strategies as done in this study could be recommended to investigate mislabelling in origin of other species fished together, like Cape hakes M. capensis and M. paradoxus, North American hakes Merluccius albidus and M. bilinearis, megrims Lepidorhombus boscii and L. whiffiagonis, and others.
-
DNA barcoding could be applied for the control of species identification on board and in landings, through COI analysis of random catch samples in order to validate discrimination between species.
Conclusions
The high mislabelling risk found highlights difficulties in the identification between these two similar hake species that leads to a threat to the sustainable exploitation of this resource. Furthermore, this is one of few articles to tackle the risk of mislabelling in the first stage of the supply change (accidental mislabelling on board). The same problematic is likely to occur in other species. Mixed fisheries are especially vulnerable to these practices: Different species must be assessed separately. This is especially relevant under the current scenario of global change, as the combination of changes in biology, ecology and distribution of species and overexploitation may increase the vulnerability of the underreported species (e.g. M. senegalensis). Establishing DNA barcoding monitoring tool upon landing is key to avoid significant misidentifications affecting fisheries management decisions.
Funding
The research leading to these results received funding from the European Union’s Horizon 2020 research and innovation program under grant agreement No. 727891/FarFish project, the Spanish Ministry of Science and Innovation, Grant GLOBALHAKE PID2019-108347RB-I00, the Government of Principado de Asturias, Spain (GRUPINIDI-2021-000040), and the Portuguese Science and Technology Foundation (FCT) through projects UIDB/04326/2020, UIDP/04326/2020 and LA/P/0101/2020 to CCMAR.
Publisher’s Note
All claims expressed in this article are solely those of the authors and do not necessarily represent those of their affiliated organizations, or those of the publisher, the editors and the reviewers. Any product that may be evaluated in this article, or claim that may be made by its manufacturer, is not guaranteed or endorsed by the publisher.
Statements
Data availability statement
The datasets presented in this study can be found in online repositories. The names of the repository/repositories and accession number(s) can be found below: NCBI [accession: MZ703314-MZ703406] and FarFish project (https://zenodo.org/record/6363365#.YjNKUXrP02w). All data regarding the visual IDs of samples and details of catches and characteristics of samples can be found in Supplementary Table 2.
Ethics statement
Ethical review and approval was not required for the animal study because the study is based only in commercial samples.
Author contributions
CB-F originated the idea, led the data compilation, conducted the analysis, and wrote the initial draft of the paper. KE originated the idea and lead the data compilation. SR-D and PA-G contributed to data compilation and analysis. NT, FS, MD, JV, DF-V, JMSG, MR, and KS contributed to data compilation and research design. EG-V originated the idea, lead the research design, analysis and write-up. GM-S originated the idea, led the research design, supervised the project, contributed to the analysis and write-up. All authors contributed to interpreting the results and writing the final version of the manuscript.
Conflict of interest
The authors declare that the research was conducted in the absence of any commercial or financial relationships that could be construed as a potential conflict of interest.
Supplementary material
The Supplementary Material for this article can be found online at: https://www.frontiersin.org/articles/10.3389/fmars.2022.841667/full#supplementary-material
References
1
Agyeman N. A. Blanco-Fernandez C. Steinhaussen S. L. Garcia-Vazquez E. Machado-Schiaffino G. (2021). Illegal, Unreported, and Unregulated Fisheries Threatening Shark Conservation in African Waters Revealed From High Levels of Shark Mislabelling in Ghana. Genes (Basel)12 (7), 1002. doi: 10.3390/genes12071002
2
Ardura A. Pola I. G. Ginuino I. Gomes V. Garcia-Vazquez E. (2010). Application of Barcoding to Amazonian Commercial Fish Labelling. Food Res. Int.43, 1549–1552. doi: 10.1016/j.foodres.2010.03.016
3
Barendse J. Roel A. Longo C. Andriessen L. Webster L. M. I. Ogden R. et al . (2019). DNA Barcoding Validates Species Labelling of Certified Seafood. Curr. Biol.29, R198–R199. doi: 10.1016/j.cub.2019.02.014
4
Blanco-Fernandez C. Ardura A. Masiá P. Rodriguez N. Voces L. Raigoso M. F. et al . (2021a). Fraud in Highly Appreciated Fish Detected From DNA in Europe may Undermine the Development Goal of Sustainable Fishing in Africa. Sci. Rep.11, 1–10. doi: 10.1038/s41598-021-91020-w
5
Blanco-Fernandez C. Garcia-Vazquez E. Machado-Schiaffino G. (2021b). Seventeen Years Analysing Mislabelling From DNA Barcodes: Towards Hake Sustainability. Food Control.123, 1–9. doi: 10.1016/j.foodcont.2020.107723
6
Cawthorn D. M. Baillie C. Mariani S. (2018). Generic Names and Mislabeling Conceal High Species Diversity in Global Fisheries Markets. Conserv. Lett.11, 1–12. doi: 10.1111/conl.12573
7
Cawthorn D. M. Steinman H. A. Witthuhn R. C. (2012). DNA Barcoding Reveals a High Incidence of Fish Species Misrepresentation and Substitution on the South African Market. Food Res. Int.46, 30–40. doi: 10.1016/j.foodres.2011.11.011
8
Cohen D. M. Inada T. Iwamoto T. Scialabba N. (1990). FAO Species Catalogue. Vol.10. Gadiform Fishes of the World (Order Gadiformes). An Annotated and Illustrated Catalogue of Cods, Hakes, Grenadiers and Other Gadiform Fishes Known to Date. FAO Fisheries Synopsis (Rome).
9
Crego-prieto V. Campo D. Perez J. Garcia-vazquez E. (2010). “Mislabelling in Megrims: Implications for Conservation,” in Tools for Identifying Biodiversity: Progress and Problems. (Trieste:EUT Edizioni Università di Trieste) Eds. NimisP.LebbeR. V., 315–322.
10
de Carvalho S. C. Sampaio I. Santos S. (2020). DNA Barcoding Reveals Mislabeling and Commercial Fraud in the Marketing of Fillets of the Genus Brachyplatystoma Bleekethe Amazonian Freshwater Catfishes Economically Important in Brazil. Heliyon6, e04888. doi: 10.1016/j.heliyon.2020.e04888
11
EUMOFA (2021). European Market Observatory for Fisheries and Aquaculture Products. Available at: https://www.eumofa.eu/fishery-landings (Accessed 7 May 2021).
12
Eurostat (2021). Eurostat. Available at: https://ec.europa.eu/eurostat/web/fisheries/data (Accessed 29 July 2021).
13
Fall M. Cervantes A. Sow F. N. Fernandez-Peralta L. Thiam N. E. Balguerias E. et al . (2018). Rapport De La Réunion Annuelle Du Comité Scientifique Conjoint Relatif À L’Accord De Pêche Signé Entre La République Du Sénégal Et L’Union Européenne. Dakar, Senegal.
14
FAO (2018). Summary of the Status of Demersal Stocks in the Northern Area of the Eastern Central Atlantic (CECAF).
15
FAO (2020a). Fisheries and Aquaculture Software. FishStatJ - Software for Fishery and Aquaculture Statistical Time Series. In: FAO Fisheries and Aquaculture. Available at: http://www.fao.org/fishery/ (Accessed 21 July 2020).
16
FAO (2020b). The State of World Fisheries and Aquaculture 2020. Sustainabilty in Action (Rome). doi: 10.4060/ca9229en
17
Fernandez-Peralta L. Bouzuma M. E. M. Balguerias E. Braham C.-B. Brahim K. Corten A. et al . (2019). “Rapport De La Réunion Annuelle Du Comité Scientifique Conjoint Relatif À L’Accord De Pêche Signé Entre La République Islamique De Mauritanie Et L’Union Européenne,” in Rapports Des Comités Scientifiques Conjoints. Bruxelles (Brussels, Belgium:Santa Cruz De Tenerife, Espagne), 66. et Annexes.
18
Fernández-Peralta L. Quintanilla L. F. Rey J. (2017). “Overlapping Distribution of Two Sympatric Species: The Case of Black Hakes, Merluccius Polli Cadenat 1960 and Merluccius Senegalensis Cadenat 1960, Off Mauritania,” in Deep-Sea Ecosystems Off Mauritania: Research of Marine Biodiversity and Habitats in the Northwest African Margin (Dordrecht, Netherlands), 241–275. doi: 10.1007/978-94-024-1023-5
19
Fernandez-Peralta L. Salmerón F. Rey J. Puerto M. A. García-Cancela R. (2011). Reproductive Biology of Black Hakes (Merluccius Polli and M. Senegalensis) Off Mauritania. Cienc. Mar.37, 527–546. doi: 10.7773/cm.v37i4B.1841
20
FIRMS (2016). CECAF Scientific Advice 2016. Senegalese Hake, Benguela Hake - Mauritania, Senegal and Gambia. Available at: http://firms.fao.org/firms/resource/10123/en (Accessed 24 June 2021).
21
Froese R. Pauly D. (2021) FishBase. Available at: www.fishbase.org (Accessed 28 July 2021).
22
Garcia-Vazquez E. Horreo J. L. Campo D. Machado-Schiaffino G. Bista I. Triantafyllidis A. et al . (2009). Mislabeling of Two Commercial North American Hake Species Suggests Underreported Exploitation of Offshore Hake. Trans. Am. Fish. Soc138, 790–796. doi: 10.1577/t08-169.1
23
Garcia-Vazquez E. Machado-Schiaffino G. Campo D. Juanes F. (2012). Species Misidentification in Mixed Hake Fisheries may Lead to Overexploitation and Population Bottlenecks. Fish. Res.114, 52–55. doi: 10.1016/j.fishres.2011.05.012
24
Garcia-Vazquez E. Perez J. Martinez J. L. Pardiñas A. F. Lopez B. Karaiskou N. et al . (2011). High Level of Mislabeling in Spanish and Greek Hake Markets Suggests the Fraudulent Introduction of African Species. J. Agric. Food Chem.59, 475–480. doi: 10.1021/jf103754r
25
Giovos I. Aga Spyridopoulou R. N. Doumpas N. Glaus K. Kleitou P. Kazlari Z. et al . (2021). Approaching the “Real” State of Elasmobranch Fisheries and Trade: A Case Study From the Mediterranean. Ocean Coast. Manage.211, 105743. doi: 10.1016/j.ocecoaman.2021.105743
26
Gordoa A. Carreras G. Sanz N. Viñas J. (2017). Tuna Species Substitution in the Spanish Commercial Chain: A Knock-on Effect. PLoS One12, 1–15. doi: 10.1371/journal.pone.0170809
27
Hammer Ø. Harper D. A. T. Ryan P. D. (2001). PAST : Paleontological Statistics Software Package for Education and Data Analysis. Palaeontol. Electron.4, 1–9.
28
Helyar S. J. Lloyd H. D. De Bruyn M. Leake J. Bennett N. Carvalho G. R. (2014). Fish Product Mislabelling : Failings of Traceability in the Production Chain and Implications for Illegal, Unreported and Unregulated (IUU) Fishing. PLoS One9, e98691. doi: 10.1371/journal.pone.0098691
29
Idapes (2021) IDAPES. Sistema De Información Andaluz De Comercialización Y Producción Pesquera. Available at: https://www.juntadeandalucia.es/agriculturaypesca/idapes/ (Accessed 04 October 2021).
30
Iglésias S. P. Toulhoat L. Sellos D. Y. (2010). Taxonomic Confusion and Market Mislabelling of Threatened Skates: Important Consequences for Their Conservation Status. Aquat. Conserv. Mar. Freshw. Ecosyst.20, 319–333. doi: 10.1002/aqc.1083
31
Iwamoto T. (2015a). “Merluccius Polli,” in IUCN Red List Threat. Species 2015 E.T15522226A15603610. doi: 10.2305/IUCN.UK.2015-4.RLTS.T15522226A15603610.en
32
Iwamoto T. (2015b). “Merluccius Senegalensis,” in IUCN Red List Threat. Species 2015 E.T15522229A15603615. doi: 10.2305/IUCN.UK.2015-4.RLTS.T15522229A15603615.en
33
Kraan M. Uhlmann S. Steenbergen J. Van Helmond A. T. M. Van Hoof L. (2013). The Optimal Process of Self-Sampling in Fisheries: Lessons Learned in the Netherlandsa. J. Fish Biol.83, 963–973. doi: 10.1111/jfb.12192
34
Lloris D. Matallanas J. Oliver P. (2003). Merluzas Del Mundo (Familia Merlucciidae). Catálogo Comentado E Ilustrado De Las Merluzas Conocidas. FAO Catálogo De Especies Para Los Fines De La Pesca 2. (Rome: FAO).
35
Lloris D. Matallanas J. Oliver P. (2005). Hakes of the World (Family Merlucciidae). An Annotated and Illustrated Catalogue of Hake Species Known to Date. (Rome: FAO).
36
Lundy C. J. Rico C. Hewitt G. M. (2000). Temporal and Spatial Genetic Variation in Spawning Grounds of European Hake (Merluccius Merluccius) in the Bay of Biscay. Mol. Ecol.9, 2067–2079. doi: 10.1046/j.1365-294X.2000.01120.x
37
Luque G. M. Donlan C. J. (2019). The Characterization of Seafood Mislabeling: A Global Meta-Analysis. Biol. Conserv.236, 556–570. doi: 10.1016/j.biocon.2019.04.006
38
Machado-Schiaffino G. Martinez J. L. Garcia-Vazquez E. (2008). Detection of Mislabeling in Hake Seafood Employing mtSNPs-Based Methodology With Identification of Eleven Hake Species of the Genus Merluccius. J. Agric. Food Chem.56, 5091–5095. doi: 10.1021/jf800207t
39
Mangi S. C. Dolder P. J. Catchpole T. L. Rodmell D. de Rozarieux N. (2015). Approaches to Fully Documented Fisheries: Practical Issues and Stakeholder Perceptions. Fish Fish.16, 426–452. doi: 10.1111/faf.12065
40
Martos A. R. Peralta L. F. (1995). "Biology and Fisheries of North-West African Hakes (M. Merluccius M. Senegalensis and M. Polli)". In. Hake: Biology, Fisheries and Markets. Eds.AlheitJ.PitcherT. J. (London:Chapman & Hall), 89–124. doi: 10.1007/978-94-011-1300-7_4
41
Muñoz-Colmenero M. Blanco O. Arias V. Martinez J. L. Garcia-Vazquez E. (2016). DNA Authentication of Fish Products Reveals Mislabeling Associated With Seafood Processing. Fisheries41, 128–138. doi: 10.1080/03632415.2015.1132706
42
Muñoz-Colmenero M. Juanes F. Dopico E. Martinez J. L. Garcia-Vazquez E. (2017). Economy Matters: A Study of Mislabeling in Salmon Products From Two Regions, Alaska and Canada (Northwest of America) and Asturias (Northwest of Spain). Fish. Res.195, 180–185. doi: 10.1016/j.fishres.2017.07.012
43
Opromar (2017). Estudio De Mercado. Para El Potencial Éxito De La Comercialización En España De La Merluza Negra Capturada Por Los Armadores En Mauritania Y Marruecos. (Pontevedra, Spain).
44
Pardo M.Á. Jiménez E. Pérez-Villarreal B. (2016). Misdescription Incidents in Seafood Sector. Food Control.62, 277–283. doi: 10.1016/j.foodcont.2015.10.048
45
Pardo M.Á. Jiménez E. Viðarsson J. R. Ólafsson K. Ólafsdóttir G. Daníelsdóttir A. K. et al . (2018). DNA Barcoding Revealing Mislabeling of Seafood in European Mass Caterings. Food Control.92, 7–16. doi: 10.1016/j.foodcont.2018.04.044
46
Pitcher T. J. Alheit J. (1995). “What Makes a Hake? A Review of the Critical Biological Features That Sustain Global Hake Fisheries,” in Hake: Biology, Fisheries and Markets. Eds. AlheitJ.PitcherT. J. (London: Chapman & Hall), 1–14.
47
R Core Team (2019). R: A Language and Environment for Statistical Computing (Vienna, Austria:R Foundation for Statistical).
48
Rey J. Fernandez-Peralta L. Quintanilla L. F. Hidalgo M. Presas C. Salmeron F. et al . (2015). Contrasting Energy Allocation Strategies of Two Sympatric Merluccius Species in an Upwelling System. J. Fish Biol.86, 1078–1097. doi: 10.1111/jfb.12619
49
Roman S. Jacobson N. Cadrin S. X. (2011). Assessing the Reliability of Fisher Self-Sampling Programs. North Am. J. Fish. Manage.31, 165–175. doi: 10.1080/02755947.2011.562798
50
Shehata H. R. Bourque D. Steinke D. Chen S. Hanner R. (2019). Survey of Mislabelling Across Finfish Supply Chain Reveals Mislabelling Both Outside and Within Canada. Food Res. Int.121, 723–729. doi: 10.1016/j.foodres.2018.12.047
51
Wickham H. (2016). Ggplot2: Elegant Graphics for Data Analysis. (Springer-Verlag New York. ISBN 978-3-319-24277-4). Available at: https://ggplot2.tidyverse.org.
52
Wilhelm M. R. Kirchner C. H. Roux J.-P. Jarre A. (2015). “Biology and Fisheries of the Shallow-Water Hake (Merluccius Capensis) and the Deep- Water Hake (M. Paradoxus) in Namibia,” in Hakes: Biology and Exploitation. Ed. ArancibiaH. (Chichester, UK:John Wiley & Sons, Ltd), 70–100. doi: 10.1002/9781118568262.ch3
53
Worm B. (2016). Averting a Global Fisheries Disaster. Proc. Natl. Acad. Sci. U. S. A.113, 4895–4897. doi: 10.1073/pnas.1604008113
Summary
Keywords
black hake, control region, merluccius , mislabelling, mixed fisheries
Citation
Blanco-Fernandez C, Erzini K, Rodriguez-Diego S, Alba-Gonzalez P, Thiam N, Sow FN, Diallo M, Viðarsson JR, Fernández-Vidal D, Gonçalves JMS, Rangel M, Stobberup K, Garcia-Vazquez E and Machado-Schiaffino G (2022) Two Fish in a Pod. Mislabelling on Board Threatens Sustainability in Mixed Fisheries. Front. Mar. Sci. 9:841667. doi: 10.3389/fmars.2022.841667
Received
23 December 2021
Accepted
07 March 2022
Published
29 March 2022
Volume
9 - 2022
Edited by
Esteban Avigliano, Consejo Nacional de Investigaciones Científicas y Técnicas (CONICET), Argentina
Reviewed by
Juan Martin Diaz De Astarloa, Institute of Marine and Coastal Research (IIMyC), Argentina; Ana Laura Ibañez, Autonomous Metropolitan University, Mexico
Updates
Copyright
© 2022 Blanco-Fernandez, Erzini, Rodriguez-Diego, Alba-Gonzalez, Thiam, Sow, Diallo, Viðarsson, Fernández-Vidal, Gonçalves, Rangel, Stobberup, Garcia-Vazquez and Machado-Schiaffino.
This is an open-access article distributed under the terms of the Creative Commons Attribution License (CC BY). The use, distribution or reproduction in other forums is permitted, provided the original author(s) and the copyright owner(s) are credited and that the original publication in this journal is cited, in accordance with accepted academic practice. No use, distribution or reproduction is permitted which does not comply with these terms.
*Correspondence: Gonzalo Machado-Schiaffino, machadogonzalo@uniovi.es
†These authors have contributed equally to this work
This article was submitted to Marine Fisheries, Aquaculture and Living Resources, a section of the journal Frontiers in Marine Science
Disclaimer
All claims expressed in this article are solely those of the authors and do not necessarily represent those of their affiliated organizations, or those of the publisher, the editors and the reviewers. Any product that may be evaluated in this article or claim that may be made by its manufacturer is not guaranteed or endorsed by the publisher.