Abstract
The marine environment pollution is becoming an important factor that restricts the sustainable development of mariculture in China. This study takes 10 Chinese coastal provinces (cities) as the study area, based on the rationalization and upgrading dimensions of industrial structure, and innovatively constructs an analytical framework of marine environmental pollution and offshore aquaculture structure to identify the intrinsic relationship between them; and introduces a spatial econometric model to alleviate the estimation bias caused by the public goods attribute of marine environment and improve the reliability of research conclusions. The results show that: (1) The rationalization of the offshore aquaculture structure in China is relatively weak, showing a “concentrated and contiguous” distribution pattern towards the developed aquaculture areas; at the same time, but the differences between regions are expanding; (2) The rationalization and upgrading of the offshore aquaculture structure are affected by the pollution of the marine environment. The degree of upgrading shows different trends; (3) There is a significant spatial adjacency and threshold effect of the negative impact of marine environmental pollution on offshore farming structure. However, due to the limitations of data, the accuracy of our data and the effectiveness of the measurement of industrial structure indicators still need to be improved. Therefore, governmental departments should consider the development of the surrounding areas as well as the pollution emission in the region, and jointly promote the optimization and adjustment of China’s offshore aquaculture structure through the construction of a coordinated management mechanism of marine pollution prevention and treatment.
1 Introduction
Since the reform and opening, serious resource and environmental crisis has been brought with the rapid development of China’s industrial and agricultural economy, including greenhouse gas emission, water eutrophication, soil hardening and acidification, etc. (An et al., 2022; Xu et al., 2022). At the same time, as one of the important “contributors” of environmental pollution, fishery development is also facing numerous constraints and negative effects of environmental pollution. The deterioration of ecological environment will not only adversely affect the output of aquatic products, but also pose a non-negligible threat to the quality and output of aquatic products and even fishermen income (Kifani et al., 2019). As an important source of high-quality protein for human beings, the transformation of the production structure of offshore aquaculture is a fundamental part of building a strong marine state and realizing the Chinese nation’s strength towards the sea (Shang, 2019; Wei et al., 2022). Under the new economic normal, the contradiction between the total supply and effective supply of marine fishery culture has been exacerbated by the demand upgrading of market consumption and the tightening constraints on resources and environment. Following the sustainable development concept of resource-saving and environment-friendly is conducive to the formation of a fishery industrial form with harmonious economic, ecological, and social benefits; at the same time, this trend is increasingly emerging as an important element of the current supply-side structural reform of China’s fisheries (Li et al., 2019).
More importantly, the marine water body is the carrier of fishery production compared to field crops, and it is more sensitive to environmental pollution, especially changes in the environmental quality of the water body (Landrigan et al., 2020). In the field of natural science, studies at home and abroad have long confirmed that chemical air pollution has a non-negligible impact on crop production. The nitrogen oxides, ozone and deepening of haze will damage the photosynthesis and the ability to resist diseases of crops (Field and Barros, 2012; Rai, 2016; Powell and Reinhard, 2016). In the field of economics, scholars have also confirmed the negative impact of ozone pollution on grain production through the economic framework and econometric models, and it is estimated that the global loss caused by ozone pollution is as high as 18 billion dollars every year, while the economic loss of grain production of China alone is as high as 6.45 billion dollars (Yi et al., 2016; Carter et al., 2017; Yi et al., 2020);. The research on the impact of environmental pollution on industrial structure and production mode mainly focuses on industrial industries, that is, the difference of environmental regulation standards will lead to the relocation of high-polluting industries, and then promote the passive upgrading of industrial structure in this region; at the same time, environmental regulation will greatly enhance the “compliance cost” of enterprises, thus forcing enterprises to change production mode or improve production efficiency (Song and Wang, 2017; Wu et al., 2021). Although economics, ecology and other related disciplines have carried out a detailed and in-depth analysis on the impact of environmental pollution and economic activities, especially on agricultural production (Laekemariam et al., 2017; Saddique et al., 2020), there is still an expandable research space to a certain extent (Li et al., 2022a; Yuan et al., 2022). On the one hand, most of the existing studies focus on the micro level, that is, the impact on grain yield per unit area and fishermen income, and there is little research and analysis on the adjustment of fishery production structure from the macro level (Liu et al., 2022). On the other hand, studies in the field of economics usually ignore the public product attributes of pollution carriers such as air and water, and pollutants have strong spatial correlation and spatial adjacency, showing a more complex kind of spatial structure characteristics (Chen and Ding, 2021). Therefore, if we only examine the impact of environmental pollution on offshore aquaculture production structure from a single region, it will cover up the spatial adjacency effect of environmental pollution, which will lead to the bias of traditional econometric estimation results.
Therefore, this paper takes offshore aquaculture as a case study to analyze and assess the impact of environmental pollution on its production structure adjustment, and to better understand the evolution and adjustment of the production structure of China’s offshore aquaculture industry. In addition, the marginal contributions of this paper are from the two dimensions of rationalization and upgrading of production structure, by discriminating the internal relationship between environmental pollution and marine production structure, it further enriches the existing research perspective of the impact of environmental pollution on aquaculture production. At the same time, through the spatial econometric model, we correct the estimation errors caused by the attributes of environmental public goods, further improving the universality and representativeness of the research conclusions.
2 Theoretical framework and methodology
2.1 Theoretical effects of environmental pollution on the production structure of marine fishery culture
The marine culture should take both the ecosystem recovery ability and environmental carrying capacity into the consideration, which underscores the need for more reasonable input structure of factors and advanced production modes (Li and Liu, 2022; Li et al., 2022b). The degree of rationalization of industrial structure is mainly expressed as the degree of coordination between industries and the degree of effective use of resources, which further reflects the degree of industrial convergence. The rationalization of the production structure of offshore aquaculture industry aims to reflect the effective and reasonable degree of resource utilization. The degree of upgrading of industrial structure is mainly expressed as the process of sequential evolution from the lower to the higher state of industry (Wang et al., 2022; Xin-gang and Jin, 2022). In cases where the extensive development of marine fishery culture has coincided with the deterioration of marine ecosystems, the upgrading of the production structure is heavily weighted in ascent of marine fishery culture production from its original state to optimal mode, thus contributing to balance the relation between output growth and protection of marine ecosystems.
As economically rational human beings, producers will adjust the allocation of production factors according to the current environmental state and technological conditions to maximize profits (Tyl and Gomez, 2022). To clarify the mechanism of the influence of marine pollution on the rationalization and advanced production structure of offshore aquaculture, the following analytical logic diagram is constructed in this paper. In Figures 1A, B, the internal correlation of the output quantity, Q, amount of materials input, K, and environmental pollution degree, w, with fishery output losses, D, is presented, respectively. First, in terms of production structure rationalization, when the pollution level of the external environment is at a normal level W1 (Figure 1B), the optimal factor input under the condition of profit maximization of fisherman is K1 and the optimal output level is Q. When the pollution level of the external environment further increases, i.e., the pollution level rises from W1 to W2, its negative impact on the total output is further enhanced and the marginal output curve of factors decreases from MP1 to MP2 (Figure 1A). At this point, based on the profit maximization objective, fishermen will inevitably reduce the amount of factor inputs, which will lead to the deviation of factor inputs from the optimal state. At the same time, in the face of the production instability and uncertainty caused by environmental pollution, risk-averse fishermen tend to take appropriate measures to reduce the potential production risks and losses that may be caused by changes in water quality and environment (Kroetz et al., 2022). In real life, fishermen can reduce potential production risks by increasing fishery medicine inputs, increasing culture density, and many other adaptation measures to increase the intensity of production inputs. This precautionary increase in non-desired inputs will inevitably cause a decrease in green production efficiency and thus reduce the rationality of the industrial structure.
Figure 1

Differences in marginal damage from pollution and impacts. (A) Total Production vs. Marginal Production Curve. (B) The graph of the relationship between the degree of pollution and the level of loss. (C) The graph of individual heterogeneity analysis in the same pollution level.
In term of upgrading of the production structure, the costs of environmental pollution are unlikely to be evenly distributed across individuals. It is worth noting that heterogeneity in effects may stem from differences in the degree of pollution and individual adaptability, holding other factors constant (Yuan et al., 2021). Specifically, if effects are nonlinear with respect to degree of pollution, then two individuals facing various degree of pollution will experience different marginal damages, even if they are identical in terms of all other factors that determine vulnerability; In cases where the terrigenous waste is still the main source of marine pollution, compared with modern marine cultured modes concealing itself at a safe distance from the coast, the fishery cultures (e.g., oyster beds), on the mudflats, suffer from more serious pollution. Therefore, Differences in marginal damages may also arise because environmental conditions and geographical location differ across populations (Morente-López et al., 2022). Alternatively—or in addition, even if two individuals are identical in terms of degree of pollution, heterogeneity also may stem from differences in individual adaptability that controls how pollution translates into damages, such as defensive investments (e.g., building a canal.) or avoidance behavior (e.g., adjusting structure of factor input). In other words, in term of marine ranches, a set of technology portfolios including heat-resistant livestock breeds, improvement of the feed structure and sources and wastewater purification, could be used to purify the water environment (Howard et al., 2017). In this situation, the differences in degree of pollution and individual adaptability led to heterogeneous marginal damages. As shown in Figure 1C, the marginal hazard curve of fisherman m with a stronger resistance and adaptability towards pollution is obviously lower than that of the fisherman n. Now, even if in cases where a lower level of external environmental pollution (WL), due to heterogeneous marginal damages (Apata, 2011; Burke et al., 2015; Solomon and Paulina, 2019), the higher comparative income of modern marine fishery culture is apparent and thus will lead to the upgrading of production structure.
2.2 Methodology
As a typical public belonging, the external environment, such as waters, has obvious neighborhood effects on agricultural production (Bocher, 2012; Di and Veronesi, 2014; Huang and Wang, 2015). On the one hand, the worsening of environmental pollution in some places has not only directly affected the pollution site, but also caused negative neighborhood effects. On the other hand, the quality of the regional water environment is non-exclusive and free of charge. To improve the water environment quality through control of the sewage discharge is not a behavior that “every miller draws water to his own mill” but is a public property that is free of charge and non-exclusive. This means that the improved water environment quality can benefit surrounding regions as well. Hence, to recognize neighbor effects of environmental pollution on the production structure of the marine fishery culture, this paper further constructs the following spatial weight matrix model since measuring the internal space relevance of the marine fishery culture structural adjustment in different regions.
Where TISit denotes the production structure of marine fishery culture in province i in year t and is the explanatory variable of this paper. Wij is the matrix of spatial weight coefficients; Xit is the vector of independent variables of interest. ρ , ϕ , β denotes the regression coefficient; μi denotes the spatial effect; αt denotes the time effect; and ϵit is the random error term. λ denotes the spatial error regression coefficient. When ϕ=0 , then Eq. (2) is the Spatial Lag Model (SLM); when ϕ=−ρβ , then Eq. (3) is the Spatial Error Model (SEM); When ρ≠0 , ϕ≠0 and λ=0 , then equation (4) is the Spatial Durbin Model (SDM), and the specific models are equations (2)-(4), respectively.
Following that, relevance test is conducted to identify the model that is the most consistent with the data structure of this paper1. Concerning the spatial weight matrix, this paper denotes it by the highly recognized binary near-space matrix. Generally, this paper focuses on examining two prominent endogenous issues that might affect the marine fishery culture structural adjustment. On the one hand, the factor input that is caused by the production scale variation will directly exert an impact on the marine environment. On the other hand, the marine fishery culture structure is also an important factor that affects environmental pollution (Salmi et al., 2012). Thereby, this paper resorts to the robustness test to improve the accuracy of research findings.
2.3 Measurement of the nearshore aquaculture production structure
As an industry that relies on marine resources and environment for input and output, the marine fishery culture is characterized strikingly by resource competition and environmental impact. In other words, development of the marine fishery culture is largely restricted by the fishery resource environmental capacity of the specific fishery. Considering a limited bearing capacity of the sea area, how to effectively control the cultivation output has been a linchpin to realization of rational production layout. So, this paper refers to existing marine bearing capacity assessment indexes and industrial structure rationality measurement methods and adopts the Theil index to reflect the rationality degree of the breeding industry’s production structure (Zhang et al., 2018; Zhang et al., 2020). Below is the computing formula:
where i denotes the region of province i, t denotes time, and Yt,i、Lt,i denote the output value of marine fishery culture and the marine resource endowment condition of the region, respectively. Therefore, Y/L then denotes the output efficiency per unit resource endowment. Based on classical economic theory, when the economy is in equilibrium, all factors of production can be fully utilized, i.e., the output efficiency of factors is the same, so we have Yi/Li=Y/L, while Ti is zero. Conversely, if the output efficiency deviates from the equilibrium state, it indicates the irrational production structure of the region.
In this paper, we use vectorial pinch angles to measure the upgrading of production structure (He and Wang, 2012). First, according to the source of farming can be divided into four categories: pond, common net, deep-water net and factory2, and the proportion of each category corresponding to the farming production is classified as a spatial vector, which in turn constitutes a 4-dimensional production structure spatial vector X0=(x0,1, x0,2, x0,3, x0,4). Further construct the basic unit vectors X0=(1,0,0,0),X0=(0,1,0,0), X0=(0,0,1,0), X0=(0,0,0,1), X0=(0,0,0,1) and calculate the angle θj between the space vector X0 and it. Further based on the weights wj of the angle θj , the index of upgrading of production structure is obtained as follows.
where the weight wjis determined by the calculation of the coefficient of variation, and vj is the coefficient of variation of the angle of entrainment θj . Based on the monotonically decreasing nature of the inverse cosine function, it is known that when the index UI is larger than the angle θj , it means that in the process of restructuring the production of marine fishery culture, the proportion of low-level aquaculture modes such as ponds and common nets decreases relatively fast. And the proportion of deep-water nets, factory, and other high-level farming mode is relatively faster, which means that the higher the upgrading of production structure.
2.4 Core explanatory variables and control variables
Existing research concerning the core explaining variable, extent of environmental pollution, is mainly concentrated on the environment of the land area (Xue et al., 2021), and their measurement methods adopted can be generally boiled down into four kinds, namely the single index approach, comprehensive index approach, assignment scoring approach, and classified observation. Since the marine environmental pollution has complex sources and the impact of environmental pollution is lagged and cumulative, this paper combines the existing research findings to choose the single index approach. According to the percentage of the type-1 and type-2 nearshore seawater, the extent of environmental pollution of different regions is measured to reflect their respective water environment quality more directly.
Additionally, considering the status and relevant literatures of the nearshore aquaculture industry, this paper sets the following control variables. ①Market demand (Mark), which is measured by the per capita regional consumption of aquatic products. Consumers are at the demand terminal of the aquatic product market (Miao et al., 2021). Driven by the consumption layer upgrade and personalization with the improvement of consumers’ income level, the aquatic product demand scale has been constantly expanding and diversifying structurally. So, under the objective restriction that the marine fishing scale expansion is limited, and the output can hardly meet the demand growth effectively, the demand for high-quality aquatic products has been an essential driving force that prompts the marine fishery culture to adjust its production structure (Merino et al., 2012). ②External risk, which is measured by the typhon-struck area (Rds) and the disease-struck area (Dds), there is no doubt that factors such as marine hazards (typhoons and storms) will have a negative impact on nearshore farming structures (Gao et al., 2020); ③Comparative earning level (Earn), which is denoted by the ratio of the unit value of products obtained through marine fishing to the unit value of products provided by marine fishery culture, which can portray the demand for the wild aquatic products and cultivated aquatic products (Davidson et al., 2012); ④Production technology, which is measured by two dimensions (Ren, 2021a), namely the number of marine technical personnel (Srp) and the number of marine technological research projects (Orp). The structural adjustment and upgrade of the marine fishery culture calls for the effective support of supporting techniques (He et al., 2022). Advances of production technologies can be penetrated into labor, capital and other elements to be an important factor that promotes the production structural adjustment of the marine fishery culture; ⑤Development of relevant industries (Mach), which is indicated by the marine aquatic product processing capacity (Wang et al., 2021).
2.5 Data sources
This paper focuses on the production structure of offshore aquaculture. Considering the feasibility, significance and representativeness criteria of the analyzed data, the panel data of 10 coastal provinces (municipalities directly under the central government) in China are thus selected for the study. The main provinces include Tianjin, Hebei, Liaoning, Shandong, Jiangsu, Zhejiang, Fujian, Guangdong, Guangxi, and Hainan. The data were mainly obtained from the “China Rural Statistical Yearbook”, “China Marine Statistical Yearbook”, “China Ocean Yearbook”, and “China Marine Environmental Quality Bulletin”. The sample data were selected for the time span of 2003-2019, in which the relevant missing data were replaced by the mean values of the previous and later periods of the sample data in this paper. The results of descriptive statistics about the indicators can be found in Table 1.
Table 1
| Variables | Symbols | Mean. | S. D. | Min. | Max. |
|---|---|---|---|---|---|
| Rationalization of production structure | Ui | 0.067 | 0.035 | 0.016 | 0.165 |
| Upgrading of production structure | Ti | 0.071 | 0.094 | 0.000 | 0.425 |
| Extent of environmental pollution | Poll | 0.653 | 0.292 | 0.000 | 1.000 |
| Market demand | Mark | 10.686 | 5.773 | 2.212 | 22.362 |
| Typhon-struck area | Rds | 30913.860 | 50853.950 | 0.000 | 360,999 |
| Disease-struck area | Dds | 16586.181 | 17826.311 | 0.000 | 95,727 |
| Number of marine technical personnel | Srp | 1224.907 | 953.382 | 28.000 | 4,820 |
| Number of marine technological research projects | Orp | 595.107 | 649.837 | 10.012 | 3,047 |
| Comparative earning level | Earn | 0.876 | 0.319 | 0.162 | 1.788 |
| Development of relevant industries | Mach | 0.364 | 0.212 | 0.007 | 0.932 |
Descriptive statistics results.
3 Adjustment and change of the production structure of marine fishery culture in China
3.1 Evolution of rationalization of production structure of marine fishery culture in China
Although the rationality of marine fishery culture production structure in China’s most provinces and cities showed an upward trend, the overall level was still relatively weak (Table 2). From the time sequence change trend, the rationality of marine fishery culture production structure in Hebei, Jiangsu and Shandong provinces shows an upward trend, while that in Tianjin, Liaoning, Zhejiang, Fujian, Guangdong, and Guangxi provinces shows a downward trend, while Hainan Province shows no obvious change. From a relative level, the rationality of marine fishery culture production structure in Liaoning, Tianjin, Hebei, and Guangxi is relatively poor, followed by Zhejiang and Guangdong, while the rationality of Shandong, Jiangsu and Fujian is relatively high. In economically developed and densely populated areas, the environment of coastal waters is polluted owing to the direct discharge of plenty of industrial, domestic, and municipal sewage into the sea, thus greatly increasing the potential difficulty of fishery production. In addition, the sea area where Liaoning, Tianjin, Guangxi, and other provinces are located is relatively semi enclosed inland sea, whose water exchange capacity is weak, thus further aggravating the pressure of external environmental pollution on fishery production.
Table 2
| 2003 | 2005 | 2007 | 2009 | 2011 | 2013 | 2015 | 2017 | 2019 | Change trend | |
|---|---|---|---|---|---|---|---|---|---|---|
| Tianjin | 0.002 | 0.000 | 0.001 | 0.001 | 0.001 | 0.001 | 0.001 | 0.001 | 0.001 |
|
| Hebei | 0.000 | 0.004 | 0.009 | 0.010 | 0.017 | 0.017 | 0.018 | 0.015 | 0.013 |
|
| Liaoning | 0.016 | 0.041 | 0.063 | 0.084 | 0.073 | 0.064 | 0.036 | 0.026 | 0.004 |
|
| Jiangsu | 0.045 | 0.056 | 0.080 | 0.074 | 0.041 | 0.096 | 0.077 | 0.093 | 0.087 |
|
| Zhejiang | 0.058 | 0.056 | 0.051 | 0.046 | 0.047 | 0.042 | 0.041 | 0.039 | 0.046 |
|
| Fujian | 0.244 | 0.142 | 0.148 | 0.110 | 0.114 | 0.110 | 0.118 | 0.172 | 0.164 |
|
| Shandong | 0.209 | 0.253 | 0.299 | 0.352 | 0.330 | 0.404 | 0.425 | 0.312 | 0.352 |
|
| Guangdong | 0.058 | 0.051 | 0.058 | 0.057 | 0.054 | 0.057 | 0.056 | 0.053 | 0.050 |
|
| Guangxi | 0.015 | 0.015 | 0.011 | 0.009 | 0.008 | 0.013 | 0.010 | 0.080 | 0.007 |
|
| Hainan | 0.017 | 0.017 | 0.017 | 0.017 | 0.017 | 0.013 | 0.016 | 0.016 | 0.017 |
|
Rationalization index of production structure of China’s marine fishery culture.
3.2 Evolution of upgrading of production structure of marine fishery culture in China
The upgrading degree of marine fishery culture production structure in China’s coastal areas showed an upward trend overall, but the regional differences showed an expanding trend (Table 3). From the time sequence change trend, in 2003, the overall upgrading degree of fishery production in coastal areas was relatively low, and the differences among regions were relatively small. The highest upgrading degree of fishery production was Tianjin, and the lowest was Liaoning and Guangxi. Later, with the establishment of China’s strategic goal of building a blue granary and a marine power, all regions continue to strengthen the guidance of relevant policy, and the construction of new offshore equipment such as marine ranch entered an acceleration period (Ren, 2021b). With its own policies, resources and late development advantages, the upgrading index of marine fishery culture production structure in Hainan, Liaoning and Shandong provinces has been growing rapidly for a long time, with an average annual increase rate of more than 40%. After 2014, Hainan Province has become the region with the highest upgrading degree of production structure of marine fishery culture in China. However, it can’t be ignored that the differences among regions are expanding with the acceleration of the upgrading process of marine fishery culture. In 2003, the difference between the region with the highest upgrading degree and the region with the lowest upgrading degree was only 0.021, while in 2019, the gap widened to 0.081.
Table 3
| 2003 | 2005 | 2007 | 2009 | 2011 | 2013 | 2015 | 2017 | 2019 | Change trend | |
|---|---|---|---|---|---|---|---|---|---|---|
| Tianjin | 0.037 | 0.048 | 0.036 | 0.070 | 0.122 | 0.143 | 0.103 | 0.102 | 0.109 |
|
| Hebei | 0.019 | 0.021 | 0.022 | 0.103 | 0.102 | 0.103 | 0.103 | 0.104 | 0.103 |
|
| Liaoning | 0.016 | 0.017 | 0.018 | 0.091 | 0.090 | 0.093 | 0.098 | 0.096 | 0.097 |
|
| Jiangsu | 0.016 | 0.017 | 0.017 | 0.081 | 0.084 | 0.083 | 0.087 | 0.084 | 0.087 |
|
| Zhejiang | 0.022 | 0.023 | 0.021 | 0.083 | 0.077 | 0.078 | 0.085 | 0.084 | 0.085 |
|
| Fujian | 0.019 | 0.020 | 0.021 | 0.067 | 0.077 | 0.080 | 0.078 | 0.079 | 0.080 |
|
| Shandong | 0.018 | 0.022 | 0.063 | 0.106 | 0.104 | 0.107 | 0.106 | 0.105 | 0.107 |
|
| Guangdong | 0.021 | 0.021 | 0.022 | 0.066 | 0.063 | 0.068 | 0.069 | 0.068 | 0.070 |
|
| Guangxi | 0.016 | 0.017 | 0.026 | 0.049 | 0.070 | 0.073 | 0.072 | 0.073 | 0.074 |
|
| Hainan | 0.023 | 0.033 | 0.095 | 0.071 | 0.076 | 0.076 | 0.163 | 0.158 | 0.151 |
|
Upgrading index of production structure of China’s marine fishery culture.
4 An empirical examination of the structural adjustment evolution of production in China’s marine fishery culture
The empirical test in this paper employs a two-step approach: firstly, a spatial test of the rationalization and upgrading degree of the production structure of marine fishery culture based on the classical region-wide Moran’s I index method is conducted to determine whether there is spatial correlation among the regions. Given that the calculation method of this model is relatively mature, we will not repeat it in this paper; secondly, a suitable spatial econometric model is selected to identify the spatial effect of environmental pollution on the restructuring of marine fishery culture production and its degree of influence.
4.1 Spatial autocorrelation tests
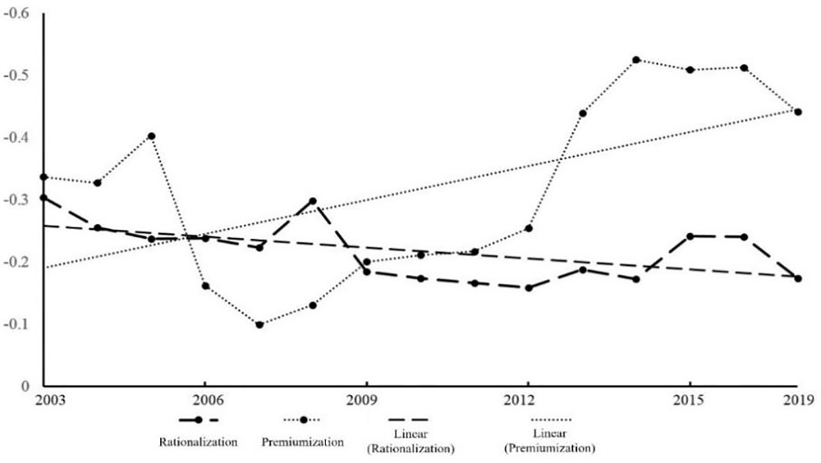
The spatial autocorrelation of the rationalization and upgrading degree of marine fishery culture restructuring was examined in the whole spatial area based on Moran’s I index. Given that the spatial autocorrelation of data is an essential precondition for the use of spatial weight matrix model, the spatial autocorrelation of the rationalization and upgrading degree was examined in the whole spatial area based on Moran’s index (Furková, 2021). The test results show that the Moran’s index does not equal zero for both the rationalization and upgrading degrees, i.e., there is a significant negative spatial autocorrelation of marine fishery culture structures in contiguous regions, which means that the application of spatial weight matrix model is necessary and feasible.
As shown in Figure 2, Specifically, from the time-series dimension, the Moran’s index of the degree shows an overall fluctuation. On the rationalization side, the absolute value of Moran’s index has been on a downward trajectory since 2003 and fell significantly from 2003 to 2012, which means that the differences in rationalization degree among contiguous regions is relatively stable with time. In contrast, on the premiumization side, the Moran’s index state clearly that the negative spatial autocorrelation is statistically significant. More important, the absolute value of index of the upgrading structure presents the trend of first decline then up, which means that the differences in upgrading degree among contiguous regions is enlarging progressively with time.
Figure 2

A correlation test of production restructuring in China’s marine fishery culture.
4.2 Empirical test results and interpretation of the econometric model
Firstly, the spatial model was estimated using the method of great likelihood (QMLE), and the Wald test and LM test were used to determine the suitability of the spatial error model (SEM), spatial lag model (SLM), and spatial Durbin model (SDM). The result of Table 4 shows that the rationalization and upgrading of the marine fishery culture structure significantly reject the original hypothesis at the 1% confidence level, so it is more appropriate to choose the spatial Durbin model (SDM) to analyze the impact of environmental pollution on the restructuring of the marine fishery culture. Secondly, the Hausman test shows that there is a significant difference between the fixed-effect model and the random-effect model, and the estimation results of the fixed-effect model are more reliable. In summary, this paper starts the subsequent analysis based on the estimation results of the spatial Durbin model (Table 5).
Table 4
| Condition | Rationalization | Upgrading | ||||
|---|---|---|---|---|---|---|
| Ch2 | P-value | Conclusion | Ch2 | P-value | Conclusion | |
| Wald Test( ϕ=0 ) | 36.36 | 0.0000 | Rej. SLM | 30.17 | 0.0000 | Rej. SLM |
| LM Test( ϕ=−ρβ ) | 23.23 | 0.0012 | Rej. SEM | 32.22 | 0.0003 | Rej. SEM |
Model test results and conclusions.
Table 5
| Variable | Rationalization | Upgrading | ||||
|---|---|---|---|---|---|---|
| Model 1 | Model 2 | Model 3 | Model 4 | Model 5 | Model 6 | |
| lnEr | -0.0028 | 0.0005 | 0.0002 | -0.0011 | 0.0048* | 0.0050** |
| (0.0049) | (0.0048) | (0.0048) | (0.0033) | (0.0025) | (0.0025) | |
| lnRds | 0.0020*** | 0.0011 | 0.0010 | 0.0009* | -0.0007* | -0.0007* |
| (0.0007) | (0.0007) | (0.0007) | (0.0005) | (0.0004) | (0.0004) | |
| lnDds | 0.0007 | 0.0012 | 0.0010 | 0.0026*** | -0.0004 | -0.0004 |
| (0.0013) | (0.0013) | (0.0013) | (0.0009) | (0.0007) | (0.0007) | |
| lnMark | 0.0307*** | -0.0047*** | -0.0048*** | 0.0478*** | 0.0027*** | 0.0025*** |
| (0.0100) | (0.0012) | (0.0013) | (0.0066) | (0.0006) | (0.0007) | |
| lnOrp | 0.0059 | 0.0001*** | 0.0001*** | 0.0089*** | -0.0002 | -0.0003 |
| (0.0040) | (0.0000) | (0.0000) | (0.0027) | (0.0003) | (0.0003) | |
| lnSrp | -0.0083* | -0.0004 | -0.0003* | 0.0278*** | 0.0004*** | 0.0005** |
| (0.0044) | (0.0004) | (0.0002) | (0.0029) | (0.0004) | (0.0006) | |
| lnMach | -0.0016 | -0.0109 | -0.0127 | -0.0100*** | 0.0207*** | 0.0224*** |
| (0.0032) | (0.0142) | (0.0141) | (0.0021) | (0.0074) | (0.0074) | |
| lnEarn | -0.0165*** | -0.0162** | -0.0168** | 0.0059 | 0.0002 | 0.0005** |
| (0.0057) | (0.0077) | (0.0076) | (0.0038) | (0.0003) | (0.0002) | |
| R2 | 0.5693 | 0.5632 | 0.5933 | 0.6284 | 0.6231 | 0.6783 |
| Space-time effect | Uncontrol | Uncontrol | Uncontrol | Uncontrol | Uncontrol | Control |
| Spatial effect | Uncontrol | Control | Control | Uncontrol | Control | Control |
| Hausman | -4.75*** | -3.85*** | ||||
Spatial Durbin Model (SDM) estimation results.
***, **, * indicate significant at the statistical level of 1%, 5%, and 10%, respectively.
In terms of the rationalization of the production structure, the estimated coefficient of the degree of environmental pollution is negative and does not pass the significance test, which indicates that although the degree of pollution in each region has a negative impact on the rationalization of the production structure of marine fishery culture, the effect is not significant. In general, the level of market demand and comparative returns has a significant inhibition effect on the rationalization of the production structure of marine fishery culture. As an important source of high-quality protein for human beings, the rapid growth in demand for aquatic products has pushed up the level of farming density, and input of production materials such as bait, leading to excessive input of production factors; at the same time, the difference in safety attributes and nutrition between wild aquatic products and farmed aquatic products has led to a higher willingness to pay for wild aquatic products among some consumers, which in turn has induced producers to pay more for wild aquatic products in the context of depleting marine fishery resources, producers still invest a lot of resources to catch wild fishery products (Ottinger et al., 2016; Su et al., 2020).
In terms of the upgrading of production structure, the estimated coefficient of environmental pollution level is significantly positive at 5% confidence level, indicating that the improvement of environmental pollution level in each region contributes to the upgrading of production structure of marine fishery culture. At the same time, market demand and the level of comparative returns show a significant positive effect on the upgrading production structure. Compared with ponds and other near-shore aquaculture, modern aquaculture models such as deep-water nets and marine pastures can fully consider the quality of aquatic products and ecological protection of the environment, then meeting consumer demand for the safety attributes and nutritional value of aquatic products (Du and Li, 2022; Li et al., 2022b). It is noteworthy that the estimated coefficient of natural disasters such as typhoons is significantly negative. In the process of modern marine fisheries construction, the occurrence of disasters such as typhoons will greatly increase the business risk of producers and thus present a significant disincentive to potential entrants to modern marine fisheries such as marine ranches, as the construction concept is clearly ahead of the existing technology and the technical system of disaster warning and prevention is still to be further developed. The number of marine scientific research topics has a significant role in promoting the upgrading process of fisheries, while the continuous deepening of relevant basic research can effectively resolve and resist the impact of external risks on fisheries production.
This study provides further decomposition based on the spatial effects of the restructuring of marine fishery culture in each region to understand the impact of changes in different variables on the influence of each component in the system. In terms of the spatial effects, the estimation results are basically consistent with the theoretical analysis above, and the intensity of the impact of each factor is significantly higher. In terms of the estimated results for the rationalization of production structure: although the improvement of the environment does not significantly increase the rationalization of the production structure of farming in the region, it has a significant spatial adjacency effect. The spatial adjacency effect of environmental pollution has become an important constraint for regional environmental governance due to the property of public goods of environmental quality and the existence of free-rider behavior (Tamura, 2006; Stirling, 2007). Under the influence of the spatial adjacency effect of marine pollution, it is difficult for the participating regions to achieve the expected treatment effect even after paying the treatment cost and economic loss cost, which eventually leads to the lack of willingness and motivation for most regions to take the lead in treatment. Nevertheless, along with the increasing public demand for a better environment, especially the central government’s increasing efforts in environmental management and supervision, once a region intensifies its environmental management efforts, it will trigger the surrounding regions to compete for action, which will change from vicious bottom-to-bottom competition to benign top-to-top competition (Tang et al., 2016). At the same time, the impact of storm surge hazard situation and relative price on the production structure of farming industry also shows a significant spatial adjacency effect. As shown in Table 6.
Table 6
| Variable | Rationalization | Upgrading | ||||
|---|---|---|---|---|---|---|
| Space lag-term | Direct effect | Adjacency effect | Space lag-term | Direct effect | Adjacency effect | |
| lnEr | 0.0051 | 0.0000 | 0.0126** | 0.0063*** | 0.0028*** | 0.0172*** |
| lnRds | -0.0008* | 0.0010 | -0.0017* | -0.0000 | -0.0008** | -0.0004*** |
| lnDds | 0.0001 | 0.0011 | 0.0003 | 0.0016*** | 0.0003 | 0.0050*** |
| lnMark | -0.0004 | -0.005*** | -0.0010 | 0.0011*** | 0.0022*** | 0.0022* |
| lnOrp | 0.0001*** | 0.0001*** | 0.0001*** | 0.0001** | -0.0000 | 0.0001* |
| lnSrp | 0.0000 | -0.0000 | 0.0002 | 0.0002*** | 0.0002*** | 0.0002*** |
| lnMach | -0.0095 | -0.0131 | -0.0246 | 0.0254*** | 0.0347*** | 0.0924*** |
| lnEarn | 0.0175*** | -0.0167** | -0.0400*** | 0.0084*** | 0.0039 | 0.0270*** |
Spatial Durbin model direct effect and adjacency effect decomposition.
***, **, * indicate significant at the statistical level of 1%, 5%, and 10%, respectively.
From the estimated results of the upgrading of aquaculture production structure, the absolute value of the estimated coefficient of the direct effect of the degree of environmental pollution is significantly lower than that of the estimated coefficient of the indirect effect, indicating that its promotion effect on the upgrading of aquaculture production structure in the neighboring regions is significantly higher than that of the local, i.e., there is a significant spatial neighboring effect. On the one hand, the upgrading production structure of marine fishery culture caused by the improvement of the local environmental pollution level can promote the upgrading and improvement of the production structure of neighboring regions in the form of local healthy competition; on the other hand, the basic way of marine pollution control is the concerted action among regions, so the improvement of the local marine pollution control level can reduce the local uncertainty about the results of pollution control, and also promote the neighboring regions to increase the degree of pollution control (Hilsdorf et al., 2022). The degree of pollution control in the neighboring regions will be increased. The storm surge disaster, pests and diseases, market demand, marine scientific research input, processing capacity, and relative price all show significant spatial neighboring effects, and the promotion of upgrading production structure of marine fishery culture in neighboring provinces is greater than local.
4.3 Robustness test
Along with the rapid growth of China’s mariculture production and area, a large amount of exogenous bait, fertilizer, fisheries medicine, and excretion waste has led to an increase in the eutrophication of seawater, and marine fishery culture has increasingly become one of the important sources of current offshore pollution (Alves et al., 2021). Therefore, a reciprocal causal relationship between marine pollution and fishery products may be presented, which in turn raises the issue of endogeneity of the core explanatory variables. To further test the reliability of the estimation results, this paper adopts the amount of direct discharge of industrial effluent into the sea in marine fishery areas as the core explanatory variable to measure the status of environmental pollution in each province.
According to the results of Table 7, in terms of the validity of the model estimation, the model estimation has significantly improved the goodness-of-fit after the introduction of direct industrial wastewater discharge into the sea as the instrumental variable, regardless of whether the production structure is rationalized or optimized. Similarly, the Hausman test results also indicate that there is a significant difference between the fixed effects model and the random-effects model, and the estimation results of the fixed effects model are more reliable. Further from the results of the empirical study, the significance of the effect of changes in the degree of environmental pollution on the restructuring of marine fishery culture is significantly higher. Among them, the environmental pollution degree pollution presents a significant inhibitory effect on the rationalization of the production structure of marine fishery culture, while the significance of the estimation of the upgrading production structure is also significantly increased and is basically consistent with the above findings, which means that the test results are robust.
Table 7
| Variable | Rationalization | Upgrading | ||||
|---|---|---|---|---|---|---|
| Model 7 | Model 8 | Model 9 | Model 10 | Model 11 | Model 12 | |
| lnEr | -0.0035** | -0.0058*** | -0.0059*** | -0.0049*** | -0.0037*** | -0.0039*** |
| (0.0016) | (0.0015) | (0.0015) | (0.0012) | (0.0008) | (0.0008) | |
| lnRds | 0.0019*** | 0.0015** | 0.0015** | 0.0002 | -0.0008** | -0.0008** |
| (0.0007) | (0.0007) | (0.0007) | (0.0006) | (0.0004) | (0.0004) | |
| lnDds | 0.0009 | -0.0005 | -0.0006 | -0.0027*** | -0.0003 | -0.0003 |
| (0.0013) | (0.0012) | (0.0012) | (0.0010) | (0.0007) | (0.0007) | |
| lnMark | 0.0198** | -0.0045*** | -0.0045*** | 0.0203*** | 0.0022*** | 0.0018** |
| (0.0097) | (0.0013) | (0.0014) | (0.0037) | (0.0006) | (0.0007) | |
| lnOrp | 0.0077** | 0.0000*** | 0.0000*** | -0.0145*** | -0.0000* | -0.0000 |
| (0.0039) | (0.0000) | (0.0000) | (0.0028) | (0.0000) | (0.0000) | |
| lnSrp | -0.0072* | -0.0000* | -0.0000** | 0.0327*** | 0.0000*** | 0.0000*** |
| (0.0043) | (0.0000) | (0.0000) | (0.0031) | (0.0000) | (0.0000) | |
| lnMach | 0.0029 | 0.0098 | 0.0086 | 0.0005 | 0.0292*** | 0.0311*** |
| (0.0036) | (0.0139) | (0.0138) | (0.0024) | (0.0075) | (0.0075) | |
| lnEarn | -0.0124** | -0.0124* | -0.0128* | 0.0082* | 0.0010 | 0.0018 |
| (0.0058) | (0.0073) | (0.0073) | (0.0042) | (0.0038) | (0.0039) | |
| R2 | 0.4417 | 0.5632 | 0.4299 | 0.6619 | 0.7263 | 0.639 |
| Log-L | 269.36 | 342.33 | 335.89 | 302.32 | 420.03 | 441.95 |
| Space-time effect | Uncontrol | Uncontrol | Control | Uncontrol | Uncontrol | Control |
| Spatial effect | Uncontrol | Control | Control | Uncontrol | Control | Control |
| Hausman | -4.75*** | -3.85*** | ||||
Robustness test results.
***, **, * indicate significant at the statistical level of 1%, 5%, and 10%, respectively.
4.4 Threshold test
In view of the theoretical analysis of the non-linear variation of the impact of environmental pollution on fishery production and the significant spatial and temporal differences between different provinces and regions in the status quo of marine fishery culture and the degree of environmental pollution, this paper further investigates whether there is a “threshold effect” on the impact of the degree of environmental pollution on the restructuring of marine fishery culture with the help of the panel threshold regression model proposed by Hansen (1999). The paper further investigates whether there is a “threshold effect”, i.e., whether the marginal constraint degree of environmental pollution on the restructuring of marine fishery culture changes significantly and abruptly with the deepening of the environmental pollution degree. Combined with the econometric model of this paper, the following panel threshold regression model is built:
The formula (7) and (8) are the single-threshold model and the double-threshold model. The threshold variable TISitindicates the production structure of marine fishery culture, γ is the threshold value. 1(·)indicates the sex function, which takes the value of 1 when the expression in parentheses is true and 0 otherwise; Wijis the matrix of spatial weight coefficients; Xit is the control vector. with the aid of Hansen’s method of bootstrap, no threshold value, one threshold value and two thresholds are tested for the rationalization and upgrading production structure, respectively. The results are shown in Table 8.
Table 8
| Structure type | Num.Threshold | ValueThreshold | F Value | PValue | Structure type | Num.Threshold | ValueThreshold | FValue | PValue |
|---|---|---|---|---|---|---|---|---|---|
| Rationalization | One Threshold |
10.8846 | 47.72 | 0.28 | Upgrading | One Threshold |
8.7535 | 75.35 | 0.04 |
| Two Threshold |
10.8846 10.4347 |
37.07 | 0.26 | Two Threshold |
8.7535 8.0196 |
77.15 | 0.04 | ||
| Three Threshold |
8.9220 | 22.54 | 0.71 | Three Threshold |
8.1101 | 24.30 | 0.91 |
Threshold variable test for the degree of environmental pollution.
When the number of thresholds is derived and for the threshold values, the results of the panel threshold regression for production restructuring of the marine fishery culture can be obtained, as shown in Table 9. where models (13) and (14) correspond to the threshold models for rationalization and upgrading production structure of the marine fishery culture, separately. The results show that there are large differences in the effects of different levels of marine environmental pollution on both rationalization and upgrading of fishery outcomes. For the rationalization of production structure of marine fishery culture, the estimated coefficient is -0.0035 when the degree of marine environmental pollution is relatively light (lnEr ≤ 10.8846), while when the degree of marine environmental pollution crosses the threshold value. The estimated coefficient becomes -0.0073. The increase in the degree of marine environmental pollution will inevitably increase the probability of pest and disease disasters, which in turn will trigger fishermen to increase the input of risk control factors such as fisheries medicine while reducing the marginal output level of production factors such as young fry. Thus, the degree of environmental pollution that hinders the rationalization of the production structure of marine fishery culture will gradually increase with the increase of the pollution level.
Table 9
| Variable | Model 13 | Variable | Model 14 | ||
|---|---|---|---|---|---|
| Coef. | Std. Err. | Coef. | Std. Err. | ||
| lnRds | 0.0020*** | -0.0007 | lnRds | 0.0014*** | -0.0004 |
| lnDds | 0.0015 | -0.0013 | lnDds | 0.0023*** | -0.0008 |
| lnMark | 0.0390*** | -0.0102 | lnMark | 0.0477*** | -0.0062 |
| lnOrp | 0.0084** | -0.0038 | lnOrp | 0.0036 | -0.0025 |
| lnSrp | -0.0124*** | -0.0042 | lnSrp | 0.0279*** | -0.0027 |
| lnMach | 0.0022 | -0.0035 | lnMach | -0.0046** | -0.0023 |
| lnEarn | -0.0125** | -0.0055 | lnEarn | 0.0118*** | -0.0036 |
| lnEr·1(lnEr ≤ 10.8846) | -0.0035** | -0.0016 | lnEr·1(lnEr ≤ 8.0196) | -0.0080*** | -0.0012 |
| lnEr·1(lnEr>10.8846) | -0.0073*** | -0.0016 | lnEr·1(8.0196<lnEr ≤ 8.7535) | -0.0054*** | -0.0012 |
| lnEr·1(lnEr>8.7535) | 0.0032*** | 0.001 | |||
| Cons. | -0.2324*** | -0.0191 | Cons. | -0.112*** | 0.012 |
| R2 | 0.6421 | R2 | 0.723 | ||
Panel threshold model estimation results.
***, **, * indicate significant at the statistical level of 1%, 5%, and 10%, respectively.
Compared with the regression results of the rationalization of the production structure of marine fishery culture, we can see that not only the threshold values of the upgrading production structure of the marine fishery culture are different, but also the trend of the estimated coefficients are also very different, specifically: when the degree of environmental pollution is relatively light (lnEr ≤ 8.0196), its estimated coefficient is -0.008, and with the deepening of the degree of environmental pollution, its estimated coefficient gradually decreases to - 0.0032, i.e., although the degree of environmental pollution hinders the process of upgrading of the production structure of marine fishery culture, this hindering effect tends to weaken with the deepening of the degree of environmental pollution.
The reason for this is that when the pollution level is relatively weak, traditional inshore aquaculture can still cope with it by increasing factor inputs. However, with the further deepening of pollution, the marginal income level of production factors decreases, and fishermen will choose to change their production methods to pursue profit maximization, thus pushing the production structure of marine fishery culture in the direction of upgrading development (Ding et al., 2017), and this pushing effect shows a non-linear trend and may show an increasing trend with the deepening of environmental pollution.
5 Conclusion
In summary, marine environmental pollution brings negative impact on offshore aquaculture. Therefore, this paper creatively introduces the externality theory of public goods, constructs the influence mechanism of marine environmental pollution on offshore aquaculture structure, based on the concept of rationalization and upgrading industrial structure; meanwhile, we use spatial econometrics as a basis to further correct the setting bias of public goods attributes and to safeguard the robustness of the conclusions to a certain extent. The results show that: ①The rationality of the production structure of marine fishery culture in our country is relatively weak, and it presents a spatial distribution pattern of partial concentration and overall dispersion; the upgrading degree of fishery production is overall on the rise, but the difference among regions is expanding, and there is an obvious Spatial condensation distribution. ②Affected by the degree of environmental pollution, the rationalization and upgrading of marine fishery culture production structure show different trends. On the one hand, environmental pollution reduces the rationalization degree of the production structure of marine fishery culture; on the other hand, with the elimination of environmental pollution, the upgrading degree of production structure of marine fishery culture has been continuously improved. ③The negative impact of environmental pollution on production structure has significant adjacency effect and threshold effect.
The research conclusions above have positive significance for policymaking. Firstly, local governments should fully attach importance to the protection and governance of the marine environment while using the series of existing supporting policies to drive the production structure adjustment of marine fishery culture. Secondly, in view of the spatial adjacency and relevance of marine pollution, the follow-up should actively construct an inter-regional marine environment collaborative governance mechanism, break the departmentalism of regional pollution governance, and avoid the dilemma of collective action and bottom-by-bottom competition. On the one hand, taking minimizing the coordination and communication cost of regional prevention and governance as the criterion, scientifically delimit the regional governance boundary of marine pollution across provinces and cities. For this, we can try to establish a multi-level authority structure of vertical management of the central government among different institutions, different regions, and various cities in the region. On the other hand, based on the heterogeneity characteristics among regions, we can identify the distinct interest demands of different subjects and establish a more targeted and diversified governance incentive and compensation mechanism. At the same time, we should constantly innovate the channels and mechanisms for public to participate in and improve the public’s sense of responsibility and supervision efficiency by encouraging new media and building a communication platform between the government and civil society organizations. In addition, we should further strengthen the overall planning and top-level design of authoritative institutions, especially the central authority, and strengthen the supervision strength and sustainable development of environmental protection. We’re expected to continue to deepen the reform of the ecological civilization system, realize the separation of environmental governance responsibilities, law enforcement and supervision, and eventually improve the efficiency of environmental supervision and protection.
Our work has certain limitations. In this paper, our index choice for industrial structure rationalization is the Thayer index, which is a measure of the degree of coupling between factor input structure and output structure, but rather single to a certain extent. In view of the special characteristics of the mariculture industry structure, in future research, we consider using the industrial structure deviation index (the degree of difference between the proportion of value added of each industry and the corresponding proportion of labor force) to represent the industrial structure rationalization, to further enhance the scientific and rational nature of the research conclusions. In addition, this study chooses provinces (cities) as the research object, which are still larger in spatial scope to a certain extent. Next, we will continue to consider communicating with some of our partner counties to narrow the scope of the study to the county level to better identify the impact mechanisms of marine environmental pollution on offshore aquaculture structure.
Statements
Data availability statement
The original contributions presented in the study are included in the article/supplementary material. Further inquiries can be directed to the corresponding author.
Author contributions
BY, Conceptualization, Methodology, Software, Editing; YC, Data curation, Writing-Original draft preparation, and Visualization; DA, data curation, validation; ZJ and WD, Writing-Reviewing and editing, Validation; LY, writing review and editing, supervision, project administration. All authors contributed to the article and approved the submitted version.
Funding
This study was supported in part by grants from The National Natural Science Foundation of China (No. 72204240); The China Postdoctoral Science Foundation (Grant No. 2022T150609); The Ministry of education of Humanities and Social Science Project (Grant No. 21YJC790149); The National Social Science Fund of China (Major Project), (No.20&ZD100); The Natural Science Foundation of Shandong (No. ZR2020QG045); Qingdao social science planning and research project in 2021 (QDSKL2101031).
Conflict of interest
The authors declare that the research was conducted in the absence of any commercial or financial relationships that could be construed as a potential conflict of interest.
Publisher’s note
All claims expressed in this article are solely those of the authors and do not necessarily represent those of their affiliated organizations, or those of the publisher, the editors and the reviewers. Any product that may be evaluated in this article, or claim that may be made by its manufacturer, is not guaranteed or endorsed by the publisher.
Footnotes
1.^The main tests include the likelihood ratio test (LR Test), the Lagrange multiplier test (LM Test), and the Wald test.
2.^Based on the attribute characteristics of culture methods, raft, cage, and bottom seeding methods are included in this paper together with the common netting methods.
References
1
Alves T. M. Kokinou E. Ekström M. Nikolaidis A. Georgiou G. C. Miliou A. et al . (2021). Scientific, societal and pedagogical approaches to tackle the impact of climate change on marine pollution. Sci. Rep.11 (1), 1–15. doi: 10.1038/s41598-021-82421-y
2
An D. Shen C. Yang L. (2022). Evaluation and temporal-spatial deconstruction for high-quality development of regional marine economy: A case study of China. Front. Mar. Sci.886. doi: 10.3389/fmars.2022.916662
3
Apata T. G. (2011). Effects of global climate change on Nigerian agriculture: An empirical analysis. CBN J. Appl. Stat2 (1), 31–50.
4
Bocher M. A. (2012). Theoretical framework for explaining the choice of instruments in environmental policy. For. Policy Economics38 (5), 16–22. doi: 10.1016/j.forpol.2011.03.012
5
Burke M. Hsiang S. M. Miguel E. (2015). Global non-linear effect of temperature on economic production. Nature527 (7577), 235. doi: 10.1038/nature15725
6
Carter C. Cui X. Ding A. Ghanem D. Jiang F. Yi F. J. (2017). Stage-specific, nonlinear surface ozone damage to rice production in China. Sci. Rep.3 (7), 44. doi: 10.1038/srep44224
7
Chen X. Ding Q. (2021). Assessment of the sustainable use of fishery resources and an early warning system, fisheries resources economics (Singapore: Springer), 215–281.
8
Davidson K. Pan M. Hu W. Poerwanto D. . (2012). Consumers'willingness to pay for aquaculture fish products vs. wild-caught seafood–a case study in Hawaii. Aquaculture Economics Manage.16 (2), 136–154. doi: 10.1080/13657305.2012.678554
9
Ding G. Zhang B. Zhao P. (2017). ESDA based spatial correlation features analysis of China urban regional haze pollution. Boletín técnico55 (6), 704–713.
10
Di F. S. Veronesi M. (2014). Managing environmental risk in presence of climate change: The role of adaptation in the Nile basin of Ethiopia. Environ. Resource Economics57 (4), 553–577. doi: 10.1007/s10640-013-9696-1
11
Du Y. W. Li X. X. (2022). Critical factor identification of marine ranching ecological security with hierarchical DEMATEL. Mar. Policy138, 104982. doi: 10.1016/j.marpol.2022.104982
12
Field B. Barros C. V. (2012). Managing the risks of extreme events and disasters to advance climate change adaptation. a special report of working groups i and ii of the intergovernmental panel on climate change (New York: Cambridge University Press), 22–25.
13
Furková A. (2021). Simultaneous consideration of spatial heterogeneity and spatial autocorrelation in European innovation: a spatial econometric approach based on the MGWR-SAR estimation. Rev. Regional Res.41 (2), 157–184. doi: 10.1007/s10037-021-00160-z
14
Gao Z. Geddes R. R. Ma T. (2020). Direct and indirect economic losses using typhoon-flood disaster analysis: An application to guangdong province, China. Sustainability12 (21), 8980. doi: 10.3390/su12218980
15
Hansen B. E. (1999). Threshold effects in non-dynamic panels: Estimation, testing, and inference. J. econometrics93 (2), 345–368. doi: 10.1016/S0304-4076(99)00025-1
16
He X. Ping Q. Hu W. (2022). Does digital technology promote the sustainable development of the marine equipment manufacturing industry in China? Mar. Policy136, 104868. doi: 10.1016/j.marpol.2021.104868
17
He J. Wang H. (2012). Economic structure,development policy and environmental quality: an empirical analysis of environmental kuznets curves with Chinese municipal data. Ecol. economics76 (4), 49–59. doi: 10.1016/j.ecolecon.2012.01.014
18
Hilsdorf A. W. S. Hallerman E. Valladão G. M. R. Zaminhan-Hassemer M. Teruo H. T. Koji D. J. et al . (2022). The farming and husbandry of colossoma macropomum: From Amazonian waters to sustainable production. Rev. Aquaculture14 (2), 993–1027. doi: 10.1111/raq.12638
19
Howard J. Sutton G. A. Herr D. (2017). Clarifying the role of coastal and marine systems in climate mitigation. Front. Ecol. Environ.15 (1), 42–50. doi: 10.1002/fee.1451
20
Huang J. Wang Y. (2015). Farmer’s adaptation to extreme weather events through farm management and its impacts on the mean and risk of rice yield in China. Am. J. Agric. Economics97 (2), 603–617. doi: 10.1093/ajae/aav005
21
Kifani S. Quansah E. Masski H. Houssa R. Hilmi K. . (2019). Climate change impacts, vulnerabilities and adaptations: Eastern central Atlantic marine fisheries. Impacts Climate Change fisheries aquaculture2019, 159–169.
22
Kroetz K. Nøstbakken L. Quaas M. (2022). The future of wild-caught fisheries: Expanding the scope of management. Rev. Environ. Economics Policy16 (2), 241–261. doi: 10.1086/721097
23
Laekemariam F. Kibret K. Mamo T. (2017). Farmers’ soil knowledge, fertility management logic and its linkage with scientifically analyzed soil properties in southern Ethiopia. Agric. Food Secur.6 (1), 1–12. doi: 10.1186/s40066-017-0138-0
24
Landrigan P. J. Stegeman J. J. Fleming L. E. Allemand D. Anderson D. M. Backer L. C. . (2020). Human health and ocean pollution. Ann. Global Health86 (1), 151–161. doi: 10.5334/aogh.2831
25
Li B. Liu Z. (2022). Measurement and evolution of high-quality development level of marine fishery in China. Chin. Geographical Sci.32 (2), 251–267. doi: 10.1007/s11769-022-1263-7
26
Li H. Liu Y. Liang B. Liu F. Wu G. Du J et al . (2022b). Demands and challenges for construction of marine infrastructures in China. Front. Struct. Civil Eng., 16, 1–13.
27
Li S. N. Liu A. Song H. (2019). Does tourism support supply-side structural reform in China? Tourism Manage.71, 305–314. doi: 10.1016/j.tourman.2018.10.022
28
Li H. Tang M. Cao A. Guo L. . (2022a). Assessing the relationship between air pollution, agricultural insurance, and agricultural green total factor productivity: Evidence from China. Environ. Sci. pollut. Res., 29, 1–15. doi: 10.1007/s11356-022-21287-7
29
Liu F. Huang Y. Zhang L. Li G. . (2022). Marine environmental pollution, aquatic products trade and marine fishery economy–—An empirical analysis based on simultaneous equation model[J]. Ocean Coast. Manage.222, 106096. doi: 10.1016/j.ocecoaman.2022.106096
30
Merino G. Barange M. Blanchard J. L. Harle J. Holmes R. Allen L. et al . (2012). Can marine fisheries and aquaculture meet fish demand from a growing human population in a changing climate? Global Environ. Change22 (4), 795–806. doi: 10.1016/j.gloenvcha.2012.03.003
31
Miao M. Liu H. Chen J. (2021). Factors affecting fluctuations in china’s aquatic product exports to Japan, the USA, south Korea, southeast Asia, and the EU. Aquaculture Int.29 (6), 2507–2533. doi: 10.1007/s10499-021-00761-y
32
Morente-López J. Kass J. M. Lara-Romero C. Serra-Diaz J. M. Soto-Correa J. C. Anderson R. P. et al . (2022). Linking ecological niche models and common garden experiments to predict phenotypic differentiation in stressful environments: Assessing the adaptive value of marginal populations in an alpine plant. Global Change Biol. 28, 4143–4162. doi: 10.1111/gcb.16181
33
Ottinger M. Clauss K. Kuenzer C. (2016). Aquaculture: Relevance, distribution, impacts and spatial assessments–a review. Ocean Coast. Manage.119, 244–266. doi: 10.1016/j.ocecoaman.2015.10.015
34
Powell J. P. Reinhard S. (2016). Measuring the effects of extreme weather events on yields. Original Res. Article Weather Climate Extremes12 (6), 69–79. doi: 10.1016/j.wace.2016.02.003
35
Rai P. K. (2016). Impacts of particulate matter pollution on plants: implications for environmental biomonitoring. Ecotoxicology Environ. Satety129 (6), 120–136. doi: 10.1016/j.ecoenv.2016.03.012
36
Ren W. (2021a). Research on dynamic comprehensive evaluation of allocation efficiency of green science and technology resources in china’s marine industry. Mar. Policy131, 104637. doi: 10.1016/j.marpol.2021.104637
37
Ren W. (2021b). How to realize the sustainable development of mariculture industry–—Re-examine from the perspective of biased technological progress in China. Mar. Policy134, 104791. doi: 10.1016/j.marpol.2021.104791
38
Saddique Q. Li Liu D. Wang B. Feng P. He J. Ajaz A. et al . (2020). Modelling future climate change impacts on winter wheat yield and water use: A case study in guanzhong plain, northwestern China. Eur. J. Agron.119, 126113. doi: 10.1016/j.eja.2020.126113
39
Salmi O. Hukkinen J. Heino J. (2012). Governing the interplay between industrial ecosystems and environmental regulation. J. Ind. Ecol.16 (1), 119–128. doi: 10.1111/j.1530-9290.2011.00403.x
40
Shang H. (2019). “What is the belt and road initiative?,” in The belt and road initiative: Key concepts (Singapore: Springer), 1–25.
41
Solomon H. Paulina O. (2019). The distribution of environmental damages. Rev. Environ. Economics Policy13 (1), 83–103. doi: 10.1093/reep/rey024
42
Song M. Wang S. (2017). Participation in global value chain and green technology progress: evidence from big data of Chinese enterprises. Environ. Sci. pollut. Res.24 (2), 1648–1661. doi: 10.1007/s11356-016-7925-1
43
Stirling A. (2007). Deliberate futures: precaution and progress in social choice of sustainable technology. Sustain. Dev.15 (5), 286–295. doi: 10.1002/sd.347
44
Su S. Tang Y. Chang B. Zhu W. Chen Y. . (2020). Evolution of marine fisheries management in China from 1949 to 2019: How did China get here and where does China go next? Fish Fisheries21 (2), 435–452. doi: 10.1111/faf.12439
45
Tamura R. (2006). Human capital, and economic development. J. Dev. economics79 (1), 26–72. doi: 10.1016/j.jdeveco.2004.12.003
46
Tang D. Li L. Yang Y. (2016). Spatial econometric model analysis of foreign direct investment and haze pollution in China. Polish J. Environ. Stud.25 (1), 317–324. doi: 10.15244/pjoes/60856
47
Tyl B. Gomez A. (2022). The hidden face of the value in eco-design tools: Theoretical basis of an essential concept. Sustain. Production Consumption31, 794–804. doi: 10.1016/j.spc.2022.03.025
48
Wang B. Han L. Zhang H. (2021). Analysis on the structure effect of marine fishery total factor productivity under high-quality development in China. PloS One16 (11), e0259853. doi: 10.1371/journal.pone.0259853
49
Wang L. Wang Z. Ma Y. (2022). Heterogeneous environmental regulation and industrial structure upgrading: Evidence from China. Environ. Sci. pollut. Res.29 (9), 13369–13385. doi: 10.1007/s11356-021-16591-7
50
Wei S. Chelliah R. Oh D. H. Liu S. . (2022). “Applications of cold plasma on aquatic products,” in Applications of cold plasma in food safety (Singapore: Springer), 243–267.
51
Wu L. Yang M. Wang C. (2021). Strategic interaction of environmental regulation and its influencing mechanism: Evidence of spatial effects among Chinese cities. J. Cleaner Production, 312, 127668. doi: 10.1016/j.jclepro.2021.127668
52
Xin-gang Z. Jin Z. (2022). Industrial restructuring, energy consumption and economic growth: Evidence from China. J. Cleaner Production335, 130242. doi: 10.1016/j.jclepro.2021.130242
53
Xue Y. Guo J. Li C. Xu X. Sun Z. Xu Z. et al . (2021). Influencing factors of farmers' cognition on agricultural mulch film pollution in rural China. Sci. Total Environ.787, 147702. doi: 10.1016/j.scitotenv.2021.147702
54
Xu H. Tan X. Gao Q. (2022). Impact of agricultural non-point source pollution on river water quality: Evidence from China. Front. Ecol. Evol.314. doi: 10.3389/fevo.2022.858822
55
Yi F. Feng J. Wang Y. (2020). Influence of surface ozone on crop yield of maize. J. Integr. Agric.19 (2), 578–589. doi: 10.1016/S2095-3119(19)62822-4
56
Yi F. Jiang F. Zhong F. Zhou X. (2016). The impacts of surface ozone pollution on winter wheat productivity in China – an econometric approach. Environ. pollut.208, 326–335. doi: 10.1016/j.envpol.2015.09.052
57
Yuan B. Yue F. Cui Y. Chen C. . (2022). The role of fine management techniques in relation to agricultural pollution and farmer income: the case of the fruit industry. Environ. Res. Lett.17 (3), 034001. doi: 10.1088/1748-9326/ac4654
58
Yuan B. Yue F. Wang X. Xu H. . (2021). The impact of pollution on China marine fishery culture: An econometric analysis of heterogeneous growth. Front. Mar. Sci. 8. doi: 10.3389/fmars.2021.760539
59
Zhang M. Sun X. Wang W. (2020). Study on the effect of environmental regulations and industrial structure on haze pollution in China from the dual perspective of independence and linkage. J. Cleaner Production256, 120748. doi: 10.1016/j.jclepro.2020.120748
60
Zhang H. Zhu Z. Fan Y. (2018). The impact of environmental regulation on the coordinated development of environment and economy in China. Natural Hazards91 (2), 473–489. doi: 10.1007/s11069-017-3137-3
Summary
Keywords
marine environmental pollution, offshore aquaculture structure, spatial spillover, heterogeneity in damages, structure rationalization and upgrading
Citation
Yuan B, Cui Y, An D, Jia Z, Ding W and Yang L (2023) Marine environmental pollution and offshore aquaculture structure: Evidence from China. Front. Mar. Sci. 9:979003. doi: 10.3389/fmars.2022.979003
Received
27 June 2022
Accepted
29 November 2022
Published
24 January 2023
Volume
9 - 2022
Edited by
Ahmad Razi Othman, Universiti Kebangsaan Malaysia, Malaysia
Reviewed by
Mohd Yusoff Ishak, Putra Malaysia University, Malaysia; Lluís Miret-Pastor, Universitat Politècnica de València, Spain
Updates
Copyright
© 2023 Yuan, Cui, An, Jia, Ding and Yang.
This is an open-access article distributed under the terms of the Creative Commons Attribution License (CC BY). The use, distribution or reproduction in other forums is permitted, provided the original author(s) and the copyright owner(s) are credited and that the original publication in this journal is cited, in accordance with accepted academic practice. No use, distribution or reproduction is permitted which does not comply with these terms.
*Correspondence: Lin Yang, yanglin0631@sdu.edu.cn
This article was submitted to Marine Fisheries, Aquaculture and Living Resources, a section of the journal Frontiers in Marine Science
Disclaimer
All claims expressed in this article are solely those of the authors and do not necessarily represent those of their affiliated organizations, or those of the publisher, the editors and the reviewers. Any product that may be evaluated in this article or claim that may be made by its manufacturer is not guaranteed or endorsed by the publisher.