Abstract
Mangroves have high ecological service value and play an important role in achieving carbon neutrality. However, the ecological services provided by mangroves are gradually declining due to the threat of various pollutants, especially heavy metal (HM) pollution. Researching the status and history of heavy metals (HMs) in mangrove sediments improves understanding of how mangroves can be protected. We studied the Zhanjiang Bay mangroves, which is an important part of the Zhanjiang Mangrove National Nature Reserve, and is greatly affected by human activities, as an example. We analyzed the pollution levels and deposition process of HMs and their influencing factors. In the mangrove surface sediments of Zhanjiang Bay, Pb, Cr, and Co were slightly to moderate enriched and Cu was moderate-heavy enriched. Zn and Hg showed moderate-heavy enrichment and heavy enrichment, respectively. Cu, Zn, Hg, and Co were 1.5, 1.88, 2.66, and 1.27 times the local background, respectively. Cu, Zn, and Hg mainly originated from anthropogenic sources, and Co may have derived from natural sources. The HM data of mangrove sedimentary cores in Zhanjiang Bay were obtained for the first time; high HM content appeared in the deep layer of the cores but not in the mangrove surface sediments. Both cores were well documented for the effects of natural and anthropogenic factors on the deposition process of HMs. Among them, the high enrichment of Hg in 1909–1921 may be closely related to human activities rather than natural formation. Before 1954, dense mangroves favored the accumulation and gradual increase of HMs. The intense human activity in 1945–1963 during the period of economic construction and reclamation of the Nansan Island Engineering led to significant increases in Cu, Zn, Pb, Cr, and Co, which reached their highest values in more than one hundred years. After 1963, anthropic factors such as deforestation and conversion to aquaculture sharply reduced mangrove area. Reclamation engineering enhanced tidal erosion. Natural factors such as precipitation, storm surge, sea-level rise, and high tides have accelerated the erosion and dilution of mangrove sediments in Zhanjiang Bay. These factors have led to the gradual reduction of HM content in sedimentary cores.
Introduction
Mangroves include woody plant communities that grow in intertidal zones of tropical and subtropical coasts. Mangroves, which are called “coastal guardians”, are ecosystems at the junction of marine and land environments and provide important economic, social, and ecological services (Alemu et al., 2021). Mangroves have great potential to mitigate climate change and conserve biodiversity (Su et al., 2021). For example, the rate of carbon accumulation per unit surface in tidal wetlands is 15 times that of terrestrial ecosystems and 50 times that of marine ecosystems (Wang et al., 2021), playing a key ecological role in achieving global carbon neutrality. According to The State of The world's Mangroves 2021, the mangroves are not only home to 341 threatened species but provide livelihoods for more than 4.1 million fishers worldwide and shelter about 15 million people from floods. Mangroves are affected directly and indirectly by human activities such as pollution, overexploitation, and conversion to aquaculture and agriculture (Friess et al., 2019). Mangroves can be reservoirs of pollutants since they intercept and retain a wide range of metals (Ram et al., 2018). Because of their strong toxicity, persistence, and difficult biodegradability, HMs have been a focus in mangrove protection (Tam and Yao, 1998; Almahasheer et al., 2018; Shi et al., 2019). Cases of HM contamination in mangrove sediments have been reported in many places, such as China (Chai et al., 2019; Jiang et al., 2020), Vietnam (Thanh-Nho et al., 2020), India (Bhattacharya et al., 2015; Panseriya et al., 2020), and Australia (Hettiarachchi et al., 2017). Pollutant retention is related to the mangrove’s well-developed root system, which can reduce tidal and river erosion and promote sediment deposition (Kirwan and Megonigal, 2013). Sediment rich in organic matter plays a role in the accumulation of HMs (Marchand et al., 2011). Sources of HMs in the sediments are related to the history of human activities in adjacent catchments, with high HM content associated with heavy pollutant discharge from intense agricultural and economic development (Xu et al., 2014; Nath et al., 2014). Therefore, mangrove sediments are considered suitable indicators of past human activity in the study area (Marchand et al., 2011; Conrad et al., 2017; Costa-Böddeker et al., 2020).
Zhanjiang Bay is one of the most economically important harbors in China, with the shortest sea route between mainland China, Southeast Asia, and Western Europe. Zhanjiang Mangrove National Nature Reserve is the most diverse and complex mangrove reserve in Guangdong Province, as well as the largest mangrove reserve in China. The establishment of Zhanjiang Mangrove National Nature Reserve helps strengthen mangrove protection. However, because of rapid economic development, the mangrove is facing more and more environmental pressure. In recent years, some scholars have investigated HMs in the Zhanjiang mangroves, including the content, sources, pollution assessment, and ecological risk assessment of HMs in the mangrove (e.g., Liu et al., 2014; Chen et al., 2018; Luo et al., 2019). Zhanjiang Bay is the economic center of Zhanjiang City, a densely populated area. Although Zhanjiang Bay mangroves are becoming more threatened by human activities, there are few reports on the latest status of HM pollution in the area. Previous studies only collected mangrove surface sediments so research materials and data from sedimentary cores are lacking. The history of HM pollution and changes in the deposition process over time is still unknown. The trade and industrial activities in Zhanjiang Bay are relatively new. Information on the status and history of HMs in the Zhanjiang Bay mangrove forests can help decision makers formulate mangrove conservation policies. Therefore, this study aimed to: (1) investigate the pollution status of six HMs with environmental significance (Cu, Pb, Cr, Zn, Hg, and Co), including comparison with other mangrove reserves; (2) obtain HM data and historical sedimentary records from mangrove sedimentary cores; and (3) analyze the deposition process of HMs in cores and its influencing factors, including natural processes and human activities.
Materials and methods
The study area
Zhanjiang Bay, located in Zhanjiang City, Guangdong Province, China, covers an area of about 190 km2 and is a semi-closed drowned valley bay Figure 1A. Zhanjiang Bay is long and narrow in the north and wide in the south and becomes narrow again at the mouth of the bay, with a width less than 2 km (Figure 1B). Zhanjiang Bay is a natural deep-water port. The normal channel depth of Zhanjiang Bay is 8 meters to 28 meters, and the length of the deep channel, which has depths ranging from 26 meters to 44 meters, is more than 10 kilometers (Zhang et al., 2018). The special shape of the bay terrain concentrates the tidal energy of seawater entering the bay, making the difference between high tide and low tide in Zhanjiang Bay larger and the ability of the tide to surge stronger than some other bays (Zhang et al., 2018). Zhanjiang Bay is in the subtropical monsoon zone; the precipitation is concentrated in May–September, the average annual precipitation is 1700–1800 mm, and the average annual temperature is about 24°C. The two sedimentary cores collected (C1 and C2) were divided between Shangdiju Villages located in the southwest of Dongtoushan Island and the three southern islands (Figures 1C, D). Dongtoushan Island has an area of 2.91 km2, close to the industrial area of Donghai Island, and the main mangrove species is Avicennia marina. The southern three islands are 123.4 km2 in size and have about 247.5 hm2 of mangrove forests, with the main mangrove species being Avicennia marina and a small number of other species such as Kandelia obovata, Aegiceras corniculatum, and Rhizophora stylosa.
Figure 1

Schematic diagram of sampling points of mangrove forest in Zhanjiang Bay. (A) Location of Zhanjiang City in Guangdong Province; (B) Study area and sampling point location; (C) The location of C1 in Dongtoushan Island; (D) Location of C2 in the South Three Islands).
Sample collection
In May 2020, eight stations were set up in the Zhanjiang Bay mangrove distribution area. They are Guanhaichanglang (GHCL), Techeng Island (TC), Damiao (DM), Nansan Bridge (NS), Beiya Village (BY), Shangdiju Village (SDJ), Dongtoushan Island (DTS) and Dongcan Village (DC). Before sampling, the dead branches and leaves on the surface were removed, and then 40 mangrove surface sediments (0-20 cm) were collected with polyvinyl chloride pipes (PVC) with a diameter of 6 cm according to the plum blossom five-point sampling method. Two sedimentary cores were collected for dating on DTS and SDJ using a fixed-depth peat drill (equipped with PVC pipe with a diameter of 6 cm). Two more sedimentary cores were collected nearby for the analysis of HMs. After sampling, these core distributions were sliced at 4 cm and 5 cm intervals, packed into sealed polyethylene bags, and then brought back to the soil laboratory for cryogenic cryopreservation, for a total of 80 samples, as shown in Table 1.
Table 1
| Heavy metal analysis | 210Pb Dating | |||
|---|---|---|---|---|
| Core | C1 | C2 | C1 | C2 |
| Depth (cm) | 60 | 90 | 100 | 100 |
| Interval (cm) | 5 | 5 | 4 | 4 |
| Sample number | 12 | 18 | 25 | 25 |
| Bulk (cm3) | 70.6 | 70.6 | 56.5 | 56.5 |
Core sample information.
Heavy metal analysis
Before determining the HM content, debris such as animal and plant residues and plastics was picked out from the sample and placed in a cool place to dry naturally. The sample was ground and the fine parts of the sample (<63 μm) were selected with a 250-mesh nylon sieve and mixed well. Second, the 2 g sample was digested by the tetraacid method (HCI-HNO3-HF-HClO4) and aqua regia. Among them, Cu, Pb, Cr, Zn, Co and Fe are digested (150 min, 110-190°C;) by tetra acid method, and Hg is digested (45 min, 100-120°C;) by aqua regia. The seven elements in extracts were detected by inductively coupled plasma mass spectrometry (ICP-MS, Agilent 7700x, USA). The experimental analysis was completed by ALS Minerals-ALS Chemex of Guangzhou, China. To ensure the accuracy of test results, more than 2 blank tests and 20% parallel samples are set.
Sediment age and particle size determination
Radionuclide dating (210Pb) was used to determine the age and accumulation rate (SAR) of sediments. Forty core samples were sent to the Lake and Environment Laboratory at the Nanjing Institute of Geography and Limnology, Chinese Academy of Sciences, for 210Pb dating. The laboratory uses γ analytical methods to directly measure the sample without damage to a variety of nuclides and obtains a specific activity of 210Pb. The analysis process was conducted on a γ -spectrum analysis system consisting of a high-purity germanium detector (Ortec HPGe GWL, USA) and an Ortec 919 spectral controller, as well as a multichannel analyzer made of IBM microgrids. The 210Pb activity was calculated by multiplying the count per minute by a correction factor that includes the gamma ray intensity and detector efficiency corrected by the standard procedure. The total 210Pb activity was subtracted from the 226Ra activity to get an excess of 210Pb activity (210Pbex).
The particle size of sediment is determined by Laser Particle Size Analyzer (Mastersizer 2000, Mas, England). The repeatability reaches 0.5%, and the average value is taken after each sample is tested for 3 times. Before particle size determination, excess H2O2 (30%) and dilute HCl were added respectively to remove carbonate and organic matter, and then (NaPO3)6 dispersant was added and ultrasonic oscillation was carried out. The particle size classification adopts the international general classification standard: Sand (>63 μm), Silt (63 μm~4 μm) and Clay (<4 μm).
Pollution assessment
Some commonly used pollution assessment methods such as “enrichment factor” and “ground accumulation index” are used to evaluate the degree of HM pollution of mangrove sediments. Enrichment factor (EF) was first proposed by (Zoller et al., 1974), and is now widely used to evaluate the anthropogenic effects of pollutants in coastal or river sediments. The calculation formula is as follows.
The Ci and Cr were the content of HMs i and the reference element r in the sample and local background values. Al usually is used as reference elements as they are abundant in the earth’s crust and have good chemical stability. The grading criteria of the enrichment factors in this study are: EF<1 is no enrichment; 1< EF ≤ 3 is slight enrichment; 3< EF ≤ 5 is moderate enrichment; 5< EF ≤ 10 is moderate-heavy enrichment; 10≤EF< 25 is heavy enrichment; 25≤EF< 50 is very heavy enrichment (Dung et al., 2013).
The geo-accumulation index (Igeo) was proposed by Müller (1969) as a method widely used to assess the intensity of HM contamination in sediments. The calculation formula is as follows.
Cn is the concentration of HMs in the sample, and the Bn is the concentration of HMs in the local background. k is the factor that corrects for the effect of natural diagenesis on the background value, usually k is 1.5.The degree of HM pollution is divided into 7 levels: Igeo ≤ 0: none polluted";"0<Igeo ≤ 1: slightly to moderately polluted";"1<Igeo ≤ 2: moderately polluted";"2<Igeo ≤ 3: moderately to heavily polluted";"3<Igeo ≤ 4: heavily polluted";"4<Igeo ≤ 5: heavily to extremely polluted";"5<Igeo: extremely polluted (Müller, 1969).
Results
Age of lithology and sediments
The sediment in C1 was mainly silt, the core turned from tan to dark gray, and most pores and shell remains were found at 0–15 cm. The sediment in C2 was mainly sand, the upper part of the core changed from light brown to grayish white, and the sediment particles were coarse. The lower part of C2 was dark grey with fine sediment particles and black stripes (Figure 2).
Figure 2

Core samples and their particle size characteristics.
Regression analysis between 210Pbex and depth of sediment found a significant correlation between the two (R> 0.50) and the 210Pbex value decreased with increasing depth (Figure 3), indicating that sediment rates can be estimated using the CIC method. According to the CIC method of 210Pb dating, the SAR of C1 and C2 was 0.55 cm·yr-1 and 0.85 cm·yr-1, respectively. Therefore, the ages of the different depths of C1 and C2 could be calculated from the sedimentation rate, depth, and core sample collection time (2017).
Figure 3

Relationship between 210Pbex and depth in C1 (A) and C2 (B).
Heavy metal content characteristics
The range and average values of HMs (Cu, Pb, Cr, Zn, Hg, Co) in the Zhanjiang Bay are shown in Table 2. Comparing the average value of HMs across Zhanjiang Bay with the local background value (LBV), it was found that Cu, Zn, Hg and Co were 1.5, 1.88, 2.66 and 1.27 times the LBV, respectively, but none of the HM elements exceeded the HM threshold specified in the Chinese Marine Sediment Quality Standard Class I (MSQ-1). The average value of most HM elements in DC, DTS, SDJ, TC and GHCL exceeds the LBV. For example, all HM elements in SDJ exceed the LBV. From the perspective of different HM elements, Cu, Zn, Hg and Co of most sites exceeded the LBV. For example, the average values of Cu, Zn, Hg and Co in GHCL, which were 2.44, 3.09, 4.66 and 1.14 times the LBV. The Cu, Pb, Cr, Zn, Hg and Co ranges of C1 are 12.7-17.8, 18-33, 37-63, 39.9-66.6, 0.02-0.34 and 6.3-13.7 μg·g-1, respectively. The Cu, Pb, Cr, Zn, Hg, and Co ranges of C2 are 5.9-19.5, 14.35-35, 34-72, 20.2-84.5, 0.00-0.31, and 2.9-21.4 μg·g-1, respectively. In addition, the average values of Cu and Pb in C1 are larger than those in C2, while the averages of Cr, Zn and Hg are smaller than those in C2. The average of all HM elements in both cores exceeded the local soil background value, but did not exceed the threshold of MSQ-1.
Table 2
| Site | Cu | Pb | Cr | Zn | Hg | Co | |
|---|---|---|---|---|---|---|---|
| DC | Mean | 11.00 | 23.20 | 37.00 | 50.00 | 0.07 | 6.10 |
| DTS | Rang | 3.30-15.23 | 9.10-27.10 | 15.00-43.00 | 21.00-56.00 | 0.02-0.11 | 2.70-7.30 |
| Mean | 10.26 | 21.35 | 33.95 | 45.22 | 0.05 | 6.04 | |
| NS | Rang | 6.40-7.70 | 11.30-21.40 | 12.00-15.00 | 21.00-29.00 | 0.04-0.06 | 1.40-2.40 |
| Mean | 7.05 | 16.35 | 13.50 | 25.00 | 0.05 | 1.90 | |
| SDJ | Rang | 4.30-15.58 | 14.00-32.10 | 17.00-46.25 | 18.0-64.0 | 0.02-0.11 | 2.00-8.38 |
| Mean | 11.56 | 24.68 | 38.85 | 44.34 | 0.06 | 6.26 | |
| DM | Rang | 3.20-26.10 | 8.2-15.2 | 8.00-17.00 | 14.00-64.00 | 0.01-0.02 | 1.50-3.70 |
| Mean | 10.38 | 11.63 | 13.00 | 31.75 | 0.02 | 2.53 | |
| BY | Rang | 6.20-26.90 | 12.60-28.70 | 17.00-35.00 | 17.0-42.0 | 0.05-0.32 | 1.50-2.80 |
| Mean | 14.53 | 20.07 | 28.00 | 30.33 | 0.19 | 2.33 | |
| TC | Rang | 2.27-29.10 | 3.52-18.92 | 7.33-31.00 | 8.00-39.00 | 0.01-0.09 | 0.81-31.00 |
| Mean | 9.10 | 12.79 | 17.97 | 24.33 | 0.06 | 4.81 | |
| GHCL | Rang | 3.2-26.9 | 8.20-32.10 | 3.20-26.90 | 14.00-64.00 | 0.01-0.32 | 1.40-8.38 |
| Mean | 19.55 | 20.56 | 19.88 | 65.88 | 0.14 | 4.00 | |
| All samples of Zhanjiang Bay | Mean | 12.12 | 17.77 | 23.47 | 39.62 | 0.08 | 4.45 |
| C1 | Rang | 12.7-17.80 | 18.0-33.0 | 37-63 | 39.90-66.60 | 0.02-0.34 | 6.3-13.7 |
| Mean | 15.31 | 27.25 | 53.00 | 51.93 | 0.07 | 9.69 | |
| C2 | Rang | 5.90-19.50 | 14-35 | 34-73 | 20.20-84.40 | 0.0-0.31 | 2.9-21.4 |
| Mean | 13.94 | 26.33 | 59.22 | 54.66 | 0.09 | 11.93 | |
| Local background value |
8 | 23.4 | 36.14 | 21.0 | 0.03 | 3.5 | |
| MSQ-1 | 35 | 60 | 80 | 150 | 0.2 | No data |
Heavy metal content (μg·g-1) of surface sediments and cores in Zhanjiang Bay mangroves.
only one sample in DC; Background value used by the elements in the soil of Zhanjiang City; MSQ-1 is the first-level Marine Sediment Quality standard criteria in China (GB 18668-2002).
The sequence of HM deposition in C1 is shown in Figure 4. The distribution of HMs in C1 over the past hundred years can be roughly divided into three stages of change. Stage 1 (S1) was from 1909 to 1931 (60–48 cm), with HM content trending downward after a significant high value in 1909–1918, and Pb, Zn, Hg, and Co content reaching maximum levels. Stage 2 (S2) was from 1931 to 1963 (48–30 cm), and the content of other HM elements except Hg showed a significant upward trend. Stage 3 (S3) was from 1963 to 2017 (30–0 cm), and the Hg content remained basically unchanged until the core surface layer (<10 cm) content increased, while the Cu, Pb, Cr, Zn, and Co content all trended downward.
Figure 4

Heavy metal deposition sequence of C1.
The HM deposition process of C2 can be divided into two segments (Figure 5). Stage 1 (S1) was from 1909 to 1963 (90–45 cm), with the content of Cu, Pb, Cr, Zn, and Co trending upward. Stage 2 (S2) was from 1963 to 2017 (45–0 cm), and the content of Cu, Pb, Cr, Zn, and Co gradually decreased until the top of the core, which is consistent with the distribution trend of HMs in stage 1 of C1. Hg shows a fluctuating trend, inconsistent with the tendency of other HMs. At10–0 cm in the C1 and C2 cores, the Hg content increased, while the content of other HMs decreased.
Figure 5

Heavy metal deposition sequence of C2.
Heavy metal pollution evaluation
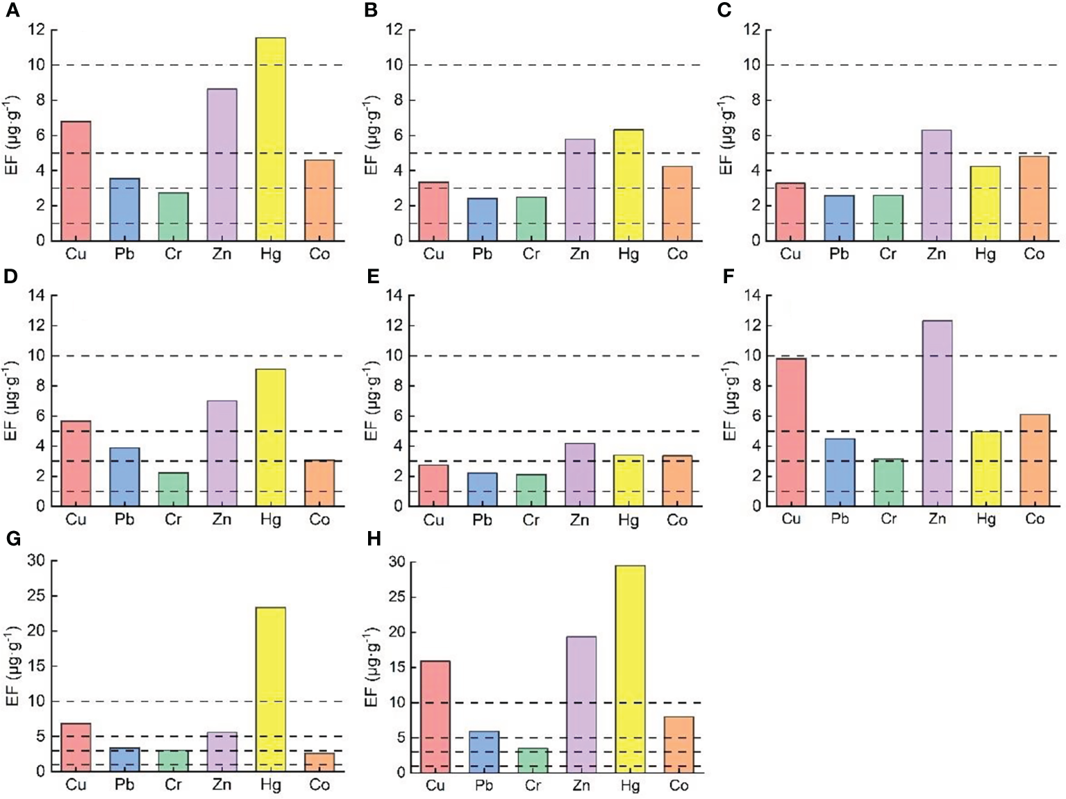
The results of the enrichment factor (EF) are shown in Figure 6. The EF value of Hg in Zhanjiang Bay was greater than 10, indicating heavy enrichment. The EF values of Cu, Zn were between 5 and 10, indicating moderate-heavy enrichment. Analyzed according to site, DC, DTS, and NS were slight enrichment to moderate-heavy enrichment, mainly enriched by Zn, and Hg. DM was moderate to heavy enrichment, GHCL was moderate to very heavy enrichment, mainly enriched by Cu, Zn, and Hg. The EF value of HMs in some sites was large; for example, the EF value of Zn in DM and GHCL were 12.31, and 19.36. The EF values of Hg in BY and GHCL were 23.35, and 29.47, respectively.
Figure 6

EF Results of mangrove surface sediments in Zhanjiang Bay. (A–H represent: Total Zhanjiang Bay, DC, DTS, NS, SDJ, DM, BY, GHCL, respectively).
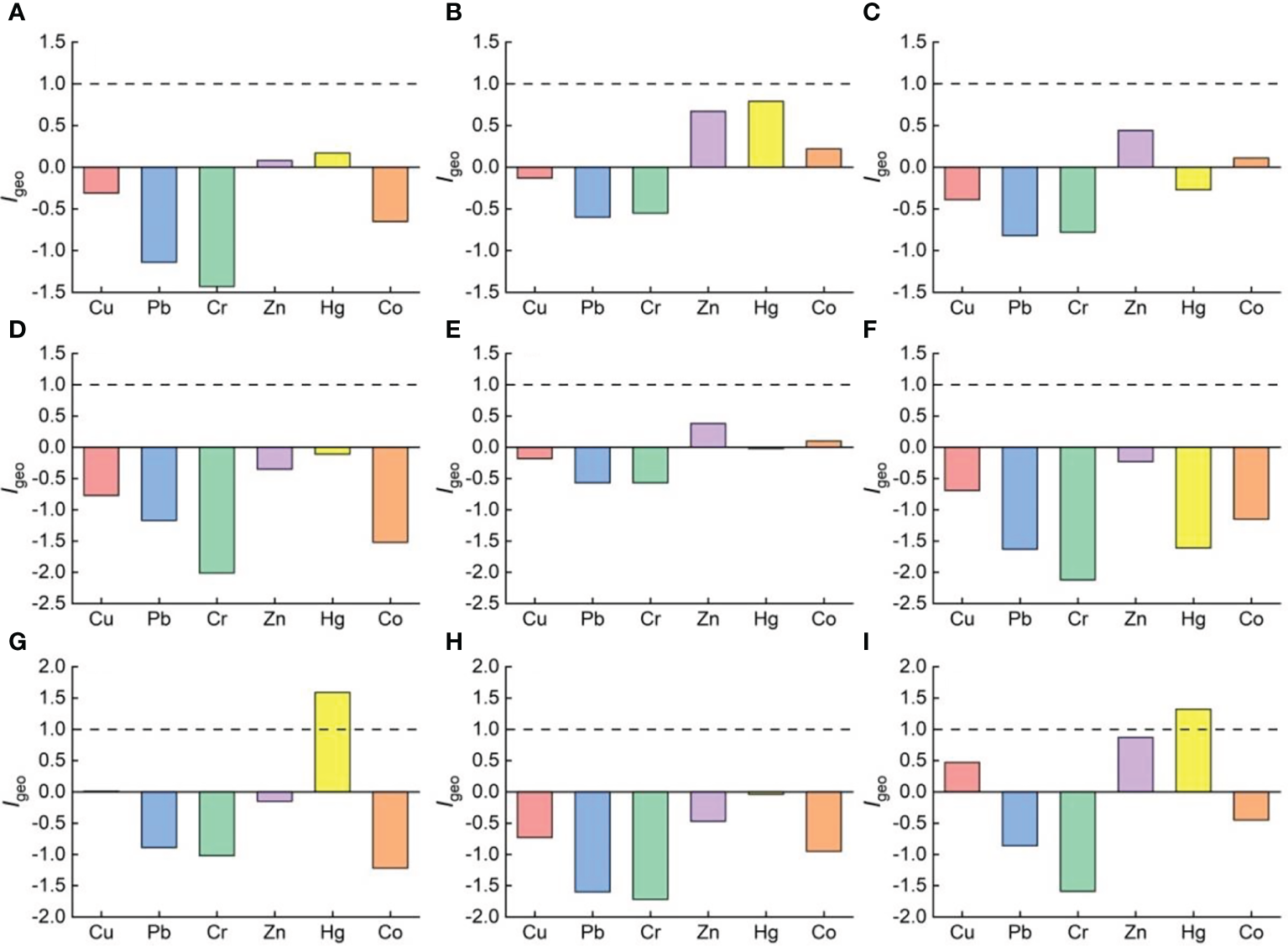
The results of the geo-accumulation index (Igeo) are shown in Figure 7. The Igeo values of Cu, Pb, Cr, and Co in the entire Zhanjiang Bay were less than 0, indicating no pollution. The Igeo of Zn and Hg was between 0 and 1, indicating slight to moderate pollution. Pb and Cr were not pollutants in all sites. The Igeo of Zn, Hg, and Co in DC, DTS, and SDJ were between 0 and 1, indicating slight to moderate pollution. The Igeo of Hg in BY and GHCL was 1.59 and 1.32, respectively, which indicates a moderate pollution level. In short, the Igeo of all HMs in DC, DTS, NS, SDJ, DM, and TC were between not polluted and slightly to moderately polluted, while the Igeo of all HMs in BY and GHCL were between not polluted and moderately polluted.
Figure 7

Results of the geo-accumulation index of mangrove surface sediments in Zhanjiang Bay (A-I represents: Total Zhanjiang Bay, DC 、DTS 、NS 、SDJ 、DM 、BY 、TC 、GHCL).
Discussions
Status and sources of heavy metal pollution
Status of heavy metal pollution
According to EF and the geo-accumulation index, Pb, Cr, and Co were slightly to moderate enriched and Cu was moderate-heavy enriched in mangrove surface sediments of total Zhanjiang Bay, and the result of Igeo was no pollution. The EF values of Zn and Hg showed moderate-heavy enrichment and heavy enrichment, respectively, and the result of Igeo showed slight to moderate contamination. As stated previously, the factor k value in the formula of the geo-accumulation index was usually 1.5 by default to correct the influence of different lithology on the background value. However, the physicochemical properties of lithology in different sedimentary environments are obviously different, which are closely related to the accumulation, migration and transformation of HM (Zhang et al., 2014). Different k values will lead to great differences in the pollution degree of HM, but there is no unified standard at present. Therefore, the geo-accumulation index has certain limitations. Similarly, selecting different reference elements (such as Al, Fe and Ti) will lead to different EF level. Moreover, the ratio of HM to reference elements in different geological backgrounds may change, which may result in a higher EF values. Thus it is not suitable to use in large scale regional geochemical survey and mining area (Birch, 2017). However, compared with the geo-accumulation index, the dimensionless EF can reduce the interference of background values and has important application value in evaluating the impact of increasingly intense regional human activities on heavy metal enrichment. Because, generally speaking, the higher the heavy metals content and the greater the enrichment factor value. Therefore, it is recommended that the EF is better used to evaluate the pollution impact of sediments than the geo-accumulation index (Abrahim and Parker, 2008; Eziz et al., 2020). Of course, there is a lack of a suitable method that can uniformly evaluate the enrichment grade and pollution level of heavy metals, and further exploration is needed. The average values of Zn and Hg were 1.88 and 2.66 times higher than other HM elements, showing that the surface sediments of Zhanjiang Bay mangroves have been greatly polluted by human activities. In addition, the Hg content increased suddenly in the C1 surface layer, possibly due to the secondary release of Hg buried in sediments, which requires more attention and research. Because of Hg’s bioaccumulation potential and high volatility, it has a large impact on coastal dwellers and mangrove organisms.
To better assess the HM pollution levels in this study area, we compared HM data from mangrove surface sediments in Zhanjiang Bay with HM data from mangrove forests in estuaries and bays in other parts of China (Table 3). The content of all HMs in the Zhanjiang Bay mangrove sediments was lower than that in other parts of the country, which may be related to the comparatively lower economic development level of Zhanjiang Bay. Rapid industrial development is the main driving factor of the higher HM pollution in the more economically developed Shenzhen Bay (Chai et al., 2019). However, the highest Pb and Zn levels were found in mangrove sediments at the mouth of the Jinjiang River, which may be influenced by the area’s geological background; there are many lead and zinc deposits on the southeast coast of Fujian Province (Xu et al., 1982). This suggests that when evaluating HM pollution in mangrove sediments, we need to consider the contribution of local geochemical characteristics to HMs in coastal and estuarine sediments. Otherwise, exaggerated pollution results may be obtained. In the past, mainly coastal sand but no large metal minerals were found along the Zhanjiang Bay coast (Liu and Yang, 1988). The results of this study can represent the current situation of HM pollution in the mangrove sediments of Zhanjiang Bay to a certain extent.
Table 3
| Location | Cu | Pb | Cr | Zn | Hg | Co | Reference |
|---|---|---|---|---|---|---|---|
| Zhanjiang Bay | 12.12 | 17.77 | 23.47 | 39.62 | 0.08 | 4.45 | This study |
| Zhenhai Bay, Guangdong | 37.90 | 19.10 | 110.30 | 141.10 | 0.16 | nd | Xu et al., 2021 |
| Shenzhen Bay, Guangdong | 29.10 | 39.6 | 122.30 | 112.8 | nd | 7.50 | Zhang et al., 2020 |
| Dongzhai Harbor, Hainan | 19.51 | 20.52 | 74.06 | 46.10 | nd | nd | Wang et al., 2018 |
| Shankou, Guangxi | 15.30 | 33.34 | 61.72 | 64.82 | nd | 6.04 | Xie et al., 2022 |
| Maowei Sea, Qinzhou | 61.90 | 48.90 | 96.50 | 166.00 | nd | 20.10 | Jiang et al., 2020 |
| Jinjiang Estuary, Fujian | 32.76 | 98.22 | nd | 175.97 | nd | nd | Deng et al., 2019 |
Comparison of heavy metals in mangrove surface sediments in different regions of China.
nd is no data; all heavy metals are averaged
Sources of heavy metals
In order to locate the sources of HMs in the surface sediments in Zhanjiang Bay, Pearson Correlation analysis and Factor analysis were carried out, and the results are shown in Tables 4, 5
Table 4
| Cu | Pb | Cr | Zn | Hg | Co | |
|---|---|---|---|---|---|---|
| Cu | 1 | |||||
| Pb | 0.62** | 1 | ||||
| Cr | 0.39* | 0.84** | 1 | |||
| Zn | 0.80** | 0.75** | 0.52** | 1 | ||
| Hg | 0.61** | 0.52** | 0.34* | 0.59** | 1 | |
| Co | 0.05 | 0.22 | 0.31* | 0.17 | -0.02 | 1 |
Pearson correlation coefficient of heavy metals in mangrove sediments.
** P< 0.01; * P< 0.05;
Table 5
| Variable | Load factor | |
|---|---|---|
| Factor 1 | Factor 2 | |
| Cu | 0.87 | 0.04 |
| Pb | 0.77 | 0.51 |
| Cr | 0.53 | 0.67 |
| Zn | 0.87 | 0.23 |
| Hg | 0.82 | -0.08 |
| Co | -0.10 | 0.86 |
| Characteristic root | 3.11 | 1.53 |
| Variance interpretation rate (%) | 51.83 | 25.51 |
| Cumulative variance interpretation rate (%) | 51.83 | 77.34 |
Factor analysis conducted for the mangrove sediments.
The bold numbers represent higher factor scores.
Cu, Pb, Zn, and Hg all showed strongly positive correlation among each other, with Cr-Pb and Cr-Zn being in strongly positive correlation, Cr-Cu, Cr-Hg, and Cr-Co being in weakly positive correlation. Co showed no significant correlation with Cu, Zn, Hg or Pb (Table 4). These results indicate that Cu, Zn, Hg and Pb have similar or identical sources (Fernández et al., 2018), and the source of Cr is complex. Kaiser Meyer Olkin (KMO) value is 0.735, and the p value of Bartlett sphericity test is smaller than 0.001, which is suitable for factor analysis. The maximum variance rotation method was used to extract two main factors (eigenvalue>1) from the HM variables. The cumulative variance interpretation of the factors is 77.34%, which can explain most of the information in the data (Table 5). In factor 1 (51.83% variance interpretation rate), Cu, Zn, Hg and Pb have higher loading values (>0.7) and are the main contributing elements. In factor 2 (25.51% variance interpretation rate), the load value of Co is greater than 0.7, which is the main contributing element.
The results of above analysis indicate that Cu, Zn, Hg and Pb are the main HM pollutants of mangroves in Zhanjiang Bay, which are generally considered to be closely related to human activities. Among them, Pb used to be one of the main additives of gasoline. Although Pb has been banned to add in gasoline in China, it can still be detected in soils because its long decay period (Guan et al., 2018). The discharge of Pb-contained pollutants from industrial sources along the coast of Zhanjiang Bay, the use of Pb-containing pesticides, fertilizers and fish food in agriculture and aquaculture are still important sources of Pb. According to field investigation, there are many aquaculturual ponds around the DTS, SDJ, TC, BY and DM stations. The aquaculturual wastewater contains residues such as fish food and disinfectant, which will cause the enrichment of Zn and Cu in the mangrove sediment as the seawater diffuses into the mangrove (Lacerda et al., 2011; Jiang et al., 2020). In addition, the concentrations of Cu, Zn and Hg at GHCL station are the highest, the results were consistent with the EF and Igeo, which are due to the higher direct input of contaminated sediment. Because the sewage outlet of Lutang River is located at GHCL station, a large amount of urban sewages are carried into mangroves through the Lutang River. Also, GHCL is located in the urban area, and frequent traffic activities also have a certain impact on the accumulation of HMs. The industrial sources are mainly distributed along the coast of Zhanjiang Bay, which is also a densely populated area. Under the action of the reciprocating tidal currents, the HM pollutants discharged from industrial wastewater and domestic wastewater are diffused and thus captured by mangroves. Untreated sewage, wear of mechanical parts and leakage of lubricating oil are discharged from ships in Zhanjiang Bay, which enrich HMs in mangroves along the coast (Wakelin et al., 2014; Jiang et al., 2020; Gao et al., 2021). Therefore, it can be inferred that factor 1 represents the pollution caused by human activities such as industrial pollution, domestic pollution, automobile exhaust, aquaculture pollution and ship pollution. The loading value of Co in factor 2 is the highest, and there is no significant correlation with Cu, Pb, Zn and Hg, which indicates that Co may mainly come from the weathering of soil parent material (Jin et al., 2019; Nanos and Rodríguez Martín, 2012). So, it can be inferred that factor 2 represents natural sources. Guan et al. (2006) found that the average content of Cr in the basalt weathered soil of Leizhou Peninsula in Guangdong was significantly higher than that of other soil forming parent materials. Yang (2020) also believed that Cr was mainly derived from sediment parent materials, but Cr pollution was also related to the discharge of domestic sewage along the coast. From the above analysis, it can be seen that the sources of Cr are complex and may be due to both natural and artificial sources. Pb and Cr have high load values (>0.5) in factors 1 and 2, which indicates that Pb and Cr may have natural and artificial sources. The HMs in mangrove sediments showed different enrichment characteristics due to different site locations. These differences are related to the industrial and domestic wastewater from the surrounding catchment areas, river inputs, and the mixing process of fesh water and salt water, and are also affected by various factors such as soil texture, particle size and hydrological conditions (Yuan et al., 2014). Therefore, the sources and deposition of HMs in mangrove sediments are affected by many factors, including mangrove itself and external conditions, which enlightens us to conduct in-depth research in combination with new technologies and models.
Influencing factors of heavy metal deposition process
Mineral and biogeochemical properties of sediments
Mineral is an important soil component, which may affect the migration and transformation of metal elements in soil. In our previous work, the mineral composition of mangrove sediments was preliminarily studied (Luo et al.,2019a). So the Scanning Electron Microscopy (SEM) was used to detect the mineral composition of mangrove sediments and the sediments on the nearby bare beach. As shown in Figure 8, the mineral particle morphology of mangrove sediments is mainly scaly and massive, the major elements are C, Si, O, S, Al and Fe, and the metal elements are Cu and Zn. Among them, the atomic ratio of Fe to S is 2:3, which is speculated as pyrite mineral (Figure 8B). This is a common mineral formed in the anoxic mangrove sedimentary environment, which is conducive to the precipitation and enrichment of HMs. The scaly particles are speculated to be clay minerals (such as kaolinite and illite). On the contrary, the grain size of the bare beach sediments was massive and the structure is compact. The main elements are C, O, Si and Al, which have similiar characteristics of aluminosilicate minerals, which indicate that quartz sand is the main constituent material of the beach. Because quartz is still the dominant mineral in the sediments of the study area, accounting for 82%, followed by clay minerals, accounting for 12% (Chen et al., 2020). However, no corresponding metal elements were detected in the sediments of the bare beach, which may be due to the low content of HMs and the vulnerability to seawater erosion and dilution. Therefore, the sediments from the beach will be re-deposited on the original sediments of mangrove after being stirred by seawater, which may reduce the concentration of HMs. Subsequently, we used Fourier Transform Infrared Spectrometer (FTIR) to analyze the spectral information of mineral characteristic functional groups in mangrove sediments. The results show that 3696, 3620, 1032, 915, 693, 534 and 470 cm-1 are the characteristic peaks of kaolinite, while 779 cm-1 is the typical characteristic peak of quartz (Figure 8F). In addition to the influence of sediment grain size, mangrove sediments are rich in clay minerals and organic matters, which will effectively promote the adsorption of HMs by sediments (Marchand et al., 2011; Zhang et al., 2014). Moreover, the rhizosphere process of mangrove often increases the concentration of HMs in the rhizosphere soil, but the plants itself also absorb HMs, which change the concentration of HMs in the sediments (Zhou et al., 2011; Almahasheer et al., 2018). Benthic organisms in mangroves promote the dispersal of HMs from sediments through bio-disturbance such as burrowing and feeding, although this may have little effect on HM enrichment (Suzuki et al., 2013). Organic matter and pH can alter the distribution of HMs in sediments by affecting their bioavailability (Peng et al., 2009). In short, the accumulation, migration and transformation of HMs in sediments are a complex process, which is affected by the various biogeochemical properties from sediments and climate drivers (Zhang et al., 2014; Lacerda et al., 2022). However, for the process of HM deposition in mangrove cores with long-time series, we should pay more attention to the macro-control of anthropic factors and natural processes on the distribution of HMs.
Figure 8

SEM images and its EDS profiles of mangrove sediments (A-C) and bare beach sediments (D-E), as well as FTIR profiles of mangrove sediments (F).
Response of heavy metal deposition processes to human activity
Cu, Pb, Cr, Zn, and Co have similar distribution trends in the two cores (Figures 3, 4). Overall, the HM content in C1 and C2 gradually increased before 1954. In addition to the influence of human activities, mangrove coverage is a natural factor that cannot be ignored. During the economic construction period of 1957–1960, mangrove trees were heavily cut down and used for fuel. Large numbers of mangroves have been cut down to expand land use such as farmland and aquaculture ponds, leading to a sharp decline in mangrove areas since the 1970s (Li et al., 2013). The survey found that during 1956–2001, the mangrove area in Zhanjiang decreased by 6722 hm2 (Dong and Liu, 2007). In addition, local coastal residents unsustainably excavate the mangroves for aquatic products, which can damage the mangrove roots and seedling growth. These human activities have continuously reduced the mangrove area in Zhanjiang. In contrast, before 1954, the dense mangrove plants in the region were more resistant to waves and sand-fixation. Mangrove sediments were less susceptible to erosion from precipitation or seawater, which helped trap and fix anthropogenic emissions of pollutants, leading to a gradual increase in HM content.
Notably, HM concentrations in both cores increased significantly between 1945 and 1963, indicating intense human activity during the period. According to records, to resist the erosion form seawater and wind-sand disaster and increase land area, during 1946–1960 local people built dams and reclaimed land to connect ten scattered islets to form the present Nansan Island (Xu, 2004), still the largest people’s union island engineering in China. The Nansan Island Engineering has promoted human population growth but may have seriously impacted Zhanjiang Bay’s environment. We observed a significant increase in Cu, Pb, Cr, Zn, and Co content in C2 during 1945–1969, with maximum values recorded. Similarly, a consistent trend of HM distribution in C1 was observed from 1945 to 1963. The sedimentary processes of the two cores separated by more than 10 km seem to record the influence of the Nansan Island Engineering on the accumulation of HMs in mangrove sediments. Thus, intense human activity during this period may have resulted in a significant increase in HM concentrations in both cores between 1945 and 1963, reaching the highest values in the past 100 years. After the founding of new China, there were three periods of economic construction: economic recovery (1949–1952), the “First Five-Year Plan” (1953–1957), and the “Great Leap Forward” (1957–1960). In the three economic construction periods, Zhanjiang focused on developing industry and agriculture; from 1949 until 1965, the total industrial production value of the Zhanjiang urban area increased from 6.68 million yuan to 127 million yuan. The area of mariculture in Zhanjiang has increased from 9,000 mu to 72,000 mu in the same time. In 1959, the industrial population accounted for nearly 30% of the urban population, and the power generation was 22 times that of 1949 (Xu, 2004). However, with the large development of industry and agriculture in Zhanjiang from 1949 to 1960, many untreated industrial wastewater, pesticides, and fertilizers were discharged into Zhanjiang Bay through various channels and eventually flowed into the South China Sea. Thus, pollutants from industrial and agricultural production between 1949 and 1963 may have increased the accumulation of HMs in mangrove sediments.
The distribution trend of Hg in the two cores shows a unique pattern. The contents of six HMs, including Hg, appeared in high values during 1909–1918, and Hg reached its maximum value (0.34 μg·g-1). However, Hg levels declined rapidly after 1918 and remained stable until the top of the core. Similarly, the content of Hg in C2 was significantly higher in 1909–1921 (0.31 μg·g-1). Considering the differences in sedimentation rates and the error of the 210Pb dating itself, the two cores separated by 10 km seem to have recorded significant mercury enrichment events in mangrove sediments during the same period, reflecting the high Hg content in the Zhanjiang Bay environment at that time. The high value of Hg in the environment comes from human activities, especially the serious pollution of mercury in the atmosphere, water, and soil caused by the burning of fossil fuels (Zhang et al., 2015). Therefore, the sedimentary records of the mangroves in Zhanjiang Bay suggest that the high Hg events in 1909–1921 may be closely related to human activities rather than natural sources. In addition, there was high Hg content in C2 cores from 1957 to 1963, which may be related to the rapid development of industrial production. During this period, steelmaking was one of the most important jobs; coke, as an important raw material, releases a large amount of volatile Hg into the environment during steelmaking. Subsequently, the industrial and agricultural development of Zhanjiang stagnated from 1966 to 1976, gradually recovered after 1975, and developed rapidly after 1978, coinciding with the time when Hg content significantly increased from 1975 to 1981. However, the deposition process of Hg in cores does not show a similar distribution trend as other HM elements. This may be because mercury is highly volatile and migratory and can be transformed and migrated between “atmosphere-water-soil” (Nriagu and Pacyna, 1988). Therefore, the Hg element cannot be stored in the sediment for a long time, which may be the reason why the Hg content in the core does not show a similar distribution trend to other elements.
Effects of natural factors on the deposition process of heavy metal
In this study, we found that the HM content of mangrove surface sediments is not the highest. For example, in DTS and SDJ, the mean and maximum values of HMs are lower than those of C1 and C2, including some sites with relatively low HM content (Table 2). However, the HM content in cores did not show a gradually increasing trend, but gradually decreased after 1963. This seems to contradict some studies suggesting that higher concentrations of HMs in the surface sediments than in the deeper layers are associated with intense human activity in the past decade (e.g., Jiang et al., 2020; Fernandes and Nayak, 2020). As mentioned above, the previously dense mangrove forests and human activities in the area are one of the reasons for the high levels of HMs in the cores. In addition, we need to explain other factors of the HM deposition process in these two cores. A study has shown that Pb, Zn, Cu, and Cr are mainly controlled by natural processes and regional hydrodynamics composed of sediments (Sun et al., 2020). Therefore, in addition to considering human activities, we need to consider the influence of natural processes on the deposition process of HMs in mangroves. Reclamation works have a significant impact on the hydrodynamic dynamics of adjacent areas, which can change the distribution of tidal currents (Yang and Chui, 2018; Chu et al., 2022). The Nansan Island Engineering closed the tidal channel between the former south and north ends of the island, which significantly changed the tidal distribution pattern of Zhanjiang Bay, increased the bay’s tidal capacity, and enhanced tidal dynamics. As shown in Figure 9, the tidal current distribution of Zhanjiang Bay modified according to Li (2014). During high tide, seawater enters Zhanjiang Bay through a tidal inlet, and part of it flows to the shipping lane along the southern part of Nansan Island. When it meets the harbor, it diverges and turns. The other part of the current flows in the direction of DTS, and the current is divided into two parts: one flows through the south side of Dongtoushan Island to the Donghai Dyke, and the other flows through the west side of TC to the final flow channel. The geographic locations of the two cores were also different. C2 was in a relatively open bay northwest of the tidal inlet (Figure 1D), close to the tidal basin and subject to strong tidal erosion (Wang et al., 2021a). The coarse-grained sediments above C2 also indicate that the tidal current direction in SDJ has changed and strengthened. Although there is also a tidal current in the south of DTS, C1 is in a small bay surrounded by land on three sides (Figure 1C), which is less erosive by seawater, indicating that the sediments of C1 are mainly fine grains (Figure 2). The concentrations of HMs in clay and silt in mangrove sediments are higher (Dung et al., 2019). However, increased tidal dynamics that carried away more fine sediment, combined with reduced mangrove coverage, contributed to the reduction of HM content in the two cores. Although C1 was mainly composed of fine grains, the average content of HMs in C1 was lower than that in C2, which may be related to the lower deposition rate and distance from the interference of human activities in the village.
Figure 9

Map of modern tidal current distribution in Zhanjiang Bay.(White dotted line is the shipping lane of Zhanjiang port. Black dotted line is the tidal channel before the reclamation engineering. Thickness of the black lines represents the strength of the tidal current).
Precipitation is also one of the factors contributing to reduced HMs in the cores. Zhanjiang City has sufficient rainfall, with an average annual precipitation of 1700–1800 mm. Precipitation can erode mangrove soils and dilute HM concentrations in sediments by runoff during the rainy season (Thampanya et al., 2006; Hong et al., 2021). Zhanjiang is one of the areas with frequent typhoons, and sufficient heavy rainfall during typhoons can further enhance the impact of erosion and dilution. At the same time, the decrease of mangrove coverage enhanced the erosion and dilution effect of mangrove soil. The results of sea level monitoring and analysis show that the sea level in China has fluctuated since 1980, and the rising rate is 3.3 mm/a, higher than the global average (2018 China Sea Level Bulletin). In particular, Zhanjiang Bay has an irregular semi-diurnal tide, and there are two rising tides in a day. So rising sea levels and rising tides have intensified coastal erosion of mangroves, which may have led to lower levels of Heavy metals in the cores here. During the dry season, the reduction of precipitation aggravates the impact of sea level rise, promotes seawater erosion, and may amplify the above-mentioned impacts on the HM contents in sediments. However, in the mangrove forests of eastern Brazil, Costa et al. (2020) found that the decrease of rainfall during the El Niño Phenomenon led to the increase of seawater salinity, which is conducive to the formation of metal chloride complexes (such as Cd, Pb), which are more stable in solution and therefore easy to transport and accumulate. Lacerda et al. (2013) also found that drought can result in the increase of water residence time which can increase the reactivity of trace metals, and as well as resulting in the increased export of some organic-metallic complexes and compounds (especially Hg). Although the dry as the above-described can promote the precipitation of HM pollutants in mangroves, the longer rainy season and daily tidal erosion in the Zhanjiang Bay may lead to more severe HM loss from mangrove sediments. Moreover, sea level rise and tidal erosion will lead to the oxidation of reducing minerals (sulfides) and release the accumulated HMs into the water (Lacerda et al., 2022). It’s worth noting that the loss of mangroves means that a large area of exposed beach is exposed on the seaward side. Tides or waves easily bring the sediment from the light beach with low HM content into the mangrove, where it is redeposited over the older sediment (Botté et al., 2010), possibly reducing the HM content in the mangrove sediments. This redeposition of sediment from the light beach may have reduced HM content in mangrove sediments. The deposition amount from a storm surge is several times that of normal tidal current. The storm surges caused by typhoons can more easily stir up and suspend the sediment on the smooth beach, overcome the resistance of plants and roots, and transfer and deposit the sediment into the mangrove, which also reduces HM content in the mangrove. However, the HM content in the mangrove surface sediments of DTS and SDJ was lower than that in the deeper core, which may be because these natural factors have diluted the contribution of human activities to HM enrichment; the specific reasons need more research.
Conclusions
The level of HM pollution in the mangrove surface sediments of Zhanjiang Bay was lower than that of mangroves in other parts of China. The EF results show that Pb, Cr and Co were slight to moderate enriched, and Cu is moderate to heavy enriched. Zn and Hg show moderate-heavy enrichment and heavy enrichment, respectively. The Igeo results show that Pb, Cr, Co and Cu were no pollution. Zn and Hg were slight and moderate polluted, respectively. Cu, Zn, Hg, and Co was 1.5, 1.88, 2.66, and 1.27 times the background value, respectively. Based on correlation and factor analysis and the surrounding environment of the site, it is concluded that Cu, Zn, and Hg mainly originated from anthropogenic sources, such as industrial, domestic, automobile exhaust, aquaculture pollution and ship pollution. Co may have derived from the weathering of soil parent material and is natural sources. But Pb and Cr may have a complex sources include natural and artificial. This study is the first to obtain HM data from mangrove sediment cores in Zhanjiang Bay and found that high HM content occurs in the deeper layers of the cores rather than in the mangrove surface sediments. In the past 100 years, the distribution of HMs in C1 can be roughly divided into three stages: from 1909 to 1931, the content of all HMs showed a decreasing trend; from 1931 to 1963, the content of other HMs except Hg showed an obvious upward trend; and from 1963 to 2017, the content of other HMs showed a decreasing trend, but Hg content remained unchanged until the content of core surface (< 10 cm) increased. Similarly, these HM levels rose gradually in C2 until 1963 and then declined until 2017. Despite their geographical differences, the deposition processes of HMs in the two cores were consistent: prior to 1954, dense mangrove forests facilitated the interception and fixation of pollutants discharged by human activities, reduced seawater erosion, and contributed to the gradual increase of HMs in the sediments. Moreover, sedimentary records show that HM content in mangrove sediments increased significantly and reached the highest value in the past 100 years due to the intense human activities during the period of the Nansan Islands Engineering and economic construction from 1945 to 1963. After 1963, man-made factors such as logging and conversion to aquaculture ponds and farmland led to a significant reduction in mangrove areas. The reclamation of the Nansan Island Engineering changed tidal dynamics. These anthropic factors promote the erosion of mangrove sediments by seawater. Natural factors such as precipitation, storm surge, sea-level rise, and high tide, these natural and anthropogenic factors led to the gradual decrease of HM content in mangrove sediments. Mineralogical analysis results show that the clay minerals in mangrove sediments are conducive to the adsorption of heavy metals, while no metal elements are detected in the sediments from the bare beach, which may explain that the mangrove sediments are covered by the sediments of the beach with low content of HMs under tidal and wave action, promoting the reduction of the concentration of heavy metals. In conclusion, the deposition process of HMs in the mangroves of Zhanjiang Bay is complex. In this study, the effects of natural processes and human activities on the deposition of HMs in the mangroves of Zhanjiang Bay can be observed. Therefore, we suggest that the importance of natural factors in HM deposition processes in mangrove sediments needs to be considered, especially in the context of global climate change. In addition, the HM data of sedimentary cores and surface sediments should be considered comprehensively to obtain reasonable evaluation results.
Funding
This research was supported by the National Natural Science Foundation of China (41606053), the Zhanjiang Marine Youth Talent Innovation Project (2021E05018), and the Lingnan Normal University Yanling excellent young teacher training program (YL20200209), the Open Project of Mangrove Research Institute, Lingnan Normal University (YBXM03).
Publisher’s note
All claims expressed in this article are solely those of the authors and do not necessarily represent those of their affiliated organizations, or those of the publisher, the editors and the reviewers. Any product that may be evaluated in this article, or claim that may be made by its manufacturer, is not guaranteed or endorsed by the publisher.
Statements
Data availability statement
The original contributions presented in the study are included in the article/Supplementary Material. Further inquiries can be directed to the corresponding author.
Author contributions
DT and SL designed this study. DT, SL, and SD are responsible for experimental analysis, data processing and writing manuscripts. All authors contributed to the article and approved the submitted version.
Conflict of interest
The authors declare that the research was conducted in the absence of any commercial or financial relationships that could be construed as a potential conflict of interest.
Supplementary material
The Supplementary Material for this article can be found online at: https://www.frontiersin.org/articles/10.3389/fmars.2022.989584/full#supplementary-material
References
1
Abrahim G. M. S. Parker R. J. (2008). Assessment of heavy metal enrichment factors and the degree of contamination in marine sediments from tamaki estuary, Auckland, new Zealand. Environ. Monit. Assess.136, 227–238. doi: 10.1007/s10661-007-9678-2
2
Alemu I J. B. Richards D. R. Gaw L. Y. F. Masoudi M. Nathan Y. Friess D. A. (2021). Identifying spatial patterns and interactions among multiple ecosystem services in an urban mangrove landscape. Ecol. Indic.121, 107042. doi: 10.1016/j.ecolind.2020.107042
3
Almahasheer H. Serrano O. Duarte C. M. Irigoien X. (2018). Remobilization of heavy metals by mangrove leaves. Front. Mar. Sci.5. doi: 10.3389/fmars.2018.00484
4
Bhattacharya B. D. Nayak D. C. Sarkar S. K. Biswas S. N. Rakshit D. Ahmed M. (2015). Distribution of dissolved trace metals in coastal regions of Indian sundarban mangrove wetland: a multivariate approach. J. Clean. Prod.96, 233–243. doi: 10.1016/j.jclepro.2014.04.030
5
Birch G. F. (2017). Determination of sediment metal background concentrations and enrichment in marine environments – a critical review. Sci. Tot. Environ.580, 813–831. doi: 10.1016/j.scitotenv.2016.12.028
6
Botté S. E. Freije R. H. Marcovecchio J. E. (2010). Distribution of several heavy metals in tidal flats sediments within bahía blanca estuary (Argentina). Water Air Soil pollut.210, 371–388. doi: 10.1007/s11270-009-0260
7
Chai M. W. Li R. L. Ding H. Zan Q. J. (2019). Occurrence and contamination of heavy metals in urban mangroves: A case study in shenzhen, China. Chemosphere219, 165–173. doi: 10.1016/j.chemosphere.2018.11.160
8
Chen D. P. Shen W. J. Luo S. Y. Yang X. Nie Y. F. Zhang J. P. et al . (2020). Mercury accumulation and mineralogical characteristics of mangrove sediments of nansan island, south China. Ecol. Environ. Sci.29, 2279–2287. doi: 10.16258/j.cnki.1674-5906.2020.11.016
9
Chen B. S. Su W. H. Luo S. Y. Mo Y. Liu C. M. (2018). Distribution characteristics and source analysis of heavy metals in soils from mangrove forest in leizhou penisula. Marin Environ. Sci.37, 922–928. doi: 10.13634/j.cnki.mes.2018.06.018
10
China Oceanic Information Network (2019) 2018 China Sea level bulletin. Available at: http://www.nmdis.org.cn/hygb/zghpmgb/ (Accessed May 6, 2022).
11
Chu N. Yao P. Ou S. Wang H. Yang H. Yang Q. (2022). Response of tidal dynamics to successive land reclamation in the lingding bay over the last century. Coast. Eng.173, 104095. doi: 10.1016/j.coastaleng.2022.104095
12
Conrad S. R. Santos I. R. Brown D. R. Sanders L. M. van Santen M. L. Sanders C. J. (2017). Mangrove sediments reveal records of development during the previous century (Coffs creek estuary, Australia). Mar. pollut. Bull.122, 441–445. doi: 10.1016/j.marpolbul.2017.05.052
13
Costa-Böddeker S. Thuyên L. X. Hoelzmann P. de Stigter H. C. van Gaever P. Huy H.Đ. et al . (2020). Heavy metal pollution in a reforested mangrove ecosystem (Can gio biosphere reserve, southern vietnam): Effects of natural and anthropogenic stressors over a thirty-year history. Sci. Tot. Environ.716, 137035. doi: 10.1016/j.scitotenv.2020.137035
14
Costa E. S. Sá F. Gomes L. E. O. Silva C. A. Lima A. T. Lehrback B. D. et al . (2020). Can severe drought periods increase metal concentrations in mangrove sediments? a case study in eastern Brazil. Sci. Tot. Environ.748, 142443. doi: 10.1016/j.scitotenv.2020.142443
15
Deng J. Guo P. Zhang X. Y. Shen X. B. Su H. T. Zhang Y. X. et al . (2019). An evaluation on the bioavailability of heavy metals in the sediments from a restored mangrove forest in the jinjiang estuary, fujian, China. Ecotoxicol. Environ. Saf.180, 501–508. doi: 10.1016/j.ecoenv.2019.05.044
16
Dong P. Y. Liu W. (2007). Comprehensive value assessment of zhanjiang mangrove wetland. Ecol. econ.6, 126–128+133. doi: 10.3969/j.issn.1671-4407.2007.06.028
17
Dung T. T. T. Cappuyns V. Swennen R. (2013). From geochemical background determination to pollution assessment of heavy metals in sediments and soils. Rev. Environ. Sci. Biotechnol.12, 335–353. doi: 10.1007/s11157-013-9315-1
18
Dung T. T. T. Linh T. M. Chau T. B. Hogang T. M. Swennen R. Cappuyns V. (2019). Contamination status and potential release of trace metals in a mangrove forest sediment in ho chi minh city, Vietnam. Environ. Sci. pollut. Res.26, 9536–9551. doi: 10.1007/s11356-019-04355-3
19
Eziz M. Hayrat A. Yang X. (2020). Comparison and analysis of estimation methods for heavy metal pollution of farmland soils. J. Resour. Ecol11:435–42. doi: 10.5814/J.ISSN.1674-764X.2020.05.001
20
Fernandes M. C. Nayak G. N. (2020). Depositional environment and metal distribution in mangrove sediments within middle region of tropical estuaries, karnataka, west coast of India. Reg. Stud. Mar. Sci.39, 101473. doi: 10.1016/j.rsma.2020.101473
21
Fernández S. Cotos-Yáñez T. Roca-Pardiñas J. Ordóñez C. (2018). Geographically weighted principal components analysis to assess diffuse pollution sources of soil heavy metal: Application to rough mountain areas in Northwest Spain. Geoderma311, 120–129. doi: 10.1016/j.geoderma.2016.10.012
22
Friess D. A. Rogers K. Lovelock C. E. Krauss K. W. Hamilton S. E. Lee S. Y. et al . (2019). The state of the world’s mangrove forests: past, present, and future. Annu. Rev. Environ. Resour.44, 89–115. doi: 10.1146/annurev-environ-101718-033302
23
Gao L. Li R. Liang Z. Wu Q. Yang Z. Li M. et al . (2021). Mobilization mechanisms and toxicity risk of sediment trace metals (Cu, zn, Ni, and Pb) based on diffusive gradients in thin films: A case study in the xizhi river basin, south China. J. Hazard. Mater.410, 124590. doi: 10.1016/j.jhazmat.2020.124590
24
Guan Q. Y. Wang F. F. Xu C. Q. Pan N. H. Lin J. K. Zhao R. et al . (2018). Source apportionment of heavy metals in agricultural soil based on PMF: A case study in hexi corridor, Northwest China. Chemosphere193, 189–197. doi: 10.1016/j.chemosphere.2017.10.151
25
Guan H. Wan H. F. Wang X. M. Yang G. Y. Zhu Y. G. (2006). Distribution and pollution assessment of heavy metals in soil samples of leizhou peninsula. Environ. pollut. Control28 (10), 757–771. doi: 10.3969/j.issn.1001-3865.2006.10.011
26
Hettiarachchi S. R. Maher W. A. Krikowa F. Ubrihien R. (2017). Factors influencing arsenic concentrations and species in mangrove surface sediments from south-east NSW, Australia. Environ. Geochem. Health39, 209–219. doi: 10.1007/s10653-016-9821-5
27
Hong H. L. Zhang B. H. Lu H. L. (2021). Seasonal variation and ecological risk assessment of heavy metal in an estuarine mangrove wetland. Water13, 2064. doi: 10.3390/w13152064
28
Jiang R. G. Huang S. Y. Wang W. L. Liu Y. Pan Z. Sun X. W. et al . (2020). Heavy metal pollution and ecological risk assessment in the maowei sea mangrove, China. Mar. pollut. Bull.161, 111816. doi: 10.1016/j.marpolbul.2020.111816
29
Jin Y. O’Connor D. Ok Y. S. Tsang D. C. W. Liu A. Hou D. (2019). Assessment of sources of heavy metals in soil and dust at children’s playgrounds in Beijing using GIS and multivariate statistical analysis. Enviro. Int.124, 320–328. doi: 10.1016/j.envint.2019.01.024
30
Kirwan M. L. Megonigal J. P. (2013). Tidal wetland stability in the face of human impacts and sea-level rise. Nature504, 53–60. doi: 10.1038/nature12856
31
Lacerda L. D. Dias F. J. S. Marins R. V. Soares T. M. Godoy J. M. Godoy M. L. D. P. (2013). Pluriannual watershed discharges of Hg into tropical semiarid estuary of the jaguaribe river, NE Brazil. J. Braz. Chem. Soc24, 1719–1731. doi: 10.5935/0103-5053.20130216
32
Lacerda L. D. Soares T. M. Costa B. G. B. Godoy M. D. P. (2011). Mercury emission factors from intensive shrimp aquaculture and its relative importance to the jaguaribe river estuary. NE Brazil. Bull. Environ. Cont. Toxicol.87, 657–661. doi: 10.1007/s00128-011-0399-4
33
Lacerda L. D. Ward R. D. Borges R. Ferreira A. C. (2022). Mangrove trace metal biogeochemistry response to global climate change. Front. For. Glob. Change5. doi: 10.3389/ffgc.2022.817992
34
Li M. G. (2014). “"Tidal current numerical modeling of zhanjiang bay,",” in 2014 fifth international conference on intelligent systems design and engineering applications.New York, America: IEEE, 1110–1112. doi: 10.1109/ISDEA.2014.246
35
Li M. S. Mao L. J. Shen W. J. Liu S. Q. Wei A. S. (2013). Change and fragmentation trends of zhanjiang mangrove forests in southern China using multi-temporal landsat imagery, (1977–2010). Estuar. Coast. Shelf Sci.130, 111–120. doi: 10.1016/j.ecss.2013.03.023
36
Liu J. Wu H. Feng J. Li Z. Lin G. (2014). Heavy metal contamination and ecological risk assessments in the sediments and zoobenthos of selected mangrove ecosystems, south China. Catnea119, 136–142. doi: 10.1016/j.catena.2014.02.009
37
Liu T. H. Yang P. R. (1988). The coastal sandy soil resource in guangdong. J. Natural resource3, 355–366.
38
Luo S. Y. Xing W. L. Liang Q. X. Deng Z. Y. Liu X. L. Quan X. W. (2019). Speciation, ecological risk assessment and source analysis of heavy metals in the surface sediments of mangrove wetland in zhanjiang bay. Ecol. Environ. Sci.28, 348–358. doi: 10.16258/j.cnki.1674-5906.2019.02.017
39
Marchand C. Allenbach M. Lallier-Vergès E. (2011). Relationships between heavy metals distribution and organic matter cycling in mangrove sediments (Conception bay, new Caledonia). Geoderma160, 444–456. doi: 10.1016/j.geoderma.2010.10.015
40
Müller G. M. (1969). Index of geoaccumulation in sediments of the Rhine river. Geojournal2, 108–118.
41
Nanos N. Rodríguez Martín J. A. (2012). Multiscale analysis of heavy metal contents in soils: Spatial variability in the duero river basin (Spain). Geoderma189–190, 554–562. doi: 10.1016/j.geoderma.2012.06.006
42
Nath B. Chaudhuri P. Birch G. (2014). Assessment of biotic response to heavy metal contamination in avicennia marina mangrove ecosystems in Sydney estuary, Australia. Ecotoxicol. Environ. Saf.107, 284–290. doi: 10.1016/j.ecoenv.2014.06.019
43
Nriagu J. O. Pacyna J. M. (1988). Quantitative assessment of worldwide contamination of air, water and soils by trace metals. Nature333, 134–139. doi: 10.1038/333134a0
44
Panseriya H. Z. Gosai H. B. Sankhwal A. O. Sachaniya B. K. Gavali D. J. Dave B. P. (2020). Distribution, speciation and risk assessment of heavy metals: geochemical exploration of gulf of kachchh, Gujarat, India. Environ. Earth. Sci.79, 213. doi: 10.1007/s12665-020-08972-x
45
Peng J. Song Y. Yuan P. Cui X. Qiu G. (2009). The remediation of heavy metals contaminated sediment. J. Hazard. Mater.161, 633–640. doi: 10.1016/j.jhazmat.2008.04.061
46
Ram S. S. Aich A. Sengupta P. Chakraborty A. Sudarshan M. (2018). Assessment of trace metal contamination of wetland sediments from eastern and western coastal region of India dominated with mangrove forest. Chemosphere211, 1113–1122. doi: 10.1016/j.chemosphere.2018.07.201
47
Shi C. Ding H. Zan Q. J. Li R. L. (2019). Spatial variation and ecological risk assessment of heavy metals in mangrove sediments across China. Mar. pollut. Bull.143, 115–124. doi: 10.1016/j.marpolbul.2019.04.043
48
Su J. Friess D. A. Gasparatos A. (2021). A meta-analysis of the ecological and economic outcomes of mangrove restoration. Nat. Commun.12, 5050. doi: 10.1038/s41467-021-25349-1
49
Sun X. Fan D. Liu M. Liao H. Zheng S. Tian Y. (2020). Budget and fate of sedimentary trace metals in the Eastern China marginal seas. Water Res.187, 116439. doi: 10.1016/j.watres.2020.116439
50
Suzuki K. N. Machado E. C. Machado W. Bellido L. F. Bellido A. V. B. Lopes R. T. (2013). Radiotracer estimates of benthic activity effects on trace metal diffusion into mangrove sediments. Mar. Environ. Res.83, 96–100. doi: 10.1016/j.marenvres.2012.10.009
51
Tam N. F. Y. Yao M. W. Y. (1998). Normalisation and heavy metal contamination in mangrove sediments. Sci. Tot. Environ.216, 33–39. doi: 10.1016/S0048-9697(98)00132-6
52
Thampanya U. Vermaat J. E. Sinsakul S. Panapitukkul N. (2006). Coastal erosion and mangrove progradation of southern Thailand. Estuar. Coast. Shelf Sci.68, 75–85. doi: 10.1016/j.ecss.2006.01.011
53
Thanh-Nho N. Marchand C. Strady E. Van Vinh T. Taillardat P. Cong-Hau N. et al . (2020). Trace metal dynamics in a tropical mangrove tidal creek: Influence of porewater seepage (Can gio, Vietnam). Front. Environ. Sci.8. doi: 10.3389/fenvs.2020.00139
54
Wakelin S. Gerard E. Black A. Hamonts K. Condron L. Yuan T. et al . (2014). Mechanisms of pollution induced community tolerance in a soil microbial community exposed to Cu. Environ. pollut.190, 1–9. doi: 10.1016/j.envpol.2014.03.008
55
Wang F. Sanders C. J. Santos I. R. Tang J. Schuerch M. Kirwan M. L. et al . (2021). Global blue carbon accumulation in tidal wetlands increases with climate change. Natl. Sci. Rev.8, nwaa 296. doi: 10.1093/nsr/nwaa296
56
Wang J. G. Wang P. Fu X. R. Zhao Z. Z. Qiu P. H. Ji Y. R. et al . (2018). Distribution and enrichment of heavy metals in mangrove wetland sediments and plants from dongzhai harbor. Southwest China J. Agric. Sci.31, 611–618. doi: 10.16213/j.cnki.scjas.2018.3.032
57
Wang S. L. Zhou F. X. Chen F. J. Meng Y. F. Zhu Q. M. (2021a). Spatiotemporal distribution characteristics of nutrients in the drowned tidal inlet under the influence of tides: A case study of zhanjiang bay, China. Int. J. Environ. Res. Public Health182089. doi: 10.3390/ijerph18042089
58
Xie Z. L. Zhu G. R. Xu M. Zhang H. Yi W. B. Jiang Y. H. et al . (2022). Risk assessment of heavy metals in a typical mangrove ecosystem - a case study of shankou mangrove national natural reserve, southern China. Mar. pollut. Bull.178, 113642. doi: 10.1016/j.marpolbul.2022.113642
59
Xu S. H. (2004). “"Water conservancy", and "Industry",” in Zhanjiang chronicles, zhanjiang local chronicles compilation committee (Beijing: Zhonghua Book Company), 920–934 and 542–545.
60
Xu G. Ren M. X. Yuan C. (2021). Contamination characteristics and risk assessment of heavy metals in the sediment of mangrove of zhenhai bay. J. ocean Technol.40, 78–85. doi: 10.3969/j.issn.1003-2029.2021.05.010
61
Xu Y. H. Sun Q. Q. Yi L. Yin X. J. Wang A. J. Li Y. H. et al . (2014). The source of natural and anthropogenic heavy metals in the sediments of the minjiang river estuary (SE china): Implications for historical pollution. Sci. Tot. Environ.493, 729–736. doi: 10.1016/j.scitotenv.2014.06.046
62
Xu K. C. Wu L. Q. Huang S. L. (1982). Evaluation of the background levels and judgement of the extraordinary sampling stations of heavy metals in the sediments of the East China Sea. Taiwan Srait1, 49–57.
63
Yang (2020). The risk assessment of chromium pollution and magnetic characteristics of iron-bearing minerals in the mangrove sediments (Xiamen: Xiamen University).
64
Yang Y. Chui T. F. M. (2018). Combined ecohydrological effects of wind regime change and land reclamation on a tidal marsh in semi-enclosed bay. Ecol. Eng.124, 123–134. doi: 10.1016/j.ecoleng.2018.09.026
65
Yuan X. Zhang L. Li J. Cheng W. Ji J. (2014). Sediment properties and heavy metal pollution assessment in the river, estuary and lake environments of a fluvial plain, China. Catena119, 52–60.
66
Zhang X. Y. Qin Y. J. Liu X. H. Zhou W. Liu X. C. Zhao J. G. (2020). Distribution characteristics and ecological risk assessment of toxic metals in mangrove sediments in guangdong. Ecol. Environ. Sci.29, 183–191. doi: 10.16258/j.cnki.1674-5906.2020.01.021
67
Zhang L. Wang S. X. Wang L. Wu Y. Duan L. Wu Q. R. et al . (2015). Updated emission inventories for speciated atmospheric mercury from anthropogenic sources in China. Environ. Sci. Technol.49, 3185–3194. doi: 10.1021/es504840m
68
Zhang C. Yu Z. Zeng G. Jiang M. Yang Z. Cui F. et al . (2014). Effects of sediment geochemical properties on heavy metal bioavailability. Environ. Int.73, 270–281. doi: 10.1016/j.envint.2014.08.010
69
Zhang J. P. Zhou F. X. Chen C. L. Sun X. L. Shi Y. Z. Zhao H. et al . (2018). Spatial distribution and correlation characteristics of heavy metals in the seawater, suspended particulate matter and sediments in zhanjiang bay, China. PLoS One13, e0201414. doi: 10.1371/journal.pone.0201414
70
Zhou Y. W. Peng Y. S. Li X. L. Chen G. Z. (2011). Accumulation and partitioning of heavy metals in mangrove rhizosphere sediments. Environ. Earth. Sci.64, 799–807. doi: 10.1007/s12665-011-0904-4
71
Zoller W. H. Gladney E. S. Duce R. A. (1974). Atmospheric concentrations and sources of trace metals at the south pole. Science183 (4121), 198–200. doi: 10.1126/science.183.4121.198
Summary
Keywords
mangroves, sedimentary cores, human activities, pollution assessment, heavy metal (HM)
Citation
Tang D, Luo S, Deng S, Huang R, Chen B and Deng Z (2022) Heavy metal pollution status and deposition history of mangrove sediments in Zhanjiang Bay, China. Front. Mar. Sci. 9:989584. doi: 10.3389/fmars.2022.989584
Received
12 July 2022
Accepted
22 August 2022
Published
05 September 2022
Volume
9 - 2022
Edited by
Wilson Machado, Fluminense Federal University, Brazil
Reviewed by
Jeremie Garnier, University of Brasilia, Brazil; Luiz Drude Lacerda, Federal University of Ceara, Brazil
Updates
Copyright
© 2022 Tang, Luo, Deng, Huang, Chen and Deng.
This is an open-access article distributed under the terms of the Creative Commons Attribution License (CC BY). The use, distribution or reproduction in other forums is permitted, provided the original author(s) and the copyright owner(s) are credited and that the original publication in this journal is cited, in accordance with accepted academic practice. No use, distribution or reproduction is permitted which does not comply with these terms.
*Correspondence: Songying Luo, luosongying@163.com
This article was submitted to Marine Pollution, a section of the journal Frontiers in Marine Science
Disclaimer
All claims expressed in this article are solely those of the authors and do not necessarily represent those of their affiliated organizations, or those of the publisher, the editors and the reviewers. Any product that may be evaluated in this article or claim that may be made by its manufacturer is not guaranteed or endorsed by the publisher.